Numerical Investigation of the Installation Process of Drag Anchors in Sand
Abstract
1. Introduction
- (1)
- (2)
- In some studies, the interaction between anchor chains and DEAs is considered in a decoupled manner, which means that the DEA’s movement is achieved by prescribing a calculated displacement/force/velocity boundary in the numerical model [17,26,49]. While in some other studies which did attempt to model the soil–chain interaction, too few chain units were modeled [19,20,47]; this can lead to significant inaccuracy as the model fails to capture the reverse-catenary shape of the embedded chain at deep embedment. As the anchor’s kinematics depends on the loading angle at the shackle, which is strongly influenced by the interaction between the chains and the soil [11,51,52], it is critical to correctly capture the soil–chain interaction in the CEL model.
2. Integrated Anchor–Chain–Soil Large-Deformation Finite-Element Analysis Method
2.1. Coupled-Eulerian–Lagrangian Method (CEL Method)
2.2. Simulation of the Drag Anchor and the Seabed
2.3. Simulation of the Chain
2.4. Analysis Steps, Boundary Conditions, and Interface Interaction
- (1)
- The “geostatic” step. This purpose of this step is to generate the initial stress field within the soil domain.
- (2)
- The “initialization” step. Gravity is activated on the anchor and the chains in this step and the anchor achieves a small initial penetration due to its self-weight.
- (3)
- The “drag” step. A horizontal drag velocity is applied at the last chain unit and the anchor penetrates into the seabed under the dragging motion.
- For the Eulerian domain, side boundaries (including the bottom of the soil) are prescribed with a zero-velocity boundary condition normal to the surfaces. This is different from the normally applied zero-displacement boundary because precluding nonzero displacement boundaries in the Eulerian domain would deform the mesh, contradicting the formulation where nodes stay stationary. Abaqus ignores such conditions, restricting displacements to zero. Instead, zero-velocity boundaries control movement of materials by preventing outflow during deformation like impermeable “walls”. This ensures stability, realism, and accurate flow tracking around Lagrangian domains like the anchors in the current study.
- An Eulerian outflow boundary with a “no reflection” option is applied on the side boundaries of the Eulerian domain (except the bottom of the soil). This is essential for modeling infinite domains. The fixed Eulerian mesh prevents material from deforming nodes, but without this condition, outgoing soil flow would artificially reflect back at the domain edge, distorting force balances, trajectories, and overall dynamics, leading to unphysical stiffening or oscillations. The non-reflecting outflow absorbs these waves simulating an infinite domain and ensuring realistic movement of material out of the mesh without re-entry. This enhances accuracy in transient analyses with extreme deformations.
- The vertical symmetry plane of the model is assigned a symmetry boundary condition.
- A constant drag velocity is prescribed at the reference point (RP) of the last chain unit, which aims to simulate the dragging of anchor holding vehicle in practical engineering.
- The contact between the DEA and the soil, and the chain units and the soil, is defined using “general contact”. The tangential behavior follows the Coulomb friction law, with a friction coefficient of 0.5. The normal behavior is defined as “hard contact, allow separation after contact”.
3. Parametric Sensitivity Analysis
- Width of the soil domain perpendicular to the dragging direction—Bsoil = 3D, 4.5D, and 6D (where D represents the overall width of the drag anchor)—for which two sets of analyses with two soil friction angles (20° and 27.5°) are performed.
- Mesh size in the drag area—Mesh_S = 0.25 m, 0.3 m, 0.4 m, and 0.5 m—for which three sets of analyses with three friction angles (φ = 20°, 27.5° and 35°) are performed.
- Dragging speed—vc = 0.4 m/s, 0.6 m/s, and 1.0 m/s.
3.1. The Influence of Soil Size Perpendicular to the Dragging Direction
3.2. The Influence of Mesh Size in the Drag Area
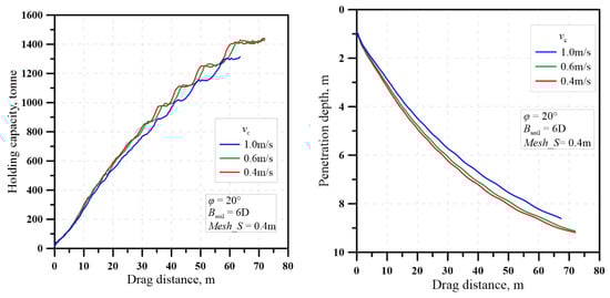
3.3. Influence of Drag Velocity
4. Verification Against Centrifuge Test in Sand
5. Installation Behavior of Drag Anchor in Sand
- (1)
- Initial stage: The DEA rests on the seabed in a “bowing” posture, and the chain is laid flat on the seabed. The tip of fluke achieves an initial penetration of about 1.8 m due to the self-weight of the anchor.
- (2)
- Partial embedment: As the chain begins to move, the DEA gradually penetrates into the seabed but is still visible at the seafloor. The failure mechanism is quite similar to that of a shallowly embedded plate anchor [68], in which the soil wedge in front of the anchor ruptures and the DEA’s behavior is linked to a plough-type mechanism.
- (3)
- Complete embedment: As the anchor gains further penetration, the DEA is completely embedded into the seabed. The sand particles in front of the DEA are ploughed out from the seabed, moving through the shank to the surface, forming a “horseshoe” soil heave. As the dragging process continues, the sand particles gradually fall down to the ditch behind the anchor. This in–out balance of sand particles makes the soil heave move with the anchor, with its size and shape nearly unchanged.
- (4)
- Final stage: The drag distance reaches the predetermined value, marking the end of anchor’s embedment process. Compared with the initial stage, the angle between fluke and seabed (i.e., the penetration angle θ) is clearly reduced, and the chains form a reverse-catenary shape.
6. Concluding Remarks
Author Contributions
Funding
Institutional Review Board Statement
Informed Consent Statement
Data Availability Statement
Acknowledgments
Conflicts of Interest
References
- Vryhof Manual. In The Guide to Anchoring; Vryhof: Schiedam, The Netherlands, 2018; ISBN/EAN: 978-90-9028801-7.
- O’Neill, M.P.; Randolph, M.F.; Neubecker, S.R. A Novel Procedure for Testing Model Drag Anchors. In Proceedings of the Seventh International Offshore and Polar Engineering Conference, Honolulu, HI, USA, 25–30 May 1997. [Google Scholar]
- Zhao, Y.; Liu, H. The drag effects on the penetration behavior of drag anchors during installation. Ocean Eng. 2015, 109, 169–180. [Google Scholar] [CrossRef]
- Dou, Y.; Yu, L. Numerical investigations of the effects of different design angles on the motion behaviour of drag anchors. Appl. Ocean Res. 2018, 76, 199–210. [Google Scholar] [CrossRef]
- Qiao, D.; Guan, B.; Liang, H.; Ning, D.; Li, B.; Ou, J. An improved method of predicting drag anchor trajectory based on the finite element analyses of holding capacity. China Ocean Eng. 2020, 34, 1–9. [Google Scholar] [CrossRef]
- Dunnavant, T.W.; Kwan, C.-T.T. Centrifuge modelling and parametric analyses of drag anchor behavior. In Proceedings of the Offshore Technology Conference (OTC), Houston, TX, USA, 3–6 May 1993. [Google Scholar] [CrossRef]
- Thorne, C.P. Penetration and load capacity of marine drag anchors in soft clay. J. Geotech. Geoenviron. Eng. 1998, 124, 945–953. [Google Scholar] [CrossRef]
- O’Neill, M.P. The Behaviour of Drag Anchors in Layered Soils. Ph.D. Thesis, University of Western Australia, Crawley, WA, Australia, 2000. [Google Scholar]
- O’Neill, M.P.; Bransby, M.F.; Randolph, M.F. Drag anchor flukesoil interaction in clays. Can. Geotech. J. 2003, 40, 78–94. [Google Scholar] [CrossRef]
- Ruinen, R.M. Penetration analysis of drag embedment anchors in soft clays. In Proceedings of the Fourteenth International Offshore and Polar Engineering Conference, Toulon, France, 23–28 May 2004. [Google Scholar]
- Kim, B.M. Upper Bound Analysis for Drag Anchors in Soft Clay. Ph.D Thesis, Texas A&M University, College Station, TX, USA, 2005. [Google Scholar]
- Aubeny, C.P.; Murff, J.D.; Byoung, M.K. Prediction of anchor trajectory during drag embedment in soft clay. Int. J. Offshore Polar Eng. 2008, 18, 314–319. [Google Scholar]
- Aubeny, C.P.; Chi, C. Mechanics of drag embedment anchors in a soft seabed. J. Geotech. Geoenviron. Eng. 2010, 136, 57–68. [Google Scholar] [CrossRef]
- Liu, H.; Li, Y.; Yang, H.; Zhang, W.; Liu, C. Analytical study on the ultimate embedment depth of drag anchors. Ocean Eng. 2010, 37, 1292–1306. [Google Scholar] [CrossRef]
- Liu, H.; Liu, C.; Yang, H.; Li, Y.; Zhang, W.; Xiao, Z. A novel kinematic model for drag anchors in seabed soils. Ocean Eng. 2012, 49, 33–42. [Google Scholar] [CrossRef]
- Liu, H.; Zhang, W.; Liu, C.; Hu, C. Movement direction of drag anchors in seabed soils. Appl. Ocean Res. 2012, 34, 78–95. [Google Scholar] [CrossRef]
- Liu, H.; Zhao, Y. Numerical Study of the Penetration Mechanism and Kinematic Behavior of Drag Anchors Using a Coupled Eulerian-Lagrangian Approach. Geotech. Eng. J. SEAGS AGSSEA 2014, 45, 29–39. [Google Scholar]
- Zhang, W.; Liu, H.; Zhao, Y.; Yue, Y. Interactional Properties between Drag Anchor and Installation Line. J. Geotech. Geoenviron. Eng. 2014, 140, 04013018. [Google Scholar] [CrossRef]
- Grabe, J.; Wu, L. Coupled Eulerian-Lagrangian simulation of the penetration and braking behaviour of ship anchors in clay. Geotechnik 2016, 39, 168–174. [Google Scholar] [CrossRef]
- Osthoff, D.; Heins, E.; Grabe, J. Impact on submarine cables due to ship anchor–soil interaction. Geotechnik 2017, 40, 265–270. [Google Scholar] [CrossRef]
- Peng, J.; Liu, H. Analytical study on comprehensive behaviors of drag anchors in the seabed. Appl. Ocean. Res. 2019, 90, 101855. [Google Scholar] [CrossRef]
- Lai, Y.; Zhu, B.; Huang, Y.; Chen, C. Behaviors of drag embedment anchor in layered clay profiles. Appl. Ocean Res. 2020, 101, 102287. [Google Scholar] [CrossRef]
- Wu, X.; Chow, Y.K.; Leung, C.F. Kinematic analysis of drag anchor installation trajectory considering both shallow and deep anchor behavior of horizontal fluke. Appl. Ocean. Res. 2020, 100, 102157. [Google Scholar] [CrossRef]
- Peng, J.; Liu, H.; Liang, K.; Xiao, Z. A theoretical model for analyzing the behavior of drag anchors in layered soils. Ocean. Eng. 2021, 222, 108568. [Google Scholar] [CrossRef]
- Fanning, J.; Sivakumar, V.; Nanda, S.; Gavin, K.; Murray, T.; Bradshaw, A.; Black, J.; Jalilvand, S. Pullout Capacity of Single and Biwing Anchors in a Soft Clay Deposit: Model Investigation in a Centrifuge and FEM Predictions. J. Geotech. Geoenviron. Eng. 2023, 149, 04023050. [Google Scholar] [CrossRef]
- Zhang, Y.; Fan, S.; Li, S.; Yin, J. Analysis of the drag anchor behaviour at shallow depths. Comput. Geotech. 2023, 160, 105518. [Google Scholar] [CrossRef]
- Maitra, S.; Tian, Y.; Cassidy, M.J. Investigation of the installation process of drag-in plate anchors from LDFE modelling. Geotech. 2024, 74, 1215–1227. [Google Scholar] [CrossRef]
- DNV-RP-E301; Design and Installation of Fluke Anchors. DNV: Høvik, Norway, 2021.
- ISO 19901-7:2013; Stationkeeping Systems for Floating Offshore Structures and Mobile Offshore Units. ISO: Geneva, Switzerland, 2013.
- ABS. Guidance Notes on Design and Installation of Drag Anchors and Plate Anchors; ABS Plaza: Houston, TX, USA, 2018. [Google Scholar]
- Neubecker, S.R.; Randolph, M.F. The static equilibrium of drag anchors in sand. Can. Geotech. J. 1996, 33, 574–583. [Google Scholar] [CrossRef]
- Neubecker, S.R.; Randolph, M.F. The kinematic behaviour of drag anchors in sand. Can. Geotech. J. 1996, 33, 584–594. [Google Scholar] [CrossRef]
- Zhang, W.; Liu, H.; Li, X.; Li, Q.; Cao, J. An analytical method for positioning drag anchors in seabed soils. China Ocean Eng. 2015, 29, 49–64. [Google Scholar] [CrossRef]
- Ren, Y.; Guo, W.; Wang, Y.; Gao, X.; Zhuang, D.; Yan, S. Kinematic trajectory analysis of dragging hall anchor in sand. Ocean Eng. 2022, 247, 110699. [Google Scholar] [CrossRef]
- Pretti, G.; Coombs, W.M.; Augarde, C.; Puigvert, M.M.; Gutiérrez, J.A.R.; Cross, L. A Review Of Drag Anchor Penetration Models to Inform Cable Burial Risk Assessment. In Proceedings of the 4th International Symposium on Frontiers in Offshore Geotechnics, Austin, TX, USA, 28–31 August 2020. [Google Scholar]
- Aslkhalili, A.; Shiri, H.; Zendehboudi, S. Reliability assessment of drag embedment anchors in sand and the effect of idealized anchor geometry. Saf. Extrem. Environ. 2020, 2, 37–55. [Google Scholar] [CrossRef]
- O’Neill, M.; Randolph, M. Modelling drag anchors in a drum centrifuge. Int. J. Phys. Model. Geotech. 2001, 1, 29–41. [Google Scholar] [CrossRef]
- Liu, H.; Zhang, W.; Zhang, X.; Liu, C. Experimental investigation on the penetration mechanism and kinematic behavior of drag anchors. Appl. Ocean. Res. 2010, 32, 434–442. [Google Scholar] [CrossRef]
- Yan, S.; Guo, B.; Sun, L.; Guo, W.; Lei, Z. Analytical and experimental studies of dragging hall anchors through rock berm. Ocean. Eng. 2015, 108, 529–538. [Google Scholar] [CrossRef]
- Moore, E.; Haigh, S.K.; Eichhorn, G.N. Anchor penetration depth in sandy soils and its implications for cable burial. Ocean Eng. 2021, 235, 109411. [Google Scholar] [CrossRef]
- Davidson, C.; Brennan, A.; Brown, M.; Inglis, L.; Vasudevan, S. Out of Plane Loading of Drag Embedment Anchors for Floating Renewable Energy Technologies. In Proceedings of the 9th International SUT Offshore Site Investigation Geotechnics Conference Proceedings Innovative Geotechnologies for Energy Transition, London, UK, 12–14 September 2023; pp. 1241–1248. [Google Scholar] [CrossRef]
- Sharif, Y.U.; Brown, M.J.; Coombs, W.M.; Augarde, C.E.; Bird, R.; Carter, G.; Macdonald, C.; Johnson, K.R. Characterization of Anchor Penetration Behaviour for Cable Burial Risk Assessment. In Proceedings of the 9th International SUT OSIG Conference, London, UK, 12–14 September 2023. [Google Scholar]
- Sharif, Y.U.; Brown, M.J.; Knappett, J.A.; Davidson, C.; Bird, R.; Coombs, W.; Augarde, C.; Carter, G.; Macdonald, C.; Johnson, K. Comparison of 1 g and centrifuge modelling of drag anchors with subsurface wireless tracking. Int. J. Phys. Model. Geotech. 2025, 25, 102–114. [Google Scholar] [CrossRef]
- Røraas, H.; Hagen, Ø. Method for design, construction, and setting of very high capacity anchors. In Proceedings of the Offshore Technology Conference, Houston, TX, USA, 1–4 May 1989. [Google Scholar] [CrossRef]
- Heurlin, K.; Rességuier, S.; Melin, D.; Nilsen, K. Comparison between FEM analyses and full-scale tests of fluke anchor behavior in silty sand. In Frontiers in Offshore Geotechnics III; Meyer, V., Ed.; CRC Press: Leiden, The Netherlands, 2015; pp. 875–880. [Google Scholar] [CrossRef]
- Wang, D.; Bienen, B.; Nazem, M.; Tian, Y.; Zheng, J.; Pucker, T.; Randolph, M.F. Large deformation finite element analyses in geotechnical engineering. Comput. Geotech. 2015, 65, 104–114. [Google Scholar] [CrossRef]
- Grabe, J.; Qiu, G.; Wu, L. Numerical simulation of the penetration process of ship anchors in sand. Geotechnik 2015, 38, 36–45. [Google Scholar] [CrossRef]
- Li, P.D.; Liu, H.X.; Zhao, Y.B. Large deformation finite element analysis on the kinematic behavior of drag anchors in the seabed. Ocean. Eng. 2016, 34, 56–63. [Google Scholar]
- Zhao, Y.; Liu, H.; Li, P. An efficient approach to incorporate anchor line effects into the coupled Eulerian–Lagrangian analysis of comprehensive anchor behaviors. Appl. Ocean. Res. 2016, 59, 201–215. [Google Scholar] [CrossRef]
- Dao, D.A.; Grabe, J. Numerical assessment of ship anchor penetration depth in Baltic Sea Sand: Implications for subsea cable burial. Ocean. Eng. 2024, 314, 119674. [Google Scholar] [CrossRef]
- Wang, L.; Shen, K.; Li, L.; Guo, Z. Integrated analysis of drag embedment anchor installation. Ocean. Eng. 2014, 88, 149–163. [Google Scholar] [CrossRef]
- Zhang, W.; Zhou, Z.; Pradhan, D.L.; Wang, P.; Jin, H. Design considerations of drag anchors in cohesive soil for floating facilities in the South China sea. Mar. Struct. 2022, 81, 103101. [Google Scholar] [CrossRef]
- Chang, H.-C.; Noorizadegan, A.; Liu, Y.-H.; Ma, K.-T. A Study on Offshore Anchor Selection with a Focus on Torpedo Anchor Stability and Performance. J. Mar. Sci. Eng. 2024, 12, 1721. [Google Scholar] [CrossRef]
- Vanjakula, V.K.; Windt, C.; Adam, F.; Goseberg, N. Numerical Investigation on the Motion Dynamics of Submerged Gravity Anchors Exposed to Wave Action. J. Waterw. Port Coast. Ocean. Eng. 2024, 151, 04024023. [Google Scholar] [CrossRef]
- Martinez, R.; Arnau, S.; Scullion, C.; Collins, P.; Neilson, R.D.; Kapitaniak, M. Variable buoyancy anchor deployment analysis for floating wind applications using a Marine Simulator. Ocean. Eng. 2023, 285, 115417. [Google Scholar] [CrossRef]
- Lai, Y.; Xiong, S.; Tao, P.; Huang, C.; Zhu, Q.; Shu, S.; Chen, H. Experimental investigation and optimization of piggy-backed anchors in clay. Ocean. Eng. 2025, 333, 121513. [Google Scholar] [CrossRef]
- Nazem, M.; Sheng, D.; Carter, J.P.; Sloan, S.W. Arbitrary Lagrangian–Eulerian method for large-strain consolidation problems. Int. J. Numer. Anal. Methods Geomech. 2008, 32, 1023–1050. [Google Scholar] [CrossRef]
- Nazem, M.; Carter, J.P. Dynamic analysis of geotechnical problems by arbitrary Lagrangian-Eulerian method. In Proceedings of the 12th International Conference of International Association for Computer Methods and Advances in Geomechanics (IACMAG), Goa, India, 1–6 October 2008; pp. 229–235. [Google Scholar]
- Nazem, M.; Carter, J.P.; Airey, D.W. Arbitrary Lagrangian–Eulerian method for dynamic analysis of geotechnical problems. Comput. Geotech. 2009, 36, 1046–1060. [Google Scholar] [CrossRef]
- Tian, Y.; Randolph, M.F. A simple implementation of RITSS and its application in large deformation analysis. Comput. Geotech. 2014, 65, 230–242. [Google Scholar] [CrossRef]
- Ullah, S.N.; Hossain, M.S.; Hu, Y. A 3D RITSS approach for total stress and coupled-flow large deformation problems using ABAQUS. Comput. Geotech. 2018, 99, 203–215. [Google Scholar] [CrossRef]
- Robert McNeel & Associates. Rhino User’s Guide for Windows; Robert McNeel & Associates: Seattle, WA, USA, 2023. [Google Scholar]
- Altair Engineering Inc. HyperMesh Desktop Introduction; Altair Engineering Inc.: Troy, MI, USA, 2013. [Google Scholar]
- Sun, C.; Bransby, M.F.; Neubecker, S.R.; Randolph, M.F.; Feng, X.; Gourvenec, S. Numerical Investigations into Development of Seabed Trenching in Semitaut Moorings. J. Geotech. Geoenviron. Eng. 2020, 146, 04020098. [Google Scholar] [CrossRef]
- Sun, C.; Feng, X.; Bransby, M.F.; Neubecker, S.R.; Randolph, M.F.; Gourvenec, S. Numerical investigations of the effect of strain softening on the behaviour of embedded mooring chains. Appl. Ocean Res. 2019, 92, 101944. [Google Scholar] [CrossRef]
- Sun, C.; Feng, X.; Neubecker, S.R.; Bransby, M.F.; Gourvenec, S.; Randolph, M.F. Numerical Study of Mobilized Friction along Embedded Catenary Mooring Chains. J. Geotech. Geoenviron. Eng. 2019, 145, 04019081. [Google Scholar] [CrossRef]
- Taylor, R.N. Centrifuges in modelling: Principles and scale effects. In Geotechnical Centrifuge Technology; Taylor, R.N., Ed.; Talor & Francis: New York, NY, USA, 1995. [Google Scholar]
- O’Loughlin, C.; Neubecker, S.; Gaudin, C. Anchoring Systems: Anchor Types, Installation, and Design. In Encyclopedia of Maritime and Offshore Engineering; Carlton, J., Jukes, P., Choo, Y.S., Eds.; John Wiley & Sons: New York, NY, USA, 2018; pp. 1–20. [Google Scholar] [CrossRef]
















| Lf (m) | Bf (m) | D (m) | Lw (m) | Bw (m) | Ls (m) | Hs (m) | Ha (m) |
|---|---|---|---|---|---|---|---|
| 5.36 | 4.09 | 10.11 | 1.47 | 3.37 | 8.60 | 4.86 | 1.97 |
| Case | Internal Friction Angle of Sand φ,° | Bsoil/D | Mesh_S, m | vc, m/s |
|---|---|---|---|---|
| 1 | 20 | 3 | 0.4 | 0.6 |
| 2 | 4.5 | |||
| 3 | 6 | |||
| 4 | 27.5 | 3 | 0.4 | 0.6 |
| 5 | 4.5 | |||
| 6 | 6 |
| Case | Internal Friction Angle of Sand φ,° | Bsoil/D | Mesh_S, m | vc, m/s |
|---|---|---|---|---|
| 1 | 20 | 3 | 0.25 | 0.6 |
| 2 | 0.3 | |||
| 3 | 0.4 | |||
| 4 | 0.5 | |||
| 5 | 27.5 | 3 | 0.25 | 0.6 |
| 6 | 0.3 | |||
| 7 | 0.4 | |||
| 8 | 0.5 | |||
| 9 | 35 | 3 | 0.25 | 0.6 |
| 10 | 0.3 | |||
| 11 | 0.4 | |||
| 12 | 0.5 |
| Number | Internal Friction Angle of Sand φ,° | Bsoil/D | Mesh_S, m | vc, m/s |
|---|---|---|---|---|
| 1 | 20 | 6 | 0.4 | 0.4 |
| 2 | 0.6 | |||
| 3 | 1.0 |
Disclaimer/Publisher’s Note: The statements, opinions and data contained in all publications are solely those of the individual author(s) and contributor(s) and not of MDPI and/or the editor(s). MDPI and/or the editor(s) disclaim responsibility for any injury to people or property resulting from any ideas, methods, instructions or products referred to in the content. |
© 2025 by the authors. Licensee MDPI, Basel, Switzerland. This article is an open access article distributed under the terms and conditions of the Creative Commons Attribution (CC BY) license (https://creativecommons.org/licenses/by/4.0/).
Share and Cite
Wu, C.; Zhang, Y.; Guo, P.; Lei, D. Numerical Investigation of the Installation Process of Drag Anchors in Sand. Geotechnics 2025, 5, 76. https://doi.org/10.3390/geotechnics5040076
Wu C, Zhang Y, Guo P, Lei D. Numerical Investigation of the Installation Process of Drag Anchors in Sand. Geotechnics. 2025; 5(4):76. https://doi.org/10.3390/geotechnics5040076
Chicago/Turabian StyleWu, Chuheng, Youhu Zhang, Peng Guo, and Di Lei. 2025. "Numerical Investigation of the Installation Process of Drag Anchors in Sand" Geotechnics 5, no. 4: 76. https://doi.org/10.3390/geotechnics5040076
APA StyleWu, C., Zhang, Y., Guo, P., & Lei, D. (2025). Numerical Investigation of the Installation Process of Drag Anchors in Sand. Geotechnics, 5(4), 76. https://doi.org/10.3390/geotechnics5040076
