Sign in to use this feature.

Years

Between: -

Subjects

remove_circle_outline
remove_circle_outline
remove_circle_outline
remove_circle_outline
remove_circle_outline
remove_circle_outline
remove_circle_outline
remove_circle_outline
remove_circle_outline

Journals

remove_circle_outline
remove_circle_outline
remove_circle_outline
remove_circle_outline
remove_circle_outline
remove_circle_outline
remove_circle_outline
remove_circle_outline
remove_circle_outline

Article Types

Countries / Regions

remove_circle_outline
remove_circle_outline
remove_circle_outline

Search Results (660)

Search Parameters:
Keywords = ferroelectric properties

Order results
Result details
Results per page
Select all
Export citation of selected articles as:
14 pages, 1204 KB  
Article
Performance Enhancement of Piezoelectric Single Crystals Through Combination of Alternating-Current Poling and Direct-Current Poling
by Chenyang Zheng, Hao Wang, Jinpeng Ma, Bingzhong Shen, Rui Zhang, Xudong Qi and Yang Liu
Sensors 2026, 26(1), 140; https://doi.org/10.3390/s26010140 - 25 Dec 2025
Viewed by 158
Abstract
Alternating-current poling (ACP) is becoming a mainstream method because of its stronger ability in promoting the piezoelectric performance of ferroelectric single crystals than that of direct-current poling (DCP). A novel approach was developed by incorporating alternating-current poling and direct-current poling as modified alternating-current [...] Read more.
Alternating-current poling (ACP) is becoming a mainstream method because of its stronger ability in promoting the piezoelectric performance of ferroelectric single crystals than that of direct-current poling (DCP). A novel approach was developed by incorporating alternating-current poling and direct-current poling as modified alternating-current poling (MACP). According to the comparison of performance differences between AC-poled and DC-poled single crystals, the properties of MACP single crystals under specific conditions were systematically investigated. The improvement of single crystal performance by MACP is manifested by the multi-peak increase in piezoelectric coefficient (d33) and relative dielectric permittivity (ε33T/ε0), and the coupling factor (kt) value under higher DC bias is higher than that under DC polarization, rather than a direct superposition of DCP and ACP. Two optimal polarization windows were found: 0.2–0.25 kV/mm and 0.35–0.6 kV/mm. Compared with DCP, MACP increases the d33, ε33T/ε0 and kt, of single crystals by up to 45.67%, 21.62%, and 24.54%, respectively. This significant performance improvement, combined with its complexity, provides a new direction for customizing the performance of single crystals. Full article
(This article belongs to the Special Issue Advanced Acoustic Sensing Technology)
Show Figures

Figure 1

19 pages, 2531 KB  
Article
Controlling the Functional Properties of K0.5Bi0.5TiO3 Ceramics Using E-Poling
by Jan Suchanicz, Marcin Wąs, Bartosz Handke, Piotr Jeleń, Zofia Kucia, Antoni Kania, Dorota Sitko, Kamila Kluczewska-Chmielarz, Krzysztof Konieczny, Jakub Gajda, Aleksander Zawada, Marcin Lapinski, Barbara Swatowska, Dagmara Brzezińska, Jakub Fitas, Tomasz Hebda and Grzegorz Stachowski
Materials 2026, 19(1), 34; https://doi.org/10.3390/ma19010034 - 21 Dec 2025
Viewed by 217
Abstract
Lead-free K0.5Bi0.5TiO3 (KBT) ceramics were prepared using a finely tuned convectional solid-state reaction method. Their phase transitions in unpoled and poled states were examined. The temperature-dependent evolution of the reflections sensitive to structural changes and their 2Θ-positions indicated [...] Read more.
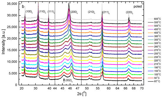
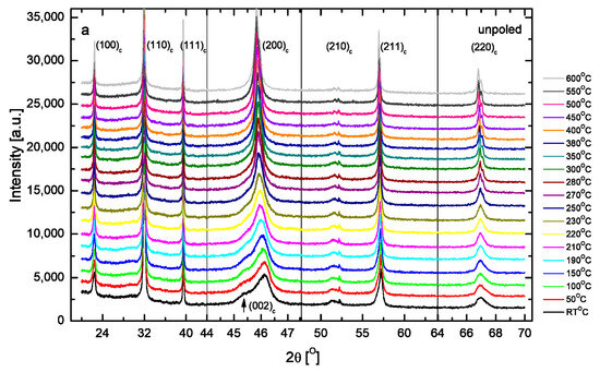
Lead-free K0.5Bi0.5TiO3 (KBT) ceramics were prepared using a finely tuned convectional solid-state reaction method. Their phase transitions in unpoled and poled states were examined. The temperature-dependent evolution of the reflections sensitive to structural changes and their 2Θ-positions indicated two temperature-driven phase transitions: tetragonal–tetragonal at about 200 °C, and tetragonal–cubic at around 400 °C. These structural transformations are further corroborated by studies examining Raman spectroscopy, dielectric properties, and mechanical properties. It was demonstrated that a prior E-field poling process significantly influences the polar state, causing an increase in the local degree of order, as well as the transformation of the cubic phase into the tetragonal one. This stabilizes and widens the temperature range of the ferroelectric phase. It was found that phase transformations in KBT are accompanied by a softening of the mechanical behavior similarly to improper ferroelastic transformations. The results demonstrate that KBT possesses favorable structural, dielectric, and mechanical characteristics, making it a potential candidate for electronic applications. The present study provides a clear understanding of the multi-scale structural behavior in multi-phase KBT, bridging micro-heterogeneity behaviors and macro-properties, and demonstrates an effective method of tuning the properties of KBTs by E-poling with a low electric field. Full article
Show Figures

Graphical abstract

38 pages, 42339 KB  
Review
Ferroelectric Topological Defects in Hexagonal Manganites
by Ziyan Gao, Sang-Wook Cheong and Xueyun Wang
Materials 2026, 19(1), 31; https://doi.org/10.3390/ma19010031 - 21 Dec 2025
Viewed by 272
Abstract
Hexagonal rare-earth manganites, as prototypical improper ferroelectrics in which structural distortions give rise to ferroelectricity, exhibit unique physical phenomena that are absent in conventional proper ferroelectrics. Owing to their Z2 × Z3 topologically protected ferroelectric domain structure, characterized by the convergence [...] Read more.
Hexagonal rare-earth manganites, as prototypical improper ferroelectrics in which structural distortions give rise to ferroelectricity, exhibit unique physical phenomena that are absent in conventional proper ferroelectrics. Owing to their Z2 × Z3 topologically protected ferroelectric domain structure, characterized by the convergence of six domains at vortex core, hexagonal manganites can host charged domain walls exhibiting multiple distinct conductive states and unconventional physical effects such as the half-wave rectification effect within a single bulk single crystal, opening up promising avenues for the practical applications. Moreover, as an excellent experimental platform for verifying the Kibble–Zurek mechanism, hexagonal manganites not only possess a broad application potential but also embody rich and fundamental physical insights. Given a series of recent advances in this field, it is essential to systematically summarize and discuss the key findings, current progress, and future research perspectives concerning the hexagonal manganite system. In this review, the origin of ferroelectricity in hexagonal manganites are first clarified, followed by a discussion of the formation and transformation mechanisms of unique ferroelectric domain structures, as well as the intrinsic mechanical properties. Subsequently, the manipulation of topological defects are compared, including electric fields, thermal treatment, oxygen vacancies, and stress–strain fields. Building upon these discussions, the distinct physical effects observed in hexagonal manganites are comprehensively summarized, such as domain wall conductance, dielectric and ferroelectric properties, and thermal conductivity. Finally, based on a detailed summary of the major achievements, the unresolved issues that warrant further investigation are highlighted, thereby offering guidance for future research directions and providing valuable insights for the broader study of ferroelectric materials. Full article
Show Figures

Figure 1

0 pages, 2845 KB  
Article
Comprehensive Characterization of a Reference Ferroelectric Nematic Liquid Crystal Material
by Ayusha Paul, Milon Paul, Manisha Badu, Arjun Ghimire, Netra Prasad Dhakal, Samuel Sprunt, Antal Jákli and James T. Gleeson
Materials 2025, 18(24), 5496; https://doi.org/10.3390/ma18245496 - 6 Dec 2025
Viewed by 935
Abstract
Among the recently developed ferroelectric nematic liquid crystals, FNLC-919, synthesized by Merck Electronics KGaA, stands out for its stable, room-temperature, ferroelectric nematic (NF) phase. This renders it a promising candidate for both fundamental research and device-level applications. In this study, we [...] Read more.
Among the recently developed ferroelectric nematic liquid crystals, FNLC-919, synthesized by Merck Electronics KGaA, stands out for its stable, room-temperature, ferroelectric nematic (NF) phase. This renders it a promising candidate for both fundamental research and device-level applications. In this study, we present a comprehensive experimental investigation of FNLC-919, focusing on its structural, optical, dielectric, and elastic properties in the paraelectric nematic (N) and the intermediate antiferroelectric phase (dubbed NX) that occur in a temperature range between the N and NF phases. Key material parameters such as ferroelectric polarization, viscosity, and nanostructure are characterized as functions of temperature in all mesophases, while the orientational elastic constants are determined only in the N and NX phases. Our findings are compared with prior results concerning the benchmark compound DIO that also exhibits the phase sequence N-NX-NF and reveals a smectic-like mass density wave coinciding with antiferroelectric ordering in the NX phase. Full article
(This article belongs to the Section Soft Matter)
Show Figures

Figure 1

18 pages, 4114 KB  
Article
Point Defect Influence on Electrical Conductivity of Semiconducting Ferroelectric AlScN
by Xiaoman Zhang, Wangwang Xu, Bipin Bhattarai, Dominic A. Dalba, Dilan M. Gamachchi, Indeewari M. Karunarathne, Yue Yu, Nathan J. Pravda, Ruotian Gong, David Stalla, Chong Zu, W. J. Meng and Andrew C. Meng
Ceramics 2025, 8(4), 146; https://doi.org/10.3390/ceramics8040146 - 3 Dec 2025
Viewed by 460
Abstract
Aluminum scandium nitride (Al1−xScxN) is a promising ferroelectric material for non-volatile random-access memory devices and electromechanical sensors. However, adverse effects on polarization from electrical leakage are a significant concern for this material. We observed that the electrical conductivity of [...] Read more.
Aluminum scandium nitride (Al1−xScxN) is a promising ferroelectric material for non-volatile random-access memory devices and electromechanical sensors. However, adverse effects on polarization from electrical leakage are a significant concern for this material. We observed that the electrical conductivity of Al1−xScxN thin films grown on epitaxial TiN(111) buffered Si(111) follows an Arrhenius-type behavior versus the growth temperature, suggesting that point defect incorporation during growth influences the electronic properties of the film. Photoluminescence intensity shows an inverse correlation with growth temperature, which is consistent with increased non-radiative recombination from point defects. Further characterization using secondary ion mass spectrometry in a focused ion beam/scanning electron microscope shows a correlation between trace Ti concentrations in Al1−xScxN films and the growth temperature, further suggesting that extrinsic dopants or alloying components potentially contribute to the point defect chemistry to influence electrical transport. Investigation of the enthalpy of formation of nitrogen vacancies in Al1−xScxN using density functional theory yields values that are in line with electrical conductivity measurements. Additionally, the dependence of nitrogen-vacancy formation energy on proximity to Sc atoms suggests that variations in the local structure may contribute to the occurrence of point defects, which, in turn, can impact electrical leakage. Furthermore, we have demonstrated ferroelectric behavior through electrical measurements and piezoresponse force microscopy after dc bias poling of films in spite of electrical conductivity spanning several orders of magnitude. Although electrical leakage remains a challenge in Al1−xScxN, the material holds potential due to tunable electrical conductivity as a semiconducting ferroelectric material. Full article
(This article belongs to the Special Issue Advances in Electronic Ceramics, 2nd Edition)
Show Figures

Figure 1

13 pages, 2399 KB  
Article
Enhanced Microwave Commutation Quality Factor of Tunable Capacitors Based on SrTiO3 Thin Films
by Andrei Tumarkin, Alexey Bogdan, Eugeny Sapego, Oleg Korepanov and Artem Karamov
Molecules 2025, 30(23), 4593; https://doi.org/10.3390/molecules30234593 - 29 Nov 2025
Viewed by 237
Abstract
Thin films of strontium titanate were grown on a polycrystalline aluminum oxide substrate using magnetron sputtering. These films exhibit high structural quality and nonlinear properties, which make them promising for microwave applications. Planar capacitors based on SrTiO3 films demonstrated a tunability of [...] Read more.
Thin films of strontium titanate were grown on a polycrystalline aluminum oxide substrate using magnetron sputtering. These films exhibit high structural quality and nonlinear properties, which make them promising for microwave applications. Planar capacitors based on SrTiO3 films demonstrated a tunability of 1.65 with a microwave Q-factor of at least 110 in the entire range of control voltages without deterioration of losses, and a slow capacitance relaxation level no more than 4%, which is significantly better than currently published data for planar ferroelectric elements. This is the first successful attempt to create a planar SrTiO3 capacitor on an alumina, which demonstrates a commutation quality factor CQF of 3300 at microwaves. Full article
(This article belongs to the Section Materials Chemistry)
Show Figures

Figure 1

17 pages, 3533 KB  
Article
Ferroelectric Properties and Ambipolar Carrier Transport of 9-Fluorenone-Based Liquid Crystals
by Sou-un Doi, Syota Yamada, Ken’ichi Aoki and Atsushi Seki
Crystals 2025, 15(12), 1021; https://doi.org/10.3390/cryst15121021 - 28 Nov 2025
Viewed by 379
Abstract
The functional integration of chiral liquid crystals and π-conjugated compounds has great potential for creating novel exotic materials. A series of chiral donor–acceptor (D–A)-type fluorenone derivatives was synthesized to investigate the influence of molecular structure upon their liquid-crystalline phase-transition behavior, ferroelectricity, photophysical properties, [...] Read more.
The functional integration of chiral liquid crystals and π-conjugated compounds has great potential for creating novel exotic materials. A series of chiral donor–acceptor (D–A)-type fluorenone derivatives was synthesized to investigate the influence of molecular structure upon their liquid-crystalline phase-transition behavior, ferroelectricity, photophysical properties, and photoconductive properties. Polarizing optical microscopy (POM), differential scanning calorimetry (DSC), and X-ray diffraction (XRD) analyses revealed that several D–A-type fluorenone derivatives exhibited liquid crystal (LC) phases. These chiral LC fluorenone derivatives exhibited polarization hysteresis in the chiral smectic C (SmC*) phase. Among the four fluorenone-based ferroelectric liquid crystals (FLCs), (R,R)-2a exhibited the largest spontaneous polarization (over 3.0 × 102 nC cm−2). The formation of intramolecular charge-transfer (ICT) states in each compound was evidenced by the UV–vis absorption spectroscopy. Ambipolar carrier transport in the SmC* phases of the fluorenone-based FLCs was elucidated by the time-of-flight (TOF) method. The mobilities of holes and electrons in the SmC* phases were on the order of 10−5 cm2 V−1 s−1, which is on par with the carrier mobilities of low-ordered smectic phases in conventional LC semiconductors. Full article
(This article belongs to the Special Issue State-of-the-Art Liquid Crystals Research in Japan (2nd Edition))
Show Figures

Figure 1

28 pages, 19314 KB  
Article
Texturing (Na0.5Bi0.5)TiO3-KNbO3-SrTiO3 Electrostrictive Ceramics by Templated Grain Growth Using (Na0.5Bi0.5)TiO3 Platelets
by Arum Ayuningsih, Nazım Ecebaş, Tran Thi Huyen Tran, John G. Fisher, Jong-Sook Lee, Woo-Jin Choi and Wook Jo
Inorganics 2025, 13(12), 387; https://doi.org/10.3390/inorganics13120387 - 26 Nov 2025
Viewed by 424
Abstract
Electrostriction is an intriguing behaviour of dielectric materials, characterized by stable electrostrain with minimal hysteresis. (Na0.5Bi0.5)TiO3-based ceramics show promising electrostrictive behaviour, particularly the 0.90(Na0.5Bi0.5)TiO3-0.08KNbO3-0.02SrTiO3 composition located near the [...] Read more.
Electrostriction is an intriguing behaviour of dielectric materials, characterized by stable electrostrain with minimal hysteresis. (Na0.5Bi0.5)TiO3-based ceramics show promising electrostrictive behaviour, particularly the 0.90(Na0.5Bi0.5)TiO3-0.08KNbO3-0.02SrTiO3 composition located near the morphotropic phase boundary between ferroelectric rhombohedral and relaxor pseudocubic phases. The templated grain growth method has been effectively used to control the grain orientation of NBT-based systems, thereby enhancing their electrical properties. In this study, texturing was introduced to 0.90(Na0.5Bi0.5)TiO3-0.08KNbO3-0.02SrTiO3 ceramics through homoepitaxial NBT platelets prepared via a three-step molten salt/topochemical microcrystal conversion method. By adding 4 wt% of NBT platelets combined with optimized sintering conditions, textured ceramics were prepared exhibiting a high Lotgering factor of 83% with enhancement of strain (0.02%) and polarization (3 µC/cm2) at an electric field of 40 kV/cm, as well as stable dielectric permittivity between 130 and 300 °C. Moreover, the electrostrictive coefficient of textured ceramics increased by ~0.004 C2m−4 compared to that of untextured ceramics, confirming the improvement of the electrostrictive response. These results demonstrate that homoepitaxial templating effectively improves the electrical properties of NBT-KN-ST ceramics while preserving their electrostrictive nature, which offers a viable route for designing lead-free electrostrictive materials. Full article
(This article belongs to the Special Issue Recent Progress in Perovskites)
Show Figures

Figure 1

19 pages, 1050 KB  
Article
Nature of the Dielectric Anomaly in Na0.5Bi0.5TiO3–Based Ferrolectrics
by Eriks Birks, Marija Dunce, Šarūnas Svirskas, Algimantas Kežionis, Juras Banys and Andrei Kholkin
Materials 2025, 18(23), 5289; https://doi.org/10.3390/ma18235289 - 24 Nov 2025
Viewed by 396
Abstract
The temperature–frequency dependence of dielectric permittivity in Na0.5Bi0.5TiO3 (NBT) -based compositions displays a diffused, frequency-independent maximum along with a frequency-dependent shoulder below this maximum. This behavior deviates from that of both classical ferroelectrics and conventional relaxor ferroelectrics, and [...] Read more.
The temperature–frequency dependence of dielectric permittivity in Na0.5Bi0.5TiO3 (NBT) -based compositions displays a diffused, frequency-independent maximum along with a frequency-dependent shoulder below this maximum. This behavior deviates from that of both classical ferroelectrics and conventional relaxor ferroelectrics, and its interpretation is further complicated by challenges in linking it to known structural phase transitions. This study proposes a new interpretation of the dielectric behavior of NBT-based materials through a comparative analysis of temperature–frequency permittivity data in both unpoled and poled NBT samples and 0.95Na0.5Bi0.5TiO3–0.05CaTiO3 solid solution over a broad frequency range (10 Hz–100 MHz). Results reveal that the steep permittivity change between the maximum and shoulder—accompanied by pronounced thermal hysteresis—can be attributed to a phase transition between two non-ferroelectric phases. When this contribution is excluded, the dielectric response aligns with classical relaxor ferroelectric behavior. To reconcile this with other known properties of NBT, the “breathing” model is employed, offering a unified framework for understanding its relaxor-like characteristics. Full article
(This article belongs to the Special Issue Feature Papers in Materials Physics (2nd Edition))
Show Figures

Figure 1

18 pages, 5671 KB  
Article
Investigation of Electron Transport Layer Influence on Asymmetric Bipolar Switching in Transparent BST-Based RRAM Devices
by Kai-Huang Chen, Ming-Cheng Kao, Hsin-Chin Chen, Yao-Chin Wang, Chien-Min Cheng and Wei-Min Xu
Micromachines 2025, 16(11), 1302; https://doi.org/10.3390/mi16111302 - 20 Nov 2025
Viewed by 366
Abstract
Ba0.6Sr0.4TiO3 (BST) thin films were deposited on ITO substrates via rf magnetron sputtering, followed by structural and morphological characterization using XRD and FE-SEM. Metal–insulator–metal (MIM) RRAM devices were fabricated by depositing Al top electrodes, and their electrical properties [...] Read more.
Ba0.6Sr0.4TiO3 (BST) thin films were deposited on ITO substrates via rf magnetron sputtering, followed by structural and morphological characterization using XRD and FE-SEM. Metal–insulator–metal (MIM) RRAM devices were fabricated by depositing Al top electrodes, and their electrical properties were examined through I–V measurements. The optimized BST films deposited at 40% oxygen concentration exhibited stable resistive switching, with an operating voltage of 3 V, an on/off ratio of 1, and a leakage current of 10−8 A. After rapid thermal annealing at 500 °C, the on/off ratio improved to 2 but leakage increased to 10−3 A. Incorporating an electron transport layer (ETL) effectively suppressed the leakage current to 10−5 A while maintaining the on/off ratio at 2. Moreover, a transition from bipolar to unipolar switching was observed at higher oxygen concentration (60%). These results highlight the role of ETLs in reducing leakage and stabilizing switching characteristics, providing guidance for the development of transparent, low-power, and high-reliability BST-based RRAM devices. This study aims to investigate the role of Ba0.6Sr0.4TiO3 (BST) ferroelectric oxide as a functional switching layer in resistive random-access memory (RRAM) and to evaluate how interface engineering using an electron transport layer (ETL) can improve resistive switching stability, leakage suppression, and device reliability. Full article
(This article belongs to the Section D1: Semiconductor Devices)
Show Figures

Figure 1

15 pages, 2809 KB  
Article
La3+/Bi3+ Co-Doping in BaTiO3 Ceramics: Structural Evolution and Enhanced Dielectric Properties
by María Inés Valenzuela-Carrillo, Miguel Pérez-Labra, Francisco Raúl Barrientos-Hernandez, Antonio Romero-Serrano, Irma Mendoza-Sanchez, Alejandro Cruz-Ramírez, Mizraim U. Flores, Martín Reyes-Pérez and Julio C. Juárez-Tapia
Processes 2025, 13(11), 3426; https://doi.org/10.3390/pr13113426 - 25 Oct 2025
Viewed by 827
Abstract
La3+/Bi3+ co-doped BaTiO3 ceramics were synthesized via ball milling followed by heat treatment at 1200 °C according to the Ba1−3xLa2xTi1−3xBi4xO3 formula, with dopant levels ranging from x = 0.0 to [...] Read more.
La3+/Bi3+ co-doped BaTiO3 ceramics were synthesized via ball milling followed by heat treatment at 1200 °C according to the Ba1−3xLa2xTi1−3xBi4xO3 formula, with dopant levels ranging from x = 0.0 to 0.006. X-ray diffraction and Rietveld refinement confirmed a ferroelectric tetragonal phase for all compositions, with the highest tetragonality (c/a = 1.009) observed for x = 0.001 exceeding that of pure BaTiO3 (1.0083). High-resolution electron microscopy analysis revealed faceted particles with mean sizes between 362.5 nm and 488.3 nm. Low-doped samples (x = 0.001 and 0.002) exhibited higher permittivity than undoped BaTiO3, with the maximum dielectric constant (εr = 2469.0 at room temperature and 7499.7 at the Curie temperature) recorded for x = 0.001 at 1 kHz. At x = 0.006, minimal permittivity variation indicated a stable dielectric response. A decrease in the Curie temperature was observed with increasing doping levels, indicating a progressive tendency toward the cubic phase. Critical exponent γ values (0.94–1.56) indicated a sharp phase transition for low-doped samples and a diffuse transition for highly doped BaTiO3. These results showed that La3+/Bi3+ co-doping effectively tunes the structural and dielectric properties of BaTiO3 ceramics. Full article
(This article belongs to the Special Issue Microstructure Properties and Characterization of Metallic Material)
Show Figures

Figure 1

17 pages, 2988 KB  
Article
Effect of Ba:Ti Molar Ratio and Sintering Temperature on the Structural and Electrical Properties of BaTiO3-Type Solid Solutions, Synthesized by the Hydrothermal Method
by José Agustin Palmas Léon, Leandro Ramajo, Rodrigo Parra, Miguel Pérez Labra, Francisco Raúl Barrientos Hernández, Alejandro Cruz Ramírez, Vanessa Acosta Sanchez, Aislinn Michelle Teja Ruiz and Sayra Ordoñez Hernández
Materials 2025, 18(20), 4797; https://doi.org/10.3390/ma18204797 - 21 Oct 2025
Viewed by 473
Abstract
The results of the effect of the three Ba:Ti molar ratios (MR) (1:1, 2:1, 4:1) and four sintering temperatures (1250, 1275, 1300, 1325 °C) on the structural and electrical properties of BaTiO3 (BT)-type ceramics synthesized by the hydrothermal method are shown. The [...] Read more.
The results of the effect of the three Ba:Ti molar ratios (MR) (1:1, 2:1, 4:1) and four sintering temperatures (1250, 1275, 1300, 1325 °C) on the structural and electrical properties of BaTiO3 (BT)-type ceramics synthesized by the hydrothermal method are shown. The BT phase formed was analyzed by x-ray diffraction (XRD), Raman spectroscopy (RS), dielectric and ferroelectric measurements and high-resolution scanning electron microscopy (HRSEM). For the samples synthesized using a Ba:Ti MR of 4:1 and at all sintering temperatures analyzed, XRD results confirmed the presence of the tetragonal ferroelectric phase, BT. In the same way, these results corroborated the results obtained by the RS technique. Dielectric properties measured at 100 kHz and 1 MHz over a temperature range of 30 °C–200 °C indicated a relative permittivity value of 4280 at 1 MHz and 4200 at 100 KHz at a Curie temperature of 110 °C in both cases for the sample synthesized at with a Ba:Ti MR ratio of 4:1 and sintered at 1300 °C. Ferroelectric measurements for the samples showed a best remnant polarization (Pr) of 3.5 µC/cm2 for the sample synthesized with a Ba:Ti MR ratio of 4:1 and sintered at 1325 °C. The HRSEM results showed grains composed of Ba, Ti, and O homogeneously distributed in the BT structure, and a trend of increasing average grain size with increasing sintering temperature was observed. Full article
Show Figures

Figure 1

28 pages, 5501 KB  
Article
Electrospun Fabrication of 1–3-Type PVP/SbSI and PVP/SbSeI Nanocomposites with Excellent Piezoelectric Properties for Nanogenerators and Sensors
by Bartłomiej Toroń, Wiktor Matysiak, Anna Starczewska, Jan Dec, Piotr Szperlich and Marian Nowak
Energies 2025, 18(20), 5506; https://doi.org/10.3390/en18205506 - 18 Oct 2025
Viewed by 621
Abstract
Electrospun one-dimensional nanocomposites composed of polyvinylpyrrolidone (PVP) matrices reinforced with antimony sulphoiodide (SbSI) or antimony selenoiodide (SbSeI) nanowires were fabricated for the first time. Their properties were investigated for applications in piezoelectric sensors and nanogenerators. Precise control of the electrospinning parameters produced nanofibres [...] Read more.
Electrospun one-dimensional nanocomposites composed of polyvinylpyrrolidone (PVP) matrices reinforced with antimony sulphoiodide (SbSI) or antimony selenoiodide (SbSeI) nanowires were fabricated for the first time. Their properties were investigated for applications in piezoelectric sensors and nanogenerators. Precise control of the electrospinning parameters produced nanofibres with diameters comparable to the lateral dimensions of the nanowires, ensuring parallel alignment and a 1–3 composite structure. Structural analysis confirmed uniform nanowire distribution and stoichiometry retention. In both nanocomposites, the alignment of the nanowires enables clear observation of the anisotropy of their piezoelectric properties. PVP/SbSI nanocomposites exhibited a ferroelectric–paraelectric transition near 290 K. Under air-pressure excitation of 17.03 bar, they generated a maximum piezoelectric voltage of 2.09 V, with a sensitivity of 229 mV/bar and a surface power density of 12.0 µW/cm2 for sandwich-type samples with nanowires aligned perpendicularly to the electrodes. PVP/SbSeI composites demonstrated stable semiconducting behaviour with a maximum piezoelectric voltage of 1.56 V, sensitivity of 130 mV/bar, and surface power density of 2.3 µW/cm2 for the same type of sample and excitation. The high piezoelectric coefficients d33 of 98 pC/N and 64 pC/N for PVP/SbSI and PVP/SbSeI, respectively, combined with mechanical flexibility, confirm the effectiveness of these nanocomposites as a practical solution for mechanical energy harvesting and pressure sensing in nanogenerators and sensors. Full article
(This article belongs to the Section D3: Nanoenergy)
Show Figures

Graphical abstract

17 pages, 5189 KB  
Article
Total Solution-Processed Zr: HfO2 Flexible Memristor with Tactile Sensitivity: From Material Synthesis to Application in Wearable Electronics
by Luqi Yao and Yunfang Jia
Sensors 2025, 25(20), 6429; https://doi.org/10.3390/s25206429 - 17 Oct 2025
Viewed by 770
Abstract
In the pursuit of advanced non-volatile memory technologies, ferroelectric memristors have attracted great attention. However, traditional perovskite ferroelectric materials are hampered by environmental pollution, limited applicability, and the complexity and high cost of conventional vacuum deposition methods. This has spurred the exploration of [...] Read more.
In the pursuit of advanced non-volatile memory technologies, ferroelectric memristors have attracted great attention. However, traditional perovskite ferroelectric materials are hampered by environmental pollution, limited applicability, and the complexity and high cost of conventional vacuum deposition methods. This has spurred the exploration of alternative materials and fabrication strategies. Herein, a flexible Pt/Zr: HfO2 (HZO)/graphene oxide (GO)/mica memristor is successfully fabricated using the total solution-processed method. The interfacial oxygen competition mechanism between the HZO layer and the GO bottom electrode facilitates the formation of the HZO ferroelectric phase. The as-prepared device exhibits a switching ratio of approximately 150 and can maintain eight distinct resistance levels, and it can also effectively simulate neural responses. By integrating the ferroelectric polarization principle and the piezoelectric effect of HZO, along with the influence of GO, the performance variations of the as-prepared device under mechanical and thermal influences are further explored. Notably, Morse code recognition is achieved by utilizing the device’s pressure properties and setting specific press rules. The as-prepared device can accurately convert and store information, opening new avenues for non-volatile memory applications in silent communication and promoting the development of wearable electronics. Full article
(This article belongs to the Section Wearables)
Show Figures

Figure 1

18 pages, 3967 KB  
Article
Enhanced Piezoelectric and Ferroelectric Properties in the Lead-Free [(BiFeO3)m/(SrTiO3)n]p Multilayers by Varying the Thickness Ratio r = n/m and Periodicity p
by Jonathan Vera Montes, Francisco J. Flores-Ruiz, Carlos A. Hernández-Gutiérrez, Enrique Camps, Enrique Campos-González, Gonzalo Viramontes Gamboa, Fernando Ramírez-Zavaleta and Dagoberto Cardona Ramírez
Coatings 2025, 15(10), 1170; https://doi.org/10.3390/coatings15101170 - 6 Oct 2025
Viewed by 3083
Abstract
Multilayer heterostructures of [(BiFeO3)m/(SrTiO3)n]p were synthesized on ITO-coated quartz substrates via pulsed laser deposition, with varying thickness ratios (r = n/m) and periodicities (p = 1–3). Structural, electrical, and piezoelectric properties were systematically [...] Read more.
Multilayer heterostructures of [(BiFeO3)m/(SrTiO3)n]p were synthesized on ITO-coated quartz substrates via pulsed laser deposition, with varying thickness ratios (r = n/m) and periodicities (p = 1–3). Structural, electrical, and piezoelectric properties were systematically investigated using X-ray diffraction, AFM, and PFM. The BiFeO3 layers crystallized in a distorted rhombohedral phase (R3c), free of secondary phases. Compared to single-layer BiFeO3 films, the multilayers exhibited markedly lower leakage current densities and enhanced piezoelectric response. Electrical conduction transitioned from space-charge-limited current at low fields (E < 100 kV/cm) to Fowler–Nordheim tunneling at high fields (E > 100 kV/cm). Optimal performance was achieved for r = 0.30, p = 1, with minimal leakage (J = 8.64 A/cm2 at E = 400 kV/cm) and a peak piezoelectric coefficient (d33 = 55.55 pm/V). The lowest coercive field (Ec = 238 kV/cm) occurred in the configuration r = 0.45, p = 3. Saturated hysteresis loops confirmed stable ferroelectric domains. These findings demonstrate that manipulating layer geometry in [(BiFeO3)m/(SrTiO3)n]p stacks significantly enhances functional properties, offering a viable path toward efficient, lead-free piezoelectric nanodevices. Full article
(This article belongs to the Special Issue Thin Films and Nanostructures Deposition Techniques)
Show Figures

Graphical abstract

Back to TopTop