Valorization of Organic Third-Category Fruits Through Vinegar Fermentation: A Laboratory-Scale Evaluation of Apples, Peaches, and Clementines
Abstract
1. Introduction
2. Materials and Methods
2.1. Raw Materials and Preparation of Juices
2.2. Microorganisms and Culture Conditions
2.3. Fermentation of Fruit Juices to Vinegar
2.4. Determination of Ethanol and Acetic Acid
2.5. Microbiological Analyses
2.6. Color Analysis
2.7. Volatile Organic Compound Profiling
2.8. Descriptive Sensory Analysis of Vinegar Samples
2.9. Determination of Antioxidant Activity
2.10. Statistical Analysis
3. Results
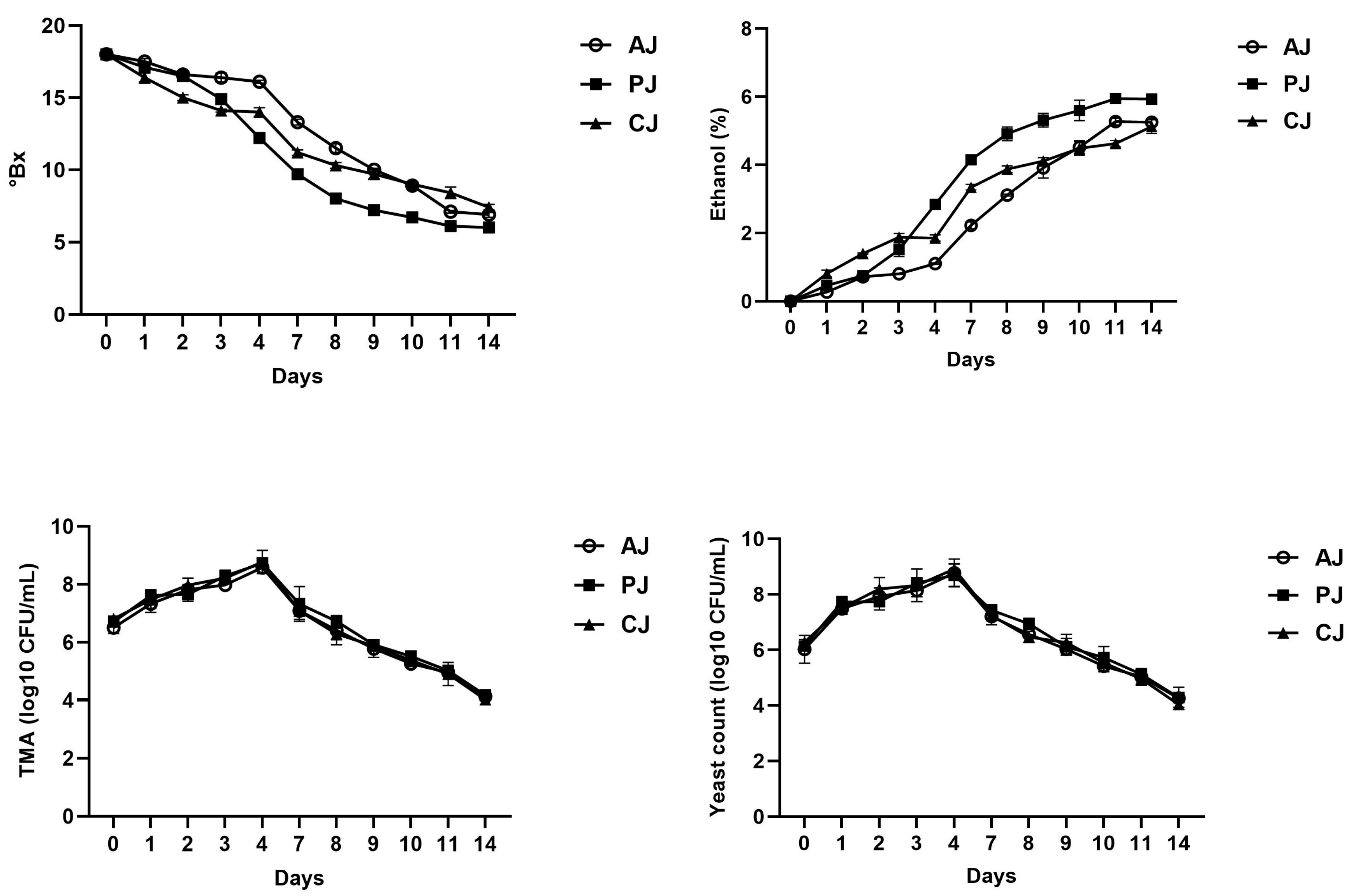
3.1. Alcoholic Fermentation of the Fruit Juices
3.2. Acetic Fermentation of the Fruit Juices
3.3. Color Indexes of the Fruit Vinegars as Compared to Commercial Vinegar
3.4. VOC Profiles of the Fruit Vinegar as Compared to Commercial Vinegar
3.5. Descriptive Sensorial Analysis
3.6. Antioxidant Activity
4. Discussion
5. Conclusions
Supplementary Materials
Author Contributions
Funding
Institutional Review Board Statement
Informed Consent Statement
Data Availability Statement
Acknowledgments
Conflicts of Interest
Abbreviations
| AAB | Acetic acid bacteria |
| TMA | Total mesophilic aerobic bacteria |
| PJ | Peach juice |
| CJ | Clementine juice |
| AJ | Apple juice |
| PV | Peach vinegar |
| CV | Clementine vinegar |
| AV | Apple vinegar |
| VOCs | Volatile organic compounds |
| DPPH∙ | 2,2-diphenyl-1-picrylhydrazyl |
| FRAP | Ferric reducing antioxidant power |
References
- Nirmal, N.P.; Khanashyam, A.C.; Mundanat, A.S.; Shah, K.; Babu, K.S.; Thorakkattu, P.; Al-Asmari, F.; Pandiselvam, R. Valorization of Fruit Waste for Bioactive Compounds and Their Applications in the Food Industry. Foods 2023, 12, 556. [Google Scholar] [CrossRef]
- FAO. The State of Food and Agriculture 2019. Moving Forward on Food Loss and Waste Reduction; The State of Food and Agriculture (SOFA); FAO: Rome, Italy, 2019; ISBN 978-92-5-131789-1. [Google Scholar]
- Luzón-Quintana, L.M.; Castro, R.; Durán-Guerrero, E. Biotechnological Processes in Fruit Vinegar Production. Foods 2021, 10, 945. [Google Scholar] [CrossRef]
- Jia, X.; Schneider, F.; Ning, M.; Ding, J. Aesthetic Grading Causes Food Losses without Financially Benefiting Farmers: Micro-Level Evidence from China’s Fresh Apple Supply Chain. Waste Manag. Res. 2025, 43, 957–968. [Google Scholar] [CrossRef]
- Porter, S.D.; Reay, D.S.; Bomberg, E.; Higgins, P. Avoidable Food Losses and Associated Production-Phase Greenhouse Gas Emissions Arising from Application of Cosmetic Standards to Fresh Fruit and Vegetables in Europe and the UK. J. Clean. Prod. 2018, 201, 869–878. [Google Scholar] [CrossRef]
- Chen, G.-L.; Zheng, F.-J.; Lin, B.; Yang, Y.-X.; Fang, X.-C.; Verma, K.K.; Yang, L.-F. Vinegar: A Potential Source of Healthy and Functional Food with Special Reference to Sugarcane Vinegar. Front. Nutr. 2023, 10, 1145862. [Google Scholar] [CrossRef]
- Al-Dalali, S.; Zheng, F.; Xu, B.; Abughoush, M.; Li, L.; Sun, B. Processing Technologies and Flavor Analysis of Chinese Cereal Vinegar: A Comprehensive Review. Food Anal. Methods 2023, 16, 1–28. [Google Scholar] [CrossRef]
- Zhang, Z.; Zhang, Z.; He, R.; Zhao, G.; Yu, Y.; Zhang, R.; Gao, X. Research Advances in Technologies and Mechanisms to Regulate Vinegar Flavor. Food Chem. 2024, 460, 140783. [Google Scholar] [CrossRef] [PubMed]
- Mas, A.; Torija, M.J.; del García-Parrilla, M.C.; Troncoso, A.M. Acetic Acid Bacteria and the Production and Quality of Wine Vinegar. Sci. World J. 2014, 2014, 394671. [Google Scholar] [CrossRef]
- Rodríguez Madrera, R.; Lobo, A.P.; Alonso, J.J.M. Effect of Cider Maturation on the Chemical and Sensory Characteristics of Fresh Cider Spirits. Food Res. Int. 2010, 43, 70–78. [Google Scholar] [CrossRef]
- Ho, C.W.; Lazim, A.M.; Fazry, S.; Zaki, U.K.H.H.; Lim, S.J. Varieties, Production, Composition and Health Benefits of Vinegars: A Review. Food Chem. 2017, 221, 1621–1630. [Google Scholar] [CrossRef]
- Di Donna, L.; Bartella, L.; De Vero, L.; Gullo, M.; Giuffrè, A.M.; Zappia, C.; Capocasale, M.; Poiana, M.; D’Urso, S.; Caridi, A. Vinegar Production from Citrus bergamia By-Products and Preservation of Bioactive Compounds. Eur. Food Res. Technol. 2020, 246, 1981–1990. [Google Scholar] [CrossRef]
- Ousaaid, D.; Mechchate, H.; Laaroussi, H.; Hano, C.; Bakour, M.; El Ghouizi, A.; Conte, R.; Lyoussi, B.; El Arabi, I. Fruits Vinegar: Quality Characteristics, Phytochemistry, and Functionality. Molecules 2021, 27, 222. [Google Scholar] [CrossRef]
- Petsiou, E.I.; Mitrou, P.I.; Raptis, S.A.; Dimitriadis, G.D. Effect and Mechanisms of Action of Vinegar on Glucose Metabolism, Lipid Profile, and Body Weight. Nutr. Rev. 2014, 72, 651–661. [Google Scholar] [CrossRef]
- Chen, J.; Tian, J.; Ge, H.; Liu, R.; Xiao, J. Effects of Tetramethylpyrazine from Chinese Black Vinegar on Antioxidant and Hypolipidemia Activities in HepG2 Cells. Food Chem. Toxicol. 2017, 109, 930–940. [Google Scholar] [CrossRef] [PubMed]
- Al-Rousan, W.M.; Olaimat, A.N.; Osaili, T.M.; Al-Nabulsi, A.A.; Ajo, R.Y.; Holley, R.A. Use of Acetic and Citric Acids to Inhibit Escherichia coli O157:H7, Salmonella Typhimurium and Staphylococcus aureus in Tabbouleh Salad. Food Microbiol. 2018, 73, 61–66. [Google Scholar] [CrossRef]
- Gheflati, A.; Bashiri, R.; Ghadiri-Anari, A.; Reza, J.Z.; Kord, M.T.; Nadjarzadeh, A. The Effect of Apple Vinegar Consumption on Glycemic Indices, Blood Pressure, Oxidative Stress, and Homocysteine in Patients with Type 2 Diabetes and Dyslipidemia: A Randomized Controlled Clinical Trial. Clin. Nutr. ESPEN 2019, 33, 132–138. [Google Scholar] [CrossRef]
- Liu, Q.; Tang, G.-Y.; Zhao, C.-N.; Gan, R.-Y.; Li, H.-B. Antioxidant Activities, Phenolic Profiles, and Organic Acid Contents of Fruit Vinegars. Antioxidants 2019, 8, 78. [Google Scholar] [CrossRef] [PubMed]
- Sengun, I.Y.; Kilic, G.; Ozturk, B. Screening Physicochemical, Microbiological and Bioactive Properties of Fruit Vinegars Produced from Various Raw Materials. Food Sci. Biotechnol. 2020, 29, 401–408. [Google Scholar] [CrossRef] [PubMed]
- Su, M.-S.; Chien, P.-J. Aroma Impact Components of Rabbiteye Blueberry (Vaccinium ashei) Vinegars. Food Chem. 2010, 119, 923–928. [Google Scholar] [CrossRef]
- Ubeda, C.; Callejón, R.M.; Hidalgo, C.; Torija, M.J.; Troncoso, A.M.; Morales, M.L. Employment of Different Processes for the Production of Strawberry Vinegars: Effects on Antioxidant Activity, Total Phenols and Monomeric Anthocyanins. LWT-Food Sci. Technol. 2013, 52, 139–145. [Google Scholar] [CrossRef]
- Ordoudi, S.A.; Mantzouridou, F.; Daftsiou, E.; Malo, C.; Hatzidimitriou, E.; Nenadis, N.; Tsimidou, M.Z. Pomegranate Juice Functional Constituents after Alcoholic and Acetic Acid Fermentation. J. Funct. Foods 2014, 8, 161–168. [Google Scholar] [CrossRef]
- Dabija, A.; Hatnean, C.A. Study Concerning the Quality of Apple Vinegar Obtained through Classical Method. J. Agroaliment. Process. Technol. 2014, 20, 304–310. [Google Scholar]
- Adebayo-Oyetoro, A.O.; Adenubi, E.; Ogundipe, O.O.; Bankole, B.O.; Adeyeye, S.A.O.; Yildiz, F. Production and Quality Evaluation of Vinegar from Mango. Cogent Food Agric. 2017, 3, 1278193. [Google Scholar] [CrossRef]
- Guiné, R.P.F.; Barroca, M.J.; Coldea, T.E.; Bartkiene, E.; Anjos, O. Apple Fermented Products: An Overview of Technology, Properties and Health Effects. Processes 2021, 9, 223. [Google Scholar] [CrossRef]
- Ren, M.; Wang, X.; Tian, C.; Li, X.; Zhang, B.; Song, X.; Zhang, J. Characterization of Organic Acids and Phenolic Compounds of Cereal Vinegars and Fruit Vinegars in China. J. Food Process. Preserv. 2017, 41, e12937. [Google Scholar] [CrossRef]
- Budak, N.H.; Özdemir, N.; Gökırmaklı, Ç. The Changes of Physicochemical Properties, Antioxidants, Organic, and Key Volatile Compounds Associated with the Flavor of Peach (Prunus cerasus L. Batsch) Vinegar during the Fermentation Process. J. Food Biochem. 2022, 46, e13978. [Google Scholar] [CrossRef]
- Wang, X.; Pacho, F.; Liu, J.; Kajungiro, R. Factors Influencing Organic Food Purchase Intention in Developing Countries and the Moderating Role of Knowledge. Sustainability 2019, 11, 209. [Google Scholar] [CrossRef]
- Murphy, B.; Martini, M.; Fedi, A.; Loera, B.L.; Elliott, C.T.; Dean, M. Consumer Trust in Organic Food and Organic Certifications in Four European Countries. Food Control 2022, 133, 108484. [Google Scholar] [CrossRef]
- Rana, J.; Paul, J. Consumer Behavior and Purchase Intention for Organic Food: A Review and Research Agenda. J. Retail. Consum. Serv. 2017, 38, 157–165. [Google Scholar] [CrossRef]
- Nguyen, H.V.; Nguyen, N.; Nguyen, B.K.; Lobo, A.; Vu, P.A. Organic Food Purchases in an Emerging Market: The Influence of Consumers’ Personal Factors and Green Marketing Practices of Food Stores. Int. J. Environ. Res. Public Health 2019, 16, 1037. [Google Scholar] [CrossRef]
- Chiriacò, M.V.; Castaldi, S.; Valentini, R. Determining Organic versus Conventional Food Emissions to Foster the Transition to Sustainable Food Systems and Diets: Insights from a Systematic Review. J. Clean. Prod. 2022, 380, 134937. [Google Scholar] [CrossRef]
- Limongelli, R.; Apa, C.A.; Porfido, C.; De Angelis, M.; Gattullo, C.E.; Minervini, F.; Terzano, R.; Celano, G. Impact of Autochthonous Non-Conventional Hanseniaspora valbyensis on Fermentation and Quality of Pomegranate Cider-like Beverage. Appl. Food Res. 2025, 5, 101258. [Google Scholar] [CrossRef]
- Hu, Y.; Peng, S.; Huang, H.; Wang, X.; Zou, Y.; Zhang, L.; Chen, T.; Gong, X.; Liao, L.; Li, J.; et al. Effects of Acetic Acid Fermentation on the Phytochemicals Content, Taste and Aroma of Pineapple Vinegar. LWT 2024, 210, 116861. [Google Scholar] [CrossRef]
- Wieczyńska, J.; Cavoski, I. Antimicrobial, Antioxidant and Sensory Features of Eugenol, Carvacrol and Trans-Anethole in Active Packaging for Organic Ready-to-Eat Iceberg Lettuce. Food Chem. 2018, 259, 251–260. [Google Scholar] [CrossRef] [PubMed]
- Caponio, G.R.; Lorusso, M.P.; Sorrenti, G.T.; Marcotrigiano, V.; Difonzo, G.; De Angelis, E.; Guagnano, R.; Ciaula, A.D.; Diella, G.; Logrieco, A.F.; et al. Chemical Characterization, Gastrointestinal Motility and Sensory Evaluation of Dark Chocolate: A Nutraceutical Boosting Consumers’ Health. Nutrients 2020, 12, 939. [Google Scholar] [CrossRef] [PubMed]
- Limongelli, R.; Minervini, F.; Calasso, M. Fermentation of Pomegranate Matrices with Hanseniaspora valbyensis to Produce a Novel Food Ingredient. LWT 2023, 180, 114687. [Google Scholar] [CrossRef]
- Son, S.-H.; Yang, S.-J.; Jeon, H.-L.; Yu, H.-S.; Lee, N.-K.; Park, Y.-S.; Paik, H.-D. Antioxidant and Immunostimulatory Effect of Potential Probiotic Lactobacillus paraplantarum SC61 Isolated from Korean Traditional Fermented Food. Jangajji. Microb. Pathog. 2018, 125, 486–492. [Google Scholar] [CrossRef]
- Minervini, F.; Missaoui, J.; Celano, G.; Calasso, M.; Achour, L.; Saidane, D.; Gobbetti, M.; De Angelis, M. Use of Autochthonous Lactobacilli to Increase the Safety of Zgougou. Microorganisms 2020, 8, 29. [Google Scholar] [CrossRef]
- Kolde, R. Pheatmap: Pretty Heatmaps. R Package Version 2019, 1, 726. [Google Scholar]
- Launholt, T.L.; Kristiansen, C.B.; Hjorth, P. Safety and Side Effects of Apple Vinegar Intake and Its Effect on Metabolic Parameters and Body Weight: A Systematic Review. Eur. J. Nutr. 2020, 59, 2273–2289. [Google Scholar] [CrossRef]
- Siddiqui, S.A.; Erol, Z.; Rugji, J.; Taşçı, F.; Kahraman, H.A.; Toppi, V.; Musa, L.; Di Giacinto, G.; Bahmid, N.A.; Mehdizadeh, M.; et al. An Overview of Fermentation in the Food Industry—Looking Back from a New Perspective. Bioresour. Bioprocess. 2023, 10, 85. [Google Scholar] [CrossRef]
- da Fonseca, M.S.; Santos, V.A.Q.; Calegari, G.C.; Dekker, R.F.H.; de Barbosa-Dekker, A.M.; da Cunha, M.A.A. Blueberry and Honey Vinegar: Successive Batch Production, Antioxidant Potential and Antimicrobial Ability. Braz. J. Food Technol. 2018, 21, e2017101. [Google Scholar] [CrossRef]
- Boondaeng, A.; Kasemsumran, S.; Ngowsuwan, K.; Vaithanomsat, P.; Apiwatanapiwat, W.; Trakunjae, C.; Janchai, P.; Jungtheerapanich, S.; Niyomvong, N. Comparison of the Chemical Properties of Pineapple Vinegar and Mixed Pineapple and Dragon Fruit Vinegar. Fermentation 2022, 8, 597. [Google Scholar] [CrossRef]
- Cejudo-Bastante, M.J.; Durán, E.; Castro, R.; Rodríguez-Dodero, M.C.; Natera, R.; García-Barroso, C. Study of the Volatile Composition and Sensory Characteristics of New Sherry Vinegar-Derived Products by Maceration with Fruits. LWT-Food Sci. Technol. 2013, 50, 469–479. [Google Scholar] [CrossRef]
- Hidalgo, C.; Torija, M.J.; Mas, A.; Mateo, E. Effect of Inoculation on Strawberry Fermentation and Acetification Processes Using Native Strains of Yeast and Acetic Acid Bacteria. Food Microbiol. 2013, 34, 88–94. [Google Scholar] [CrossRef]
- Hidalgo, C.; Mateo, E.; Mas, A.; Torija, M.J. Identification of Yeast and Acetic Acid Bacteria Isolated from the Fermentation and Acetification of Persimmon (Diospyros kaki). Food Microbiol. 2012, 30, 98–104. [Google Scholar] [CrossRef]
- Maske, B.L.; Ruiz, I.; da Vale, A.S.; de Sampaio, V.M.; El Kadri, N.K.; Soccol, C.R.; Pereira, G.V. Predicting the Microbiome and Metabolome Dynamics of Natural Apple Fermentation Towards the Development of Enhanced Functional Vinegar. Fermentation 2024, 10, 552. [Google Scholar] [CrossRef]
- Gomes, R.J.; de Fatima Borges, M.; de Freitas Rosa, M.; Castro-Gómez, R.J.H.; Spinosa, W.A. Acetic Acid Bacteria in the Food Industry: Systematics, Characteristics and Applications. Food Technol. Biotechnol. 2018, 56, 139–151. [Google Scholar] [CrossRef]
- Codex Alimentarius Commission Proposed Draft Revised Regional Standard for Vinegar; Codex Alimentarius Commission’s: Rome, Italy, 2000.
- Bakir, S.; Devecioglu, D.; Kayacan, S.; Toydemir, G.; Karbancioglu-Guler, F.; Capanoglu, E. Investigating the Antioxidant and Antimicrobial Activities of Different Vinegars. Eur. Food Res. Technol. 2017, 243, 2083–2094. [Google Scholar] [CrossRef]
- Silva, V.; Mehrpour, G.; Soares, V.; Santo, D.; Nunes, P.; Quintas, C. Quality and Biological Properties of Vinegar Processed from Non-Valorized Fruits in Southern Portugal. Future Foods 2024, 9, 100337. [Google Scholar] [CrossRef]
- Kiliçgün, H.; Yangilar, F. Physicochemical, Bioactive, Microbial, and Sensory Characteristics of Homemade Vinegar Produced with a Local Apple Variety Using a Traditional Method. Turk. J. Agric. For. 2024, 48, 898–910. [Google Scholar] [CrossRef]
- Yang, S.; Li, K.; Lu, J.; Wu, D. Optimization of Fermentation Conditions and Analysis of the Changes in Flavor Compounds for Lemon Vinegar. Food Biosci. 2024, 62, 105128. [Google Scholar] [CrossRef]
- Chen, Y.; Huang, Y.; Bai, Y.; Fu, C.; Zhou, M.; Gao, B.; Wang, C.; Li, D.; Hu, Y.; Xu, N. Effects of Mixed Cultures of Saccharomyces cerevisiae and Lactobacillus plantarum in Alcoholic Fermentation on the Physicochemical and Sensory Properties of Citrus Vinegar. LWT 2017, 84, 753–763. [Google Scholar] [CrossRef]
- Cejudo-Bastante, C.; Castro-Mejías, R.; Natera-Marín, R.; García-Barroso, C.; Durán-Guerrero, E. Chemical and Sensory Characteristics of Orange Based Vinegar. J. Food Sci. Technol. 2016, 53, 3147–3156. [Google Scholar] [CrossRef]
- Chen, S.; Wang, Y.; Sun, X.; Han, Z.; Jiang, Q.; Gao, L.; Zhang, R. Investigation on Precursor Aromas and Volatile Compounds During the Fermentation of Blackened Pear Vinegar. Foods 2025, 14, 2905. [Google Scholar] [CrossRef] [PubMed]
- Nokhoijav, E.; Guba, A.; Vadadokhau, U.; Tőzsér, J.; Győri, Z.; Kalló, G.; Csősz, É. Comparative Analysis of Amino Acid and Biogenic Amine Compositions of Fermented Grape Beverages. Metabolites 2023, 13, 892. [Google Scholar] [CrossRef]
- Xie, Z.; Koysomboon, C.; Zhang, H.; Lu, Z.; Zhang, X.; Chen, F. Vinegar Volatile Organic Compounds: Analytical Methods, Constituents, and Formation Processes. Front. Microbiol. 2022, 13, 907883. [Google Scholar] [CrossRef] [PubMed]
- Ge, Y.; Wu, Y.; Aihaiti, A.; Wang, L.; Wang, Y.; Xing, J.; Zhu, M.; Hong, J. The Metabolic Pathways of Yeast and Acetic Acid Bacteria During Fruit Vinegar Fermentation and Their Influence on Flavor Development. Microorganisms 2025, 13, 477. [Google Scholar] [CrossRef]
- Liu, R.-C.; Li, R.; Wang, Y.; Jiang, Z.-T. Analysis of Volatile Odor Compounds and Aroma Properties of European Vinegar by the Ultra-Fast Gas Chromatographic Electronic Nose. J. Food Compos. Anal. 2022, 112, 104673. [Google Scholar] [CrossRef]
- Li, Y.-N.; Peng, M.-Y.; Lu, Z.-M.; Dong, Y.-L.; Chai, L.-J.; Shi, J.-S.; Zhang, X.-J.; Xu, Z.-H. Lactiplantibacillus plantarum and Komagataeibacter europaeus Enhance Energy Metabolism, Acetic Acid and Aromatic Amino Acids Catabolism Flux in Cider Vinegar Fermentation. LWT 2024, 198, 115968. [Google Scholar] [CrossRef]
- Yun, Y.-R.; Park, B.-Y.; Kim, S.-H.; Jung, J.-H. Antioxidant, Anti-Obesity, and Anti-Aging Activities of Jeju Citrus Blended Vinegar. Foods 2021, 10, 1441. [Google Scholar] [CrossRef]
- Cebadera, L.; Dias, M.I.; Barros, L.; Fernández-Ruiz, V.; Cámara, R.M.; Del Pino, Á.; Santos-Buelga, C.; Ferreira, I.C.F.R.; Morales, P.; Cámara, M. Characterization of Extra Early Spanish Clementine Varieties (Citrus clementina Hort Ex Tan) as a Relevant Source of Bioactive Compounds with Antioxidant Activity. Foods 2020, 9, 642. [Google Scholar] [CrossRef] [PubMed]
- Saini, R.K.; Ranjit, A.; Sharma, K.; Prasad, P.; Shang, X.; Gowda, K.G.M.; Keum, Y.-S. Bioactive Compounds of Citrus Fruits: A Review of Composition and Health Benefits of Carotenoids, Flavonoids, Limonoids, and Terpenes. Antioxidants 2022, 11, 239. [Google Scholar] [CrossRef] [PubMed]
- Borghi, S.M.; Pavanelli, W.R. Antioxidant Compounds and Health Benefits of Citrus Fruits. Antioxidants 2023, 12, 1526. [Google Scholar] [CrossRef] [PubMed]
- Bento, C.; Gonçalves, A.C.; Silva, B.; Silva, L.R. Peach (Prunus persica): Phytochemicals and Health Benefits. Food Rev. Int. 2022, 38, 1703–1734. [Google Scholar] [CrossRef]
- Nowicka, P.; Wojdyło, A.; Laskowski, P. Principal Component Analysis (PCA) of Physicochemical Compounds’ Content in Different Cultivars of Peach Fruits, Including Qualification and Quantification of Sugars and Organic Acids by HPLC. Eur. Food Res. Technol. 2019, 245, 929–938. [Google Scholar] [CrossRef]







| Vinegar Type | L* | a* | b* |
|---|---|---|---|
| AV | 55.49 ± 0.25 b | 2.94 ± 0.54 c | 24.65 ± 0.48 b |
| CV | 54.17 ± 0.34 c | 4.33 ± 0.28 b | 19.85 ± 0.53 d |
| PV | 53.15 ± 0.53 c | 6.73 ± 0.36 a | 26.16 ± 0.22 a |
| Commercial | 58.46 ± 0.65 a | 1.83 ± 0.71 d | 21.6 ± 0.16 c |
Disclaimer/Publisher’s Note: The statements, opinions and data contained in all publications are solely those of the individual author(s) and contributor(s) and not of MDPI and/or the editor(s). MDPI and/or the editor(s) disclaim responsibility for any injury to people or property resulting from any ideas, methods, instructions or products referred to in the content. |
© 2026 by the authors. Licensee MDPI, Basel, Switzerland. This article is an open access article distributed under the terms and conditions of the Creative Commons Attribution (CC BY) license.
Share and Cite
Muhammed, Y.M.R.; Cavoski, I.; Apa, C.A.; Celano, G.; Spagnuolo, M.; Minervini, F.; De Angelis, M. Valorization of Organic Third-Category Fruits Through Vinegar Fermentation: A Laboratory-Scale Evaluation of Apples, Peaches, and Clementines. Foods 2026, 15, 238. https://doi.org/10.3390/foods15020238
Muhammed YMR, Cavoski I, Apa CA, Celano G, Spagnuolo M, Minervini F, De Angelis M. Valorization of Organic Third-Category Fruits Through Vinegar Fermentation: A Laboratory-Scale Evaluation of Apples, Peaches, and Clementines. Foods. 2026; 15(2):238. https://doi.org/10.3390/foods15020238
Chicago/Turabian StyleMuhammed, Yasmin Muhammed Refaie, Ivana Cavoski, Carmen Aurora Apa, Giuseppe Celano, Matteo Spagnuolo, Fabio Minervini, and Maria De Angelis. 2026. "Valorization of Organic Third-Category Fruits Through Vinegar Fermentation: A Laboratory-Scale Evaluation of Apples, Peaches, and Clementines" Foods 15, no. 2: 238. https://doi.org/10.3390/foods15020238
APA StyleMuhammed, Y. M. R., Cavoski, I., Apa, C. A., Celano, G., Spagnuolo, M., Minervini, F., & De Angelis, M. (2026). Valorization of Organic Third-Category Fruits Through Vinegar Fermentation: A Laboratory-Scale Evaluation of Apples, Peaches, and Clementines. Foods, 15(2), 238. https://doi.org/10.3390/foods15020238

