Gibberellic Acid and Zeatin Delay “Harton” Plantain (Musa paradisiaca) Ripening
Abstract
1. Introduction
2. Materials and Methods
2.1. Experimental Design
2.2. Chlorophyll and Carotenoids in the Epicarp (Fruit Peel)
2.3. Fruit Peel Color
2.4. The Total Soluble Solids (°Brix), pH, and Titrable Acidity
2.5. The Fruit Firmness
2.6. Starch and Soluble Sugars
2.7. Total Polyphenols and Polyphenol Oxidase Activity
2.8. Statistical Analysis
3. Results and Discussion
3.1. Climatological Measurements Inside the Container
3.2. Chlorophyll and Carotenoids in the Fruit Peel
3.3. Fruit Peel Color Measurement
3.4. pH, Total Soluble Solids (°Brix), and Titrable Acidity
3.5. Fruit Firmness
3.6. Starch and Soluble Sugars
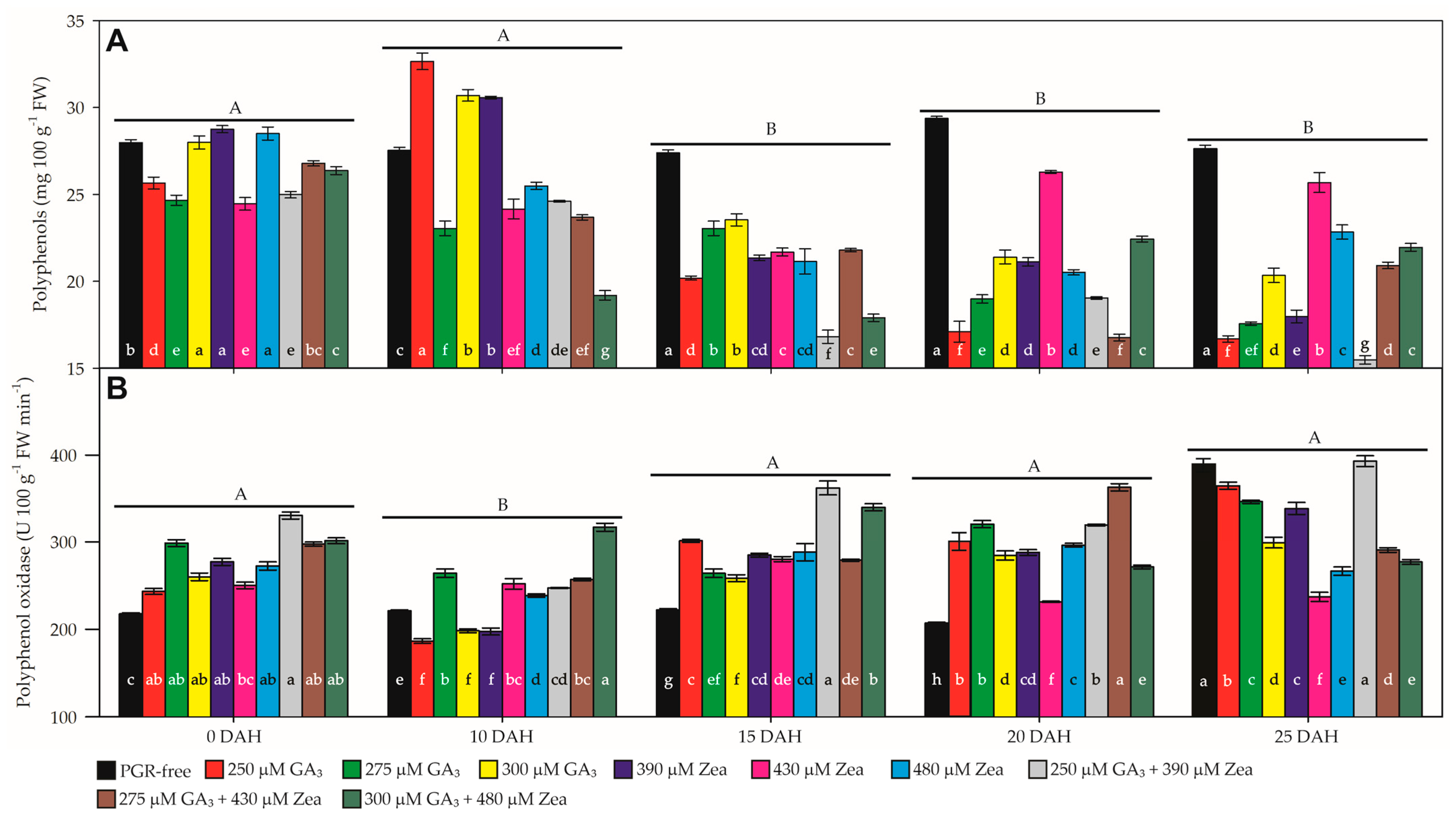
3.7. Polyphenols and Polyphenol Oxidase Activity
4. Conclusions
Supplementary Materials
Author Contributions
Funding
Data Availability Statement
Conflicts of Interest
References
- FAO. Banana Facts and Figures. Markets and Trade 2019. Available online: https://www.fao.org/economic/est/est-commodities/oilcrops/bananas/bananafacts/en/ (accessed on 23 September 2025).
- Rafi, I.K.; Sanyal, A.; Hoque, M. The impact of banana consumption on Bangladeshi rickshaw pullers’ assessing cholesterol, liver and blood pressure functions. Middle East. Res. J. Biol. Sci. 2023, 3, 24–28. [Google Scholar] [CrossRef]
- Dayanand, G.; Sharma, A.; Ahmed, M.; Jyothi, P.P.; Rani, M. Effect of banana on blood pressure of hypertensive individuals: A cross sectional study from Pokhara, Nepal. Med. Sci. 2015, 3, 233–237. [Google Scholar] [CrossRef]
- Sharma, M.; Sood, B. A banana or a syringe: Journey to edible vaccines. World J. Microbiol. Biotechnol. 2011, 27, 471–477. [Google Scholar] [CrossRef]
- Covés-Datson, E.M.; King, S.R.; Legendre, M.; Gupta, A.; Chan, S.M.; Gitlin, E.; Kulkarni, V.V.; Pantaleón García, J.; Smee, D.F.; Lipka, E.; et al. A molecularly engineered antiviral banana lectin inhibits fusion and is efficacious against influenza virus infection in vivo. Proc. Natl. Acad. Sci. USA 2020, 11, 2122–2132. [Google Scholar] [CrossRef]
- Horie, K.; Hossain, M.S.; Kim, Y.; Akiko, I.; Kon, R.; Yamatsu, A.; Kishima, M.; Nishikimi, T.; Kim, M. Effects of Banafine®, a fermented green banana-derived acidic glycoconjugate, on influenza vaccine antibody titer in elderly patients receiving gastrostomy tube feeding. J. Food Sci. 2021, 86, 1410–1417. [Google Scholar] [CrossRef] [PubMed]
- Oyeyinka, B.O.; Afolayan, A.J. Comparative evaluation of the nutritive, mineral, and antinutritive composition of Musa sinensis L. (Banana) and Musa paradisiaca L. (Plantain) Fruit compartments. Plants 2019, 8, 598. [Google Scholar] [CrossRef] [PubMed]
- Venkataramana, R.K.; Sampangi-Ramaiah, M.H.; Ajitha, R.; Khadke, G.N.; Chellam, V. Insights into Musa balbisiana and Musa acuminata species divergence and development of genic microsatellites by transcriptomics approach. Plant Gene 2015, 4, 78–82. [Google Scholar] [CrossRef]
- Akinpelu, B.A.; Odukoya, S.O.A.; Akanni, A.A.; Adelodun, S.T.; Oyedapo, O.O. Evaluation of wound healing activity of Achidium ohioense (Schimp. ex Mull) oil on albino rats. J. Med. Plant Herbal Ther. Res. 2018, 6, 9–30. [Google Scholar]
- FAO. BANANA Market Review 2022; Food and Agriculture Organization of the United Nations (FAO): Rome, Italy, 2022; Available online: https://openknowledge.fao.org/server/api/core/bitstreams/cd3e1df8-6e70-461a-9963-9827ad69389f/content (accessed on 16 June 2025).
- EVA. Resultados Evaluaciones Agropecuarias 2023; Unidad de Planificación Rural Agropecuaria—UPRA: Bogotá, Colombia, 2023; p. 18. Available online: https://upra.gov.co/es-co/Evas_Documentos/Resultados%20Evaluaciones%20Agropecuarias%202023.pdf (accessed on 23 September 2025).
- Kieber, J. Ethylene: The gaseous hormone. In Plant Physiology, 5th ed.; Taiz, L., Zeiger, E., Eds.; Sinauer Associates Inc.: Sunderland, MA, USA, 2010; pp. 649–672. [Google Scholar]
- Wills, R.B.H.; Harris, D.R.; Spohr, L.J.; Golding, J.B. Reduction of energy usage during storage and transport of bananas by management of exogenous ethylene levels. Postharvest Biol. Technol. 2014, 89, 7–10. [Google Scholar] [CrossRef]
- Kader, A.A. Banano (Plátano): Recomendaciones Para Mantener la Calidad Poscosecha. UC Davis Postharvest Technology Center. A Research and Information Center 2024. Available online: https://postharvest.ucdavis.edu/es/produce-facts-sheets/banano-platano (accessed on 23 September 2025).
- Pelayo, C.; Ebel, R.C.; Dooley, R.T.; Ritchie, D.F. Variability in responses of partially ripe bananas to 1-methylcyclopropene. Postharvest Biol. Technol. 2003, 28, 75–85. [Google Scholar] [CrossRef]
- Moreno, J.L.; Tran, T.; Cantero-Tubilla, B.; López-López, K.; Lavalle, L.A.B.; Dufour, D. Physicochemical and physiological changes during the ripening of banana (Musaceae) fruit grown in Colombia. Int. J. Food Sci. Technol. 2021, 56, 1171–1183. [Google Scholar] [CrossRef] [PubMed]
- Huang, H.; He, W. Application of exogenous cytokinin regulates cytokinin oxidase and antioxidant activity to maintain chlorophyll pigment during ripening of banana fruit. Food Biosci. 2023, 55, 102998. [Google Scholar] [CrossRef]
- Kieber, J. Cytokinins: Regulators of cell division. In Plant Physioloy, 5th ed.; Taiz, L., Zeiger, E., Eds.; Sinauer Associates Inc.: Sunderland, MA, USA, 2010; pp. 621–648. [Google Scholar]
- Dandekari, A.M.; Teo, G.; Defilippi, B.G.; Uratsu, S.L.; Passey, A.J.; Kader, A.A.; Stow, J.R.; Colgan, R.J.; James, D.J. Effect of down-regulation of ethylene biosynthesis on fruit flavor complex in apple fruit. Transgenic Res. 2004, 13, 373–384. [Google Scholar] [CrossRef]
- Wu, M.; Liu, K.; Li, H.; Li, Y.; Zhu, Y.; Su, D.; Zhang, Y.; Deng, H.; Wang, Y.; Liu, M. Gibberellins involved in fruit ripening and softening by mediating multiple hormonal signals in tomato. Hortic. Res. 2023, 11, uhad275. [Google Scholar] [CrossRef] [PubMed]
- Ghimire, R.; Yadav, P.K.; Khanal, S.; Shrestha, A.K.; Devkota, A.R.; Shrestha, J. Effect of different levels of gibberellic acid and kinetin on quality and self-life of banana (Musa spp.) fruits. Heliyon 2021, 7, e08019. [Google Scholar] [CrossRef]
- Aremu, A.O.; Fawole, O.A.; Makunga, N.P.; Masondo, N.A.; Moyo, M.; Buthelezi, N.M.D.; Amoo, S.O.; Spíchal, L.; Doležal, K. Applications of cytokinins in horticultural fruit crops: Trends and future prospects. Biomolecules 2020, 10, 1222. [Google Scholar] [CrossRef]
- Lukasse, L.J.S.; Schouten, R.E.; Castelein, R.B.; Lawton, R.; Paillart, M.J.M.; Guo, X.; Woltering, E.J.; Tromp, S.; Snels, J.C.M.A.; Defraeye, T. Perspectives on the evolution of reefer containers for transporting fresh produce. Trends Food Sci. Technol. 2023, 140, 104147. [Google Scholar] [CrossRef]
- Velásquez, H.J.C.; López, M.L.M.; Cardona, L.J.M. Caracterización de propiedades mecánicas del banano (Cavendish Valery). Rev. Fac. Nac. Agron. Medellín 2005, 58, 2975–2988. [Google Scholar]
- Rodríguez-Páez, L.A.; Seleiman, M.E.; Alhammad, B.A.; Pineda-Rodríguez, Y.Y.; Pompelli, M.F.; Martins, A.O.; Dias-Pereira, J.; Araújo, W.L. Photosynthesis, anatomy, and metabolism as a tool for assessing physiological modulation in five native species of the Brazilian Atlantic forest. Plants 2024, 13, 1906. [Google Scholar] [CrossRef]
- Wellburn, A.R. The spectral determination of chlorophyll a and b, as well as total carotenoids, using various solvents with spectrophotometers of different resolution. J. Plant Physiol. 1994, 144, 307–313. [Google Scholar] [CrossRef]
- Scalisi, A.; O’Connell, M.G.; Islam, M.S.; Goodwin, I. A fruit colour development index (CDI) to support harvest time decisions in peach and nectarine orchards. Horticulturae 2022, 8, 459. [Google Scholar] [CrossRef]
- AOAC-International. Official Methods of Analysis of AOAC International, 17th ed.; Método Oficial 942.05: Ash of Animal Feed; Association of Official Analytical Chemists: Gaithersburg, MD, USA, 2003. [Google Scholar]
- Benavides Arévalo, J.F.; Lopera Pérez, Y.E.; Rojas, J. Production of an effervescent powder from Solanum betaceum fruit having enhanced antioxidant properties. J. Food Nutr. Res. 2021, 9, 108–113. [Google Scholar] [CrossRef]
- Pompelli, M.F.; Jarma-Orozco, A.; Rodriguez-Paez, L.A. Imbibition and germination of seeds with economic and ecological interest: Physical and biochemical factors involved. Sustainabiity 2023, 15, 5394. [Google Scholar] [CrossRef]
- Dumortier, J. Impact of agronomic uncertainty in biomass production and endogenous commodity prices on cellulosic biofuel feedstock composition. GCB Bioenergy 2016, 8, 35–50. [Google Scholar] [CrossRef]
- Lozano-Isla, F.; Campos, M.L.O.; Endres, L.; Bezerra-Neto, E.; Pompelli, M.F. Effects of seed storage time and salt stress on the germination of Jatropha curcas L. Ind. Crop Prod. 2018, 118, 214–224. [Google Scholar] [CrossRef]
- Folin, O.; Ciocalteu, V. On tyrosine and tryptophane determinations in proteins. J. Biol. Chem. 1927, 73, 627–650. [Google Scholar] [CrossRef]
- Ha, H.T.; Mai, S.T.; Mai, N.T.; Phan, D.T.A. Effects of the ripening time of porcelain banana (Musa spp. Abb cv. Pisang awak) on the total polyphenol contents and bioactivities. J. Tech. Educ. Sci. 2023, 18, 34–42. [Google Scholar] [CrossRef]
- Fujita, S.; Yang, C.-P.; Matsufuji, K.; Fuzzaman, A.; Nobuyuki, H.; Shimokawa, K. Changes of polyphenol oxidase activity of banana (Musa sapientum L.) fruits during ripening treatment by ethylene. Food Sci. Preserv. 2001, 27, 79–82. [Google Scholar] [CrossRef][Green Version]
- Mayer, A.M.; Harel, E.; Ben-Shaul, R. Assay of catechol oxidase—A critical comparison of methods☆. Phytochemistry 1966, 5, 783–789. [Google Scholar] [CrossRef]
- Guo, J.; Liu, D.; Lin, S.; Lin, J.; Zhen, W. Temperature prediction of a temperature-controlled container with cold energy storage system based on long ahort-term memory neural network. Appl. Sci. 2024, 14, 854. [Google Scholar] [CrossRef]
- Kader, A.A. Postharvest Technology of Horticultural Crops, 3rd ed.; University of California Agriculture and Natural Resources: Davis, CA, USA, 2002. [Google Scholar]
- Zuo, X.; Wang, J.; Li, Y.; Zhang, J.; Wu, Z.; Jin, P.; Cao, S.; Zheng, Y. Recent advances in high relative humidity strategy for preservation of postharvest fruits and vegetables: A comprehensive review. Food Chem. 2025, 481, 144130. [Google Scholar] [CrossRef] [PubMed]
- Pinto, J.A.V.; Schorr, M.R.W.; Thewes, F.R.; Ceconi, D.L.; Both, V.; Brackmann, A. Relative humidity during cold storage on Postharvest quality of ‘Niagara Rosada’ table grapes. Ciênc. Rural 2015, 45, 386–391. [Google Scholar] [CrossRef]
- Osman, H.E.; Abu-Goukh, A.A. Effect of polyethylene film lining and gibberellic acid on quality and shelf-life of banana fruits. J. Food Agric. Environ. 2008, 6, 39–43. [Google Scholar]
- Li, J.R.; Yu, K.; Wei, J.R.; Ma, Q.; Wang, B.Q.; Yu, D. Gibberellin retards chlorophyll degradation during senescence of Paris polyphylla. Biol. Plant 2010, 54, 395–399. [Google Scholar] [CrossRef]
- Lima, J.D.; Rosa, J.S.; Gomes, F.N.; Rozane, D.E.; Modenese-Gorla da Silva, S.H. Characteristics of banana fruits (Musa spp. AAA, cv. Nanica) treated with cytokinin and gibberellin. Cienc. Investig. Agrar. 2016, 43, 223–232. [Google Scholar] [CrossRef]
- Scalisi, A.; O’Connell, M.G.; Pelliccia, D.; Plozza, T.; Frisina, C.; Chandra, S.; Goodwin, I. Reliability of a handheld bluetooth colourimeter and its application to measuring the effects of time from harvest, Row orientation and training system on nectarine skin colour. Horticulturae 2021, 7, 255. [Google Scholar] [CrossRef]
- Rahman, M.A.; Hossain, M.A.; Begum, M.M.; Arfin, M.S. Evaluating the effects of 1-Methylcyclopropene concentration and immersion duration on ripening and quality of banana fruit. J. Postharvest Technol. 2013, 2, 54–67. [Google Scholar]
- Ringer, T.M.; Blanke, M. Non-invasive, real time in-situ techniques to determine the ripening stage of banana—Development of a banana ripening index (BRI). In Proceedings of the Tropentag 2021 Conference Proceedings, Stuttgart, Germany, 15–17 September 2021. [Google Scholar]
- Wyman, H.; Palmer, J.K. Organic acids in the ripening banana fruit. Plant Physiol. 1964, 39, 1022–1026. [Google Scholar] [CrossRef]
- Batista-Silva, W.; Nascimento, V.L.; Medeiros, D.B.; Nunes-Nesi, A.; Ribeiro, D.M.; Zsögön, A.; Araújo, W.L. Modifications in organic acid profiles during fruit development and ripening: Correlation or causation? Front. Plant Sci. 2018, 9, 1689. [Google Scholar] [CrossRef]
- Zomo, S.A.; Ismail, S.M.; Jahan, M.S.; Kabir, K.; Kabir, M.H. Chemical properties and shelf life of banana (Musa sapientum L.) as influenced by different postharvest treatments. Agriculturists 2014, 12, 6–17. [Google Scholar] [CrossRef]
- Campuzano, A.; Palacios, L.; Zurita, A.; Cuenca, R. Efecto del tipo de producción de banano Cavendish en su comportamiento poscosecha. Rev. Tecnol. ESPOL Guayaquil 2010, 23, 41–48. [Google Scholar]
- Giraldo, D.B.; Quintero, J.H.; Ramírez, L.M.; Yepes, M. Caracterización fisicoquímica de la maduración del plátano Dominico-Hartón (Musa AAB Simmonds). Rev. Investig. Univ. Del Quindío Armen. 2010, 20, 166–170. [Google Scholar] [CrossRef]
- Payasi, A.; Singh, R. Biochemistry of fruit softening: An overview. J. Hort. Sci. Biotechnol. 2009, 84, 117–123. [Google Scholar] [CrossRef]
- Wang, D.; Ding, C.; Feng, Z.; Ji, S.; Cui, D. Recent advances in portable devices for fruit firmness assessment. Crit. Rev. Food Sci. Nutr. 2021, 68, 1143–1154. [Google Scholar] [CrossRef]
- Zhao, M.; Hu, R.; Lin, Y.; Yang, Y.; Chen, Q.; Li, M.; Zhang, Y.; Zhang, Y.; Wang, Y.; He, W.; et al. Genome-Wide analysis of polygalacturonase gene family reveals its role in strawberry softening. Plants 2024, 13, 1838. [Google Scholar] [CrossRef]
- Lesbia, C.; González, J.; Matas, A.J.; Mercado, J.A. Caracterización de indicadores de la calidad del fruto en líneas de fresa transgénicas con genes silenciados que codifican para enzimas pectinolíticas. Rev. Col. Biotechnol. 2018, 20, 42–50. [Google Scholar] [CrossRef]
- Li, X.; Xu, D.; Zhang, L.; Zhao, L. ENDOGLUCANASE SlCEL2 and EXPANSIN SlEXP1 synergistically affect cellulose degrading and tomato fruit softening. BMC Plant Biol. 2025, 25, 704. [Google Scholar] [CrossRef] [PubMed]
- Phillips, K.M.; McGinty, R.C.; Couture, G.; Pehrsson, P.R.; McKillop, K.; Fukagawa, N.K. Dietary fiber, starch, and sugars in bananas at different stages of ripeness in the retail market. PLoS ONE 2021, 16, e0253366. [Google Scholar] [CrossRef] [PubMed]
- Khattak, S.H.; Kaleem, I.; Farrukh, A.; Noor, S.; Jamil, K.; Kamal, T.; Siddiqui, N.R.; Ali, G.M. Fruit ripening characterization and amylase mystery in bananas. Glob. J. Nutr. Food Sci. 2022, 4, 1–9. [Google Scholar] [CrossRef]
- Rossetto, M.R.M.; Purgatto, E.; Nascimento, J.R.O.; Lajolo, F.M.; Cordenunsi, B.R. Effects of gibberellic acid on sucrose accumulation and sucrose biosynthesizing enzymes activity during banana ripening. Plant Growth Regul. 2003, 41, 207–214. [Google Scholar] [CrossRef]
- Choi, C.; Wiersma, P.A.; Toivonen, P.; Kappel, F. Fruit growth, firrmness and cell wall hydrolytic enzyme activity during development of sweet cherry fruit treated with gibberellic acid (GA3). J. Hort. Sci. Biotechnol. 2002, 77, 615–621. [Google Scholar] [CrossRef]
- Wei, W.; Sun, N.-J.; Xu, Y.; Chen, Y.T.; Liu, X.F.; Shi, L.Y.; Chen, W.; Zhu, Q.G.; Gong, B.C.; Yin, X.R.; et al. Exogenous gibberellin delays maturation in persimmon fruit through transcriptional activators and repressors. Plant Physiol. 2023, 193, 840–854. [Google Scholar] [CrossRef]
- Campos, N.A.; Lechassier-Blanchet, C.; Leal, G.A.B.; Cordenunsi, F.B.; Lajolo, F.M.; Zitzkau, B.; Deslandais-Huber, J.; Sarrazin, A. From fruit growth to ripening in plantain: A careful balance between carbohydrate synthesis and breakdown. J. Exp. Bot. 2022, 73, 4832–4849. [Google Scholar] [CrossRef]
- Cordenunsi-Lysenko, F.; Lajolo, F.M.; Nascimento, J.R.O.; Nogueira, Á.; Borges, A.F. The carbohydrate metabolism and postharvest quality of bananas: A comparative study during fruit ripening. Postharvest Biol. Technol. 2019, 147, 50–58. [Google Scholar] [CrossRef]
- Gao, H.; Huang, S.; Dong, T.; Yang, Q.; Yi, G. Analysis of resistant starch degradation in postharvest ripening of two banana cultivars: Focus on starch structure and amylases. Postharvest Biol. Technol. 2016, 119, 1–8. [Google Scholar] [CrossRef]
- Shiga, T.M.; Soares, C.A.; Nascimento, J.R.; Purgatto, E.; Lajolo, F.M.; Cordenunsi, B.R. Ripening-associated changes in the amounts of starch and non-starch polysaccharides and their contributions to fruit softening in three banana cultivars. J. Sci. Food Agric. 2011, 91, 1511–1516. [Google Scholar] [CrossRef] [PubMed]
- Soares, C.A.; Borges, L.L.; Campos, A.C.; Silva, D.F. Physical-chemical, caloric and sensory characterization of light jambolan (Syzygium cumini Lamarck) jelly. Ciência Tecnol. Aliment. 2011, 31, 634–641. [Google Scholar] [CrossRef]
- Dong, H.; Li, Y.; Fan, H.; Zhou, D.; Li, H. Quantitative proteomics analysis reveals resistance differences of banana cultivar ‘Brazilian’ to Fusarium oxysporum f. sp. cubense races 1 and 4. J. Proteom. 2019, 203, 103376. [Google Scholar] [CrossRef] [PubMed]
- Osorio, S.; Scossa, F.; Fernie, A.R. Molecular regulation of fruit ripening. Front. Plant Sci. 2013, 4, 198. [Google Scholar] [CrossRef] [PubMed]
- Majaliwa, N.; Kibazohi, O.; Alminger, M. Effect of cultivar and ripening on the polyphenol contents of East African highland bananas (Musa spp.). Int. Food Res. J. 2021, 28, 479–488. [Google Scholar] [CrossRef]
- Bashmil, Y.M.; Ali, A.; BK, A.; Dunshea, F.R.; Suleria, H.A.R. Screening and characterization of phenolic compounds from Australian grown bananas and their antioxidant capacity. Antioxidants 2021, 10, 1521. [Google Scholar] [CrossRef]
- Galeazzi, M.A.M. Extração, Purificação e Propriedades da Polifenoloxidase da Banana Nanica Musa cavendishii, L. Ph.D. Thesis, UNICAMP Universidade Estadual de Campinas, Campinas, Brazil, 1978. [Google Scholar]
- Ketsa, S.; Wisutiamonkul, A. Postharvest physiological disorders of banana fruit. In Horticultural Reviews; Warrington, I., Ed.; John Wiley & Sons: Hoboken, NJ, USA, 2022; Volume 49. [Google Scholar]
- Wang, T.; Song, Y.; Lai, L.; Fang, D.; Li, W.; Cao, F.; Su, E. Sustaining freshness: Critical review of physiological and biochemical transformations and storage techniques in postharvest bananas. Food Packag. Shelf 2024, 46, 101386. [Google Scholar] [CrossRef]
- Knapp, M.; Jo, M.; Henthorn, C.L.; Brimberry, M.; Gnann, A.D.; Dowling, D.P.; Bridwell-Rabb, J. Chlorophyllase from Arabidopsis thaliana reveals an emerging model for controlling chlorophyll hydrolysis. ACS Bio Med Chem Au 2024, 4, 353–370. [Google Scholar] [CrossRef] [PubMed]
- Suzuki, T.; Shioi, Y. Re-examination of Mg-dechelation reaction in the degradation of chlorophylls using chlorophyllin a as a substrate. Photosynth. Res. 2002, 74, 217–223. [Google Scholar] [CrossRef] [PubMed]
- Iwata-Reuyl, D.; Math, S.K.; Desai, S.B.; Poulter, C.D. Bacterial pytoene snthase: Molecular coning, expression, and characterization of Erwinia herbicola phytoene synthase. Biochemistry 2003, 42, 3359–3365. [Google Scholar] [CrossRef] [PubMed]
- Chen, H.; Li, M.; Liu, C.; Zhang, H.; Xian, M.; Liu, H. Enhancement of the catalytic activity of Isopentenyl diphosphate isomerase (IDI) from Saccharomyces cerevisiae through random and site-directed mutagenesis. Microb. Cell Fact. 2018, 17, 65. [Google Scholar] [CrossRef]
- Barnaby, A.G.; Reid, R.; Warren, D. Phenylalanine ammonia lyase activity, antioxidant properties, fatty acid profile, mineral content and physiochemical analyses of Cissus sicyoides berries. J. Berry Res. 2017, 7, 117–127. [Google Scholar] [CrossRef]










| Control | 0 | T0 |
|---|---|---|
| Gibberellic acid (GA3; μM) | 250 | T1 |
| 275 | T2 | |
| 300 | T3 | |
| Zeatin (Zea; μM) | 390 | T4 |
| 430 | T5 | |
| 480 | T6 | |
| GA3 (250 μM) + Zea (390 μM) | T7 | |
| GA3 (275 μM) + Zea (430 μM) | T8 | |
| GA3 (300 μM) + Zea (480 μM) | T9 | |
Disclaimer/Publisher’s Note: The statements, opinions and data contained in all publications are solely those of the individual author(s) and contributor(s) and not of MDPI and/or the editor(s). MDPI and/or the editor(s) disclaim responsibility for any injury to people or property resulting from any ideas, methods, instructions or products referred to in the content. |
© 2025 by the authors. Licensee MDPI, Basel, Switzerland. This article is an open access article distributed under the terms and conditions of the Creative Commons Attribution (CC BY) license (https://creativecommons.org/licenses/by/4.0/).
Share and Cite
García-Castaño, S.G.; Gallego-Álzate, I.A.; Reyes-Castañeda, B.J.; Restrepo-Restrepo, W.E.; Vargas-Zapata, A.M.; Barrera Violeth, J.L.; Pérez-Polo, D.J.; Guerra, M.P.; Pompelli, M.F. Gibberellic Acid and Zeatin Delay “Harton” Plantain (Musa paradisiaca) Ripening. Horticulturae 2025, 11, 1169. https://doi.org/10.3390/horticulturae11101169
García-Castaño SG, Gallego-Álzate IA, Reyes-Castañeda BJ, Restrepo-Restrepo WE, Vargas-Zapata AM, Barrera Violeth JL, Pérez-Polo DJ, Guerra MP, Pompelli MF. Gibberellic Acid and Zeatin Delay “Harton” Plantain (Musa paradisiaca) Ripening. Horticulturae. 2025; 11(10):1169. https://doi.org/10.3390/horticulturae11101169
Chicago/Turabian StyleGarcía-Castaño, Samuel Giovanny, Iván Antonio Gallego-Álzate, Brayan Javier Reyes-Castañeda, Willmar Edilson Restrepo-Restrepo, Arley Mauricio Vargas-Zapata, José Luis Barrera Violeth, Dairo Javier Pérez-Polo, Miguel Pedro Guerra, and Marcelo F. Pompelli. 2025. "Gibberellic Acid and Zeatin Delay “Harton” Plantain (Musa paradisiaca) Ripening" Horticulturae 11, no. 10: 1169. https://doi.org/10.3390/horticulturae11101169
APA StyleGarcía-Castaño, S. G., Gallego-Álzate, I. A., Reyes-Castañeda, B. J., Restrepo-Restrepo, W. E., Vargas-Zapata, A. M., Barrera Violeth, J. L., Pérez-Polo, D. J., Guerra, M. P., & Pompelli, M. F. (2025). Gibberellic Acid and Zeatin Delay “Harton” Plantain (Musa paradisiaca) Ripening. Horticulturae, 11(10), 1169. https://doi.org/10.3390/horticulturae11101169

