Sign in to use this feature.

Years

Between: -

Subjects

remove_circle_outline
remove_circle_outline
remove_circle_outline
remove_circle_outline
remove_circle_outline
remove_circle_outline
remove_circle_outline

Journals

remove_circle_outline
remove_circle_outline
remove_circle_outline
remove_circle_outline
remove_circle_outline
remove_circle_outline

Article Types

Countries / Regions

remove_circle_outline
remove_circle_outline
remove_circle_outline
remove_circle_outline
remove_circle_outline

Search Results (791)

Search Parameters:
Keywords = fluorescence binding assays

Order results
Result details
Results per page
Select all
Export citation of selected articles as:
17 pages, 1772 KB  
Article
The Interaction Between Orientin and the Spike of SARS-CoV-2: An In Silico and Experimental Approach
by Gabriel Cavalcante Pacheco, Michele de Sá Ribeiro, Camila Silva de Magalhães and Fabiana Avila Carneiro
Viruses 2026, 18(1), 61; https://doi.org/10.3390/v18010061 (registering DOI) - 31 Dec 2025
Abstract
SARS-CoV-2, the causative agent of COVID-19, has led to over seven million deaths worldwide prior to May 2025. Despite widespread vaccination programs, COVID-19 remains a persistent global health challenge, underscoring the urgent need for new therapeutic approaches. Orientin is a flavonoid with reported [...] Read more.
SARS-CoV-2, the causative agent of COVID-19, has led to over seven million deaths worldwide prior to May 2025. Despite widespread vaccination programs, COVID-19 remains a persistent global health challenge, underscoring the urgent need for new therapeutic approaches. Orientin is a flavonoid with reported antiviral activity, though its potential against SARS-CoV-2 remains poorly explored. This study aimed to investigate whether Orientin interacts with the viral Spike protein and impacts viral replication. Molecular docking simulations using DockThor were employed to predict the binding affinity between Orientin and the receptor-binding domain (RBD) of the Spike protein. Fluorescence spectroscopy assays were performed to assess direct interactions between Orientin and the trimeric form of the Spike protein. Additionally, cytotoxicity and viral replication assays were carried out in Vero cells to evaluate Orientin’s antiviral effects. Docking results indicated that Orientin likely binds to key RBD residues involved in ACE2 receptor recognition. Spectroscopic analyses showed a decrease in intrinsic tryptophan fluorescence, suggesting direct interaction. Orientin demonstrated no cytotoxicity in Vero cells and exhibited moderate inhibition of viral replication. These findings suggest that Orientin interacts with critical regions of the Spike protein and may act as a moderate in vitro inhibitor of SARS-CoV-2, warranting further investigation into its therapeutic potential. Full article
Show Figures

Figure 1

16 pages, 6723 KB  
Article
Virus-like Particles and Spectral Flow Cytometry for Identification of Dengue Virus-Specific B Cells in Mice and Humans
by Katherine Segura, Fabiola Martel, Manuel A. Franco, Federico Perdomo-Celis and Carlos F. Narváez
Viruses 2026, 18(1), 58; https://doi.org/10.3390/v18010058 (registering DOI) - 30 Dec 2025
Abstract
Severe dengue virus (DENV) infections are associated with circulating non-neutralizing antibodies generated during heterotypic infections. Although antibodies are key mediators of both protection and pathogenesis, the specific dynamics of B cells (Bc) and their antibody responses remain insufficiently characterized due to limited methods [...] Read more.
Severe dengue virus (DENV) infections are associated with circulating non-neutralizing antibodies generated during heterotypic infections. Although antibodies are key mediators of both protection and pathogenesis, the specific dynamics of B cells (Bc) and their antibody responses remain insufficiently characterized due to limited methods of identifying DENV-specific Bc (DENV-Bc) and the absence of animal models resembling the human disease. Here, we developed a spectral flow cytometry assay employing biotinylated virus-like particles (VLPs) to detect DENV-Bc in C57BL/6 mice and children hospitalized with dengue. DENV-1 and DENV-2 VLPs were biotinylated, and the efficiency of biotin incorporation was assessed with an HABA-avidin assay and ELISA. Serotype specificity and optimal binding conditions were confirmed using hybridomas 4G2 (pan-flavivirus) and 3H5-1 (DENV-2 specific). Fluorescent agglutimers were subsequently generated by coupling biotinylated VLPs to streptavidin–fluorochrome complexes. Splenocytes from intraperitoneally DENV-infected mice and peripheral blood mononuclear cells (PBMCs) from naturally infected pediatric patients were stained with these VLPs and Bc-lineage markers. Biotinylated VLPs bound specifically to hybridomas, and this binding was competitively inhibited by unlabeled VLPs. After secondary DENV challenge, VLPs identified DENV-specific class-switched plasmablasts in mice. Circulating DENV-specific plasmablasts were also detected in children, with agglutimers enabling the discrimination of serotype-specific and cross-reactive responses in primary and secondary infections. This VLP-based approach represents a scalable platform to investigate the protective and pathogenic roles of DENV-Bc in infection and vaccination. Full article
Show Figures

Graphical abstract

20 pages, 8475 KB  
Article
Antifungal Activity of Surfactin Against Cytospora chrysosperma
by Xinyue Wang, Liangqiang Chang, Qinggui Lian, Yejuan Du, Jiafeng Huang, Guoqiang Zhang and Zheng Liu
Biomolecules 2026, 16(1), 51; https://doi.org/10.3390/biom16010051 (registering DOI) - 29 Dec 2025
Abstract
Cytospora chrysosperma is a common opportunistically parasitic fungus that mainly infects forest trees, severely restricting the development of the fruit and forest industry. Surfactin is a secondary metabolite produced by Bacillus species and exhibits antifungal activity; Although the core antifungal mechanism of surfactin [...] Read more.
Cytospora chrysosperma is a common opportunistically parasitic fungus that mainly infects forest trees, severely restricting the development of the fruit and forest industry. Surfactin is a secondary metabolite produced by Bacillus species and exhibits antifungal activity; Although the core antifungal mechanism of surfactin against plant pathogens has been extensively studied, our study found that surfactin can target the tricarboxylic acid cycle of C. chrysosperma. This study aimed to investigate the potential mechanism underlying the inhibitory effect of surfactin on C. chrysosperma. The results showed that surfactin had a significant inhibitory effect on C. chrysosperma, with a half-maximal effective concentration of 0.787 ± 0.045 mg/mL and a minimum inhibitory concentration of 2 mg/mL. Morphological observations revealed that surfactin significantly disrupted the morphology and ultrastructure of C. chrysosperma hyphae. FDA/PI staining indicated that surfactin affected the cell membrane integrity of C. chrysosperma, while DCFH-DA fluorescent staining and antioxidant enzyme activity assays demonstrated the accumulation of reactive oxygen species in hyphal cells following surfactin treatment. Additionally, the reduction in adenosine triphosphate content, as well as the decreased activities of ATPase and succinate dehydrogenase, suggested that energy production might be inhibited. Finally, MDC staining showed the occurrence of autophagosomes in C. chrysosperma hyphae after surfactin treatment, which may lead to hyphal death. Transcriptome analysis revealed that surfactin impaired the normal biosynthesis of the C. chrysosperma cell membrane and interfered with the tricarboxylic acid cycle by binding to citrate synthase, resulting in intracellular energy metabolism disorders. This study provides new insights into the potential mechanism by which surfactin inhibits hyphal growth of C. chrysosperma. Full article
Show Figures

Figure 1

21 pages, 3414 KB  
Article
Spectroscopic and Physicochemical Analysis of Bioactive Cobalt(II) β-Diketo Ester Complexes: Insights into DNA and BSA Binding Mechanisms
by Ignjat Filipović, Snežana Stojanović, Jelena Petronijević, Milena Milutinović, Danijela Nikodijević, Nevena Petrović, Marijana Kosanić and Nenad Joksimović
Analytica 2026, 7(1), 3; https://doi.org/10.3390/analytica7010003 - 29 Dec 2025
Viewed by 28
Abstract
The urgent need for effective therapies against cancer and antimicrobial-resistant pathogens motivates the development of novel metal-based complexes. Herein, we report the synthesis and characterization of four novel cobalt(II) complexes with biologically relevant β-diketo ester ligands. The complexes were characterized via UV-Vis, FTIR, [...] Read more.
The urgent need for effective therapies against cancer and antimicrobial-resistant pathogens motivates the development of novel metal-based complexes. Herein, we report the synthesis and characterization of four novel cobalt(II) complexes with biologically relevant β-diketo ester ligands. The complexes were characterized via UV-Vis, FTIR, mass spectrometry, and elemental analysis. Their biological activities were evaluated through antimicrobial and cytotoxic assays. Complex B1 exhibited the strongest antimicrobial activity, with minimum inhibitory concentrations (MICs) of 0.23 mg/mL against Staphylococcus aureus and Proteus mirabilis, and 0.01 mg/mL against Mucor mucedo, exceeding the performance of ketoconazole. Cytotoxicity studies on SW480 colorectal cancer cells and HaCaT normal keratinocytes identified B3 as the most potent anticancer agent (IC50 = 11.49 µM), selectively targeting tumor cells. Morphological analysis indicated apoptosis as the primary mode of cell death. Mechanistic studies were performed to elucidate interactions with biomolecules. UV-Vis and fluorescence spectroscopy, viscosity measurements, and molecular docking revealed that B3 binds strongly to calf thymus DNA via hydrophobic interactions and groove binding, and exhibits selective binding to bovine serum albumin (site II, subdomain IIIA). These results highlight the potential of cobalt(II) complexes as multifunctional agents with significant antimicrobial and antitumor activities and provide detailed insight into their molecular interactions with DNA and serum proteins. Full article
Show Figures

Graphical abstract

12 pages, 1286 KB  
Article
Study on the Competitive Substitution of Four Polyphenolic Compounds on the HSA-Bound α-Zearalenol In Vitro Simulated Modeling
by Cheng Chen, Lu Chen, Hongyuan Zhou, Xiao Li Shen and Liang Ma
Toxins 2026, 18(1), 7; https://doi.org/10.3390/toxins18010007 - 22 Dec 2025
Viewed by 176
Abstract
α-Zearalenol (α-ZOL), the primary metabolite of zearalenone (ZEN), is a prevalent mycotoxin in agricultural products (e.g., corn, wheat) and poses health risks due to its toxicity. However, strategies to mitigate its toxicity are needed. Therefore, this study aims to determine whether selected polyphenols [...] Read more.
α-Zearalenol (α-ZOL), the primary metabolite of zearalenone (ZEN), is a prevalent mycotoxin in agricultural products (e.g., corn, wheat) and poses health risks due to its toxicity. However, strategies to mitigate its toxicity are needed. Therefore, this study aims to determine whether selected polyphenols (quercetin, baicalin, rosmarinic acid, naringenin) can competitively displace α-ZOL from human serum albumin (HSA) and to clarify the interaction mechanisms. The results showed that competitive interactions between α-ZOL, HSA, and the polyphenols were observed. The polyphenols bound HSA more tightly than α-ZOL (higher Ka) and significantly reduced α-ZOL’s Ka, indicating direct competition. Moreover, as evidenced by synchronous fluorescence, the polyphenols altered the microenvironments of tyrosine and tryptophan residues, directly impacting α-ZOL binding. The HPLC-ultrafiltration results revealed that the polyphenols tested competitively displaced α-ZOL from HSA, with the relative potency of quercetin ≈ baicalin > rosmarinic acid > naringenin. Collectively, our competitive binding assays demonstrate that quercetin, baicalin, rosmarinic acid, and naringenin competitively displace α-ZOL from its binding site(s) on HSA. Thus, our study not only suggests a novel mechanism to alleviate the toxicity of ZEN and α-ZOL but also provides a scientific basis for developing dietary interventions against these mycotoxins. Full article
Show Figures

Figure 1

20 pages, 1978 KB  
Article
Antibiofilm and Immunomodulatory Effects of Cinnamaldehyde in Corneal Epithelial Infection Models: Ocular Treatments Approach
by Ashraf Khalifa, Muthukumar Thangavelu, Krishnaraj Thirugnanasambantham and Hairul-Islam M. Ibrahim
Pharmaceutics 2026, 18(1), 5; https://doi.org/10.3390/pharmaceutics18010005 - 19 Dec 2025
Viewed by 359
Abstract
Background: Bacterial keratitis, a major cause of corneal blindness, is frequently associated with biofilm-forming pathogens such as Klebsiella pneumoniae. Cyclic-di-GMP (c-di-GMP) controls biofilm development, which increases antibiotic resistance and makes treatment more difficult, highlighting the need for innovative therapeutic approaches. Methods: [...] Read more.
Background: Bacterial keratitis, a major cause of corneal blindness, is frequently associated with biofilm-forming pathogens such as Klebsiella pneumoniae. Cyclic-di-GMP (c-di-GMP) controls biofilm development, which increases antibiotic resistance and makes treatment more difficult, highlighting the need for innovative therapeutic approaches. Methods: This study investigated cinnamaldehyde as a potential ocular therapeutic using combined computational and experimental approaches. Molecular docking and in vitro assays (XTT, resazurin reduction, crystal violet staining, qRT-PCR, and fluorescence microscopy) were used to evaluate the anti-biofilm and immunomodulatory activities of cinnamaldehyde (CA) against Klebsiella pneumoniae. Results: CA inhibited biofilm formation in a dose-dependent manner (≈89% at 1000 µM; >50% at 250 µM), reduced bacterial attachment to contact lenses, and downregulated key biofilm genes (mrkA, mrkC, ybtS, bolA). Docking analysis revealed strong binding affinity to the mrkH regulator (−5.46 kcal/mol. CA maintained more than 80% corneal cell viability by increasing IL-10, suppressing inflammatory mediators (IL-1β, IL-6, and TNF-α), and improving bacterial clearance. Conclusions: This study combines computational docking, biofilm quantification, immune cell assays, and functional gene expression analyses to reveal the ability of cinnamaldehyde not only to suppress biofilm formation but also to enhance macrophage-mediated clearance and modulate corneal immune responses, a multi-target approach not previously described in the context of bacterial keratitis. Such effects highlight its potential as a novel ocular drug candidate for protecting corneal integrity in infectious keratitis. Full article
(This article belongs to the Special Issue Ophthalmic Drug Delivery, 3rd Edition)
Show Figures

Graphical abstract

13 pages, 1660 KB  
Article
Enhancement of Structural Stability and IgG Affinity of a Z34C-Derived α-Helical Peptide via Lactam Stapling
by Jung Gu Lee, Inseo Lee, Joo-young Kim, Suin Kim, Woo-jin Jeong and Ji-eun Kim
Antibodies 2025, 14(4), 108; https://doi.org/10.3390/antib14040108 - 16 Dec 2025
Viewed by 270
Abstract
Background: The Fc region of immunoglobulin G (IgG) is a key target in therapeutic and analytical applications, such as antibody purification and site-specific bioconjugation. Although Protein A exhibits strong Fc-binding affinity, its large molecular weight and limited chemical flexibility pose challenges for use [...] Read more.
Background: The Fc region of immunoglobulin G (IgG) is a key target in therapeutic and analytical applications, such as antibody purification and site-specific bioconjugation. Although Protein A exhibits strong Fc-binding affinity, its large molecular weight and limited chemical flexibility pose challenges for use in compact or chemically defined systems. To address these limitations, we designed two α-helical peptides, SpA h1 and SpA h2, based on the Fc-binding helices of the Z34C domain from Staphylococcus aureus Protein A. Method: To enhance the structural stability and Fc-binding capability of these peptides, a lactam-based stapling strategy was employed by introducing lysine and glutamic acid residues at positions i and i + 4. Result: The resulting stapled peptides, (s)SpA h1 and (s)SpA h2, exhibited significantly improved α-helical content and IgG-binding performance, as demonstrated by circular dichroism (CD) spectroscopy and fluorescence-based IgG capture assays. Surface plasmon resonance (SPR) analysis confirmed specific, concentration-dependent interactions with the Fc region of human IgG, with (s)SpA h1 consistently showing the binding affinity and stability. Proteolytic resistance assays using α-chymotrypsin revealed that (s)SpA h1 maintained its structural integrity over time, exhibiting markedly enhanced resistance to enzymatic degradation compared to its linear counterpart. Furthermore, (s)SpA h1 exhibited strong Fc selectivity with minimal Fab affinity, confirming its suitability as a compact and Fc-specific binding ligand. Conclusions: These results confirm the successful design and development of structurally reinforced Fc-binding peptides that overcome the inherent limitations of short linear sequences through both high-affinity sequence optimization and lactam-based stapling. Among them, (s)SpA h1 demonstrates the most promising characteristics as a compact yet stable Fc-binding ligand, suitable for applications such as antibody purification and site-specific bioconjugation. Full article
(This article belongs to the Section Antibody Discovery and Engineering)
Show Figures

Figure 1

17 pages, 1578 KB  
Article
Tranexamic Acid-Phenol Smart Scaffolds with Imine Linker: Unlocking Antimicrobial Potential Through In Vitro and In Silico Insights
by Jovana S. Dragojević, Žiko Milanović, Kristina Milisavljević, Nevena Petrović, Jelena Petronijević, Nenad Joksimović, Vera M. Divac, Marijana Kosanić and Marina D. Kostić
Organics 2025, 6(4), 54; https://doi.org/10.3390/org6040054 - 16 Dec 2025
Viewed by 190
Abstract
A novel series of Schiff bases (3a3k), incorporating tranexamic acid (TXA) and phenol-derived aldehydes via imine linkers, was synthesized and structurally characterized. The antimicrobial activity of the compounds was evaluated against a range of clinically and environmentally relevant bacterial [...] Read more.
A novel series of Schiff bases (3a3k), incorporating tranexamic acid (TXA) and phenol-derived aldehydes via imine linkers, was synthesized and structurally characterized. The antimicrobial activity of the compounds was evaluated against a range of clinically and environmentally relevant bacterial and fungal strains. Among them, derivatives 3i and 3k, bearing bromine and chlorine substituents on the phenol ring, exhibited the most potent antimicrobial effects, particularly against Penicillium italicum and Proteus mirabilis (MIC as low as 0.014 mg/mL). To elucidate the underlying mechanism of action, in silico molecular docking studies were conducted, revealing strong binding affinities of 3i and 3k toward fungal sterol 14α-demethylase (CYP51B), with predicted binding energies surpassing those of the reference antifungal ketoconazole. Additionally, UV-Vis and fluorescence spectroscopy assays demonstrated good stability of compound 3k in PBS and its effective binding to human serum albumin (HSA), respectively. ADMET and ProTox-II predictions further supported the drug-likeness, low toxicity (Class 4), and favorable pharmacokinetic profile of compound 3k. Collectively, these findings highlight TXA–phenol imine derivatives as promising scaffolds for the development of next-generation antimicrobial agents, particularly targeting resistant fungal pathogens. Full article
Show Figures

Graphical abstract

18 pages, 2618 KB  
Article
Pleiotropic Function of Antenna-Specific Odorant-Binding Protein Links Xenobiotic Adaptation and Olfaction in Leptinotarsa decemlineata
by James A. Abendroth, Timothy W. Moural, Casey Cruse, Jonathan A. Hernandez, Michael S. Wolfin, Thomas Charles Baker, Andrei Alyokhin and Fang Zhu
Insects 2025, 16(12), 1259; https://doi.org/10.3390/insects16121259 - 11 Dec 2025
Viewed by 427
Abstract
The Colorado potato beetle (CPB) is the primary defoliator of potatoes and is notorious for its ability to develop resistance to various insecticides. This remarkable adaptability may partly reflect selective pressures imposed due to the beetle’s coevolution with toxic Solanaceous host plants. As [...] Read more.
The Colorado potato beetle (CPB) is the primary defoliator of potatoes and is notorious for its ability to develop resistance to various insecticides. This remarkable adaptability may partly reflect selective pressures imposed due to the beetle’s coevolution with toxic Solanaceous host plants. As the initial interface between the environment and the insect olfactory system, odorant-binding proteins (OBPs) may sequester excess harmful molecules, such as insecticides and plant allelochemicals, in the perireceptor space, mitigating deleterious effects on vulnerable olfactory sensory neuronal dendrites. In this study, we identified an antenna-specific OBP (LdecOBP33) that is significantly upregulated in a pesticide resistant strain compared to a susceptible one. Competitive displacement fluorescence binding assays demonstrated that the LdecOBP33 protein exhibited broad affinity toward a range of plant volatiles and insecticides. Silencing LdecOBP33 decreased the beetle’s resistance to imidacloprid and impaired its ability to locate host plants. Together, these findings provide insight into a key molecular factor involved in the CPB’s response to environmental challenges, suggesting a potential link between insects’ adaptation to xenobiotics and their olfactory processing. Full article
(This article belongs to the Section Insect Molecular Biology and Genomics)
Show Figures

Figure 1

22 pages, 4438 KB  
Article
Gold Nanoparticle-Mediated Delivery of Methylene Blue and INF: A Dual-Action Strategy Against Bacterial Resistance
by Begench Gurbandurdyyev, Berdimyrat Annamuradov, Justice ben Yosef, Yaran Allamyradov, Brayden Gross and Ali Oguz Er
Photochem 2025, 5(4), 40; https://doi.org/10.3390/photochem5040040 - 8 Dec 2025
Viewed by 328
Abstract
Gold nanoparticles (AuNPs) synthesized via picosecond pulsed laser ablation were investigated as enhancers of methylene blue (MB)-mediated photodynamic therapy (PDT) against Escherichia coli. AuNPs produced at 532 and 1064 nm with frequencies of 20–50 kHz showed frequency- and size-dependent effects, with 50 kHz [...] Read more.
Gold nanoparticles (AuNPs) synthesized via picosecond pulsed laser ablation were investigated as enhancers of methylene blue (MB)-mediated photodynamic therapy (PDT) against Escherichia coli. AuNPs produced at 532 and 1064 nm with frequencies of 20–50 kHz showed frequency- and size-dependent effects, with 50 kHz yielding the highest particle concentrations and smaller particles enhancing reactive oxygen species (ROS) generation. UV-Vis and fluorescence spectroscopy confirmed nanoparticle formation and plasmonic properties consistent with TEM measurements. Photobleaching assays demonstrated that AuNPs significantly increased MB singlet oxygen generation, while the efflux pump inhibitor INF-55 further amplified bacterial killing without altering net ROS yield. In vitro assays revealed that INF-55 combined with MB/AuNPs achieved ~59% higher bacterial deactivation compared to MB/AuNPs alone. Molecular docking confirmed stronger binding of INF-55 to the AcrB efflux pump (−9.1 kcal/mol) than MB, supporting its role as a competitive inhibitor that promotes intracellular MB retention. These findings establish a dual-action PDT strategy in which AuNPs enhance ROS production and INF-55 augments antibacterial efficacy via efflux pump inhibition. Together, this platform provides a proof of concept for future translation to biofilm- and tissue-based infection models, and potentially to localized clinical applications such as prosthetic joint, catheter-associated, or chronic wound infections where conventional sterilization or systemic antibiotics are insufficient. Full article
(This article belongs to the Special Issue Feature Papers in Photochemistry, 3rd Edition)
Show Figures

Figure 1

16 pages, 3740 KB  
Article
The Role of Surfactants in Stabilizing Fluorescence Anisotropy for Protein–Aptamer Binding Affinity Measurements
by Bhagya R. Samarakoon, Susan L. Bilderback and Rebecca J. Whelan
Biosensors 2025, 15(12), 801; https://doi.org/10.3390/bios15120801 - 6 Dec 2025
Viewed by 379
Abstract
Fluorescence Anisotropy (FA) is a sensitive and efficient technique for quantifying biomolecular interactions, offering advantages such as minimal sample requirements and elimination of separation of bound from unbound species. Thus, it is well suited for aptamer–protein binding affinity studies. However, accurately determining equilibrium [...] Read more.
Fluorescence Anisotropy (FA) is a sensitive and efficient technique for quantifying biomolecular interactions, offering advantages such as minimal sample requirements and elimination of separation of bound from unbound species. Thus, it is well suited for aptamer–protein binding affinity studies. However, accurately determining equilibrium dissociation constants (KD) in FA requires low concentrations of fluorescently labeled aptamers to prevent ligand depletion. A significant challenge arises at low aptamer concentrations due to an unexpected and physically nonmeaningful increase in apparent anisotropy, which impairs accurate data fitting. This anomalous increase in apparent anisotropy may arise from non-specific adsorption of aptamers to surfaces. In this study, we investigated the use of non-ionic surfactants to mitigate these effects and stabilize the anisotropy signal at low aptamer concentrations using the thrombin aptamer as a model system. We evaluated the impact of varying concentrations of two surfactants (Tween 20 and Triton X-100) on plots of anisotropy as a function of aptamer concentration and determined aptamer–protein binding affinities. Addition of 0.1% Tween 20 corrects the anomalous increase in anisotropy at low aptamer concentrations, enabling the use of aptamer concentrations as low as 5 nM in binding assays. Triton X-100 was less effective. By incorporating optimized concentrations of Tween 20, we demonstrated improved assay reproducibility and accuracy in KD determination, expanding the dynamic range of usable aptamer concentrations in FA-based binding affinity studies. Similar benefits were observed with the clinically relevant aptamer s10yh2 and human serum albumin. These findings provide a practical strategy for enhancing the robustness of FA measurements and may be applicable to other aptamer–target systems and high-throughput assay formats. Full article
(This article belongs to the Special Issue Aptamer-Based Sensing: Designs and Applications)
Show Figures

Figure 1

19 pages, 4156 KB  
Article
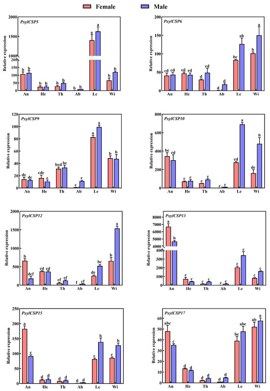
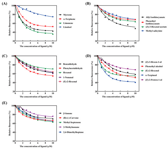
Identification and Functional Characterization of the Leg-Enriched Chemosensory Protein PxylCSP9 in Plutella xylostella (Lepidoptera: Plutellidae)
by Shuhui Fu, Fangyuan Li, Xizhong Yan and Chi Hao
Biology 2025, 14(12), 1746; https://doi.org/10.3390/biology14121746 - 5 Dec 2025
Viewed by 424
Abstract
Plutella xylostella, a major pest of cruciferous vegetables, depends predominantly on chemoreception to locate host plants. Legs are crucial in insect chemical perception, particularly during close-range and contact chemoreception. However, the molecular basis underlying the chemosensory repertoire in P. xylostella legs remains [...] Read more.
Plutella xylostella, a major pest of cruciferous vegetables, depends predominantly on chemoreception to locate host plants. Legs are crucial in insect chemical perception, particularly during close-range and contact chemoreception. However, the molecular basis underlying the chemosensory repertoire in P. xylostella legs remains elusive. To address this, we sequenced chemosensory-related genes in diamondback moth legs. Sequencing identified 32 odorant binding protein (OBP), 18 chemosensory protein (CSP), 26 odorant receptor (OR), 20 gustatory receptor (GR), 15 ionotropic receptor (IR), and 3 sensory neuron membrane protein (SNMP) genes. Comparative analysis with antennal transcriptome data revealed three CSPs, seven ORs, and two GRs newly identified in the legs. Transcriptome analysis showed higher fragments per kilobase of transcript per million mapped reads values for CSPs than for other chemosensory-related gene families. Furthermore, qRT-PCR confirmed the highest expression of PxylCSP9 in the legs, suggesting its role in perceiving external compounds. Fluorescent binding assays revealed high binding affinity of PxylCSP9 for several host plant semiochemicals. Molecular docking predicted a hydrophobic binding pocket in PxylCSP9 with Met11, Leu13, and Leu43 frequently participating in ligand interactions. Our findings indicate that leg-enriched PxylCSP9 is pivotal for host plant recognition during close-range chemoreception, suggesting its potential as a molecular target for precision management through behavior-based strategies. Full article
(This article belongs to the Section Biochemistry and Molecular Biology)
Show Figures

Graphical abstract

21 pages, 3822 KB  
Article
Characterization of Bacillus velezensis EV17 and K-3618 and Their Polyketide Antibiotic Oxydifficidin, an Inhibitor of Prokaryotic Translation with Low Cytotoxicity
by Alisa P. Chernyshova, Valeriya I. Marina, Andrey G. Tereshchenkov, Vladislava E. Sagitova, Maksim A. Kryakvin, Nikolai D. Dagaev, Eugeniya G. Yurchenko, Kseniya A. Arzamazova, Elena B. Guglya, Olga A. Belozerova, Sergey I. Kovalchuk, Margarita N. Baranova, Arsen M. Kudzhaev, Anton E. Shikov, Maria N. Romanenko, Alexander Yu. Rudenko, Vladimir K. Chebotar, Maria S. Gancheva, Maria E. Baganova, Mikhail V. Biryukov, Tatiana V. Panova, Maria G. Khrenova, Vadim N. Tashlitsky, Natalia V. Sumbatyan, Yulia V. Zakalyukina, Kirill S. Antonets, Anton A. Nizhnikov, Vladimir I. Polshakov, Stanislav S. Terekhov, Maria I. Zvereva, Olga A. Dontsova, Petr V. Sergiev, Vera A. Alferova and Dmitrii A. Lukianovadd Show full author list remove Hide full author list
Int. J. Mol. Sci. 2025, 26(24), 11777; https://doi.org/10.3390/ijms262411777 - 5 Dec 2025
Cited by 1 | Viewed by 374
Abstract
Oxydifficidin is a natural polyketide antibiotic that has long been recognized as a ribosome-targeting agent that inhibits protein synthesis. In this paper, we describe Bacillus velezensis strain EV17 and compare its complete genome sequence with that of the previously characterized B. velezensis strain [...] Read more.
Oxydifficidin is a natural polyketide antibiotic that has long been recognized as a ribosome-targeting agent that inhibits protein synthesis. In this paper, we describe Bacillus velezensis strain EV17 and compare its complete genome sequence with that of the previously characterized B. velezensis strain K-3618 and the difficidin biosynthetic gene cluster (BGC) combined with mass spectrometry to elucidate the production of oxydifficidin by these strains. Toeprinting and small fluorescent peptide assays showed that isolated oxydifficidin induces a generalized inhibition of translation at every step of elongation in protein biosynthesis. In previous studies, it has been demonstrated that oxydifficidin targets bL12 protein. Although spontaneous mutations conferring resistance to oxydifficidin in ribosomal protein bL12 located relatively close to the thiostrepton binding site on uL11, our data show that oxydifficidin binding does not interfere with thiostrepton, thereby refining previous findings about its putative ribosomal target. We are the first to show that this compound does not affect eukaryotic translation and has two orders of magnitude lower effect on eukaryotic cells compared to bacteria. These facts are important to further investigate its potential as a bioprotectant against phytopathogens or even as a therapeutic agent. Full article
(This article belongs to the Special Issue Drug Discovery: Natural Products and Compounds)
Show Figures

Graphical abstract

15 pages, 2847 KB  
Article
Supramolecular Photosensitizers Based on HMeQ[6] and Their Photodynamic Effects on Triple-Negative Breast Cancer Cells
by Beibei Song, Qingyi Kong, Bo Xiao, Ting Huang, Yan Su, Baofei Sun, Guangwei Feng, Xiaojun Wen and Jian Feng
Molecules 2025, 30(23), 4576; https://doi.org/10.3390/molecules30234576 - 28 Nov 2025
Viewed by 393
Abstract
The principal challenge in the development of efficient porphyrin-based photosensitizers is the intrinsic aggregation-induced quenching effect, which significantly impairs the generation efficiency of singlet oxygen (1O2) in photodynamic therapy (PDT). This study addresses this limitation through a supramolecular approach [...] Read more.
The principal challenge in the development of efficient porphyrin-based photosensitizers is the intrinsic aggregation-induced quenching effect, which significantly impairs the generation efficiency of singlet oxygen (1O2) in photodynamic therapy (PDT). This study addresses this limitation through a supramolecular approach grounded in host-guest chemistry. Partially methyl-substituted cucurbit[6]uril (HMeQ[6]) was selected as the macrocyclic host owing to its smaller portal size and larger outer diameter, features that facilitate both strong binding affinity and effective spatial isolation. A porphyrin derivative functionalized with two cationic arms (DPPY) was designed and synthesized as the guest molecule. The results derived from 1H NMR titration and UV spectroscopy analyses demonstrate that, in aqueous solution, these components self-assemble via host-guest interactions to form a 2:1 stoichiometric supramolecular complex (DPPY@HMeQ[6]) with a binding constant of 2.11 × 105 M−1. TEM, AFM, and DLS analyses indicate that this complex further assembles into nanosheet structures with dimensions of approximately 100 nm. Spectroscopic analyses reveal that encapsulation by HMeQ[6] effectively inhibits π-π stacking aggregation of DPPY molecules, resulting in an approximate threefold increase in fluorescence intensity and an extension of fluorescence lifetime from 3.2 ns to 6.2 ns. Relative to free DPPY, the complex demonstrates a sixfold enhancement in 1O2 generation efficiency. Subsequently, 4T1 cells, derived from mouse triple-negative breast tumors, were selected as the experimental model. These cells exhibit high invasiveness and metastatic potential, thereby effectively recapitulating the pathological progression of human triple-negative breast cancer. In vitro cellular assays indicate efficient internalization of the complex by 4T1 cells, inducing a concentration-dependent increase in reactive oxygen species (ROS) and oxidative stress following light irradiation. The in vitro cytotoxicity of the supramolecular photosensitizer was assessed employing the CCK-8 assay and flow cytometry techniques. The half-maximal inhibitory concentration (IC50) against cancer cells is 1.8 μM, with apoptosis rates reaching up to 65.3%, while exhibiting minimal dark toxicity. This study expands the potential applications of methyl-substituted cucurbiturils within functional supramolecular assemblies and proposes a viable approach for the development of efficient and activatable supramolecular photosensitizers. Full article
(This article belongs to the Special Issue Recent Advances in Supramolecular Chemistry)
Show Figures

Graphical abstract

21 pages, 6510 KB  
Article
Identification of Bitter Peptides in Lilium lancifolium Thunb.; Peptidomics, Computational Simulation and Cellular Functional Assays
by Zhuang Dong, Xiaohong Zhong, Mengshan Sun, Peng Huang, Yuedong He, Haiyuan Gong, Li Zhou, Jianguo Zeng and Wei Xiang
Foods 2025, 14(23), 4056; https://doi.org/10.3390/foods14234056 - 26 Nov 2025
Viewed by 458
Abstract
Lilium lancifolium Thunb., as a predominant variety of medicinal and edible lilies, has long been renowned in traditional medicine for “moistening the lungs, relieving coughs, and calming the mind to soothe the heart.” The bitter taste formation in L. lancifolium is predominantly attributed [...] Read more.
Lilium lancifolium Thunb., as a predominant variety of medicinal and edible lilies, has long been renowned in traditional medicine for “moistening the lungs, relieving coughs, and calming the mind to soothe the heart.” The bitter taste formation in L. lancifolium is predominantly attributed to secondary metabolites such as alkaloids, this study explores an alternative mechanism underlying taste divergence among Lilium brownii var. viridulum, and Lilium pumilum DC, proposing a foundational scientific question: Are peptides one of the important sources of bitterness in Lilium lancifolium Thunb.? Peptidomic analysis identified 8479 peptide sequences, with 46.27% upregulated in L. lancifolium flesh. Through high-throughput molecular docking with the bitter taste receptor TAS2R14, 214 candidate bitter peptides were identified, showing the strongest average binding affinity (−119.73 kcal/mol). Molecular dynamics simulations further demonstrated that four of these peptides formed stable interactions with key residues in TAS2R14. Cellular assays confirmed TAS2R14 activation by these peptides, as indicated by enhanced EGFP reporter fluorescence, upregulation of downstream signaling molecules (GNAT1, PLCB2, TRPM5), decreased cAMP levels, and increased IP3 accumulation. Transcriptomic analysis further indicated that bitter peptides mediate taste transduction primarily through neuroactive receptor interaction pathways. These findings represent the first identification of bitter peptides as a key source of bitterness in L. lancifolium and elucidates their transduction mechanism combining peptidomics, computational simulation, and cellular validation. Our study provides a methodological framework for exploring flavor substances in other plant-derived foods. Full article
Show Figures

Figure 1

Back to TopTop