Sign in to use this feature.

Years

Between: -

Subjects

remove_circle_outline
remove_circle_outline
remove_circle_outline
remove_circle_outline
remove_circle_outline
remove_circle_outline
remove_circle_outline
remove_circle_outline
remove_circle_outline

Journals

Article Types

Countries / Regions

remove_circle_outline
remove_circle_outline
remove_circle_outline

Search Results (191)

Search Parameters:
Keywords = fixed-bed column

Order results
Result details
Results per page
Select all
Export citation of selected articles as:
22 pages, 2453 KB  
Article
Chitosan/Cellulose Functional Composite Hydrogel as Adsorbent for the Removal of Cu(II) from Aqueous Solutions in Dynamic Adsorption System
by Katarina Stanković, Igor Telečki, Danijela Smiljanić, Danica Bajuk-Bogdanović, Jelena Potočnik, Ljiljana Veselinović and Ksenija Kumrić
Polysaccharides 2026, 7(1), 30; https://doi.org/10.3390/polysaccharides7010030 - 9 Mar 2026
Viewed by 18
Abstract
Water contamination by heavy metals remains a major global challenge, requiring efficient, sustainable, and low-cost remediation materials. Chitosan and cellulose are recognized as effective biosorbents due to their high affinity toward metal ions, biodegradability, and availability. However, their individual limitations motivate the design [...] Read more.
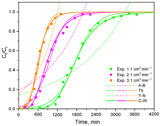
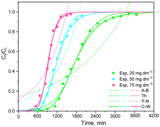
Water contamination by heavy metals remains a major global challenge, requiring efficient, sustainable, and low-cost remediation materials. Chitosan and cellulose are recognized as effective biosorbents due to their high affinity toward metal ions, biodegradability, and availability. However, their individual limitations motivate the design of composite with enhanced properties. In this study, chitosan/cellulose composite hydrogel beads crosslinked with glutaraldehyde (CHB-CF-GLA) were synthesized and evaluated for Cu(II) removal under batch and dynamic conditions. The composite was characterized by FESEM-EDS, ATR-FTIR, XRD, swelling analysis, and determination of pHpzc to elucidate its structural and physicochemical features. Batch experiments optimized pH, initial Cu(II) concentration, and adsorption capacity, while non-linear kinetic and isotherm models described the adsorption mechanism. The adsorbent exhibited good stability and reusability over multiple cycles. Fixed-bed column studies demonstrated that increasing bed height prolonged breakthrough and exhaustion times, while higher influent concentrations and flow rates led to earlier column saturation. The experimental breakthrough curves were well described by the Thomas and Yoon–Nelson models, whereas the Adams–Bohart model showed limited applicability. COMSOL Multiphysics 3.5 simulations validated the experimental data and predicted column performance. Overall, CHB-CF-GLA is an efficient and functional adsorbent with strong potential for continuous Cu(II) removal in water treatment applications. Full article
Show Figures

Graphical abstract

26 pages, 3728 KB  
Article
Chiral Separation of Menthol Enantiomers by Simulated Moving Bed Chromatography: Mathematical Modeling and Experimental Study
by Linhe Sun, Ying Yang and Jianguo Yu
Separations 2026, 13(2), 67; https://doi.org/10.3390/separations13020067 - 14 Feb 2026
Viewed by 210
Abstract
l-menthol is one of the most popular flavors in the world. The separation of menthol enantiomers is crucial because of the unpleasant taste of d-menthol. This work presents the chiral separation of racemic menthol by simulated moving bed chromatography for the first time. [...] Read more.
l-menthol is one of the most popular flavors in the world. The separation of menthol enantiomers is crucial because of the unpleasant taste of d-menthol. This work presents the chiral separation of racemic menthol by simulated moving bed chromatography for the first time. Six preparative columns packed with amylose 3,5-dimethylphenylcarbamate coated on silica gel were used for separation, and a mixture of n-hexane/isopropanol was selected as the mobile phase. The hydrodynamic properties of the SMB columns were studied to minimize the packing asymmetry in the SMB experiment. The binary adsorption isotherm of menthol enantiomers was measured by the adsorption–desorption method. Fixed-bed batch chromatography was carried out to evaluate the adsorption kinetic behavior. Mathematical models, considering the mass transfer resistance and axial dispersion, were applied to describe the dynamics of the chromatographic separation process. The SMB process for chiral separation of racemic menthol was designed by evaluating the separation region using simulations. Reasonable agreements were achieved between the predicted results and the experimental results. Purities for both the extract and raffinate were above 99.0%, and a productivity of 0.267 gracemate/(LCSP∙min) and a solvent consumption of 0.431 L/gracemate were achieved. Full article
Show Figures

Graphical abstract

44 pages, 5283 KB  
Review
A Comprehensive Analysis of Reactor Modeling Studies for the Methanation of Carbon Oxides
by Juan José Ríos, Jorge Ancheyta, Angeles Mantilla, Andrey Elyshev and Andrey Zagoruiko
Processes 2026, 14(4), 659; https://doi.org/10.3390/pr14040659 - 14 Feb 2026
Viewed by 279
Abstract
This work presents a comprehensive analysis of reactor modeling studies for the methanation of COx, with the aim of identifying trends, evaluating modeling strategies, and suggesting a generalized modeling framework. The analysis spans a wide range of configurations, including packed/fixed-bed reactors [...] Read more.
This work presents a comprehensive analysis of reactor modeling studies for the methanation of COx, with the aim of identifying trends, evaluating modeling strategies, and suggesting a generalized modeling framework. The analysis spans a wide range of configurations, including packed/fixed-bed reactors (immobilized catalyst pellets/particles), fluidized-bed reactors, and structured catalyst reactors, as well as membrane and slurry/bubble-column configurations when applicable. This highlights the diversity of modeling approaches used, ranging from simple 1D pseudo-homogeneous models to complex 2D heterogeneous simulations. Emphasis is placed on the governing assumptions, dimensional formulations, transport phenomena, and kinetic models employed across studies. By systematically comparing these models, this work identifies the most critical modeling assumptions and parameters that govern the prediction reliability of reactor performance (e.g., conversion and temperature profiles) and inform reactor design. The proposed reactor model integrates insights from the literature, balancing model fidelity and computational feasibility, and serves as a foundational tool for future modeling efforts and industrial applications. This work contributes to the field by offering a unified perspective that links model complexity to physical realism, providing valuable guidance in the development of predictive tools for COx methanation systems. Full article
(This article belongs to the Section Chemical Processes and Systems)
Show Figures

Figure 1

18 pages, 2148 KB  
Article
High-Performance Geopolymer-Based Granulated Adsorbents for Selective Sorption of Radioactive Cesium and Strontium
by Chung-Yung Lin, Yu-Chang Liu and Bang-Lun Jhou
Ceramics 2026, 9(2), 21; https://doi.org/10.3390/ceramics9020021 - 9 Feb 2026
Viewed by 368
Abstract
The selective removal of radioactive cesium-137 and strontium-90 from high-salinity radioactive wastewater remains a critical challenge, as competing ions reduce adsorption efficiency and selectivity. In this study, high-performance granulated adsorbents were developed based on alkali-activated geopolymer matrices to enhance sorption performance. The adsorbents [...] Read more.
The selective removal of radioactive cesium-137 and strontium-90 from high-salinity radioactive wastewater remains a critical challenge, as competing ions reduce adsorption efficiency and selectivity. In this study, high-performance granulated adsorbents were developed based on alkali-activated geopolymer matrices to enhance sorption performance. The adsorbents were synthesized by inorganic polymerization, and mechanically robust granules with controlled porosity and surface chemistry were obtained. Batch sorption experiments conducted in simulated seawater demonstrated greater than 99% removal efficiencies for cesium and strontium. Isotherm modeling confirmed high maximum sorption capacities (up to 0.41 meq/g for Cs+ and 5.07 meq/g for Sr2+). Continuous fixed-bed column tests demonstrated sustained removal efficiencies for the optimized adsorbents. Structural analyses, including scanning electron microscopy, energy-dispersive X-ray spectroscopy mapping, and X-ray diffraction, confirmed uniform elemental distribution and crystalline phases consistent with selective sorption mechanisms. Assessment of mechanical strength revealed sufficient compressive strengths to ensure operational durability under hydraulic stress. These findings demonstrate that the synthesized geopolymer-based granules are a potentially effective and versatile solution for the comprehensive treatment of radioactive wastewater. Full article
(This article belongs to the Special Issue The Production Processes and Applications of Geopolymers, 2nd Edition)
Show Figures

Figure 1

21 pages, 2057 KB  
Review
Main Parameters of Fixed-Bed Column Systems Using White-Rot Fungi (Pleurotus spp., Trametes versicolor) and Their Effect on the Removal of Micropollutants from Water: An Overview
by Attila Csaba Kondor, László Bauer, Anna Vancsik, Péter Szávai, Zoltán Szalai, Dániel Krüzselyi, Alexandra Pintye and Lili Szabó
Water 2026, 18(3), 334; https://doi.org/10.3390/w18030334 - 29 Jan 2026
Viewed by 518
Abstract
The use of white-rot fungi Pleurotus spp. and Trametes versicolor in continuous-flow fixed-bed systems has emerged as a promising and sustainable approach for the removal of different pollutants from aqueous media. This overview presents the most important design and operating parameters, the efficiency [...] Read more.
The use of white-rot fungi Pleurotus spp. and Trametes versicolor in continuous-flow fixed-bed systems has emerged as a promising and sustainable approach for the removal of different pollutants from aqueous media. This overview presents the most important design and operating parameters, the efficiency of fixed-bed systems using these fungi and their spent substrate, and the effect of operating parameters on changes in removal efficiency. After a literature screening based on the Scopus database, the overview focuses specifically on 55 studies that present the results of several hundred tests, meeting the criteria for continuous-flow fixed-bed systems, which include ensuring uninterrupted flow, constant adsorbent mass, and continuous interaction between the stationary and mobile phases. Results reported in the literature show the varying importance of biodegradation and biosorption processes in the removal of metals and organic pollutants (e.g., dyes, pharmaceuticals, pesticides, volatile compounds). The overview highlights the impact of operational parameters on removal efficiency, including bed depth, flow rate, type of polluted water, and initial concentration. It also determines that these fixed-bed systems using Pleurotus spp. and Trametes versicolor are primarily suitable for modelling the adsorption-based removal of given pollutants and the bioremediation of smaller amounts of municipal, industrial, or agricultural wastewater. Full article
Show Figures

Figure 1

14 pages, 4023 KB  
Article
Column Multisorption Studies of Herbicides onto ACs from Pomegranate Peels
by Assala Guedri, Souad Najar-Souissi, Beatriz Ledesma and Silvia Román
Appl. Sci. 2026, 16(2), 948; https://doi.org/10.3390/app16020948 - 16 Jan 2026
Viewed by 236
Abstract
The competitive adsorption of two model herbicides, 2,4-dichlorophenoxyacetic acid (2,4-D) and 4-chloro-2-methylphenoxyacetic acid (MCPA), onto Activated Carbons (ACs) derived from pomegranate peels through chemical activation with phosphoric acid (H3PO4) was investigated in fixed-bed column mode. The prepared activated carbon [...] Read more.
The competitive adsorption of two model herbicides, 2,4-dichlorophenoxyacetic acid (2,4-D) and 4-chloro-2-methylphenoxyacetic acid (MCPA), onto Activated Carbons (ACs) derived from pomegranate peels through chemical activation with phosphoric acid (H3PO4) was investigated in fixed-bed column mode. The prepared activated carbon (AC-PA) exhibited a high apparent surface area (up to 1409 m2/g) and a predominantly microporous structure. Morphological and chemical analyses (micrographic observation, X-ray difraction, N2 adsorption–desorption) confirmed the presence of well-developed pore networks and surface oxygenated functionalities. Column adsorption experiments were performed under varying flow rates (0.25–3 mL/min) for both single and binary solutions. The breakthrough data were modeled using the Thomas and Yoon–Nelson equations, achieving high determination coefficients (R2 = 0.91–0.99). Lower flow rates favored higher adsorption capacities, reaching 193.61 mg/g for 2,4-D at 0.25 mL/min. Under similar conditions (flow rate of 1.5 mL min−1), the AC provided a better adsorption for 2,4-D than for MCPA in single systems, which was attributed to stronger affinity based on its greater hydrophobicity and prominence to dispersive interactions. In binary systems, competitive effects shifted the results and a noticeable roll-up phenomenon was observed for 2,4-D, attributed to its displacement by MCPA along the bed; this made the adsorbent more effective for MCPA in binary mixtures than in single ones. These findings highlight the potential of pomegranate-based activated carbon as a cost-effective and sustainable adsorbent for herbicide removal in continuous water treatment systems. Full article
(This article belongs to the Section Chemical and Molecular Sciences)
Show Figures

Figure 1

15 pages, 1768 KB  
Article
Experimental and Modeling Analysis of CO2 Adsorption from Flue Gas from a Fluidized Bed Biomass Boiler
by Michael Dvořák, Pavel Skopec, Matěj Vodička, Jan Hrdlička, Lukáš Pilař and Klára Farionová
Processes 2026, 14(2), 222; https://doi.org/10.3390/pr14020222 - 8 Jan 2026
Viewed by 519
Abstract
Carbon capture and storage (CCS) technologies are an important step to mitigate CO2 emissions. This study focuses on CO2 capture from biomass combustion in fluidized bed boilers using a vacuum pressure swing adsorption (VPSA) process. A pilot-scale VPSA unit was used [...] Read more.
Carbon capture and storage (CCS) technologies are an important step to mitigate CO2 emissions. This study focuses on CO2 capture from biomass combustion in fluidized bed boilers using a vacuum pressure swing adsorption (VPSA) process. A pilot-scale VPSA unit was used to evaluate the dynamic adsorption behavior of zeolite 13X and clinoptilolite under realistic operating conditions. Moreover, a simplified one-dimensional isothermal mathematical model of a fixed-bed adsorption column was developed to simulate breakthrough curves to validate whether the model reproduces the observed experimental trends. Experimental results confirmed that fresh zeolite 13X exhibited the highest CO2 adsorption capacity, while clinoptilolite showed moderate uptake. For both sorbents, a decrease in derived adsorption capacity was observed after prior use. The developed mathematical model successfully reproduced the experimental breakthrough curves, achieving coefficients of determination (R2) up to 0.99 and percentage fit (%Fit) values close to 94% for fresh sorbents, while lower correlations were observed for used sorbents. The model reliably captured the breakthrough curves, validating its applicability for process prediction. These results highlight the effectiveness of combining experimental measurements with modeling to assess sorbent performance and guide further optimization of VPSA processes under realistic flue gas conditions. Full article
(This article belongs to the Special Issue Biomass Treatment and Pyrolysis Processes)
Show Figures

Figure 1

25 pages, 1902 KB  
Article
Biosorption Potential of Ganoderma lucidum Biomass for Cd(II) Remediation: Adsorption Kinetics and Isotherm Studies
by Tia Kralj, Andrej Gregori, Miha Lukšič and Gregor Marolt
Sustainability 2026, 18(1), 448; https://doi.org/10.3390/su18010448 - 2 Jan 2026
Viewed by 1104
Abstract
Heavy metals release in the environment represents a growing threat to human health and nature, particularly due to industrial activities contributing to soil and water contamination. In this study, Ganoderma lucidum heteropolysaccharides (GLHP) were evaluated as a biosorbent for cadmium removal. The biomass [...] Read more.
Heavy metals release in the environment represents a growing threat to human health and nature, particularly due to industrial activities contributing to soil and water contamination. In this study, Ganoderma lucidum heteropolysaccharides (GLHP) were evaluated as a biosorbent for cadmium removal. The biomass was acquired following the production of Ganoderma lucidum fruiting bodies and consisted of remnants from the fungus and cultivation substrate. Cd(II) and elemental analysis were carried out by atomic adsorption spectrometry (AAS) and inductively coupled plasma mass spectroscopy (ICP-MS), respectively. The biosorption efficiency was critically evaluated, optimizing physical adsorption parameters for batch, column, and percolation configuration, as well as application in real environmental water. Utilizing a simple pre-rinsing step, completely omitting any chemical pretreatment, the Cd(II) removal efficiency was improved from 41.2% to 78.4% in a batch system and up to 98.4% in a fixed-bed column, making it suitable not only for wastewater treatment but also for drinking water purification. The adsorption kinetics were described by a pseudo-second-order (PSO) model and further analyzed using a revised PSO (rPSO) model, which explicitly accounts for adsorbate and adsorbent concentrations. A global fit to the PSO model demonstrated that the rate constant was independent of the adsorbent concentration, supporting its application as a robust descriptor of the adsorption process. GLHP showed good adsorption performance, following the Sips adsorption isotherm and Thomas model for batch and column setup, respectively, demonstrating the potential as a scalable, low-cost biosorbent for fast and efficient Cd(II) removal from contaminated waters. Full article
(This article belongs to the Special Issue Sustainable Research Progress on Treatment of Wastewater)
Show Figures

Figure 1

28 pages, 2162 KB  
Article
Application of the ADM–PVSDM Model for Interpreting Breakthrough Curves and Scaling Liquid-Phase Adsorption Systems Under Continuous Operation
by Samuel Aguirre-Contreras, María Victoria López-Ramón, Inmaculada Velo-Gala, Miguel Angel Álvarez-Merino, María del Pilar Fernández-Poyatos, Carlos Gilberto Aguilar-Madera, Erika Padilla-Ortega, Saul Alejandro Aguilar-Maruri and Raúl Ocampo-Pérez
Processes 2026, 14(1), 92; https://doi.org/10.3390/pr14010092 - 26 Dec 2025
Viewed by 456
Abstract
Fixed-bed adsorption is widely employed in the scaling-up of liquid-phase adsorption processes because it offers significant operational advantages over batch systems. However, conventional approaches for scaling up adsorption columns are subject to important limitations. In this regard, the Axial Dispersion Model (ADM) coupled [...] Read more.
Fixed-bed adsorption is widely employed in the scaling-up of liquid-phase adsorption processes because it offers significant operational advantages over batch systems. However, conventional approaches for scaling up adsorption columns are subject to important limitations. In this regard, the Axial Dispersion Model (ADM) coupled with the Pore Volume and Surface Diffusion Model (PVSDM) provides a framework capable of overcoming these constraints. In this study, ADM–PVSDM was applied predictively using equilibrium relationships and diffusion coefficients obtained from batch experiments. Model validity was assessed against nine experimental breakthrough curves, yielding an average deviation of 7.6% in breakthrough time. Furthermore, the model successfully predicted system behavior across a feed-flux range of 18–174 g h−1m−2. The integration of ADM–PVSDM was supported by the characterization of the Mass Transfer Zone (MTZ), which underpins the scaling approach proposed herein. The predicted breakthrough curves were also used to estimate MTZ length and velocity, which ranged from 0.97 to 8.7 cm and from 0.56 × 10−3 to 20 × 10−3 cm min−1, respectively, with mean percentage deviations of 6.4% and 7.3%. These predictions enabled the development of a methodology which is capable of scaling adsorption columns over a wide operational range while requiring substantially fewer experiments compared to conventional scaling methods. Finally, it was demonstrated that commonly used empirical models, such as the Bohart–Adams model, failed to predict breakthrough curves with sufficient accuracy, thus rendering them unsuitable for developing this scaling methodology. Full article
(This article belongs to the Section Separation Processes)
Show Figures

Figure 1

24 pages, 7361 KB  
Article
Synthesis and Treatment of Biosorbent from Cyanobacterial Biomass for the Removal of NO3-N from Aqueous Systems
by George Mazarakos, Christina Vasiliki Lazaratou, Zacharias Frontistis, Athanasia G. Tekerlekopoulou, Vasilios Georgakilas and Dimitris V. Vayenas
Appl. Sci. 2025, 15(24), 13018; https://doi.org/10.3390/app152413018 - 10 Dec 2025
Viewed by 353
Abstract
Surplus cyanobacterial biomass can serve as a low-cost sorbent for polishing nitrate-contaminated waters. We compared raw cyanobacterial biomass (Leptolyngbya sp.) with its hydrochar produced by hydrothermal carbonization. Despite an approximately tenfold increase in BET area after carbonization (4.08 vs. 0.5 m2 [...] Read more.
Surplus cyanobacterial biomass can serve as a low-cost sorbent for polishing nitrate-contaminated waters. We compared raw cyanobacterial biomass (Leptolyngbya sp.) with its hydrochar produced by hydrothermal carbonization. Despite an approximately tenfold increase in BET area after carbonization (4.08 vs. 0.5 m2 g−1), the hydrochar performed worse than the native material under all tested conditions. Batch tests (C0 = 20 to 100 mg N L−1; dose = 0.067 g L−1) reached equilibrium within 25 min, achieving removal rates ranging from 40% up to 56%. Nonlinear fits showed that the pseudo-first-order model simulates the time courses with physically consistent parameters, while the equilibrium data in the studied window were represented by the Freundlich isotherm. In fixed-bed trials, the biomass treated 58 bed volumes to the nitrate-N compliance value of 11.3 mg N L−1, compared with 27 bed volumes for the hydrochar; the breakthrough profiles were modeled using the Yoon–Nelson equation and nonlinear regression. Over the conditions examined, performance tracked surface chemistry and charge characteristics rather than area, consistent with contributions from specific interactions and uptake within the cellular matrix. These results support minimally processed cyanobacterial biomass as a practical option for energy-lean nitrate polishing under the frame of the circular economy. Full article
(This article belongs to the Section Environmental Sciences)
Show Figures

Figure 1

21 pages, 6534 KB  
Article
The Potential of Barista Coffee Waste to Adsorb Copper and Zinc from Aqueous Solutions
by Basmah Bushra, Paul J. Wood and Diganta B. Das
Clean Technol. 2025, 7(4), 113; https://doi.org/10.3390/cleantechnol7040113 - 5 Dec 2025
Viewed by 1186
Abstract
This study investigates the removal of copper and zinc at environmentally relevant concentrations from aqueous solutions using barista coffee waste in both standalone and blended forms (with rice husk biochar). A fixed-bed horizontal column adsorption study was conducted to determine the effects of [...] Read more.
This study investigates the removal of copper and zinc at environmentally relevant concentrations from aqueous solutions using barista coffee waste in both standalone and blended forms (with rice husk biochar). A fixed-bed horizontal column adsorption study was conducted to determine the effects of contact time, adsorbent type, and initial metal concentration on the removal efficiency. As far as we are aware, this study is the first to focus on eliminating low concentrations in accordance with World Health Organization (WHO) guideline levels, employing a horizontal fixed-bed column setup. Adsorption equilibrium was achieved around six hours after initiation and resulted in a high percentage of metal removal (up to 96.71%). Ground coffee waste performed better for lower initial metal concentrations (2.5 ppm copper and 10 ppm zinc), although a mixture of coffee waste and biochar performed better at concentrations greater than 5 ppm for copper and 25 ppm for zinc. Experimental results were applied to the Thomas model to determine the efficiency of the adsorbents. Results indicated it was linear with a good correlation coefficient (R2 = 0.94). The experimental data also fitted the pseudo-first-order reaction kinetic with a higher correlation coefficient (R2 = 0.93) than the second-order reaction kinetics. The experimental and calculated values were very similar for the first-order reaction kinetic. The metal adsorption was affected by both external mass transfer and intra-particle diffusion mechanisms. This study developed an engineered solution to remove heavy metals from wastewater using widely available ground coffee waste as an effective adsorbent. Full article
Show Figures

Figure 1

8 pages, 1351 KB  
Proceeding Paper
Application of an Adaptive Neuro-Fuzzy Inference System for the Removal of Cadmium (II) from Acid Mine Drainage onto Modified Cellulose Nanocrystals
by Banza Jean Claude, Vhahangwele Masindi and Linda L. Sibali
Eng. Proc. 2025, 117(1), 1; https://doi.org/10.3390/engproc2025117001 - 18 Nov 2025
Viewed by 573
Abstract
This research utilizes a modified cellulose nanocrystal composite as an adsorbent to remove cadmium (II) through a column study. A fixed-bed column was used to remove cadmium (II) at room temperature using varying process factors, such as pH (4–8), bed height (3–9 cm), [...] Read more.
This research utilizes a modified cellulose nanocrystal composite as an adsorbent to remove cadmium (II) through a column study. A fixed-bed column was used to remove cadmium (II) at room temperature using varying process factors, such as pH (4–8), bed height (3–9 cm), flow rate (3–7 mL/min), and concentration (10–20 mg/L). According to these findings, cadmium (II) breakthrough occurred more quickly at lower bed heights, higher flow rates, and higher cadmium (II) concentrations. The Thomas model is the most appropriate kinetic model. Deep learning models, such as the adaptive neuro-fuzzy inference model with two algorithms (backpropagation and least squares estimation), were effectively used to model the effectiveness of cadmium (II) removal in aqueous solutions via modified cellulose nanocrystals. To compare the model’s predicted results with experimental data, statistical approaches were employed, including calculating the coefficient of determination (R2) and mean square error (MSE). The ANFIS model used to predict cadmium (II) adsorption via modified cellulose nanocrystals had a strong correlation value of 0.997 for least squares estimation (LSE) and 0.999 for the gradient descent (backpropagation) method, indicating the effectiveness of the trained model in predicting the cadmium (II) adsorption process. Full article
(This article belongs to the Proceedings of The 4th International Electronic Conference on Processes)
Show Figures

Figure 1

19 pages, 1681 KB  
Article
Decolorization of Corn Fiber Arabinoxylan Extract with (MN102) Resin: Adsorption Performance and Film-Forming Capacity
by Verónica Weng, Diana Gago, Carla Brazinha, Vítor D. Alves and Isabel M. Coelhoso
Polymers 2025, 17(15), 2128; https://doi.org/10.3390/polym17152128 - 1 Aug 2025
Viewed by 895
Abstract
Arabinoxylan is a polysaccharide with film-forming properties, present in corn fiber, and a low-value by-product. The extract has a deep brown color, producing films of the same shade, which may not be appealing. This study addresses, for the first time, the adsorption of [...] Read more.
Arabinoxylan is a polysaccharide with film-forming properties, present in corn fiber, and a low-value by-product. The extract has a deep brown color, producing films of the same shade, which may not be appealing. This study addresses, for the first time, the adsorption of colored compounds present in an arabinoxylan extract using resin MN102. The resin successfully adsorbed the colored compounds from the arabinoxylan extract. After four consecutive adsorption/desorption cycles, the efficiency of the resin was similar, only decreasing from 63.3% to 52.9%. Langmuir and Freundlich models were fitted to the results of adsorption isotherm experiments, with the Freundlich model demonstrating the best fit to the experimental results. A fixed-bed column loaded with the resin was used for the removal of the colored compounds from the arabinoxylan extract, and the effect of the volumetric flow rate was investigated. The Yan and log-Gompertz models showed the best fit to the experimental breakthrough curves. This study systematically evaluated the adsorption conditions, providing a comprehensive analysis of the performance of the resin in the removal of the colored compounds. Additionally, the ability of the extract to maintain its film-forming properties after decolorization was evaluated, and some of the film’s key characteristics were evaluated, namely its color, solubility in water and mechanical properties. Full article
Show Figures

Figure 1

30 pages, 2521 KB  
Article
From Batch to Pilot: Scaling Up Arsenic Removal with an Fe-Mn-Based Nanocomposite
by Jasmina Nikić, Jovana Jokić Govedarica, Malcolm Watson, Đorđe Pejin, Aleksandra Tubić and Jasmina Agbaba
Nanomaterials 2025, 15(14), 1104; https://doi.org/10.3390/nano15141104 - 16 Jul 2025
Cited by 3 | Viewed by 1250
Abstract
Arsenic contamination in groundwater is a significant public health concern, with As(III) posing a greater and more challenging risk than As(V) due to its higher toxicity, mobility, and weaker adsorption affinity. Fe-Mn-based adsorbents offer a promising solution, simultaneously oxidizing As(III) to As(V), enhancing [...] Read more.
Arsenic contamination in groundwater is a significant public health concern, with As(III) posing a greater and more challenging risk than As(V) due to its higher toxicity, mobility, and weaker adsorption affinity. Fe-Mn-based adsorbents offer a promising solution, simultaneously oxidizing As(III) to As(V), enhancing its adsorption. This study evaluates an Fe-Mn nanocomposite across typical batch (20 mg of adsorbent), fixed-bed column (28 g), and pilot-scale (2.5 kg) studies, bridging the gap between laboratory and real-world applications. Batch experiments yielded maximum adsorption capacities of 6.25 mg/g and 4.71 mg/g in a synthetic matrix and real groundwater, respectively, demonstrating the impact of the water matrix on adsorption. Operational constraints and competing anions led to a lower capacity in the pilot (0.551 mg/g). Good agreement was observed between the breakthrough curves in the pilot (breakthrough at 475 bed volumes) and the fixed-bed column studies (365–587 bed volumes) under similar empty bed contact times (EBCTs). The Thomas, Adams–Bohart, and Yoon–Nelson models demonstrated that lower flow rates and extended EBCTs significantly enhance arsenic removal efficiency, prolonging the operational lifespan. Our findings demonstrate the necessity of continuous-flow experiments using real contaminated water sources and the importance of optimizing flow conditions, EBCTs, and pre-treatment in order to successfully scale up Fe-Mn-based adsorbents for sustainable arsenic removal. Full article
(This article belongs to the Section Environmental Nanoscience and Nanotechnology)
Show Figures

Graphical abstract

27 pages, 2947 KB  
Article
Multicomponent Adsorption of Paracetamol and Metronidazole by Batch and Fixed-Bed Column Processes: Application of Monte Carlo Bayesian Modeling
by Letícia Reggiane de Carvalho Costa, Júlia Toffoli de Oliveira, Fayola Silva Silveira and Liliana Amaral Féris
Appl. Sci. 2025, 15(13), 7316; https://doi.org/10.3390/app15137316 - 29 Jun 2025
Viewed by 1496
Abstract
This study addresses the growing concern of water contamination by pharmaceutical residues, focusing on the simultaneous removal of paracetamol (PAR) and metronidazole (MTZ). Batch and fixed-bed column adsorption processes were evaluated using activated carbon. In the batch experiments, the effects of pH (3, [...] Read more.
This study addresses the growing concern of water contamination by pharmaceutical residues, focusing on the simultaneous removal of paracetamol (PAR) and metronidazole (MTZ). Batch and fixed-bed column adsorption processes were evaluated using activated carbon. In the batch experiments, the effects of pH (3, 7, and 11), adsorbent mass (0.5, 1.25, and 2 g), and contact time (10, 30, and 60 min) were evaluated, while the fixed-bed column was optimized considering initial pollutants concentration (30, 40, and 50 mg/L), adsorbent mass (0.5, 0.75, and 1 g), and flow rate (5, 10, and 15 mL/min) to improve the maximum adsorption capacity of the bed for both pollutants (qmaxPAR and qmaxMTZ). Parameter estimation and model selection were performed using a Bayesian Monte Carlo approach. Optimal conditions in the batch system (pH = 7, W = 2 g, and time = 60 min) led to high removal efficiencies for both compounds (≥98%), while in the column system, the initial pollutant concentration was the most significant parameter to improve the maximum adsorption capacity of the bed, resulting in values equal to 49.5 and 43.6 mg/g for PAR and MTZ, respectively. The multicomponent Gompertz model showed the best performance for representing the breakthrough curves and is suitable for scale-up (R2 ≥ 0.75). These findings highlight the complexity of multicomponent adsorption and provide insights, contributing to the development of more efficient and sustainable water treatment technologies for pharmaceutical residues. Full article
(This article belongs to the Special Issue Application of Green Chemistry in Environmental Engineering)
Show Figures

Figure 1

Back to TopTop