Sign in to use this feature.

Years

Between: -

Subjects

remove_circle_outline
remove_circle_outline
remove_circle_outline
remove_circle_outline
remove_circle_outline
remove_circle_outline
remove_circle_outline
remove_circle_outline
remove_circle_outline

Journals

remove_circle_outline
remove_circle_outline
remove_circle_outline
remove_circle_outline
remove_circle_outline
remove_circle_outline
remove_circle_outline
remove_circle_outline
remove_circle_outline
remove_circle_outline
remove_circle_outline
remove_circle_outline
remove_circle_outline
remove_circle_outline
remove_circle_outline
remove_circle_outline
remove_circle_outline
remove_circle_outline
remove_circle_outline

Article Types

Countries / Regions

remove_circle_outline
remove_circle_outline
remove_circle_outline
remove_circle_outline
remove_circle_outline
remove_circle_outline

Search Results (2,354)

Search Parameters:
Keywords = firm productivity

Order results
Result details
Results per page
Select all
Export citation of selected articles as:
37 pages, 3528 KB  
Review
Exploring the Research Landscape of Impact Investing and Sustainable Finance: A Bibliometric Review
by Saurav Chandra Talukder, Zoltán Lakner and Ágoston Temesi
J. Risk Financial Manag. 2025, 18(10), 578; https://doi.org/10.3390/jrfm18100578 (registering DOI) - 12 Oct 2025
Abstract
Impact investing and sustainable finance are crucial in addressing social and environmental issues while developing a more resilient, equitable, and sustainable world. The purpose of this article is to analyze, synthesize, and evaluate the existing literature on the impact investing and sustainable finance [...] Read more.
Impact investing and sustainable finance are crucial in addressing social and environmental issues while developing a more resilient, equitable, and sustainable world. The purpose of this article is to analyze, synthesize, and evaluate the existing literature on the impact investing and sustainable finance research domain. Using PRISMA protocol, data was extracted from the Web of Science and Scopus databases, resulting in the compilation of 498 documents. Researchers use Biblioshiny and VOSviewer to analyze the bibliographic meta data. The findings show that the number of publications in this field has increased significantly over the last five years. In terms of journal productivity, Sustainability is the most prominent source, followed by Resources Policy and Journal of Cleaner Production. The results indicate that China published 189 articles, securing the first position, followed by India with 82 articles and the UK with 72 articles. Thematic map analysis underscores the significance of impact investing in renewable energy for sustainable economic growth. In addition, four research themes have emerged from the co-occurrence of keywords analysis. These themes are “sustainable finance for sustainable economic development”; “the rise of ESG investing in the changing world”; “corporate governance and CSR in enhancing firm performance”; and “mobilizing sustainable finance to tackle climate changes”. Furthermore, the research gives a complete summary of current research trends, future research directions and policy recommendations to assist academic researchers, investors, policymakers, business organizations and financial institutions in better understanding the impact investment and sustainable finance. Full article
(This article belongs to the Special Issue Behavioral Finance and Sustainable Green Investing)
Show Figures

Figure 1

28 pages, 1072 KB  
Article
Does Green Finance Drive New Quality Productive Forces? Evidence from Chinese Listed Companies
by Purong Chen, Lei Nie, Shunfeng Song, Quan Sun and Jing Zhang
Sustainability 2025, 17(20), 8993; https://doi.org/10.3390/su17208993 (registering DOI) - 10 Oct 2025
Abstract
Productivity has long been the fundamental driver of human social progress and national prosperity. Against the backdrop of technological advancement and social development, New Quality Productive Forces (NQPFs) have emerged as a new form of productivity, serving as a key focus for corporate [...] Read more.
Productivity has long been the fundamental driver of human social progress and national prosperity. Against the backdrop of technological advancement and social development, New Quality Productive Forces (NQPFs) have emerged as a new form of productivity, serving as a key focus for corporate transformation and upgrading as well as sustainable national development. Based on the panel data of 28,107 listed companies in China from 2011 to 2022, this study employs a three-way fixed-effects model to investigate the impact of green finance (GF) on corporate NQPFs. The main findings are as follows: First, GF exhibits a significant positive correlation with the enhancement of corporate NQPFs. Second, financing constraints and corporate social responsibility strengthen the empowering effect of GF on corporate NQPFs, while environmental law enforcement weakens this effect, reflecting a “synergistic dilemma” between government intervention and market mechanisms in promoting corporate NQPFs. Third, the effect of GF on corporate NQPFs shows significant heterogeneity depending on environmental and social risks, the nature of property rights, public attention, and firm size. These findings provide important insights for optimizing green finance policies and enhancing corporate productivity. Full article
Show Figures

Figure 1

16 pages, 5397 KB  
Article
The Agronomic Traits Differences in Hericium erinaceus Cultivated with Different Straw Formulations by Replacing Wood with Straw
by Zhu Lu, Yang Yang, Shuang Hu, Yu-Kun Ma, Zi-Ming Ren, Yue Wang, Ying-Kun Yang, Shu-Juan Ji, Huan Wang and Xiao Huang
Horticulturae 2025, 11(10), 1220; https://doi.org/10.3390/horticulturae11101220 - 10 Oct 2025
Abstract
Hericium erinaceus, a rare edible–medicinal fungus, has attracted great attention in food and pharmaceutical fields due to its rich nutritional and bioactive components. However, its traditional cultivation relies heavily on wood chip substrates, causing resource unsustainability. The “wood-replacing-with-grass” technology can address this [...] Read more.
Hericium erinaceus, a rare edible–medicinal fungus, has attracted great attention in food and pharmaceutical fields due to its rich nutritional and bioactive components. However, its traditional cultivation relies heavily on wood chip substrates, causing resource unsustainability. The “wood-replacing-with-grass” technology can address this issue, contributing to ecological conservation and alleviating resource conflicts between edible fungus cultivation and forestry development. This study focused on straw substitution for wood chips, initially screening suitable straw types and optimal addition ratios from 7 straw varieties, and systematically investigating the agronomic trait variations in H. erinaceus under different substrate formulations via cultivation experiments. Results showed the following: (1) Rapeseed straw, soybean straw, and corn straw substituting 20%, 30%, and 40% of wood chips, respectively, promoted better mycelial growth of H. erinaceus. (2) All screened straw formulations enabled fruiting. With increased straw addition, the mycelial full colonization time shortened (up to 5 days shorter in 40% corn/soybean straw treatments). The 20% corn straw treatment showed significantly higher biological efficiency and average fresh weight than the control (CK); the 20% soybean straw treatment had no significant difference in biological efficiency but significantly higher average fresh weight than CK; and the 20% rapeseed straw treatment showed no significant differences in both indexes from CK. However, when straw addition exceeded 20%, fruiting body firmness, yield, and biological efficiency decreased progressively. (3) The 40% soybean straw treatment yielded fruiting bodies with the highest crude protein, manganese, and iron contents, while the 40% rapeseed straw treatment had the highest crude fat, potassium, phosphorus, calcium, zinc, and selenium contents. These findings provide a theoretical basis and practical reference for optimizing H. erinaceus cultivation substrate formulations, improving product quality, and promoting sustainable industrial development. Full article
(This article belongs to the Special Issue Advances in Propagation and Cultivation of Mushroom)
Show Figures

Figure 1

13 pages, 461 KB  
Article
The Impact of Product Environmental Innovation in Process Industries: Evidence from Innovation Efficiency and Performance
by Yeongjun Kim, Jiyun Seong and Changhee Kim
Processes 2025, 13(10), 3227; https://doi.org/10.3390/pr13103227 - 10 Oct 2025
Abstract
This study examines the heterogeneous effects of product environmental innovation on firm-level innovation efficiency and performance in process industries, with a focus on the chemical and electronics sectors. Following the Organisation for Economic Co-operation and Development (OECD)’s Oslo Manual, four types of product [...] Read more.
This study examines the heterogeneous effects of product environmental innovation on firm-level innovation efficiency and performance in process industries, with a focus on the chemical and electronics sectors. Following the Organisation for Economic Co-operation and Development (OECD)’s Oslo Manual, four types of product environmental innovation are considered: reducing energy use and emissions (RUE), reducing pollution (RP), promoting recycling (PR), and enhancing durability and extending product life (EDEL). Innovation efficiency is evaluated using the input-oriented Banker–Charnes–Cooper (BCC) Data Envelopment Analysis (DEA) model, and regression analyses are applied to test the effects of each innovation type on efficiency and sales outcomes. The results reveal that RUE and EDEL consistently enhance both efficiency and performance, whereas PR has a negative impact on performance, and RP shows no significant effect. These findings demonstrate that product environmental innovation is not a homogeneous construct but yields heterogeneous outcomes depending on type and industry context. The study contributes to the literature by jointly examining efficiency and performance outcomes and by overcoming the limitations of single-metric evaluations, and it provides practical implications by clarifying which innovation types deliver immediate value in business-to-consumer (B2C) markets and which are more relevant for business-to-business (B2B) settings. Full article
(This article belongs to the Special Issue Innovation and Optimization of Production Processes in Industry 4.0)
Show Figures

Figure 1

24 pages, 3171 KB  
Article
Investigating the Biocontrol and Plant Growth-Promoting Potential of Pseudomonas yamanorum for Sustainable Management of Tomato Early Blight (Alternaria alternata)
by Lobna Hajji-Hedfi, Takwa Wannassi, Amira Khlif, Nyasha J. Kavhiza and Nazih Y. Rebouh
Plants 2025, 14(20), 3117; https://doi.org/10.3390/plants14203117 - 10 Oct 2025
Viewed by 107
Abstract
Tomato (Solanum lycopersicum L.) is among the most economically significant and nutritionally valuable vegetable crops grown globally. However, fungal diseases such as Early Blight caused by Alternaria alternata are a major factor limiting yield and fruit quality in tomato production. This study [...] Read more.
Tomato (Solanum lycopersicum L.) is among the most economically significant and nutritionally valuable vegetable crops grown globally. However, fungal diseases such as Early Blight caused by Alternaria alternata are a major factor limiting yield and fruit quality in tomato production. This study investigates the biocontrol potential of locally isolated rhizobacterium Pseudomonas yamanorum against A. alternata, the causal agent of early blight in tomato, under both in vitro and in planta conditions. In vitro assays demonstrated significant antifungal activity; in the dual confrontation assay, P. yamanorum (108 CFU/mL) reduced A. alternata mycelial growth by 68.7%, while spore germination was inhibited by 88.7%. In planta trials demonstrated that plants treated with P. yamanorum (107 CFU/mL) alone exhibited the lowest disease severity (2.5). The treatments also significantly enhanced plant growth, with shoot length reaching 45 cm versus 26 cm in infected controls. Biochemical analyses revealed increased catalase (94.84 units mg−1 protein min−1), peroxidase (5.83), and ascorbate peroxidase (67.01) activities in treated plants. Total polyphenol and protein contents also increased (0.81 mg/g and 15.82 mg/g, respectively). Furthermore, P. yamanorum treatments maintained fruit quality parameters such as firmness (3.13), sugar content (6.43 °Brix), and juice yield (55.88%), while reducing malondialdehyde (2.02 µmol/g Dry Weight) and electrical conductivity (0.59 mS/cm). These findings highlight P. yamanorum as a promising biocontrol agent and plant growth-promoting bacteria that improve disease resistance, which can be combined with salicylic acid to further enhance crop vigor and fruit quality under biotic stress. Full article
Show Figures

Figure 1

22 pages, 787 KB  
Article
Leveraging Digital Innovation for Sustainable Performance via Supply Chain Resilience
by Yuhan Liu, Yubing Yu, Ye Wu, Yanqiu Liu and Min Zhang
J. Theor. Appl. Electron. Commer. Res. 2025, 20(4), 283; https://doi.org/10.3390/jtaer20040283 - 9 Oct 2025
Viewed by 283
Abstract
As an emerging innovation paradigm in the digital economy era, digital innovation has become an important means for manufacturing firms to build supply chain resilience for sustainable development, but its intrinsic mechanism requires clarification. This research explores the impact of digital innovation (digital [...] Read more.
As an emerging innovation paradigm in the digital economy era, digital innovation has become an important means for manufacturing firms to build supply chain resilience for sustainable development, but its intrinsic mechanism requires clarification. This research explores the impact of digital innovation (digital organizational innovation and digital product innovation) on supply chain resilience (supply chain readiness, supply chain responsiveness, and supply chain recovery) and sustainable performance via structural equation modeling involving data from 226 Chinese manufacturing firms. The results show that digital organizational innovation can promote digital product innovation. Digital organizational innovation and digital product innovation contribute to supply chain readiness, supply chain responsiveness, and supply chain recovery. Supply chain readiness, supply chain responsiveness, and supply chain recovery enhance sustainable performance. Finally, supply chain resilience mediates the relationship between digital innovation and sustainable performance. These findings reveal the role of digital innovation in improving sustainable performance through supply chain resilience and provide practical guidance for manufacturing companies to better conduct digital innovation to build supply chain resilience and thus realize sustainable development. Full article
(This article belongs to the Special Issue Digitalization and Sustainable Supply Chain)
Show Figures

Figure 1

20 pages, 5290 KB  
Article
A Factory in a Time of Turmoil: The Establishment and Engineering of the Büyükdere Match Factory in 1930s Istanbul
by Gokhan Tunc and Tanfer Emin Tunc
Buildings 2025, 15(19), 3594; https://doi.org/10.3390/buildings15193594 - 7 Oct 2025
Viewed by 318
Abstract
The Republic of Turkey established its first match factory in Sinop in 1929 but had to relocate it even before it was in operation due to severe structural damage caused by ground settlement. In July 1930, through his US-based firm the American–Turkish Investment [...] Read more.
The Republic of Turkey established its first match factory in Sinop in 1929 but had to relocate it even before it was in operation due to severe structural damage caused by ground settlement. In July 1930, through his US-based firm the American–Turkish Investment Corporation (ATIC), the Swedish “Match King” Ivar Kreuger signed a contract with the Republic of Turkey to build and operate a factory in Büyükdere, Istanbul. By 1930, Kreuger had already established a match production monopoly in nearly every country in Europe and that year created a similar financial system for Turkey, gaining control of match production for 25 years. This article explains the events surrounding the establishment of his modern production facility in Turkey, with a particular focus on its engineering aspects. It details the strategically chosen location, the engineering solutions for the factory’s construction, its production lines, and what the country gained and lost from it. In order to determine the establishment and production processes of the facility, the authors examined domestic and foreign archival documents, firsthand news reports from the period, articles and theses, and all other available documents. After the contract was terminated by both parties, the Turkish government and ATIC, in May 1943, the factory continued its production and storage activities until May 1989. At that point, the factory and all its equipment were integrated into another existing facility in the İnegöl district of Bursa province. Almost all the buildings of the Büyükdere Match Factory were demolished, and the land was repurposed for a 450-bed regional hospital in 2012. In short, this article deploys the Büyükdere Match Factory as a case study to examine what Turkey gained and lost from the establishment and production processes of a modern industrial factory, enabled by US–Turkish collaboration, and equipped with the most advanced manufacturing and engineering technologies of the time. Full article
(This article belongs to the Section Architectural Design, Urban Science, and Real Estate)
Show Figures

Figure 1

32 pages, 990 KB  
Article
Explaining the Determinants of International Financial Reporting Standard (IFRS) Disclosure: Evidence from Latin American Countries
by Rosa Isabel González Muñoz, Yeny Esperanza Rodríguez and Stella Maldonado
J. Risk Financial Manag. 2025, 18(10), 567; https://doi.org/10.3390/jrfm18100567 - 7 Oct 2025
Viewed by 280
Abstract
This study investigates the firm- and country-level determinants that influence the extent of financial disclosure under International Financial Reporting Standards (IFRS) in selected Latin American Organisation for Economic Co-operation and Development (OECD) members or countries in the accession process in the period under [...] Read more.
This study investigates the firm- and country-level determinants that influence the extent of financial disclosure under International Financial Reporting Standards (IFRS) in selected Latin American Organisation for Economic Co-operation and Development (OECD) members or countries in the accession process in the period under analysis. Using a sample of 168 publicly listed companies from Argentina, Chile, Colombia, Mexico, and Peru, we construct a self-developed disclosure index based on compliance with International Accounting Standards IAS 16 (Property, Plant and Equipment) and IAS 2 (Inventories). These standards were selected due to their relevance across a broad range of sectors in emerging markets. Drawing on agency theory, stakeholder theory, institutional theory, signaling theory, and legitimacy theory, we examine how internal firm characteristics, macroeconomic performance, and institutional quality impact disclosure practices. Our empirical findings show that firm size, leverage, Gross Domestic Product (GDP) growth, and shareholder protection have a positive and statistically significant influence on the level of IFRS disclosure. However, not all institutional variables are equally effective, highlighting the complex interplay between regulatory environments and corporate reporting behavior in developing countries. The study contributes to the ongoing debate on the applicability and effectiveness of IFRS in emerging economies by offering evidence from underexplored Latin American markets and emphasizing the need for context-specific policy and regulatory interventions. Full article
(This article belongs to the Special Issue Financial Reporting and Auditing)
Show Figures

Figure 1

21 pages, 327 KB  
Article
Does Local Government Green Attention Promote Green Total Factor Productivity?
by Xiaowen Wang and Xuyou Wang
Sustainability 2025, 17(19), 8884; https://doi.org/10.3390/su17198884 - 6 Oct 2025
Viewed by 282
Abstract
Improving green total factor productivity (GTFP) is critical for balancing economic benefits and ecological constraints. While most existing studies emphasize the pivotal role of governments in GTFP enhancement, they predominantly treat governments as homogeneous entities, overlooking the fundamental premise of local government attention [...] Read more.
Improving green total factor productivity (GTFP) is critical for balancing economic benefits and ecological constraints. While most existing studies emphasize the pivotal role of governments in GTFP enhancement, they predominantly treat governments as homogeneous entities, overlooking the fundamental premise of local government attention allocation. Analyzing 2010–2020 data from 285 Chinese cities, this study reveals that increased local government green attention significantly stimulates GTFP through three channels: fostering green technology collaboration among firms, deepening green involvement of public research institutions, and elevating green innovation quality. Heterogeneity analyses demonstrate amplified effects in cities characterized by intense intergovernmental competition, stringent intellectual property protection, robust fiscal capacity, and advanced technological infrastructure, but attenuated impacts in resource-dependent regions with heavy reliance on extractive industries. Full article
29 pages, 2376 KB  
Systematic Review
Manufacturing Supply Chain Resilience Amid Global Value Chain Reconfiguration: An Enhanced Bibliometric–Systematic Literature Review
by Yan Li, Xinxin Xia, Cong Wang and Qingbo Huang
Systems 2025, 13(10), 873; https://doi.org/10.3390/systems13100873 - 5 Oct 2025
Viewed by 476
Abstract
Global Value Chains (GVCs) have driven the worldwide dispersion of manufacturing but remain highly vulnerable to macro-level shocks, including financial crises, geopolitical tensions, and the COVID-19 pandemic. These shocks expose manufacturing supply chains (MSCs) to systemic risks, but limited research has explored how [...] Read more.
Global Value Chains (GVCs) have driven the worldwide dispersion of manufacturing but remain highly vulnerable to macro-level shocks, including financial crises, geopolitical tensions, and the COVID-19 pandemic. These shocks expose manufacturing supply chains (MSCs) to systemic risks, but limited research has explored how GVC reconfiguration mediates their impact on manufacturing supply chain resilience (MSCR). To address this gap, this study conducts an enhanced bibliometric–systematic literature review (B-SLR) of 120 peer-reviewed articles. The findings reveal that macro-level shocks induce GVC reconfigurations along geographical, value, and governance dimensions, which in turn trigger MSCR through node- and link-level mechanisms. MSCR represents a manufacturer-centered capability that enables MSCs to preserve, realign, and enhance value amid shocks. Building on these insights, this research proposes a multi-tier strategy encompassing firm-level practices, inter-firm collaborations, and policy interventions. This study outlines three key contributions. First, at the theoretical level, it embeds MSCR within a GVC framework, clarifying how GVC reconfiguration mediates SCR under macro-level shocks. Second, at the methodological level, it ensures corpus completeness through snowballing and refines bibliometric mapping with multi-dimensional visualization. Third, at the managerial level, it provides actionable guidance for firms, industry alliances, and policymakers to align MSCR strategies with the dynamics of global production networks. Full article
(This article belongs to the Section Supply Chain Management)
Show Figures

Figure 1

15 pages, 1023 KB  
Article
Clay-Based Cosmetic Formulations: Mineralogical Properties and Short-Term Effects on Sebum Regulation and Skin Biomechanics
by Fernanda Daud Sarruf, Michele Georges Issa, Maria Valéria Robles Velasco, Catarina Rosado and André Rolim Baby
Cosmetics 2025, 12(5), 219; https://doi.org/10.3390/cosmetics12050219 - 4 Oct 2025
Viewed by 415
Abstract
The growing demand for dermocosmetics with ingredients of natural origin reflects the pivotal role of cutaneous health and appearance in consumer self-esteem. Under this context, clays have attracted attention for their potential applications in dermatological care. Our research work aimed to increase knowledge [...] Read more.
The growing demand for dermocosmetics with ingredients of natural origin reflects the pivotal role of cutaneous health and appearance in consumer self-esteem. Under this context, clays have attracted attention for their potential applications in dermatological care. Our research work aimed to increase knowledge on the short-term impact of cosmetic formulations containing a blend of red, green, and black clays, assessing their effects on sebum regulation and in cutaneous biomechanical behavior (firmness/elasticity). Unlike daily skincare products, clay masks are used infrequently and for short durations; thus, an in vivo assessment was conducted after a 2-h application to reflect typical consumer use. The mineralogical and physicochemical properties of the different clays were characterized. Mineralogical analysis revealed distinct compositions among the clays: black clay exhibited a simpler mineral profile, lower density, and smaller particle size; green clay contained expandable smectite and was the densest; and red clay displayed the largest average particle size and highest iron content. Thermal analysis identified two major transitions: dehydration and kaolinite dehydroxylation. In vivo studies conducted in participants showed a significant reduction in skin oiliness across all clay-based formulations compared to baseline, control, and placebo following a 2-h application, and the rebound sebum production was dependent on clay concentration. Cutometry measurements did not reveal statistically significant improvements in skin firmness or elasticity compared to the control and placebo. The findings suggested that while clay-based formulations effectively reduced skin oiliness in the short term, their impact on sebum regulation and on skin biomechanical properties was limited after such a short product application period. Additional studies are warranted to elucidate the distinct effects of each clay, assess their behavior in different formulation bases, and evaluate their efficacy after repeated use. Full article
(This article belongs to the Special Issue Feature Papers in Cosmetics in 2025)
Show Figures

Figure 1

27 pages, 4873 KB  
Article
The Streamer Selection Strategy for Live Streaming Sales: Genuine, Virtual, or Hybrid
by Delong Jin
J. Theor. Appl. Electron. Commer. Res. 2025, 20(4), 273; https://doi.org/10.3390/jtaer20040273 - 3 Oct 2025
Viewed by 387
Abstract
Research Problem and Gap: Live streaming sales rely heavily on streamers, with both genuine and AI-generated virtual streamers gaining popularity. However, these streamer types possess contrasting capabilities. Genuine streamers are superior at building trust and reducing product valuation uncertainty but have limited reach, [...] Read more.
Research Problem and Gap: Live streaming sales rely heavily on streamers, with both genuine and AI-generated virtual streamers gaining popularity. However, these streamer types possess contrasting capabilities. Genuine streamers are superior at building trust and reducing product valuation uncertainty but have limited reach, while virtual streamers excel at broad audience engagement but are less effective at mitigating uncertainty, often leading to higher product return rates. This trade-off creates a critical strategic gap; that is, brand firms lack clear guidance on whether to invest in genuine or virtual streamers or adopt a hybrid approach for their live channels. Objective and Methods: This study addresses this gap by developing a theoretical analytical model to determine a monopolistic brand firm’s optimal streamer strategy among three options: using only a genuine streamer, only a virtual streamer, or a combination of the two (hybrid approach). The researchers model consumer utility, factoring in uncertainty and the streamers’ differential impact on reach, to derive optimal decisions on pricing and streamer selection. Results and Findings: The analysis yields several key findings with direct managerial implications. First, while a hybrid strategy leverages the complementary strengths of both streamer types, its success depends on employing high-quality streamers; in other words, this strategy does not justify settling for inferior talent of either type. Second, employing a virtual streamer requires a moderate price reduction to compensate for higher consumer uncertainty and prevent high profit-eroding return rates. Third, a pure strategy (only genuine or only virtual) is optimal only when that streamer type has a significant cost advantage. Otherwise, the hybrid strategy tends to be the most profitable. Moreover, higher product return costs directly diminish the viability of virtual streamers, making a genuine or hybrid strategy more attractive for products with expensive return processes. Conclusions: The results provide a clear framework for brand firms—that is, the choice of streamer is a strategic decision intertwined with pricing and product return costs. Firms should pursue a hybrid strategy not as a compromise but as a premium approach, use targeted pricing to mitigate the risk of virtual streamers, and avoid virtual options altogether for products with high return costs. Full article
Show Figures

Figure 1

23 pages, 402 KB  
Article
The Impact of Climate Risk on Corporate Financialization—Based on Empirical Evidence of Chinese A-Share Listed Companies
by Hongjian Lu, Jingjing Tang and Zhengge Song
Int. J. Financial Stud. 2025, 13(4), 185; https://doi.org/10.3390/ijfs13040185 - 2 Oct 2025
Viewed by 323
Abstract
Climate risk, as a significant factor affecting human sustainable development, has emerged as a focal topic of concern for governments and all sectors of society. Using a dataset from China’s Shanghai and Shenzhen A-share markets spanning 2007 to 2019, this study empirically examines [...] Read more.
Climate risk, as a significant factor affecting human sustainable development, has emerged as a focal topic of concern for governments and all sectors of society. Using a dataset from China’s Shanghai and Shenzhen A-share markets spanning 2007 to 2019, this study empirically examines how climate risk influences corporate financialization. The empirical results show that heightened climate risk significantly reduces the level of corporate financialization, a finding that remains robust across multiple tests. Further heterogeneity analyses indicate that the suppressive effect of climate risk is particularly evident among state-owned enterprises, firms operating in intensely competitive industries, and those located in regions subject to more stringent environmental policies. Mechanism analysis suggests that climate risk inhibits corporate financialization primarily by intensifying firms’ financing constraints while simultaneously stimulating their innovation capacity. These findings imply that corporate financialization in China is largely driven by profit-maximizing behaviors rooted in “investment substitution” and “real-sector intermediation” motives. Collectively, this research enhances understanding of the channels through which climate risk impacts corporate financial behavior and offers valuable empirical insights for policymakers aiming to optimize climate regulations and redirect financial resources toward productive real-sector activities. Full article
Show Figures

Figure 1

17 pages, 1180 KB  
Article
Enhancing Sweet Cherry Quality Through Calcium and Ascophyllum nodosum Foliar Applications
by Marlene Santos, Helena Ferreira, João Ricardo Sousa, Alice Vilela, Carlos Ribeiro, Marcos Egea-Cortines, Manuela Matos and Berta Gonçalves
Horticulturae 2025, 11(10), 1171; https://doi.org/10.3390/horticulturae11101171 - 1 Oct 2025
Viewed by 288
Abstract
Climate change significantly impacts fruit production and yield, affecting its commercial value. Foliar fertilization emerges as a fast and targeted strategy to address crop nutrient deficiencies and enhance fruit quality. Sweet cherry is among the most highly valued and widely appreciated fruit crops [...] Read more.
Climate change significantly impacts fruit production and yield, affecting its commercial value. Foliar fertilization emerges as a fast and targeted strategy to address crop nutrient deficiencies and enhance fruit quality. Sweet cherry is among the most highly valued and widely appreciated fruit crops globally. This study was conducted over two consecutive years on the sweet cherry cv. Sweetheart. Calcium (300 g hL−1 and 150 g hL−1) and a seaweed-based biostimulant (150 mL hL−1 and 75 mL hL−1), as well as a combination of both nutrients (300 g hL−1 calcium and 150 mL hL−1 seaweed), in addition to a control treatment (water), were applied at the foliar level to improve sweet cherry quality. To assess cherry quality, including biometric, chromatic, texture, and biochemical parameters, as well as the sensory analysis, fruits from each treatment were harvested at the commercial maturity stage. Calcium treatments improved fruit size, total soluble solids, and firmness, while also delaying fruit ripening by increasing titratable acidity. The seaweed-based biostimulant enhanced fruit size, promoted color development, and accelerated ripening. Together, these findings highlight the crucial role of calcium in improving sweet cherry quality and underscore seaweed-based biostimulants as a promising and sustainable strategy for enhancing fruit quality. Although cherry quality is highly affected by environmental conditions, this study demonstrated that calcium fertilization, either alone or in combination with seaweed, enhances sweet cherry quality attributes, making it a suitable strategy for application in commercial orchards and for the global improvement of sweet cherry production. Full article
Show Figures

Figure 1

24 pages, 4114 KB  
Article
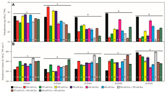
Gibberellic Acid and Zeatin Delay “Harton” Plantain (Musa paradisiaca) Ripening
by Samuel Giovanny García-Castaño, Iván Antonio Gallego-Álzate, Brayan Javier Reyes-Castañeda, Willmar Edilson Restrepo-Restrepo, Arley Mauricio Vargas-Zapata, José Luis Barrera Violeth, Dairo Javier Pérez-Polo, Miguel Pedro Guerra and Marcelo F. Pompelli
Horticulturae 2025, 11(10), 1169; https://doi.org/10.3390/horticulturae11101169 - 1 Oct 2025
Viewed by 287
Abstract
Plantain (Musa paradisiaca) is a climacteric fruit with high endogenous ethylene production, which accelerates ripening and limits shelf life, especially during transport and exportation, leading to significant losses for producers and distributors. This study evaluated the effect of gibberellic acid (GA [...] Read more.
Plantain (Musa paradisiaca) is a climacteric fruit with high endogenous ethylene production, which accelerates ripening and limits shelf life, especially during transport and exportation, leading to significant losses for producers and distributors. This study evaluated the effect of gibberellic acid (GA3) and zeatin (Zea) on delaying the ripening of Hartón plantains grown in Colombia. The goal was to assess whether these plant regulators could delay physicochemical changes under simulated cold chain conditions. A completely randomized design was used with nine treatments, plus a control, each with five replicates. Fruits were stored at 11 ± 2 °C and 75% relative humidity for 25 days. Pulp firmness, soluble solids, titratable acidity, pH, starch, chlorophyll, carotenoids, total polyphenols, and polyphenol oxidase activity were assessed. The combination of GA3 + Zea was effective in preserving firmness, maintaining starch and chlorophyll content, and limiting increases in soluble solids and polyphenol oxidase activity associated with senescence. This delayed ripening did not affect structural integrity or caused oxidative stress. Combined application of GA3 and Zea is a low-cost and effective strategy to extend the shelf life of plantains for export, benefiting the tropical agri-food chain. This approach offers a practical alternative for maintaining fruit quality without the need for costly preservation technologies. Full article
Show Figures

Graphical abstract

Back to TopTop