Sign in to use this feature.

Years

Between: -

Subjects

remove_circle_outline
remove_circle_outline
remove_circle_outline
remove_circle_outline
remove_circle_outline
remove_circle_outline
remove_circle_outline
remove_circle_outline
remove_circle_outline

Journals

Article Types

Countries / Regions

Search Results (190)

Search Parameters:
Keywords = floating offshore wind power

Order results
Result details
Results per page
Select all
Export citation of selected articles as:
24 pages, 5047 KB  
Article
Study on Yaw Control of the Semi-Submersible Wind Turbine Array Under Misaligned Wind-Wave Conditions
by Xiaofei Zhang, Zhengwei Yang and Zhiqiang Xin
Modelling 2026, 7(1), 2; https://doi.org/10.3390/modelling7010002 - 23 Dec 2025
Viewed by 173
Abstract
When operating in the marine environment, floating offshore wind turbines (FOWTs) are subjected to various inflow conditions such as wind, waves, and currents. To investigate the effects of complex inflow conditions on offshore wind farms, an integrated fluid-structure interaction computational and coupled dynamic [...] Read more.
When operating in the marine environment, floating offshore wind turbines (FOWTs) are subjected to various inflow conditions such as wind, waves, and currents. To investigate the effects of complex inflow conditions on offshore wind farms, an integrated fluid-structure interaction computational and coupled dynamic analysis method for FOWTs is employed. An aero-hydro-servo-elastic coupled analysis model of the NREL 5 MW semi-submersible wind turbine array based on the OC4-DeepCwind platform is established. The study examines the variations in power generation, platform motion, structural loads, and flow field distribution of the FOWT array under different wave incident angles and yaw angles of the first column turbines. The results indicate that the changes in power generation, platform motion, and flow field distribution of the wind farm are significantly influenced by the yaw angle. The maximum tower top yaw bearing torque and the tower base Y-direction bending moment of the wind turbines undergo significant changes with the increase in the angle between wind and wave directions. The study reveals the mechanism of power generation and load variation during yaw control of the FOWT array under misaligned wind and wave conditions, providing a theoretical basis for the future development of offshore floating wind farms. Full article
Show Figures

Figure 1

21 pages, 1766 KB  
Article
Floating Offshore Wind Farm Inter-Array Cabling Topology Optimisation with Metaheuristic Particle Swarm Optimisation
by Sergi Vilajuana Llorente, José Ignacio Rapha, Magnus Daniel Kallinger and José Luis Domínguez-García
Clean Technol. 2025, 7(4), 110; https://doi.org/10.3390/cleantechnol7040110 - 4 Dec 2025
Viewed by 339
Abstract
Floating offshore wind is now receiving much attention as an expansion to bottom-fixed, especially in deep waters with large wind resources. In this regard, improving the performance and efficiency of floating offshore wind farms (FOWFs) is currently a highly addressed topic. The inter-array [...] Read more.
Floating offshore wind is now receiving much attention as an expansion to bottom-fixed, especially in deep waters with large wind resources. In this regard, improving the performance and efficiency of floating offshore wind farms (FOWFs) is currently a highly addressed topic. The inter-array (IA) cable connection is a key aspect to be optimised. Due to floating offshore wind (FOW) particularities such as dynamic cable designs, higher power capacities, and challenging installation, IA cabling is expected to be a primary cost driver for commercial-scale FOWFs. Therefore, IA cabling optimisation can lead to large cost reductions. In this work, an optimisation with an adaptive particle swarm optimisation (PSO) algorithm for such wind farms is proposed, considering the floating substructures’ horizontal translations and its impact on the dynamic cable length. The method provides an optimised IA connection, reducing acquisition costs and power losses by using a clustered minimum spanning tree (MST) as an initial solution and improving it with the PSO algorithm. The PSO achieves a reduction in the levelised cost of energy (LCOE) between 0.018% (0.022 EUR/MWh) and 0.10% (0.12 EUR/MWh) and a reduction in cable acquisition costs between 0.18% (0.3 M EUR) and 1.34% (3.8 M EUR) compared to the initial solution, showing great potential for future commercial-sized FOWFs. Full article
Show Figures

Figure 1

16 pages, 4528 KB  
Article
From Resource Assessment to AEP Correction: Methodological Framework for Comparing HAWT and VAWT Offshore Systems
by María Luisa Ruiz-Leo, Isabel C. Gil-García and Ana Fernández-Guillamón
J. Mar. Sci. Eng. 2025, 13(11), 2183; https://doi.org/10.3390/jmse13112183 - 18 Nov 2025
Viewed by 450
Abstract
The rapid expansion of offshore wind energy requires exploring alternative turbine architectures capable of operating efficiently in deep waters. While horizontal-axis wind turbines (HAWTs) dominate the current market, vertical-axis wind turbines (VAWTs) offer potential advantages in wake recovery, structural integration, and scalability on [...] Read more.
The rapid expansion of offshore wind energy requires exploring alternative turbine architectures capable of operating efficiently in deep waters. While horizontal-axis wind turbines (HAWTs) dominate the current market, vertical-axis wind turbines (VAWTs) offer potential advantages in wake recovery, structural integration, and scalability on floating platforms. This work proposes a methodological framework to enable a fair and reproducible comparison between the two concepts. The approach begins with site selection through spatial exclusion criteria, followed by acquisition and validation of wind data over at least one year, including long-term correction with reanalysis datasets. Technical specifications of both HAWTs and VAWTs (power curves, thrust coefficients, and rotor geometries) are compiled to build consistent turbine models. Wind resource characterization is carried out using sectoral Weibull distributions, energy roses, and vertical wind profiles. Annual energy production (AEP) for HAWTs is estimated with WAsP, while VAWT performance requires geometric normalization to a common top-tip height and subsequent correction factors for air density, turbulence sensitivity, and wake recovery. Case studies demonstrate that corrected AEP values for VAWTs may exceed baseline WAsP estimates by 6–20%, narrowing the performance gap with HAWTs. The framework highlights uncertainties in wake modeling and calls for dedicated computational fluid dynamics (CFD) validation and pilot projects to confirm large-scale VAWT viability. Full article
(This article belongs to the Section Ocean Engineering)
Show Figures

Figure 1

26 pages, 3908 KB  
Article
Balancing Resource Potential and Investment Costs in Offshore Wind Projects: Evidence from Northern Colombia
by Adalberto Ospino-Castro, Carlos Robles-Algarín and Jhon William Vásquez Capacho
Energies 2025, 18(22), 6003; https://doi.org/10.3390/en18226003 - 16 Nov 2025
Viewed by 588
Abstract
This study presents a comprehensive techno-economic assessment of offshore wind projects in the Colombian Caribbean, emphasizing the impact of site-specific parameters on development costs and performance. Wind resource conditions were evaluated in four coastal regions (La Guajira, Magdalena, Atlántico, and Bolívar) using hourly [...] Read more.
This study presents a comprehensive techno-economic assessment of offshore wind projects in the Colombian Caribbean, emphasizing the impact of site-specific parameters on development costs and performance. Wind resource conditions were evaluated in four coastal regions (La Guajira, Magdalena, Atlántico, and Bolívar) using hourly meteorological data from 2015 to 2024, adjusted to 100 m above ground level through logarithmic and power law wind profile models. The analysis included wind speed, bathymetry, distance to shore, distance to substation, foundation type, wind power density (WPD), and capacity factor (Cf). Based on these parameters, annual energy generation was estimated, and both capital expenditures (CAPEX) and operational expenditures (OPEX) were calculated, considering the technical and cost differences between fixed and floating foundations. Results show that La Guajira combines excellent wind conditions (WPD of 796 W/m2 and Cf of 61.5%) with favorable construction feasibility (bathymetry of −32 m), resulting in the lowest CAPEX among the studied regions. In contrast, Magdalena and Atlántico, with bathymetries exceeding 200 m, require floating foundations that more than double the investment costs. Bolívar presents an intermediate profile, offering solid wind potential and fixed foundation feasibility at a moderate cost. The findings confirm that offshore wind project viability depends not only on wind resource quality but also on physical site constraints, which directly influence the cost structure and energy yield. This integrated approach supports more accurate project prioritization and contributes to strategic planning for the sustainable deployment of offshore wind energy in Colombia. Full article
(This article belongs to the Special Issue Recent Developments of Wind Energy: 2nd Edition)
Show Figures

Figure 1

24 pages, 8173 KB  
Article
The Role of Double-Φ Floating Semi-Submersible Vertical Axis Wind Turbines in Suppressing the Gyroscopic Effect
by Jin Jiang, Zhengyang Wang, Weijie Zhang and Binbin Zhao
Energies 2025, 18(21), 5847; https://doi.org/10.3390/en18215847 - 6 Nov 2025
Viewed by 598
Abstract
The gyroscopic effect has significant impacts on the stability, dynamic behavior, and vibration characteristics of high-speed rotating systems. A floating offshore vertical axis wind turbine (FOVWT) exhibits gyroscope-like motions under combined wind–wave–current conditions; the attitude angles of the shaft connected to the platform [...] Read more.
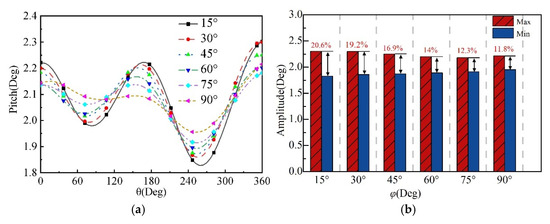
The gyroscopic effect has significant impacts on the stability, dynamic behavior, and vibration characteristics of high-speed rotating systems. A floating offshore vertical axis wind turbine (FOVWT) exhibits gyroscope-like motions under combined wind–wave–current conditions; the attitude angles of the shaft connected to the platform change continuously in space, making the overall system’s gyroscopic effect more pronounced. From a geometric perspective, this study investigates a method to suppress the gyroscopic effect of floating offshore vertical axis wind turbines: replacing the conventional single-Φ rotor with a stagger-mounted double-layer double-Φ rotor. This configuration exploits the phase difference in circumferential (i.e., 360° around the rotor) aerodynamic loads experienced by the upper and lower rotors; the superposition of these loads ultimately reduces the platform’s pitch response. This study adopts computational fluid dynamics (CFD) for numerical simulations. First, using the NREL 5-MW OC4 floating horizontal axis wind turbine (FOHWT) platform as the research object, we computed the platform’s motion responses under different environmental conditions and verified the effectiveness of the numerical method through comparison with published literature data. Then, under the same marine environment, we compared the motion responses of the conventional single-Φ turbine and double-Φ turbines with different misalignment angles. The results show that modifying the Φ-type rotor configuration can effectively reduce the axial load on the rotor and enhance system stability. As the rotor misalignment angle increases from 15° to 90°, the pitch motion amplitude decreases from 20.6% to 11.8%, while the overall turbine power is only slightly reduced. Full article
(This article belongs to the Special Issue Advances in Offshore Renewable Energy Systems)
Show Figures

Figure 1

19 pages, 4463 KB  
Article
Numerical Investigation of the Installation Process of Drag Anchors in Sand
by Chuheng Wu, Youhu Zhang, Peng Guo and Di Lei
Geotechnics 2025, 5(4), 76; https://doi.org/10.3390/geotechnics5040076 - 3 Nov 2025
Cited by 1 | Viewed by 880
Abstract
The offshore wind industry is expanding from shallow water to deep water. As a cost-effective and efficient anchoring solution, drag embedment anchors have been widely used for mooring floating offshore structures. However, there is currently no well-established method for predicting the installation trajectory [...] Read more.
The offshore wind industry is expanding from shallow water to deep water. As a cost-effective and efficient anchoring solution, drag embedment anchors have been widely used for mooring floating offshore structures. However, there is currently no well-established method for predicting the installation trajectory and holding capacity of drag anchors in sand. This paper reports an integrated anchor–chain–soil large-deformation finite-element model for simulating the complete installation of drag anchors in sand. The proposed approach restores the effects of anchor chains and detailed structures of the anchor, which is essential for detailed anchor design. Sensitivity analysis is conducted to investigate the convergence of model parameters. The performance of the numerical model is benchmarked against a centrifuge test conducted at the University of Western Australia (UWA), which demonstrates satisfactory accuracy and reliability. Installation simulations are then performed using a popular commercial anchor design in sands of different friction angles. Three characteristic stages during the drag embedment process are identified. The results highlight the significant influence of the soil resistance to the shank on the anchor penetration performance. The large-deformation analysis approach proposed provides a powerful tool for further investigation on drag anchor installation behavior in sand. Full article
(This article belongs to the Special Issue Recent Advances in Soil–Structure Interaction)
Show Figures

Figure 1

24 pages, 6126 KB  
Article
An Integrated Tuned Hydro-PTO Semi-Submersible Platform for Deep-Sea Wind-Wave Cogeneration: Design, Hydrodynamic Analysis
by Guohua Wang, Haolin Yang, Fangyuan Zhou, Yuhang Shen, Zhirui Zhang, Hailong Jiang, Runnan Liu, Jiaxin Liu and Yi Zhang
Energies 2025, 18(21), 5778; https://doi.org/10.3390/en18215778 - 2 Nov 2025
Cited by 1 | Viewed by 406
Abstract
The ocean offers abundant wind and wave energy resources. This paper proposes an integrated concept that co-locates a semi-submersible floating wind platform with wave energy converters (WECs) to exploit the geographical consistency of these resources. By sharing the platform foundation and power transmission [...] Read more.
The ocean offers abundant wind and wave energy resources. This paper proposes an integrated concept that co-locates a semi-submersible floating wind platform with wave energy converters (WECs) to exploit the geographical consistency of these resources. By sharing the platform foundation and power transmission infrastructure, this integrated system enhances the utilization efficiency of marine space and renewable energy. Inspired by the principles of the Tuned Mass Damper (TMD) and leveraging mature hydraulic technologies from wave energy conversion and offshore drilling heave compensation systems, this study introduces a novel scheme. This scheme integrates a heave plate with a hydraulic Power Take-Off (PTO) system, functionally acting as a wave energy converter, to the floating platform. The primary objective is to mitigate the platform’s motion response while simultaneously generating electricity. The research investigates the motion performance improvement of this integrated platform under South China Sea conditions. The results demonstrate that the proposed WEC–PTO system not only improves the platform’s wave resistance and adaptability to deep-sea environments but also increases the overall efficiency of marine energy equipment deployment. Full article
(This article belongs to the Section A3: Wind, Wave and Tidal Energy)
Show Figures

Figure 1

13 pages, 1282 KB  
Article
Multi-Objective Optimization for PTO Damping of Floating Offshore Wind–Wave Hybrid Systems Under Extreme Conditions
by Suchun Yang, Shuo Zhang, Fan Zhang, Xianzhi Wang and Dongsheng Qiao
J. Mar. Sci. Eng. 2025, 13(11), 2084; https://doi.org/10.3390/jmse13112084 - 1 Nov 2025
Viewed by 438
Abstract
Floating offshore wind–wave hybrid systems, as a novel structural form integrating floating wind turbine foundations and WECs, can effectively enhance the efficiency of renewable energy utilization when properly designed. A numerical model is established to investigate the dynamic responses of a wind–wave hybrid [...] Read more.
Floating offshore wind–wave hybrid systems, as a novel structural form integrating floating wind turbine foundations and WECs, can effectively enhance the efficiency of renewable energy utilization when properly designed. A numerical model is established to investigate the dynamic responses of a wind–wave hybrid system comprising a semi-submersible FOWT and PA wave energy converters. The optimal damping values of the PTO system for the wind–wave hybrid system are determined based on an NSGA-II. Subsequently, a comparative analysis of dynamic responses is carried out for the PTO system with different states: latching, fully released, and optimal damping. Under the same extreme irregular wave conditions, the pitch motion of the FOWT with optimal damping is reduced to 71% and 50% compared to the latching and fully released states, respectively. The maximum mooring line tension in the optimal damping state is similar to that in the fully released state, but nearly 40% lower than in the latching state. This optimal control strategy not only sustains power generation but also enhances structural stability and efficiency compared to traditional survival strategies, offering a promising approach for cost-effective offshore wind and wave energy utilization. Full article
(This article belongs to the Special Issue Optimized Design of Offshore Wind Turbines)
Show Figures

Figure 1

21 pages, 4035 KB  
Article
Soft Power Limitation Control for Floating Offshore Wind Turbines
by Kwansoo Kim, Hyun-Gyu Kim, Joong-Hyeok Lee and Jaehoon Son
Energies 2025, 18(21), 5732; https://doi.org/10.3390/en18215732 - 31 Oct 2025
Viewed by 387
Abstract
Floating offshore wind turbines (FOWTs) face significant challenges in maintaining reliable power generation while mitigating structural loads, which are critical for reducing maintenance costs and extending service life. To address these issues, this study evaluates the effectiveness of a Soft Power Limitation Control [...] Read more.
Floating offshore wind turbines (FOWTs) face significant challenges in maintaining reliable power generation while mitigating structural loads, which are critical for reducing maintenance costs and extending service life. To address these issues, this study evaluates the effectiveness of a Soft Power Limitation Control (SPLC) strategy through numerical simulations in DNV Bladed. Two representative design load cases were considered, with design load case (DLC) 1.1 representing normal turbulence and DLC 2.3 representing an extreme operating gust. Under DLC 1.1, SPLC substantially reduced tower fatigue loads, lowering the damage equivalent loads (DELs) of side-to-side and fore–aft bending moments by 21 percent and 15.2 percent, respectively, while blade and mooring loads remained nearly unchanged. Platform motions exhibited modest improvements, including a 6.5 percent reduction in surge peak-to-peak, 2.2 percent in surge RMS, and 2.6 percent in pitch peak-to-peak. Under DLC 2.3, SPLC effectively alleviated extreme responses, decreasing the maximum tower side-to-side bending moment by 30.7 percent and the blade flap-wise bending moment by 15.6 percent, without adverse effects on six-degrees-of-freedom (6-DOFs) platform motions. Overall, the results confirm that SPLC enhances both fatigue and extreme load performance while maintaining stability, highlighting its potential as a practical and cost-effective control strategy to improve the reliability, durability, and commercial viability of FOWTs. Full article
(This article belongs to the Section A3: Wind, Wave and Tidal Energy)
Show Figures

Figure 1

21 pages, 4484 KB  
Article
Numerical Study on the Dynamic Response of an Offshore Converter Platform with Integrated Equipment During Float-Over Installation
by Zhenqiang Jiang, Weiwei Wu, Tianchai Wang, Zhenzhou Sun, Bo Zhang, Guohai Dong and Chunwei Bi
Energies 2025, 18(21), 5656; https://doi.org/10.3390/en18215656 - 28 Oct 2025
Cited by 1 | Viewed by 353
Abstract
With the transformation of the global energy structure, offshore wind power is developing on a large scale, and the efficient and safe installation of offshore converter platforms has become a key technological bottleneck. Based on the elastic force–gravity similarity principle, a 1:65 model [...] Read more.
With the transformation of the global energy structure, offshore wind power is developing on a large scale, and the efficient and safe installation of offshore converter platforms has become a key technological bottleneck. Based on the elastic force–gravity similarity principle, a 1:65 model scale was adopted. A physical model of the offshore converter station platform was constructed, and the accuracy of the numerical simulation was validated by comparison with the physical model tests. This study investigates the dynamic response of the offshore converter platform and converter valve equipment during the float-over installation and mating process. The structural dynamic responses at key positions were analyzed. The results indicate that, due to the slender and flexible structure of the converter valve equipment, the Z-direction acceleration at the top is about 20% higher than that at the bottom. Moreover, the stress and strain at the bottom connection with the deck are higher than those at the top. The Y-direction acceleration at the edge foundation beam of the platform module is 47% higher than that at the mid-span position. The vibration frequency of the foundation beam on the first floor with the converter valve arranged is increased by 15%. When the jacket piles are subjected to impact, the mid-span response is 25% higher than that at the edges, showing characteristics of “strong at mid-span and weak at the edges”. Full article
Show Figures

Figure 1

22 pages, 9742 KB  
Article
Investigation on Wake Evolution Dynamics for Various Floating Offshore Wind Turbine Platforms
by Yifan Gao and Jiahao Chen
Energies 2025, 18(21), 5620; https://doi.org/10.3390/en18215620 - 26 Oct 2025
Viewed by 660
Abstract
The study investigates the impact of motions of floating offshore wind turbine platforms on wake evolution and overall wind farm performance, employing large-eddy simulation (LES) and dynamic wake modeling method. First, the differences between wakes of floating and bottom-fixed wind turbines under forced [...] Read more.
The study investigates the impact of motions of floating offshore wind turbine platforms on wake evolution and overall wind farm performance, employing large-eddy simulation (LES) and dynamic wake modeling method. First, the differences between wakes of floating and bottom-fixed wind turbines under forced motion are examined. Subsequently, a systematic comparative analysis is performed for four representative floating platform configurations—Spar, Semi-submersible, Tension-Leg Platform (TLP), and Monopile (Mnpl)—to assess wake dynamics and downstream turbine responses within tandem-arranged arrays. Results indicate that platform pitch motion, by inducing periodic variations in the rotor’s relative inflow angle, significantly enhances wake unsteadiness, accelerates kinetic energy recovery, and promotes vortex breakdown. Tandem-arrange turbines simulations further reveal that platform-dependent motion characteristics substantially influence wake center displacement, velocity deficit, downstream turbine thrust, and overall power fluctuations at the wind farm scale. Among the examined configurations, the Spar platform exhibits the most pronounced wake disturbance and the largest downstream load and power oscillations, with rotor torque and thrust increasing by 10.2% and 10.6%, respectively, compared to other designs. This study elucidates the coupled mechanisms among 6-DOFs (Six Degrees Of Freedom) motions, wake evolution, and power performance, providing critical insights for optimizing floating wind farm platform design and developing advanced cooperative control strategies. Full article
(This article belongs to the Special Issue Advances in Ocean Energy Technologies and Applications)
Show Figures

Figure 1

23 pages, 4689 KB  
Review
Dynamics of Offshore Wind Turbine Foundation: A Critical Review and Future Directions
by Jiaojie Xie, Hao Wang, Xin Cai, Hongjian Zhang, Lei Ren, Maowen Cai and Zhiqiang Xin
J. Mar. Sci. Eng. 2025, 13(10), 2016; https://doi.org/10.3390/jmse13102016 - 21 Oct 2025
Viewed by 1647
Abstract
Offshore wind turbines (OWTs) are being developed with larger capacities for deeper waters, facing complex environmental loads that challenge structural safety. In contrast to onshore turbines, OWT foundations must withstand combined hydrodynamic forces (waves and currents), leading to substantially higher construction costs. For [...] Read more.
Offshore wind turbines (OWTs) are being developed with larger capacities for deeper waters, facing complex environmental loads that challenge structural safety. In contrast to onshore turbines, OWT foundations must withstand combined hydrodynamic forces (waves and currents), leading to substantially higher construction costs. For floating offshore wind turbines (FOWTs), additional considerations include radiation hydrodynamic loads and additional hydrodynamic damping effects caused by platform motion. Dynamic analysis of these foundations remains a critical bottleneck, presenting new challenges for offshore wind power advancement. This article first introduces the main structural types of OWT foundations, with case studies predominantly from China. The remaining part of the article proceeds as follows: dynamics of fixed OWT foundations, dynamics of FOWT foundations, and conclusions. Next, it covers several important topics related to fixed offshore wind turbines, including pile–soil interaction, wave loads, and seismic analysis. It then discusses support platform motion analysis, hydroelastic analysis, and mooring system characteristics of floating offshore wind turbines. Finally, it presents some insights to improve design and optimization methods for enhancing the safety and reliability of offshore wind turbines. This research clarifies OWT foundation dynamics, helping researchers address challenges and optimize designs. Full article
(This article belongs to the Section Coastal Engineering)
Show Figures

Figure 1

23 pages, 4230 KB  
Article
Experimental Study on the Structural Dynamic Response of an Offshore Electrical Platform During Mating Process in Float-Over Installation
by Yinfeng Wang, Bo Zhang, Zongjun Shan, Zhenzhou Sun, Jiefeng Chen, Xu Jiang, Guohai Dong and Chunwei Bi
J. Mar. Sci. Eng. 2025, 13(10), 2000; https://doi.org/10.3390/jmse13102000 - 17 Oct 2025
Cited by 1 | Viewed by 416
Abstract
As offshore wind power moves into deeper waters, large-scale electrical platforms are key to efficient power transmission. However, their heavy topside modules create major installation challenges. As traditional lifting methods are inadequate, the float-over method has become a viable solution for installing topside [...] Read more.
As offshore wind power moves into deeper waters, large-scale electrical platforms are key to efficient power transmission. However, their heavy topside modules create major installation challenges. As traditional lifting methods are inadequate, the float-over method has become a viable solution for installing topside modules, but it is essential to study the structural responses to collisions during the process to ensure construction and equipment safety. This study establishes a physical model of the offshore converter station at a 1:65 scale based on the elastic force-gravity similarity principle. Assuming the barge carrying the topside module descends at a constant speed, the study investigates the dynamic response of the platform during the float-over mating process. Float-over collision tests are conducted to obtain the platform’s acceleration, strain, and displacement responses and to analyze the effects of collision speed, offset position, and Leg Mating Unit (LMU) stiffness on the dynamic structural response characteristics. The results show that as collision speed increases from 10 mm/s to 50 mm/s, the topside acceleration response increases up to 5.7 times. Beam strain remains mostly unchanged, and displacement increases first, then decreases. Under fixed descent velocity, x-offset increases jacket strain and converter valve acceleration, while y-offset raises platform acceleration and reduces valve acceleration by approximately 20 percent. At 50 mm/s, higher LMU stiffness causes the acceleration response to first drop, then rise. These findings support safe float-over installation. Full article
(This article belongs to the Section Ocean Engineering)
Show Figures

Figure 1

25 pages, 5187 KB  
Article
Observer-Based Robust Control for Dynamic Positioning in Float-Over Installation of Offshore Converter Stations
by Ping Li, Li Zhao, Mingjun Ouyang, Jinghao Zhao, Rui Zhao, Meiyan Zou and Mingsheng Chen
J. Mar. Sci. Eng. 2025, 13(10), 1927; https://doi.org/10.3390/jmse13101927 - 9 Oct 2025
Viewed by 421
Abstract
With the development of offshore wind power progressing towards larger-scale and deeper-water projects, the float-over installation of offshore converter stations has become a mainstream solution due to its high carrying capacity, efficiency and cost-effectiveness. This study addresses the dynamic positioning (DP) challenges during [...] Read more.
With the development of offshore wind power progressing towards larger-scale and deeper-water projects, the float-over installation of offshore converter stations has become a mainstream solution due to its high carrying capacity, efficiency and cost-effectiveness. This study addresses the dynamic positioning (DP) challenges during this operation, where traditional PID controllers often struggle with performance under complex environmental loads. An Observer-Based Robust Controller (OBRC) is proposed and integrated with a constant parameter time-domain model (CPTDM) to simulate the DP process of a novel T-U barge. Time-domain simulations for both standby and entry phases were conducted under various wave directions and periods. The results demonstrate that the OBRC significantly outperforms the conventional PID controller in maintaining positioning accuracy. The findings provide critical insights into motion responses and control strategies, offering valuable guidance for the design and safe operation of future float-over installations. Full article
Show Figures

Figure 1

22 pages, 1557 KB  
Article
Capacity Configuration and Benefit Assessment of Deep-Sea Wind–Hydrogen System Considering Dynamic Hydrogen Price
by Chen Fu, Li Lan, Yanyuan Qian, Peng Chen, Zhonghao Shi, Xinghao Zhang, Chuanbo Xu and Ruoyi Dong
Energies 2025, 18(19), 5175; https://doi.org/10.3390/en18195175 - 29 Sep 2025
Viewed by 570
Abstract
Against the backdrop of the global transition towards clean energy, deep-sea wind-power hydrogen production integrates offshore wind with green hydrogen technology. Addressing the technical coupling complexity and the impact of uncertain hydrogen prices, this paper develops a capacity optimization model. The model incorporates [...] Read more.
Against the backdrop of the global transition towards clean energy, deep-sea wind-power hydrogen production integrates offshore wind with green hydrogen technology. Addressing the technical coupling complexity and the impact of uncertain hydrogen prices, this paper develops a capacity optimization model. The model incorporates floating wind turbine output, the technical distinctions between alkaline (ALK) electrolyzers and proton exchange membrane (PEM) electrolyzers, and the synergy with energy storage. Under three hydrogen price scenarios, the results demonstrate that as the price increases from 26 CNY/kg to 30 CNY/kg, the optimal ALK capacity decreases from 2.92 MW to 0.29 MW, while the PEM capacity increases from 3.51 MW to 5.51 MW. Correspondingly, the system’s Net Present Value (NPV) exhibits an upward trend. To address the limitations of traditional methods in handling multi-dimensional benefit correlations and information ambiguity, a comprehensive benefit evaluation framework encompassing economic, technical, environmental, and social synergies was constructed. Sensitivity analysis indicates that the comprehensive benefit level falls within a relatively high-efficiency interval. The numerical characteristics, an entropy value of 3.29 and a hyper-entropy of 0.85, demonstrate compact result distribution and robust stability, validating the applicability and stability of the proposed offshore wind–hydrogen benefit assessment model. Full article
Show Figures

Figure 1

Back to TopTop