Spectroscopic and Physicochemical Analysis of Bioactive Cobalt(II) β-Diketo Ester Complexes: Insights into DNA and BSA Binding Mechanisms
Abstract
1. Introduction
2. Materials and Methods
2.1. General
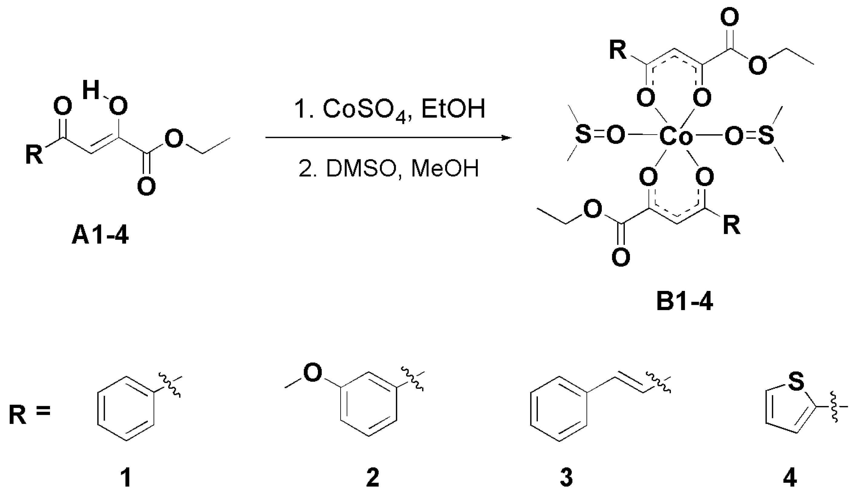
2.2. General Procedure for the Synthesis of Cobalt(II) Complexes B1–4
2.3. Antimicrobial Activity
2.4. Cytotoxic Activity
2.4.1. Cell Culture
2.4.2. Evaluation of Cytotoxicity Using the MTT Assay
2.4.3. Cell Morphology Analysis
2.5. DNA-Binding Studies
2.5.1. Absorption Spectroscopic Studies
2.5.2. Ethidium Bromide (EB) and HOE Displacement Studies
2.5.3. Viscosity Measurements
2.6. Albumin-Binding Studies
2.7. Molecular Docking Studies
3. Results and Discussion
3.1. Synthesis of Novel Cobalt(II) Complexes B1–4
3.2. Biological Evaluation
3.2.1. Antimicrobial Activity of Cobalt(II) Complexes B1–4
3.2.2. Cytotoxic Activity of Cobalt(II) Complexes B1–4
3.2.3. Cell Morphological Analysis
3.2.4. Structure–Activity Relationship (SAR) Analysis of Cobalt(II) Complexes B1–4
3.3. Investigation of Binding Properties of Cobalt Complex with CT-DNA
3.4. Albumin Binding Studies
3.5. Molecular Docking Studies
4. Conclusions
Supplementary Materials
Author Contributions
Funding
Data Availability Statement
Conflicts of Interest
References
- Hangan, A.C.; Oprean, L.S.; Dican, L.; Procopciuc, L.M.; Sevastre, B.; Lucaciu, R.L. Metal-based drug–DNA interactions and analytical determination methods. Molecules 2024, 29, 4361. [Google Scholar] [CrossRef] [PubMed]
- Topală, T.L.; Fizeşan, I.; Petru, A.E.; Castiñeiras, A.; Bodoki, A.E.; Oprean, L.S.; Escolano, M.; Alzuet-Piña, G. Evaluation of DNA and BSA-Binding, Nuclease Activity, and Anticancer Properties of New Cu (II) and Ni (II) Complexes with Quinoline-Derived Sulfonamides. Inorganics 2024, 12, 158. [Google Scholar] [CrossRef]
- Petrović, A.; Živanović, M.; Puchta, R.; Ćoćić, D.; Scheurer, A.; Milivojevic, N.; Bogojeski, J. Experimental and quantum chemical study on the DNA/protein binding and the biological activity of a rhodium (III) complex with 1,2,4-triazole as an inert ligand. Dalton Trans. 2020, 49, 9070–9085. [Google Scholar] [CrossRef]
- Karges, J.; Stokes, R.W.; Cohen, S.M. Metal complexes for therapeutic applications. Trends Chem. 2021, 3, 523–534. [Google Scholar] [CrossRef]
- Ronconi, L.; Sadler, P.J. Using Coordination Chemistry to Design New Medicines. Coord. Chem. Rev. 2007, 251, 1633–1648. [Google Scholar] [CrossRef]
- Wai-Yin Sun, R.; Ma, D.-L.; Wong, E.L.-M.; Che, C.-M. Some Uses of Transition Metal Complexes as Anti-Cancer and Anti-HIV Agents. Dalton Trans. 2007, 43, 4884. [Google Scholar] [CrossRef]
- Hartmann, J.T.; Lipp, H.-P. Toxicity of Platinum Compounds. Expert Opin. Pharmacother. 2003, 4, 889–901. [Google Scholar] [CrossRef]
- Sastry, J.; Kellie, S.J. Severe Neurotoxicity, Ototoxicity and Nephrotoxicity Following High-Dose Cisplatin and Amifostine. Pediatr. Hematol. Oncol. 2005, 22, 441–445. [Google Scholar] [CrossRef]
- Miller, R.P.; Tadagavadi, R.K.; Ramesh, G.; Reeves, W.B. Mechanisms of Cisplatin Nephrotoxicity. Toxins 2010, 2, 2490–2518. [Google Scholar] [CrossRef]
- McWhinney, S.R.; Goldberg, R.M.; McLeod, H.L. Platinum Neurotoxicity Pharmacogenetics. Mol. Cancer Ther. 2009, 8, 10–16. [Google Scholar] [CrossRef]
- Loginova, N.V.; Harbatsevich, H.I.; Osipovich, N.P.; Ksendzova, G.A.; Koval’chuk, T.V.; Polozov, G.I. Metal complexes as promising agents for biomedical applications. Curr. Med. Chem. 2020, 27, 5213–5249. [Google Scholar] [CrossRef] [PubMed]
- Kar, K.; Ghosh, D.; Kabi, B.; Chandra, A. A Concise Review on Cobalt Schiff Base Complexes as Anticancer Agents. Polyhedron 2022, 222, 115890. [Google Scholar] [CrossRef]
- Abd El-Lateef, H.M.; Ali, A.M.; Khalaf, M.M.; Abdou, A. New Iron(III), Cobalt(II), Nickel(II), Copper(II), Zinc(II) Mixed-Ligand Complexes: Synthesis, Structural, DFT, Molecular Docking and Antimicrobial Analysis. Bull. Chem. Soc. Ethiop. 2023, 38, 147–166. [Google Scholar] [CrossRef]
- Ndagi, U.; Mhlongo, N.; Soliman, M. Metal Complexes in Cancer Therapy—An Update from Drug Design Perspective. Drug Des. Devel. Ther. 2017, 11, 599–616. [Google Scholar] [CrossRef]
- Joksimović, N.; Petronijević, J.; Ćoćić, D.; Ristić, M.; Mihajlović, K.; Janković, N.; Milović, E.; Klisurić, O.; Petrović, N.; Kosanić, M. Synthesis, Characterization, and Biological Evaluation of Novel Cobalt(II) Complexes with β-Diketonates: Crystal Structure Determination, BSA Binding Properties and Molecular Docking Study. J. Biol. Inorg. Chem. 2024, 29, 541–553. [Google Scholar] [CrossRef]
- Renfrew, A.K.; O’Neill, E.S.; Hambley, T.W.; New, E.J. Harnessing the properties of cobalt coordination complexes for biological application. Coord. Chem. Rev. 2018, 375, 221–233. [Google Scholar] [CrossRef]
- Joksimović, N.; Janković, N.; Davidović, G.; Bugarčić, Z. 2,4-Diketo Esters: Crucial Intermediates for Drug Discovery. Bioorg. Chem. 2020, 105, 104343. [Google Scholar] [CrossRef]
- Sechi, M.; Bacchi, A.; Carcelli, M.; Compari, C.; Duce, E.; Fisicaro, E.; Rogolino, D.; Gates, P.; Derudas, M.; Al-Mawsawi, L.Q.; et al. From Ligand to Complexes: Inhibition of Human Immunodeficiency Virus Type 1 Integrase by β-Diketo Acid Metal Complexes. J. Med. Chem. 2006, 49, 4248–4260. [Google Scholar] [CrossRef]
- Joksimović, N.; Baskić, D.; Popović, S.; Zarić, M.; Kosanić, M.; Ranković, B.; Stanojković, T.; Novaković, S.B.; Davidović, G.; Bugarčić, Z.; et al. Synthesis, Characterization, Biological Activity, DNA and BSA Binding Study: Novel Copper(II) Complexes with 2-Hydroxy-4-Aryl-4-Oxo-2-Butenoate. Dalton Trans. 2016, 45, 15067–15077. [Google Scholar] [CrossRef]
- Joksimović, N.; Janković, N.; Petronijević, J.; Baskić, D.; Popovic, S.; Todorović, D.; Zarić, M.; Klisurić, O.; Vraneš, M.; Tot, A.; et al. Synthesis, Anticancer Evaluation and Synergistic Effects with CisPlatin of Novel Palladium Complexes: DNA, BSA Interactions and Molecular Docking Study. Med. Chem. 2020, 16, 78–92. [Google Scholar] [CrossRef]
- Joksimović, N.; Petronijević, J.; Janković, N.; Kosanić, M.; Milivojević, D.; Vraneš, M.; Tot, A.; Bugarčić, Z. Synthesis, Characterization, Antioxidant Activity of β-Diketonates, and Effects of Coordination to Copper(II) Ion on Their Activity: DNA, BSA Interactions and Molecular Docking Study. Med. Chem. 2021, 17, 519–532. [Google Scholar] [CrossRef] [PubMed]
- Dimiza, F.; Fountoulaki, S.; Papadopoulos, A.N.; Kontogiorgis, C.A.; Tangoulis, V.; Raptopoulou, C.P.; Psycharis, V.; Terzis, A.; Kessissoglou, D.P.; Psomas, G. Non-Steroidal Antiinflammatory Drug–Copper(II) Complexes: Structure and Biological Perspectives. Dalton Trans. 2011, 40, 8555. [Google Scholar] [CrossRef] [PubMed]
- Proposed Standard M38-P; Reference Method for Broth Dilution Antifungal Susceptibility Testing of Conidium-Forming Filamentous Fungi. NCCLS (National Committee for Clinical Laboratory Standards): Wayne, PA, USA, 1998.
- Sarker, S.D.; Nahar, L.; Kumarasamy, Y. Microtitre Plate-Based Antibacterial Assay Incorporating Resazurin as an Indicator of Cell Growth, and Its Application in the in Vitro Antibacterial Screening of Phytochemicals. Methods 2007, 42, 321–324. [Google Scholar] [CrossRef]
- Milutinović, M.; Stanković, M.; Cvetković, D.; Maksimović, V.; Šmit, B.; Pavlović, R.; Marković, S. The Molecular Mechanisms of Apoptosis Induced by Allium Flavum L. and Synergistic Effects with New-Synthesized Pd(II) Complex on Colon Cancer Cells. J. Food Biochem. 2015, 39, 238–250. [Google Scholar] [CrossRef]
- Mosmann, T. Rapid Colorimetric Assay for Cellular Growth and Survival: Application to Proliferation and Cytotoxicity Assays. J. Immunol. Methods 1983, 65, 55–63. [Google Scholar] [CrossRef]
- Ćoćić, D.; Jovanović-Stević, S.; Jelić, R.; Matić, S.; Popović, S.; Djurdjević, P.; Baskić, D.; Petrović, B. Homo- and Hetero-Dinuclear Pt(II)/Pd(II) Complexes: Studies of Hydrolysis, Nucleophilic Substitution Reactions, DNA/BSA Interactions, DFT Calculations, Molecular Docking and Cytotoxic Activity. Dalton Trans. 2020, 49, 14411–14431. [Google Scholar] [CrossRef]
- Radisavljević, S.; Ćoćić, D.; Petrović, B.; Kellner, I.; Ivanović-Burmazović, I.; Radenković, N.; Nikodijević, D.; Milutinović, M. New Dinuclear Gold(III) Complex with 1,5-Naphthyridine as Bridging Ligand: Synthesis, Characterization, DNA/BSA Binding Studies, and Anticancer Activity. Gold Bull. 2024, 57, 9–25. [Google Scholar] [CrossRef]
- Lakowicz, J.R.; Weber, G. Quenching of Fluorescence by Oxygen. Probe for Structural Fluctuations in Macromolecules. Biochemistry 1973, 12, 4161–4170. [Google Scholar] [CrossRef]
- Wu, S.-S.; Yuan, W.-B.; Wang, H.-Y.; Zhang, Q.; Liu, M.; Yu, K.-B. Synthesis, Crystal Structure and Interaction with DNA and HSA of (N,N′-Dibenzylethane-1,2-Diamine) Transition Metal Complexes. J. Inorg. Biochem. 2008, 102, 2026–2034. [Google Scholar] [CrossRef]
- Bitencourt-Ferreira, G.; de Azevedo, W.F., Jr. Molegro Virtual Docker for Docking. In Docking Screens for Drug Discovery; Methods in Molecular Biology; Springer: Berlin/Heidelberg, Germany, 2019; pp. 149–167. [Google Scholar] [CrossRef]
- Adeniyi, A.; Ajibade, P. An Insight into the Anticancer Activities of Ru(II)-Based Metallocompounds Using Docking Methods. Molecules 2013, 18, 10829–10856. [Google Scholar] [CrossRef]
- Ozalp, L.; Sağ Erdem, S.; Yüce-Dursun, B.; Mutlu, Ö.; Özbil, M. Computational Insight into the Phthalocyanine-DNA Binding via Docking and Molecular Dynamics Simulations. Comput. Biol. Chem. 2018, 77, 87–96. [Google Scholar] [CrossRef]
- Berman, H.M. The Protein Data Bank. Nucleic Acids Res. 2000, 28, 235–242. [Google Scholar] [CrossRef]
- Drew, H.R.; Wing, R.M.; Takano, T.; Broka, C.; Tanaka, S.; Itakura, K.; Dickerson, R.E. Structure of a B-DNA Dodecamer: Conformation and Dynamics. Proc. Natl. Acad. Sci. USA 1981, 78, 2179–2183. [Google Scholar] [CrossRef] [PubMed]
- Canals, A.; Purciolas, M.; Aymamí, J.; Coll, M. The Anticancer Agent Ellipticine Unwinds DNA by Intercalative Binding in an Orientation Parallel to Base Pairs. Acta Crystallogr. D Biol. Crystallogr. 2005, 61, 1009–1012. [Google Scholar] [CrossRef] [PubMed]
- Sekula, B.; Zielinski, K.; Bujacz, A. Crystallographic Studies of the Complexes of Bovine and Equine Serum Albumin with 3,5-Diiodosalicylic Acid. Int. J. Biol. Macromol. 2013, 60, 316–324. [Google Scholar] [CrossRef] [PubMed]
- Stewart, J.J.P. Optimization of Parameters for Semiempirical Methods VI: More Modifications to the NDDO Approximations and Re-Optimization of Parameters. J. Mol. Model 2012, 19, 1–32. [Google Scholar] [CrossRef]
- Frisch, M.J.; Trucks, G.W.; Schlegel, H.B.; Scuseria, G.E.; Robb, M.A.; Cheeseman, J.R.; Scalmani, G.; Barone, V.; Mennucci, B.; Petersson, G.A.; et al. Gaussian 09, Revision D.01; Gaussian, Inc.: Wallingford, CT, USA, 2016. [Google Scholar]
- Becke, A.D. Density-Functional Thermochemistry. III. The Role of Exact Exchange. J. Chem. Phys. 1993, 98, 5648–5652. [Google Scholar] [CrossRef]
- Hay, P.J.; Wadt, W.R. Ab Initio Effective Core Potentials for Molecular Calculations. Potentials for K to Au Including the Outermost Core Orbitals. J. Chem. Phys. 1985, 82, 299–310. [Google Scholar] [CrossRef]
- Thomsen, R.; Christensen, M.H. MolDock: A New Technique for High-Accuracy Molecular Docking. J. Med. Chem. 2006, 49, 3315–3321. [Google Scholar] [CrossRef]
- Medjedović, M.; Simović, A.R.; Ćoćić, D.; Milutinović, M.; Senft, L.; Blagojević, S.; Milivojević, N.; Petrović, B. Dinuclear Ruthenium(II) Polypyridyl Complexes: Mechanistic Study with Biomolecules, DNA/BSA Interactions and Cytotoxic Activity. Polyhedron 2020, 178, 114334. [Google Scholar] [CrossRef]
- Nakamoto, K. Infrared and Raman Spectra of Inorganic and Coordination Compounds; John Wiley & Sons: Hoboken, NJ, USA, 2008. [Google Scholar] [CrossRef]
- Zabicky, J.; Rappoport, Z. The Chemistry of Metal Enolates; John Wiley & Sons: Hoboken, NJ, USA, 2009. [Google Scholar]
- Pellei, M.; Del Gobbo, J.; Caviglia, M.; Gandin, V.; Marzano, C.; Karade, D.V.; Noonikara Poyil, A.; Dias, H.V.R.; Santini, C. Synthesis and Investigations of the Antitumor Effects of First-Row Transition Metal(II) Complexes Supported by Two Fluorinated and Non-Fluorinated β-Diketonates. Int. J. Mol. Sci. 2024, 25, 2038. [Google Scholar] [CrossRef] [PubMed]
- Munteanu, C.R.; Suntharalingam, K. Advances in Cobalt Complexes as Anticancer Agents. Dalton Trans. 2015, 44, 13796–13808. [Google Scholar] [CrossRef] [PubMed]
- Thamilarasan, V.; Sengottuvelan, N.; Sudha, A.; Srinivasan, P.; Chakkaravarthi, G. Cobalt(III) Complexes as Potential Anticancer Agents: Physicochemical, Structural, Cytotoxic Activity and DNA/Protein Interactions. J. Photochem. Photobiol. B 2016, 162, 558–569. [Google Scholar] [CrossRef] [PubMed]
- Roszkowska, M. Multilevel mechanisms of cancer drug resistance. Int. J. Mol. Sci. 2024, 25, 12402. [Google Scholar] [CrossRef]
- Weerapreeyakul, N.; Nonpunya, A.; Barusrux, S.; Thitimetharoch, T.; Sripanidkulchai, B. Evaluation of the Anticancer Potential of Six Herbs against a Hepatoma Cell Line. Chin. Med. 2012, 7, 15. [Google Scholar] [CrossRef]
- Radisavljević, S.; Scheurer, A.; Bockfeld, D.; Ćoćić, D.; Puchta, R.; Senft, L.; Pešić, M.; Damljanović, I.; Petrović, B. New Mononuclear Gold(III) Complexes: Synthesis, Characterization, Kinetic, Mechanistic, DNA/BSA/HSA Binding, DFT and Molecular Docking Studies. Polyhedron 2021, 209, 115446. [Google Scholar] [CrossRef]
- Mihajlović, K.; Joksimović, N.; Radisavljević, S.; Petronijević, J.; Filipović, I.; Janković, N.; Milović, E.; Popović, S.; Matić, S.; Baskić, D. Examination of Antitumor Potential of Some Acylpyruvates, Interaction with DNA and Binding Properties with Transport Protein. J. Mol. Struct. 2022, 1270, 133943. [Google Scholar] [CrossRef]
- Ambika, S.; Manojkumar, Y.; Senthilkumar, R.; Sathiyaraj, M.; Arunachalam, S. Nucleic Acid Binding and Invitro Cytotoxicity Studies of Polymer Grafted Intercalating Copper(II) Complex. J. Inorg. Organomet. Polym. 2016, 26, 579–588. [Google Scholar] [CrossRef]
- Thederahn, T.; Spassky, A.; Kuwabara, M.D.; Sigman, D.S. Chemical Nuclease Activity of 5-Phenyl-1,10-Phenanthroline-Copper Ion Detects Intermediates in Transcription Initiation by E. Coli RNA Polymerase. Biochem. Biophys. Res. Commun. 1990, 168, 756–762. [Google Scholar] [CrossRef]
- Tarushi, A.; Lafazanis, K.; Kljun, J.; Turel, I.; Pantazaki, A.A.; Psomas, G.; Kessissoglou, D.P. First- and Second-Generation Quinolone Antibacterial Drugs Interacting with Zinc(II): Structure and Biological Perspectives. J. Inorg. Biochem. 2013, 121, 53–65. [Google Scholar] [CrossRef]
- Shahabadi, N.; Mahdavi, M. DNA Interaction Studies of a Cobalt(II) Mixed-Ligand Complex Containing Two Intercalating Ligands: 4,7-Dimethyl-1, 10-Phenanthroline and Dipyrido[3,2-a:2′,3′-c]phenazine. Int. Sch. Res. Netw. Inorg. Chem. 2013, 2013, 604218. [Google Scholar] [CrossRef]
- Metcalfe, C.; Rajput, C.; Thomas, J.A. Studies on the Interaction of Extended Terpyridyl and Triazine Metal Complexes with DNA. J. Inorg. Biochem. 2006, 100, 1314–1319. [Google Scholar] [CrossRef]
- Valeur, B.; Berberan-Santos, M.N. Molecular Fluorescence; Wiley-VCH Verlag GmbH and Co. KGaA: Weinheim, Germany, 2012. [Google Scholar] [CrossRef]
- Manojkumar, Y.; Ambika, S.; Arulkumar, R.; Gowdhami, B.; Balaji, P.; Vignesh, G.; Arunachalam, S.; Venuvanalingam, P.; Thirumurugan, R.; Akbarsha, M.A. Synthesis, DNA and BSA Binding, in Vitro Anti-Proliferative and in Vivo Anti-Angiogenic Properties of Some Cobalt(III) Schiff Base Complexes. New J. Chem. 2019, 43, 11391–11407. [Google Scholar] [CrossRef]










| Tested Compounds | Bacillus subtilis | Staphylococcus aureus | Escherichia coli | Proteus mirabilis | Klebsiella pneumoniae |
|---|---|---|---|---|---|
| MIC (mg/mL) | |||||
| B1 | 0.46 | 0.23 | 0.93 | 0.23 | 3.75 |
| B2 | 3.75 | 0.46 | 3.75 | 1.87 | 7.5 |
| B3 | 7.5 | 7.5 | 7.5 | 7.5 | >7.5 |
| B4 | 3.75 | 1.87 | 7.5 | 0.93 | 7.5 |
| Streptomycin | 0.01 | 0.03 | 0.03 | 0.07 | 0.03 |
| Tested Compounds | Aspergillus fumigatus | Mucor mucedo | Candida albicans | Microsporum canis | Trichophyton rubrum |
|---|---|---|---|---|---|
| MIC (mg/mL) | |||||
| B1 | 0.05 | 0.01 | 0.46 | 0.02 | 0.02 |
| B2 | 0.93 | 0.02 | 0.93 | 0.02 | 0.02 |
| B3 | 7.5 | 3.75 | 7.5 | 0.46 | 0.11 |
| B4 | 3.75 | 0.05 | 7.5 | 0.05 | 0.02 |
| Ketoconazole | 0.15 | 0.15 | 0.03 | 0.001 | 0.001 |
| Cell Line: | SW480 | HaCaT | ||
|---|---|---|---|---|
| Exposure Time: | 24 h | 72 h | 24 h | 72 h |
| B1 | 41.31 ± 1.50 | 54.40 ± 1.45 | 992.15 ± 15.20 | 206.32 ± 3.14 |
| B2 | 59.14 ± 0.65 | 33.19 ± 1.30 | 346.6 ± 6.32 | 136.03 ± 2.01 |
| B3 | 28.55 ± 0.20 | 11.49 ± 0.12 | 112.16 ± 4.50 | 19.5 ± 0.50 |
| B4 | 59.42 ± 0.40 | 76.25 ± 0.70 | 914.15 ± 6.30 | 204.38 ± 5.30 |
| T (K) | Kb × 102 (M−1) | Hyperchromism (%) | ∆G0 (kJmol−1) | ∆H0 (kJmol−1) | ∆S0 (JK−1mol−1) |
|---|---|---|---|---|---|
| 288 | 2.33 ± 0.03 | 44.9 | −12.93 ± 0.01 | ||
| 298 | 5.09 ± 0.04 | 80.3 | −15.67 ± 0.07 | 65.97 ± 0.03 | 273.95 ± 0.02 |
| 310 | 16.30 ± 0.02 | 80.5 | −18.96 ± 0.08 |
| Ksv (M−1) | |
|---|---|
| EB | (4.69 ± 0.03) × 103 |
| HOE | (5.29 ± 0.06) × 103 |
| BSA | BSA-Eosin Y | BSA-Ibuprofen | |
|---|---|---|---|
| Ksv (M−1) | (3.25 ± 0.01) × 105 | (1.97 ± 0.04) × 105 | (2.72 ± 0.05) × 105 |
| kq (M−1 s−1) | (3.25 ± 0.01) × 1013 | (1.97 ± 0.04) × 1013 | (2.72 ± 0.05) × 1013 |
| K (M−1) | (2.33 ± 0.02) × 106 | (5.02 ± 0.02) × 105 | (1.88 ± 0.01) × 106 |
| n | 1.17 | 1.08 | 1.16 |
| BSA IA | BSA IIA | BSA IIB | BSA IIIA | DNA Groove | DNA Intercalation | |
|---|---|---|---|---|---|---|
| MolDock | −164.66 | −172.21 | −154.39 | −177.52 | −140.31 | −184.16 |
| H-bond | −2.11 | −4.07 | −1.09 | −3.33 | 0.00 | 0.00 |
| Rerank | −119.45 | −111.27 | −95.66 | −129.92 | −57.34 | −86.50 |
Disclaimer/Publisher’s Note: The statements, opinions and data contained in all publications are solely those of the individual author(s) and contributor(s) and not of MDPI and/or the editor(s). MDPI and/or the editor(s) disclaim responsibility for any injury to people or property resulting from any ideas, methods, instructions or products referred to in the content. |
© 2025 by the authors. Licensee MDPI, Basel, Switzerland. This article is an open access article distributed under the terms and conditions of the Creative Commons Attribution (CC BY) license.
Share and Cite
Filipović, I.; Stojanović, S.; Petronijević, J.; Milutinović, M.; Nikodijević, D.; Petrović, N.; Kosanić, M.; Joksimović, N. Spectroscopic and Physicochemical Analysis of Bioactive Cobalt(II) β-Diketo Ester Complexes: Insights into DNA and BSA Binding Mechanisms. Analytica 2026, 7, 3. https://doi.org/10.3390/analytica7010003
Filipović I, Stojanović S, Petronijević J, Milutinović M, Nikodijević D, Petrović N, Kosanić M, Joksimović N. Spectroscopic and Physicochemical Analysis of Bioactive Cobalt(II) β-Diketo Ester Complexes: Insights into DNA and BSA Binding Mechanisms. Analytica. 2026; 7(1):3. https://doi.org/10.3390/analytica7010003
Chicago/Turabian StyleFilipović, Ignjat, Snežana Stojanović, Jelena Petronijević, Milena Milutinović, Danijela Nikodijević, Nevena Petrović, Marijana Kosanić, and Nenad Joksimović. 2026. "Spectroscopic and Physicochemical Analysis of Bioactive Cobalt(II) β-Diketo Ester Complexes: Insights into DNA and BSA Binding Mechanisms" Analytica 7, no. 1: 3. https://doi.org/10.3390/analytica7010003
APA StyleFilipović, I., Stojanović, S., Petronijević, J., Milutinović, M., Nikodijević, D., Petrović, N., Kosanić, M., & Joksimović, N. (2026). Spectroscopic and Physicochemical Analysis of Bioactive Cobalt(II) β-Diketo Ester Complexes: Insights into DNA and BSA Binding Mechanisms. Analytica, 7(1), 3. https://doi.org/10.3390/analytica7010003

