Application of the ADM–PVSDM Model for Interpreting Breakthrough Curves and Scaling Liquid-Phase Adsorption Systems Under Continuous Operation
Abstract
1. Introduction
2. Materials and Methods
2.1. Adsorbate
2.2. Adsorbent
2.3. Experimental Setup for Adsorption Kinetics and Equilibrium Data
2.4. Experimental Setup for Dynamic Adsorption
3. Mathematical Modeling
3.1. Adsorption Equilibrium Modeling
3.2. Fixed Bed Adsorption Modeling
3.2.1. Common Breakthrough Curve Models
3.2.2. Axial Dispersion and Pore Volume Surface Diffusion Model
4. Scale-Up Methods for Fixed Bed Columns
4.1. Mass Transfer Zone Model (MTZM)
4.2. Length of Unused Bed Model (LUB)
5. Results and Discussion
5.1. Physicochemical Characterization of Bone Char
5.2. Adsorption Equilibrium
5.3. Bohart–Adams Breakthrough Curves Prediction
5.4. ADM-PVSDM Breakthrough Curves Prediction
5.4.1. Adsorption Rate
Stirring Speed Effect
Effect of Initial Concentration
5.4.2. ADM-PVSDM Validation
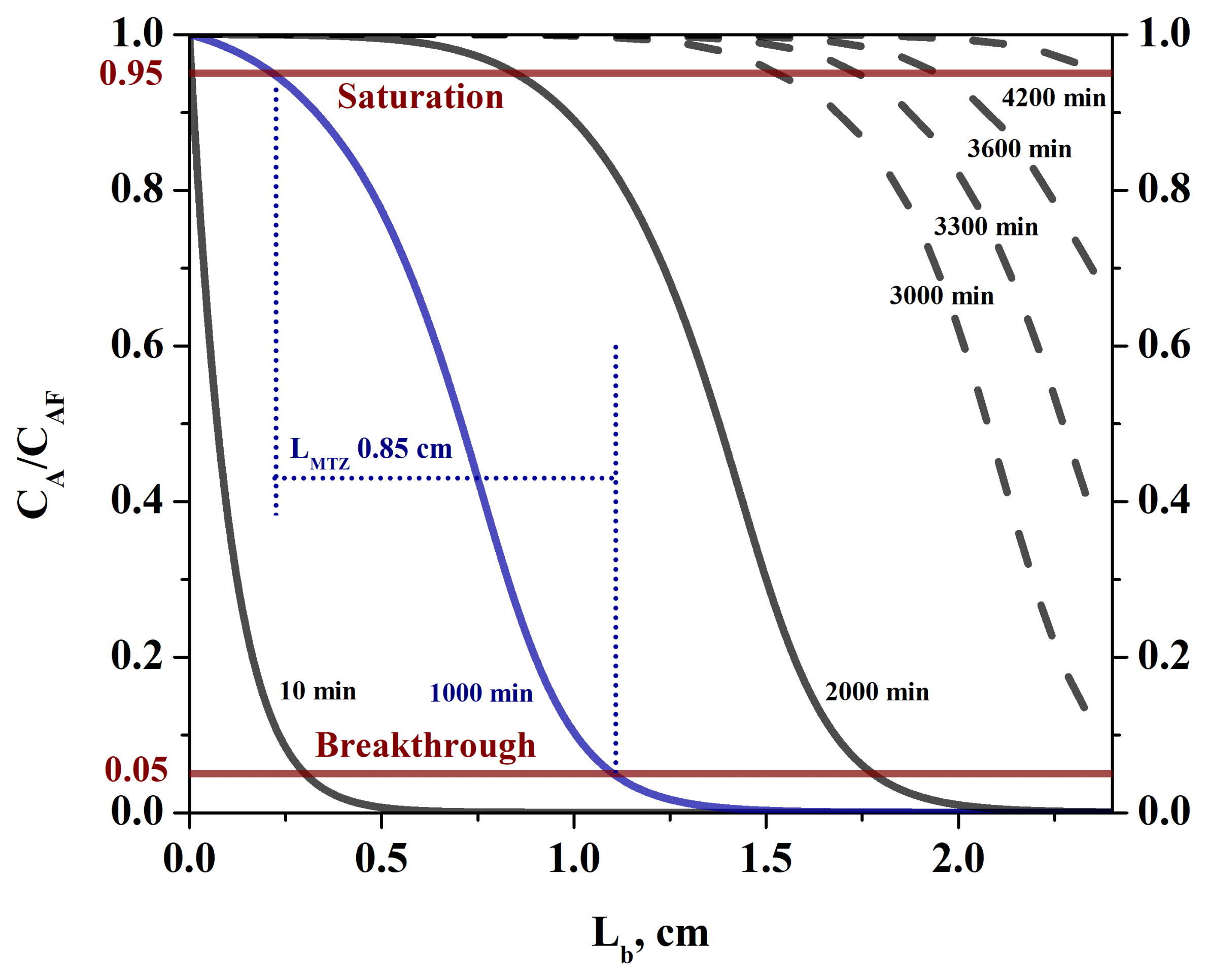
5.5. Fixed Bed Column Scale-Up
6. Conclusions
Supplementary Materials
Author Contributions
Funding
Data Availability Statement
Conflicts of Interest
Abbreviations
| Redlich–Peterson isotherm constant L g−1 | |
| Perpendicular area to the inlet flow in fixed bed, cm2 | |
| ADM | Axial dispersion model |
| Average radial contribution of surface diffusion to the total intraparticle mass transfer | |
| Redlich–Peterson isotherm constant Lβ g−β | |
| Bulk IC concentration, mg L−1 | |
| Initial concentration of IC, mg L−1 | |
| IC concentration calculated by PVSDM, mg L−1 | |
| Bulk concentration of IC at equilibrium, mg L−1 | |
| IC concentration determined experimentally, mg L−1 | |
| Column feed concentration of IC, mg L−1 | |
| IC concentration determined experimentally at time “i”, mg L−1 | |
| IC concentration inside pores of the particle, mg L−1 | |
| IC concentration at the external surface of particles of BC, mg L−1 | |
| IC concentration at the end of the bed, mg L−1 | |
| Molecular diffusion coefficient, cm2 s−1 | |
| Pore Volume diffusion coefficient, cm2 s−1 | |
| Average percentage deviation, % | |
| Average pore diameter, nm | |
| Surface Diffusion coefficient, cm2 s−1 | |
| Axial dispersion coefficient, cm2 s−1 | |
| Empty bed contact time, min | |
| Symmetry Factor | |
| Langmuir isotherm parameter, L mg−1 | |
| Freundlich isotherm parameter, L1/n mg−1/n−1 g−1 | |
| Bohart–Adams reaction rate constant, L mg−1 min−1 | |
| Convective mass transport coefficient in batch, cm s−1 | |
| Convective mass transport coefficient in column, cm s−1 | |
| Thomas reaction rate constant, L mg−1 min−1 | |
| Yoon–Nelson constant, min−1 | |
| Column length, cm | |
| Length of the mass transfer zone, cm | |
| Length of the mass transfer zone predicted by the ADM-PVSDM, cm | |
| Length equivalent to the stoichiometric breakthrough time, cm | |
| Length unused in fixed bed, cm | |
| Adsorbent mass, g | |
| Adsorbent mass packed, g | |
| Mass transfer zone | |
| Total number of samples or experiments | |
| Freundlich isotherm parameter | |
| Column feed mass flux, mg min−1 cm−2 | |
| Schmidt number | |
| Sherwood number | |
| Reynolds number | |
| Peclet number | |
| Adsorption capacity per bed volume, mg cm3 | |
| Objective function 1, mg2 g−2 | |
| Objective function 2, % | |
| PVSDM | Pore volume surface diffusion model |
| Volumetric flow rate, mL min−1 | |
| Mass of IC adsorbed, mg g−1 | |
| Adsorption capacity at breakthrough time, mg g−1 | |
| Mass of IC adsorbed at equilibrium, mg g−1 | |
| Mass of IC adsorbed at equilibrium calculated by an isotherm model, mg g−1 | |
| Mass of IC adsorbed at equilibrium determined experimentally, mg g−1 | |
| Mass of IC adsorbed inside the particle of BC at position r, mg g−1 | |
| Adsorption capacity at saturation time, mg g−1 | |
| Average mass of IC adsorbed inside the particle of BC, mg g−1 | |
| Intraparticle radial distance, cm | |
| Inner radius of column, cm | |
| Radius of BC particles, cm | |
| External specific area of particles of BC, cm2 g−1 | |
| Specific surface area calculated with the BET model, m2 g−1 | |
| Time, min | |
| Breakthrough time, min | |
| Breakthrough time predicted by the ADM-PVSDM, min | |
| Time the MTZ takes to move his length (), min | |
| Saturation time, min | |
| Stoichiometric breakthrough time, min | |
| Superficial velocity, cm s−1 | |
| Adsorbent use rate, g L−1 | |
| Volume adsorbent particles packed (, mL | |
| Initial volume of the liquid phase, mL | |
| Fixed bed volume, mL | |
| Volume of NaOH or HCl drops, mL | |
| Volume of sample “i”, mL | |
| Total pore volume, cm3 g−1 | |
| Velocity of the mass transfer zone, cm min−1 | |
| Velocity of the mass transfer zone predicted by the ADM-PVSDM, cm min−1 | |
| Axial velocity, cm s−1 | |
| RSSCT scaling parameter | |
| Axial distance, cm | |
| Greek Symbols | |
| Redlich–Peterson isotherm constant | |
| Void fraction of the fixed bed | |
| Void fraction of the BC particles | |
| BC particle density, g cm−3 | |
| Water density, g cm−3 | |
| Water viscosity, cP | |
| Tortuosity factor | |
| Time for inbreakthrough curves |
References
- Khan, S.; Malik, A. Environmental and Health Effects of Textile Industry Wastewater. In Environmental Deterioration and Human Health, 1st ed.; Malik, A., Grohmann, E., Akhtar, R., Eds.; Springer: Dordrecht, The Netherlands, 2014; pp. 55–71. [Google Scholar] [CrossRef]
- Singh, R.P.; Singh, P.K.; Gupta, R.; Singh, R.L. Treatment and Recycling of Wastewater from Textile Industry. In Advances in Biological Treatment of Industrial Waste Water and the Recycling for a Sustainable Future, 1st ed.; Singh, R.L., Singh, R.P., Eds.; Springer: Singapore, 2019; pp. 225–266. [Google Scholar] [CrossRef]
- Verma, R.K.; Sankhla, M.S.; Rathod, N.V.; Sonone, S.; Parihar, K.; Singh, G.K. Eradication of Fatal Textile Industrial Dyes by Wastewater Treatment. Biointerface Res. Appl. Chem. 2021, 12, 567–587. [Google Scholar] [CrossRef]
- Burkinshaw, S.M.; Salihu, G. The wash-off of dyeings using interstitial water. Part 4: Disperse and reactive dyes on polyester/cotton fabric. Dye. Pigment. 2013, 99, 548–560. [Google Scholar] [CrossRef]
- Bal, G.; Thakur, A. Distinct approaches of removal of dyes from wastewater: A review. Mater. Today Proc. 2022, 50, 1575–1579. [Google Scholar] [CrossRef]
- Benkhaya, S.; M’ rabet, S.; El Harfi, A. A review on classifications, recent synthesis and applications of textile dyes. Inorg. Chem. Commun. 2020, 115, 107891. [Google Scholar] [CrossRef]
- Naga Babu, A.; Srinivasa Reddy, D.; Sharma, P.; Suresh Kumar, G.; Ravindhranath, K.; Mohan, G.V.K. Removal of Hazardous Indigo Carmine Dye from Waste Water Using Treated Red Mud. Mater. Today Proc. 2019, 17, 198–208. [Google Scholar] [CrossRef]
- Shindhal, T.; Rakholiya, P.; Varjani, S.; Pandey, A.; Hao Ngo, H.; Guo, W.; Yong Ng, H.; Taherzadeh, M.J. A critical review on advances in the practices and perspectives for the treatment of dye industry wastewater. Bioengineered 2021, 12, 70–87. [Google Scholar] [CrossRef]
- Agarwala, R.; Mulky, L. Adsorption of Dyes from Wastewater: A Comprehensive Review. ChemBioEng Rev. 2023, 10, 326–335. [Google Scholar] [CrossRef]
- Kumar, P.S.; Joshiba, G.; Femina, C.; Varshini, P.; Priyadharshini, S.; Karthick, M.S.; Jothirani, R. A critical review on recent developments in the low-cost adsorption of dyes from wastewater. Desalination Water Treat. 2019, 172, 395–416. [Google Scholar] [CrossRef]
- Dichiara, A.B.; Weinstein, S.J.; Rogers, R.E. On the Choice of Batch or Fixed Bed Adsorption Processes for Wastewater Treatment. Ind. Eng. Chem. Res. 2015, 54, 8579–8586. [Google Scholar] [CrossRef]
- Leyva-Ramos, R.; Geankoplis, C.J. Model simulation and analysis of surface diffusion of liquids in porous solids. Chem. Eng. Sci. 1985, 40, 799–807. [Google Scholar] [CrossRef]
- Álvarez-Álvarez, J.A.; Aguilar-Aguilar, A.; Robledo-Cabrera, A.; Ocampo-Perez, R.; Leyva-Ramos, R.; Padilla-Ortega, E. Contribution of halloysite as nanotubular clay mineral on mechanism and adsorption rate of Cd(II) onto nanocomposites alginate-halloysite. Environ. Res. 2023, 216, 114772. [Google Scholar] [CrossRef]
- Leyva-Ramos, R.; Geankoplis, C.J. Diffusion in liquid-filled pores of activated carbon. I. Pore volume diffusion. Can. J. Chem. Eng. 1994, 72, 262–271. [Google Scholar] [CrossRef]
- Gabelman, A. Adsorption basics: Part 1. Chem. Eng. Prog. 2017, 113, 48–53. [Google Scholar]
- García-Mateos, F.J.; Ruiz-Rosas, R.; Marqués, M.D.; Cotoruelo, L.M.; Rodriguez-Mirasol, J.; Cordero, T. Removal of paracetamol on biomass-derived activated carbon: Modeling the fixed bed breakthrough curves using batch adsorption experiments. Chem. Eng. J. 2015, 279, 18–30. [Google Scholar] [CrossRef]
- Apiratikul, R.; Chu, K.H. Improved fixed bed models for correlating asymmetric adsorption breakthrough curves. J. Water Process Eng. 2021, 40, 101810. [Google Scholar] [CrossRef]
- Güler, M.; Çetintaş, S.; Bingöl, D. Cinnamon bark as low-cost and eco-friendly adsorbent for the removal of indigo carmine and malachite green dyestuffs. Int. J. Environ. Anal. Chem. 2021, 101, 735–757. [Google Scholar] [CrossRef]
- Gupta, T.B.; Lataye, D.H. Adsorption of Indigo Carmine Dye onto Acacia Nilotica (Babool) Sawdust Activated Carbon. J. Hazard. Toxic. Radioact. Waste 2017, 21, 04017013. [Google Scholar] [CrossRef]
- Li, Y.; Liu, J.; Wei, B.; Zhang, X.; Liu, X.; Han, L. A comprehensive review of bone char: Fabrication procedures, physicochemical properties, and environmental application. Sci. Total Environ. 2024, 954, 176375. [Google Scholar] [CrossRef]
- Kaseva, M.E. Optimization of regenerated bone char for fluoride removal in drinking water: A case study in Tanzania. J. Water Health 2006, 4, 139–147. [Google Scholar] [CrossRef]
- Ristea, M.-E.; Zarnescu, O. Indigo Carmine: Between Necessity and Concern. J. Xenobiot. 2023, 13, 509–528. [Google Scholar] [CrossRef]
- Adel, M.; Ahmed, M.A.; Mohamed, A.A. Effective removal of indigo carmine dye from wastewaters by adsorption onto mesoporous magnesium ferrite nanoparticles. Environ. Nanotechnol. Monit. Manag. 2021, 16, 100550. [Google Scholar] [CrossRef]
- Donneys-Victoria, D.; Marriaga-Cabrales, N.; Machuca-Martínez, F.; Benavides-Guerrero, J.; Cloutier, S.G. Indigo carmine and chloride ions removal by electrocoagulation. Simultaneous production of brucite and layered double hydroxides. J. Water Process Eng. 2020, 33, 101106. [Google Scholar] [CrossRef]
- Rivera-Utrilla, J.; Bautista-Toledo, I.; Ferro-García, M.A.; Moreno-Castilla, C. Activated carbon surface modifications by adsorption of bacteria and their effect on aqueous lead adsorption. J. Chem. Technol. Biotechnol. 2001, 76, 1209–1215. [Google Scholar] [CrossRef]
- Fiol, N.; Villaescusa, I. Determination of sorbent point zero charge: Usefulness in sorption studies. Environ. Chem. Lett. 2009, 7, 79–84. [Google Scholar] [CrossRef]
- Xu, Z.; Cai, J.; Pan, B. Mathematically modeling fixed-bed adsorption in aqueous systems. J. Zhejiang Univ. Sci. A 2013, 14, 155–176. [Google Scholar] [CrossRef]
- Hu, Q.; Yang, X.; Huang, Y.; Li, Y.; Hao, L.; Pei, Q.; Pei, X. A critical review of breakthrough models with analytical solutions in a fixed-bed column. J. Water Process Eng. 2024, 59, 105065. [Google Scholar] [CrossRef]
- Chu, K.H. Fixed bed sorption: Setting the record straight on the Bohart–Adams and Thomas models. J. Hazard. Mater. 2010, 177, 1006–1012. [Google Scholar] [CrossRef]
- Chu, K.H. Breakthrough curve analysis by simplistic models of fixed bed adsorption: In defense of the century-old Bohart-Adams model. Chem. Eng. J. 2020, 380, 122513. [Google Scholar] [CrossRef]
- Rastegar, S.O.; Gu, T. Empirical correlations for axial dispersion coefficient and Peclet number in fixed-bed columns. J. Chromatogr. A 2017, 1490, 133–137. [Google Scholar] [CrossRef]
- Athalye, A.M.; Gibbs, S.J.; Lightfoot, E.N. Predictability of chromatographic protein separations. J. Chromatogr. A 1992, 589, 71–85. [Google Scholar] [CrossRef]
- Smith, E.H.; Weber, W.J. Evaluation of mass-transfer parameters for adsorption of organic compounds from complex organic matrixes. Environ. Sci. Technol. 1989, 23, 713–722. [Google Scholar] [CrossRef]
- Wilson, E.J.; Geankoplis, C.J. Liquid Mass Transfer at Very Low Reynolds Numbers in Packed Beds. Ind. Eng. Chem. Fundam. 1966, 5, 9–14. [Google Scholar] [CrossRef]
- Medellín Castillo, N.A. Removal of Fluorides in Aqueous Solution by Adsorption on Various Materials. Ph.D. Thesis, Universidad Autónoma de San Luis Potosí, San Luis Potosí, México, 2006. [Google Scholar]
- Mudhoo, A.; Otero, M.; Chu, K.H. Insights into adsorbent tortuosity across aqueous adsorption systems. Particuology 2024, 88, 71–88. [Google Scholar] [CrossRef]
- Valderrama, C.; Gamisans, X.; de las Heras, X.; Farrán, A.; Cortina, J.L. Sorption kinetics of polycyclic aromatic hydrocarbons removal using granular activated carbon: Intraparticle diffusion coefficients. J. Hazard. Mater. 2008, 157, 386–396. [Google Scholar] [CrossRef] [PubMed]
- Pauletto, P.S.; Dotto, G.L.; Salau, N.P.G. Diffusion mechanisms and effect of adsorbent geometry on heavy metal adsorption. Chem. Eng. Res. Des. 2020, 157, 182–194. [Google Scholar] [CrossRef]
- Wilke, C.; Chang, P. Correlation of diffusion coefficients in dilute solutions. AIChE 1955, 1, 264–270. [Google Scholar] [CrossRef]
- Furusawa, T.; Smith, J.M. Fluid-Particle and Intraparticle Mass Transport Rates in Slurries. Ind. Eng. Chem. Fundam. 1973, 12, 197–203. [Google Scholar] [CrossRef]
- Worch, E. Adsorption Technology in Water Treatment, 1st ed.; DE GRUYTER: Berlin, Germany, 2012; pp. 197–207. [Google Scholar] [CrossRef]
- Michaels, A.S. Simplified Method of Interpreting Kinetic Data in Fixed-Bed Ion Exchange. Ind. Eng. Chem. 1952, 44, 1922–1930. [Google Scholar] [CrossRef]
- Lukchis, G.M. Adsorption Systems. Pt. 1: Design by Mass-transfer Zone Concept. Chem. Eng. N. Y. 1973, 80, 111–116. [Google Scholar]
- Collins, J.J. The LUB/equilibrium section concept for fixed-bed adsorption. Chem. Eng. Prog. Symp. Ser. 1967, 63, 31–35. [Google Scholar]
- Rouquerol, J.; Rouquerol, F.; Sing, K. Adsorption by Powders and Porous Solids, 1st ed.; Academic Press: London, UK, 1999; pp. 93–115. [Google Scholar] [CrossRef]
- Sing, K.S.W. Reporting physisorption data for gas/solid systems with special reference to the determination of surface area and porosity (Recommendations 1984). Pure Appl. Chem. 1985, 57, 603–619. [Google Scholar] [CrossRef]
- Wang, H.; Luo, P. Preparation, Kinetics, and Adsorption Mechanism Study of Microcrystalline Cellulose-Modified Bone Char as an Efficient Pb (II) Adsorbent. Water Air Soil. Pollut. 2020, 231, 328. [Google Scholar] [CrossRef]
- Wang, M.; Liu, Y.; Yao, Y.; Han, L.; Liu, X. Comparative evaluation of bone chars derived from bovine parts: Physicochemical properties and copper sorption behavior. Sci. Total Environ. 2020, 700, 134470. [Google Scholar] [CrossRef] [PubMed]
- Patel, S.; Han, J.; Qiu, W.; Gao, W. Synthesis and characterisation of mesoporous bone char obtained by pyrolysis of animal bones, for environmental application. J. Environ. Chem. Eng. 2015, 3, 2368–2377. [Google Scholar] [CrossRef]
- Giles, C.H.; Smith, D.; Huitson, A. A general treatment and classification of the solute adsorption isotherm. I. Theoretical. J. Colloid. Interface Sci. 1974, 47, 755–765. [Google Scholar] [CrossRef]
- Medellin-Castillo, N.A.; Leyva-Ramos, R.; Ocampo-Perez, R.; Cruz, R.F.G.D.; Aragon-Piña, A.; Martinez-Rosales, J.M.; Guerrero-Coronado, R.M.; Fuentes-Rubio, L. Adsorption of Fluoride from Water Solution on Bone Char. Ind. Eng. Chem. Res. 2007, 46, 9205–9212. [Google Scholar] [CrossRef]
- Ip, A.W.M.; Barford, J.P.; McKay, G. A comparative study on the kinetics and mechanisms of removal of Reactive Black 5 by adsorption onto activated carbons and bone char. Chem. Eng. J. 2010, 157, 434–442. [Google Scholar] [CrossRef]
- Li, Y.; Wang, M.; Liu, J.; Han, L.; Qin, Q.; Liu, X. Adsorption/desorption behavior of ionic dyes on sintered bone char. Mater. Chem. Phys. 2023, 297, 127405. [Google Scholar] [CrossRef]
- Coltre, D.S.D.C.; Cionek, C.A.; Meneguin, J.G.; Maeda, C.H.; Braga, M.U.C.; Araujo, A.C.D.; Gauze, G.D.F.; Barros, M.A.S.D.D.; Arroyo, P.A. Study of dye desorption mechanism of bone char utilizing different regenerating agents. SN Appl. Sci. 2020, 2, 2150. [Google Scholar] [CrossRef]
- Medellin-Castillo, N.A.; Gonzalez-Fernández, L.A.; Thiodjio-Sendja, B.; Aguilera-Flores, M.M.; Leyva-Ramos, R.; Reyes-López, S.Y.; León Martínez, L.D.; Maia-Dias, J. Bone char for water treatment and environmental applications: A review. J. Anal. Appl. Pyrolysis 2023, 175, 106161. [Google Scholar] [CrossRef]
- Hart, A.; Porbeni, D.W.; Omonmhenle, S.; Peretomode, E. Waste bone char-derived adsorbents: Characteristics, adsorption mechanism and model approach. Environ. Technol. Rev. 2023, 12, 175–204. [Google Scholar] [CrossRef]
- Díaz-Blancas, V.; Aguilar-Madera, C.G.; Flores-Cano, J.V.; Leyva-Ramos, R.; Padilla-Ortega, E.; Ocampo-Pérez, R. Evaluation of mass transfer mechanisms involved during the adsorption of metronidazole on granular activated carbon in fixed bed column. J. Water Process Eng. 2020, 36, 101303. [Google Scholar] [CrossRef]
- González-Fernández, L.A.; Aguirre-Contreras, S.; Medellín-Castillo, N.A.; Sánchez-Polo, M.; Navarro-Frómeta, A.E.; Leyva-Ramos, R.; Vilasó-Cadre, J.E.; Ocampo-Perez, R. Mathematical modelling of kinetic and breakthrough curves for Cd(II) adsorption onto Sargassum biomass using the Diffusion—Permeation Model. J. Water Process Eng. 2025, 77, 108473. [Google Scholar] [CrossRef]
- Ocampo-Pérez, R.; Leyva-Ramos, R.; Rivera-Utrilla, J.; Flores-Cano, J.V.; Sánchez-Polo, M. Modeling adsorption rate of tetracyclines on activated carbons from aqueous phase. Chem. Eng. Res. Des. 2015, 104, 579–588. [Google Scholar] [CrossRef]
- Aguirre-Contreras, S.; Leyva-Ramos, R.; Ocampo-Pérez, R.; Aguilar-Madera, C.G.; Flores-Cano, J.V.; Medellín-Castillo, N.A. Mathematical modeling of breakthrough curves for 8-hydroxyquinoline removal from fundamental equilibrium and adsorption rate studies. J. Water Process Eng. 2023, 54, 103967. [Google Scholar] [CrossRef]
- Díaz-Blancas, V.; Ocampo-Pérez, R.; Leyva-Ramos, R.; Alonso-Dávila, P.A.; Moral-Rodríguez, A.I. 3D modeling of the overall adsorption rate of metronidazole on granular activated carbon at low and high concentrations in aqueous solution. Chem. Eng. J. 2018, 349, 82–91. [Google Scholar] [CrossRef]
- Benjelloun, M.; Miyah, Y.; Akdemir Evrendilek, G.; Zerrouq, F.; Lairini, S. Recent Advances in Adsorption Kinetic Models: Their Application to Dye Types. Arab. J. Chem. 2021, 14, 103031. [Google Scholar] [CrossRef]
- Geankoplis, C.J. Transport Processes and Separation Process Principies, 4th ed.; Prentice Hall: Englewood Cliffs, NJ, USA, 2003; pp. 773–832. [Google Scholar]
- McCabe, W.L.; Smith, J.C.; Harriot, P. Unit Operations of Chemical Engineering, 7th ed.; McGraw-Hill: Columbus, OH, USA, 2007; pp. 875–922. [Google Scholar]









| Langmuir | Freundlich | Prausnitz–Radke | |||||||
|---|---|---|---|---|---|---|---|---|---|
| qm mg g−1 | K L mg−1 | Dev % | k L1/n mg−1/n−1 g−1 | n | Dev % | a L g−1 | b Lβ mg−β | β | Dev % |
| 59.3 | 0.0616 | 12.3 | 26.6 | 7.82 | 3.83 | 5.61 | 0.123 | 0.955 | 11.1 |
| RUN | CA0 mg L−1 | Ce mg L−1 | qe mg g−1 | RPM | L mg−1 min−1 | Desv * % | cm s−1 | cm2 s−1 | NSh | Desv ** % | |
|---|---|---|---|---|---|---|---|---|---|---|---|
| 1 | 94.5 | 72.6 | 43.60 | 30 | 0.4 | 0.97 | 2.9 | 0.2 | 1.42 | ||
| 2 | 99.4 | 76.5 | 45.70 | 50 | 0.58 | 2 | 5.4 | 0.34 | 0.45 | ||
| 3 | 103.8 | 79.9 | 47.70 | 150 | 0.89 | 2.01 | 8.3 | 1.01 | 1.76 | ||
| 4 | 92.3 | 69 | 46.40 | 200 | 0.99 | 2.1 | 9.2 | 1.68 | 2.11 | ||
| 5 | 97.4 | 72.9 | 48.50 | 300 | 0.45 | 7.8 | 2.91 | 2.1 | 27.2 | 2.01 | 1.76 |
| 6 | 21.1 | 4.6 | 32.40 | 300 | 5.83 | 2.6 | 5.07 | 1.97 | 47.4 | 2.01 | 11.25 |
| 7 | 48.4 | 29.3 | 37.50 | 300 | 1.33 | 7.2 | 2.88 | 1.96 | 26.9 | 2.01 | 4.87 |
| 8 | 208 | 183 | 54.00 | 300 | 0.14 | 7.2 | 0.39 | 0.7 | 3.6 | 2.01 | 1.01 |
| 9 | 404.6 | 376.1 | 56.80 | 300 | 0.14 | 7.7 | 0.46 | 1.98 | 4.26 | 2.01 | 0.55 |
| RUN | CAF mg L−1 | mb g | Lb cm | Rb cm | εb | Q cm3 min−1 | EBCT min | Ur, g L−1 | qb mg g−1 | qsat mg g−1 | NRe | NSh | NPe | cm s−1 | cm s−1 | cm2 s−1 |
|---|---|---|---|---|---|---|---|---|---|---|---|---|---|---|---|---|
| 1 | 80.0 | 3.0 | 3.8 | 0.55 | 0.46 | 1.6 | 2.30 | 2.85 | 11.94 | 45.99 | 0.30 | 15.1 | 1.74 | 6.09 | 1.62 | 1.56 |
| 2 | 86.1 | 3.0 | 3.8 | 0.55 | 0.46 | 2.3 | 1.60 | 4.83 | 27.53 | 53.02 | 0.44 | 17.2 | 1.81 | 8.83 | 1.84 | 2.16 |
| 3 | 82.9 | 3.0 | 3.8 | 0.55 | 0.46 | 3.3 | 1.10 | 7.07 | 24.15 | 46.06 | 0.63 | 19.5 | 1.86 | 12.71 | 2.09 | 3.03 |
| 4 | 86.0 | 1.0 | 1.3 | 0.55 | 0.47 | 1.6 | 0.80 | 8.33 | 11.65 | 35.99 | 0.30 | 14.8 | 1.74 | 5.96 | 1.59 | 1.52 |
| 5 | 206 | 3.0 | 3.8 | 0.55 | 0.46 | 1.7 | 2.10 | 8.48 | 17.75 | 39.74 | 0.33 | 15.6 | 1.75 | 6.62 | 1.67 | 1.67 |
| 6 | 422 | 3.0 | 3.8 | 0.55 | 0.46 | 1.7 | 2.10 | 35.3 | 10.46 | 40.15 | 0.33 | 15.6 | 1.75 | 6.61 | 1.67 | 1.67 |
| 7 | 91.0 | 3.0 | 3.8 | 0.55 | 0.46 | 0.7 | 4.90 | 3.19 | 34.53 | 45.44 | 0.14 | 11.8 | 1.50 | 2.84 | 1.26 | 0.84 |
| 8 | 93.0 | 11.0 | 2.4 | 1.25 | 0.39 | 1.6 | 7.20 | 2.79 | 39.24 | 49.46 | 0.07 | 10.4 | 1.01 | 1.43 | 1.12 | 0.56 |
| 9 | 95.0 | 11.0 | 2.5 | 1.25 | 0.41 | 1.3 | 9.40 | 2.42 | 35.94 | 46.18 | 0.05 | 9.10 | 1.13 | 1.07 | 0.98 | 0.47 |
| RUN | NA mg min−1 cm−2 | tb min | ts min | FS | LMTZ cm | cm min−1 | tbpred min | tsatpred min | FSpred | LMTZpred cm | cm min−1 | Desv tb % | Desv LMTZ % | Desv VMTZ % |
|---|---|---|---|---|---|---|---|---|---|---|---|---|---|---|
| 1 | 0.13 | 654 | 2029 | 0.44 | 4.16 | 3.03 | 615 | 1950 | 0.40 | 4.44 | 3.32 | 5.96 | 6.63 | 9.83 |
| 2 | 0.21 | 270 | 1336 | 0.32 | 6.69 | 6.28 | 285 | 1390 | 0.37 | 6.12 | 5.54 | 5.56 | 8.49 | 11.7 |
| 3 | 0.29 | 129 | 975 | 0.32 | 8.12 | 9.60 | 135 | 1090 | 0.33 | 8.25 | 8.63 | 4.65 | 1.53 | 10.1 |
| 4 | 0.14 | 65 | 880 | 0.26 | 3.64 | 4.52 | 57 | 920 | 0.31 | 3.54 | 4.10 | 12.3 | 2.64 | 9.18 |
| 5 | 0.38 | 202 | 700 | 0.37 | 4.91 | 9.86 | 229.5 | 779 | 0.31 | 5.21 | 9.48 | 13.6 | 6.05 | 3.89 |
| 6 | 0.77 | 65 | 478 | 0.32 | 8.71 | 20.3 | 73 | 530 | 0.30 | 8.40 | 18.4 | 12.3 | 3.61 | 9.41 |
| 7 | 0.07 | 1540 | 2700 | 0.42 | 2.20 | 1.90 | 1530 | 2880 | 0.42 | 2.40 | 1.78 | 0.65 | 9.09 | 6.26 |
| 8 | 0.03 | 2600 | 4000 | 0.37 | 1.00 | 0.714 | 2860 | 4200 | 0.45 | 0.93 | 0.694 | 10.0 | 7.00 | 2.84 |
| 9 | 0.03 | 3500 | 5220 | 0.40 | 0.97 | 0.564 | 3630 | 5100 | 0.46 | 0.85 | 0.578 | 3.71 | 12.4 | 2.53 |
Disclaimer/Publisher’s Note: The statements, opinions and data contained in all publications are solely those of the individual author(s) and contributor(s) and not of MDPI and/or the editor(s). MDPI and/or the editor(s) disclaim responsibility for any injury to people or property resulting from any ideas, methods, instructions or products referred to in the content. |
© 2025 by the authors. Licensee MDPI, Basel, Switzerland. This article is an open access article distributed under the terms and conditions of the Creative Commons Attribution (CC BY) license.
Share and Cite
Aguirre-Contreras, S.; López-Ramón, M.V.; Velo-Gala, I.; Álvarez-Merino, M.A.; Fernández-Poyatos, M.d.P.; Aguilar-Madera, C.G.; Padilla-Ortega, E.; Aguilar-Maruri, S.A.; Ocampo-Pérez, R. Application of the ADM–PVSDM Model for Interpreting Breakthrough Curves and Scaling Liquid-Phase Adsorption Systems Under Continuous Operation. Processes 2026, 14, 92. https://doi.org/10.3390/pr14010092
Aguirre-Contreras S, López-Ramón MV, Velo-Gala I, Álvarez-Merino MA, Fernández-Poyatos MdP, Aguilar-Madera CG, Padilla-Ortega E, Aguilar-Maruri SA, Ocampo-Pérez R. Application of the ADM–PVSDM Model for Interpreting Breakthrough Curves and Scaling Liquid-Phase Adsorption Systems Under Continuous Operation. Processes. 2026; 14(1):92. https://doi.org/10.3390/pr14010092
Chicago/Turabian StyleAguirre-Contreras, Samuel, María Victoria López-Ramón, Inmaculada Velo-Gala, Miguel Angel Álvarez-Merino, María del Pilar Fernández-Poyatos, Carlos Gilberto Aguilar-Madera, Erika Padilla-Ortega, Saul Alejandro Aguilar-Maruri, and Raúl Ocampo-Pérez. 2026. "Application of the ADM–PVSDM Model for Interpreting Breakthrough Curves and Scaling Liquid-Phase Adsorption Systems Under Continuous Operation" Processes 14, no. 1: 92. https://doi.org/10.3390/pr14010092
APA StyleAguirre-Contreras, S., López-Ramón, M. V., Velo-Gala, I., Álvarez-Merino, M. A., Fernández-Poyatos, M. d. P., Aguilar-Madera, C. G., Padilla-Ortega, E., Aguilar-Maruri, S. A., & Ocampo-Pérez, R. (2026). Application of the ADM–PVSDM Model for Interpreting Breakthrough Curves and Scaling Liquid-Phase Adsorption Systems Under Continuous Operation. Processes, 14(1), 92. https://doi.org/10.3390/pr14010092

