Sign in to use this feature.

Years

Between: -

Subjects

remove_circle_outline
remove_circle_outline
remove_circle_outline
remove_circle_outline
remove_circle_outline
remove_circle_outline
remove_circle_outline
remove_circle_outline
remove_circle_outline

Journals

Article Types

Countries / Regions

remove_circle_outline
remove_circle_outline
remove_circle_outline
remove_circle_outline

Search Results (490)

Search Parameters:
Keywords = fermionization

Order results
Result details
Results per page
Select all
Export citation of selected articles as:
13 pages, 274 KB  
Article
Modified Bekenstein Hawking Entropy of Five-Dimensioned Static Multi-Charge AdS Black Holes in Gauged Supergravity Theory
by Cong Wang and Shu-Zheng Yang
Entropy 2026, 28(3), 335; https://doi.org/10.3390/e28030335 - 17 Mar 2026
Abstract
Considering the dynamics of spin-1/2 fermion in higher-dimensional static multi-charge black holes in gauged supergravity theory, taking into account Lorentz breaking and quantum perturbation theory, this study investigates new expressions for the Hawking temperature and Bekenstein-Hawking entropy of such black holes based on [...] Read more.
Considering the dynamics of spin-1/2 fermion in higher-dimensional static multi-charge black holes in gauged supergravity theory, taking into account Lorentz breaking and quantum perturbation theory, this study investigates new expressions for the Hawking temperature and Bekenstein-Hawking entropy of such black holes based on WKB theory and quantum tunneling radiation theory, as well as the laws of black hole thermodynamics. The physical significance of the research methods used in this paper and the related results obtained are analyzed. Furthermore, an in-depth discussion is provided regarding the implications of the research content for addressing relevant issues in high-dimensional curved spacetime. Full article
(This article belongs to the Section Astrophysics, Cosmology, and Black Holes)
51 pages, 666 KB  
Article
Two-Measure Electroweak Standard Model and Its Realization During Cosmological Evolution
by Alexander B. Kaganovich
Symmetry 2026, 18(3), 508; https://doi.org/10.3390/sym18030508 - 16 Mar 2026
Abstract
The possibility of realizing Higgs inflation in a model with a small non-minimal coupling constant, which was demonstrated recently, provides grounds for further development of the model. Incorporating the electroweak SM into the Two-Measure theory (TMT) in a way that fully accounts for [...] Read more.
The possibility of realizing Higgs inflation in a model with a small non-minimal coupling constant, which was demonstrated recently, provides grounds for further development of the model. Incorporating the electroweak SM into the Two-Measure theory (TMT) in a way that fully accounts for the TMT structure leads to a theory we call the Two-Measure Standard Model (TMSM). The TMSM is realized in the context of cosmology as a set of cosmologically modified copies of the Glashow–Weinberg–Salam (GWS) theory, such that each of the copies exists as a local quantum field theory defined on the classical cosmological background at the appropriate stage of its evolution. This basic idea is studied in detail for two stages of the cosmological background evolution: for slow-roll inflation and for the stage of approaching the vacuum. Mainly due to the presence of the ratio of two volume measures in all equations of motion, all TMSM coupling constants turn into a kind of “running” (classical) TMT-effective parameters. During the evolution of the cosmological background, changing these parameters yields new results: (1) the classical “running” TMT-effective Higgs self-coupling parameter increases from λ1011 (which provides Higgs inflation consistent with the Planck CMB data at ξ=16) to λ0.1 at the stage close to the vacuum; (2) the mass term in the TMT-effective Higgs potential changes sign from positive to negative, which provides SSB in the standard way of GWS theory; (3) the classical “running” parameters of the gauge and Yukawa couplings change by several orders of magnitude; (4) the GWS theory is reproduced when the Yukawa constant in the original action is chosen to be universal for three generations of fermions. We show that, due to these classical-level results, taking into account quantum corrections in the one-loop approximation preserves the slow-roll inflation regime and does not violate the vacuum stability during inflation. Full article
14 pages, 869 KB  
Article
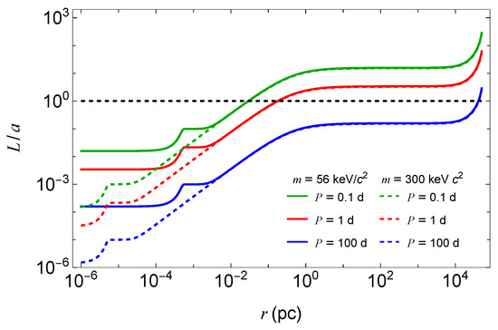
Role of Dark Matter in the Dynamics of Compact-Object Binaries
by Carlos R. Argüelles, Valentina Crespi, José Fernando Rodríguez-Ruiz and Jorge A. Rueda
Symmetry 2026, 18(3), 484; https://doi.org/10.3390/sym18030484 - 12 Mar 2026
Viewed by 80
Abstract
The orbital dynamics of compact-object binaries composed of neutron stars (NSs) and white dwarfs (WDs) can be influenced by the gravitational interaction with the gas of dark matter (DM) particles, generating dynamical friction. We discuss the orbital dynamics of detached binaries, quantifying the [...] Read more.
The orbital dynamics of compact-object binaries composed of neutron stars (NSs) and white dwarfs (WDs) can be influenced by the gravitational interaction with the gas of dark matter (DM) particles, generating dynamical friction. We discuss the orbital dynamics of detached binaries, quantifying the effect of dynamical friction from DM relative to that driven solely by gravitational-wave emission in vacuum. We focus on fermionic DM within the Ruffini–Arguelles–Rueda (RAR) model, for a fermion of rest-mass in the range 56–300 keV. We find that, for NS-NS, NS-WD, and WD-WD with parameters similar to those of J0737-3039, J0348+0432, and J0651+2844, the DM dynamical friction becomes detectable by space-based GW interferometers such as LISA and TianQin for binaries within a few milliparsec from the Galactic center, and could even dominate the orbital dynamics. Full article
Show Figures

Figure 1

15 pages, 711 KB  
Article
The Zitterbewegung in the Bivector Standard Model
by Bryan Sanctuary
Axioms 2026, 15(2), 116; https://doi.org/10.3390/axioms15020116 - 4 Feb 2026
Viewed by 633
Abstract
We show that the Zitterbewegung of the electron arises as a real internal motion when spin is treated as a classical bivector rather than as a point fermion of the Dirac equation. In the Bivector Standard Model, physically meaningful dynamics reside in the [...] Read more.
We show that the Zitterbewegung of the electron arises as a real internal motion when spin is treated as a classical bivector rather than as a point fermion of the Dirac equation. In the Bivector Standard Model, physically meaningful dynamics reside in the body-fixed frame where two orthogonal internal angular momentum vectors counter-precess about a torque axis. Their rigid rotation generates a time-dependent chord whose magnitude oscillates at twice the Compton frequency, 2ωC, and whose orientation precesses at ωC. When projected into a laboratory-fixed frame, this internal rotor produces the characteristic trembling motion of the Zitterbewegung and traces a horn torus envelope without additional assumptions. The internal clock defined by this cyclic bivector motion unifies the origin of spin properties and the de Broglie modulation. It distinguishes complementary parity domains that cannot be related by Lorentz transformations. The Zitterbewegung is therefore not an interference between positive- and negative-energy spinors, but rather the visible shadow of a real, energy-conserving internal rotation inherent to the bivector structure. Full article
(This article belongs to the Special Issue Mathematical Aspects of Quantum Field Theory and Quantization)
Show Figures

Figure 1

22 pages, 391 KB  
Article
Random Walks and Spin Projections
by Jean-Christophe Pain
Quantum Rep. 2026, 8(1), 11; https://doi.org/10.3390/quantum8010011 - 2 Feb 2026
Viewed by 410
Abstract
The purpose of this article is to highlight the connections between two seemingly distinct domains: random walks and the distribution of angular-momentum projections in quantum physics (the magnetic quantum numbers m). It is well known that there is indeed a deep mathematical [...] Read more.
The purpose of this article is to highlight the connections between two seemingly distinct domains: random walks and the distribution of angular-momentum projections in quantum physics (the magnetic quantum numbers m). It is well known that there is indeed a deep mathematical link between the two, via the vector composition of angular momenta and rotational symmetry. Random walks are considered in the framework of an interpretation of the probability of microstates in statistical physics. The ideas presented in this work aim to illustrate the relevance of this perspective for modeling angular momentum in atomic physics. Full article
Show Figures

Graphical abstract

20 pages, 361 KB  
Article
Complementary Continuous-Discrete Time, Chronon Layering and Temporal Folding
by Medeu Abishev and Daulet Z. Berkimbayev
Symmetry 2026, 18(2), 252; https://doi.org/10.3390/sym18020252 - 30 Jan 2026
Viewed by 420
Abstract
Within the framework of a discrete-time chronon model, we consider a dual description of physical time. In this description, macroscopic time is a continuous parameter, while a microscopic integer chronon index labels elementary updates of the system. On this basis, a hierarchy of [...] Read more.
Within the framework of a discrete-time chronon model, we consider a dual description of physical time. In this description, macroscopic time is a continuous parameter, while a microscopic integer chronon index labels elementary updates of the system. On this basis, a hierarchy of temporal layers ChN (Chronon) is introduced. The simple layers Ch2, Ch3 and Ch4 are analysed, and it is shown that they naturally support U(1) (Unitary group), SU(3) (Special Unitary group) and a pair-locked SU(2) (Special Unitary group) symmetry, respectively. Special attention is paid to the twelve-slot layer Ch12. This layer is the minimal one which simultaneously separates partitions into four triads and three quartets. For Ch12, we demonstrate that the intersection of the corresponding commutants in C3C4 reproduces the Standard Model gauge algebra SU(3)C×SU(2)L×U(1)Y and the pattern of hypercharges and anomaly cancellation. The appearance of three fermion generations is interpreted in terms of three inequivalent embeddings of a triad into the dodecad which preserve the quartet structure. Possible connections of the chronon dynamics with the hierarchy of masses (via Floquet-type quasi-energies), with dark sectors associated with misaligned layers, and with a temporal interpretation of entanglement are briefly discussed on a qualitative level. These questions are formulated as open problems for further study. Full article
(This article belongs to the Section Physics)
12 pages, 259 KB  
Article
Hidden Rotation Symmetry of the Jordan–Wigner Transformation and Its Application to Measurement in Quantum Computation
by Grant Davis and James K. Freericks
Symmetry 2026, 18(2), 251; https://doi.org/10.3390/sym18020251 - 30 Jan 2026
Viewed by 318
Abstract
Using a global rotation by θ about the z-axis in the spin sector of the Jordan–Wigner transformation rotates Pauli matrices X^ and Y^ in the xy-plane, while it adds a global complex phase to fermionic quantum states [...] Read more.
Using a global rotation by θ about the z-axis in the spin sector of the Jordan–Wigner transformation rotates Pauli matrices X^ and Y^ in the xy-plane, while it adds a global complex phase to fermionic quantum states that have a fixed number of particles. With the right choice of angles, this relates expectation values of Pauli strings containing products of X^ and Y^ to different products, which can be employed to reduce the number of measurements needed when simulating fermionic systems on a quantum computer. Here, we derive this symmetry and show how it can be applied to systems in Physics and Chemistry that involve Hamiltonians with only single-particle (hopping) and two-particle (interaction) terms. We also discuss the consequences of this for finding efficient measurement circuits in variational ground state preparation. Full article
(This article belongs to the Section Physics)
18 pages, 780 KB  
Article
Equation of State of Highly Asymmetric Neutron Star Matter from Liquid Drop Model and Meson Polytropes
by Elissaios Andronopoulos and Konstantinos N. Gourgouliatos
Symmetry 2026, 18(2), 225; https://doi.org/10.3390/sym18020225 - 27 Jan 2026
Viewed by 412
Abstract
We present a unified description of dense matter and neutron star structure based on simple but physically motivated models. Starting from the thermodynamics of degenerate Fermi gases, we construct an equation of state for cold, catalyzed matter by combining relativistic fermion statistics with [...] Read more.
We present a unified description of dense matter and neutron star structure based on simple but physically motivated models. Starting from the thermodynamics of degenerate Fermi gases, we construct an equation of state for cold, catalyzed matter by combining relativistic fermion statistics with the liquid drop model of nuclear binding. The internal stratification of matter in the outer crust is described by the β-equilibrium, neutron drip and a gradual transition to supranuclear matter. Short-range repulsive interactions inspired by Quantum Hadrodynamics are incorporated at high densities in order to ensure stability and causality. The resulting equation of state is used as input in the Tolman–Oppenheimer–Volkoff equations, yielding self-consistent neutron star models. We compute macroscopic stellar properties including the mass–radius relation, compactness and surface redshift that can be compared with recent observational data. Despite the simplicity of the underlying microphysics, the model produces neutron star masses and radii compatible with current observational constraints from X-ray timing and gravitational-wave measurements. This work demonstrates that physically transparent models can capture the essential features of neutron star structure and provide valuable insight into the connection between dense-matter physics and astrophysical observables; they can also be used as easy-to-handle models to test the impact of more complicated phenomena and variations in neutron stars. Full article
(This article belongs to the Special Issue Nuclear Symmetry Energy: From Finite Nuclei to Neutron Stars)
Show Figures

Figure 1

19 pages, 14454 KB  
Article
Primordial Black Holes and Instantons: Shadow of an Extra Dimension
by Reinoud Jan Slagter
Universe 2026, 12(1), 26; https://doi.org/10.3390/universe12010026 - 16 Jan 2026
Viewed by 360
Abstract
We investigated an exact solution in a conformal invariant Randall-Sundrum 5D warped brane world model on a time dependent Kerr-like spacetime. The singular points are determined by a quintic polynomial in the complex plane and fulfills Cauchy’s theorem on holomorphic functions. The solution, [...] Read more.
We investigated an exact solution in a conformal invariant Randall-Sundrum 5D warped brane world model on a time dependent Kerr-like spacetime. The singular points are determined by a quintic polynomial in the complex plane and fulfills Cauchy’s theorem on holomorphic functions. The solution, which is determined by a first-degree differential equation, shows many similarities with an instanton. In order to describe the quantum mechanical aspects of the black hole solution, we apply the antipodal boundary condition. The solution is invariant under time reversal and also valid in Riemannian space. Moreover, CPT invariance in maintained. The vacuum instanton solution follows from the 5D as well as the effective 4D brane equations, only when we allow the contribution of the projected 5D Weyl tensor on the brane (the KK-‘particles’). The topology of the effective 4D space of the brane is the projective RP3 (elliptic space) by identifying antipodal points on S3. The 5D is completed by applying the Klein bottle embedding and the Z2 symmetry of the RS model. This model fits very well with the description of the Hawking radiation, which remains pure. We have also indicated a possible way to include fermions. Our 5D space admits a double cover of S3 and after fibering to the S2, we obtain the effective black hole horizon. The connection with the icosahedron discrete symmetry group is investigated. It seem that Bekenstein’s conjecture that the area of a black hole is quantized, could be applied to our model. Full article
(This article belongs to the Section Foundations of Quantum Mechanics and Quantum Gravity)
Show Figures

Figure 1

8 pages, 248 KB  
Article
Fermi Sea Topology and Boundary Geometry for Free Particles in One- and Two-Dimensional Lattices
by Guillermo R. Zemba
Mathematics 2026, 14(2), 303; https://doi.org/10.3390/math14020303 - 15 Jan 2026
Viewed by 248
Abstract
Free gases of spinless fermions moving on a lattice-symmetric geometric background are considered. Their topological properties at zero temperature can be used to classify their Fermi seas and associated boundaries. The flat orbifolds Rd/Γ, where Γ is the crystallographic [...] Read more.
Free gases of spinless fermions moving on a lattice-symmetric geometric background are considered. Their topological properties at zero temperature can be used to classify their Fermi seas and associated boundaries. The flat orbifolds Rd/Γ, where Γ is the crystallographic group of symmetry in d-dimensional momentum space, are used to accomplish this task. Two topological classes exist for d=1: an interval, which is identified as a conductor, and a circumference, which corresponds to an insulator. The number of topological classes increases to 17 for d=2: 8 have the topology of a disk, that are generally recognized as conductors, and 4 correspond to a two-sphere, matching insulators. Both sets eventually contain a finite number of conical singularities and reflection corners at the boundaries. The remaining cases in the listing relate to conductors (annulus, Möbius strip) and insulators (two-torus, real projective plane, Klein bottle). Examples that fall under this list are given, along with physical interpretations of the singularities. It is anticipated that the findings of this classification will be robust under perturbative interactions due to its topological character. Full article
(This article belongs to the Special Issue Effective Field Theories for Condensed Matter and Statistical Systems)
17 pages, 7025 KB  
Review
Dark Sector Searches at e+e Colliders
by Vindhyawasini Prasad
Universe 2026, 12(1), 20; https://doi.org/10.3390/universe12010020 - 12 Jan 2026
Viewed by 425
Abstract
The Standard Model (SM) of particle physics is one of the most successful frameworks in modern physics, yet it leaves several fundamental questions unanswered, including the nature of dark matter (DM). Precise knowledge of DM is crucial for testing astrophysical and cosmological observations [...] Read more.
The Standard Model (SM) of particle physics is one of the most successful frameworks in modern physics, yet it leaves several fundamental questions unanswered, including the nature of dark matter (DM). Precise knowledge of DM is crucial for testing astrophysical and cosmological observations and for determining the matter density of our Universe. Many hidden dark sector models beyond the SM open the possibility of coupling between DM and SM particles via various portals. The corresponding new physics particles include light Higgs bosons, dark photons, axion-like particle, and spin-1/2 fermions. Furthermore, the introduction of a dark baryon could simultaneously explain the origin of DM and the observed matter–antimatter asymmetry in the Universe. If these hypothetical particles have masses of a few GeV, they can be explored at high-intensity e+e colliders, such as in the BaBar, Belle/Belle II, and BESIII experiments. This report reviews the current status of DM searches at e+e colliders, with a focus on portal-based scenarios. Full article
(This article belongs to the Special Issue Modified Gravity and Dark Energy Theories)
Show Figures

Figure 1

20 pages, 570 KB  
Review
Reinforcement Learning Techniques for the Flavor Problem in Particle Physics
by Alessio Giarnetti and Davide Meloni
Symmetry 2026, 18(1), 131; https://doi.org/10.3390/sym18010131 - 9 Jan 2026
Viewed by 311
Abstract
This short review discusses recent applications of Reinforcement Learning (RL) techniques to the flavor problem in particle physics. Traditional approaches to fermion masses and mixing often rely on extensions of the Standard Model based on horizontal symmetries, but the vast landscape of possible [...] Read more.
This short review discusses recent applications of Reinforcement Learning (RL) techniques to the flavor problem in particle physics. Traditional approaches to fermion masses and mixing often rely on extensions of the Standard Model based on horizontal symmetries, but the vast landscape of possible models makes systematic exploration infeasible. Recent works have shown that RL can efficiently navigate this landscape by constructing models that reproduce observed quark and lepton observables. These approaches demonstrate that RL not only rediscovers models already proposed in the literature but also uncovers new, phenomenologically acceptable solutions. Full article
(This article belongs to the Special Issue Neutrinos and Symmetry: Theoretical Developments and New Directions)
Show Figures

Figure 1

14 pages, 283 KB  
Article
Correction to the Entropy of a Charged Rotating Accelerated Black Hole Due to Lorentz Invariance Violation
by Cong Wang, Hui-Ying Wang and Shu-Zheng Yang
Entropy 2026, 28(1), 62; https://doi.org/10.3390/e28010062 - 5 Jan 2026
Viewed by 408
Abstract
In the spacetime of a charged rotating accelerated black hole, the dynamics equations of fermions and bosons are modified by Lorentz invariance violation (LIV). The correction effects of LIV on the quantum tunneling radiation of this black hole are investigated. New expressions for [...] Read more.
In the spacetime of a charged rotating accelerated black hole, the dynamics equations of fermions and bosons are modified by Lorentz invariance violation (LIV). The correction effects of LIV on the quantum tunneling radiation of this black hole are investigated. New expressions for the quantum tunneling rate, Hawking temperature, and Bekenstein–Hawking entropy of this black hole, which depend on the charge parameter and acceleration parameter, are derived, incorporating LIV correction terms. The physical implications of these results are discussed in depth. Full article
(This article belongs to the Special Issue Black Hole Information Problem: Challenges and Perspectives)
18 pages, 329 KB  
Article
A Z3-Graded Lie Superalgebra with Cubic Vacuum Triality
by Yuxuan Zhang, Weitong Hu and Wei Zhang
Symmetry 2026, 18(1), 54; https://doi.org/10.3390/sym18010054 - 27 Dec 2025
Viewed by 415
Abstract
We construct a finite-dimensional Z3-graded Lie superalgebra of dimensions (12,4,3), featuring a grade-2 sector that obeys a cubic bracket relation with the fermionic sector. This induces an emergent triality symmetry cycling the three components. The full set of graded Jacobi identities [...] Read more.
We construct a finite-dimensional Z3-graded Lie superalgebra of dimensions (12,4,3), featuring a grade-2 sector that obeys a cubic bracket relation with the fermionic sector. This induces an emergent triality symmetry cycling the three components. The full set of graded Jacobi identities is verified analytically in low dimensions and numerically in a faithful 19-dimensional matrix representation, with residuals 8×1013 over 107 random tests. Explicit quadratic and cubic Casimir operators are computed, with proofs of centrality, and the adjoint representation is shown to be anomaly-free. The algebra provides a minimal, closed extension beyond conventional Z2 supersymmetry and may offer an algebraic laboratory for models with ternary symmetries. Full article
(This article belongs to the Special Issue Symmetry and Lie Algebras)
20 pages, 2216 KB  
Article
Triaxiality in the Low-Lying Quadrupole Bands of Even–Even Yb Isotopes
by Polytimos Vasileiou, Dennis Bonatsos and Theo J. Mertzimekis
Symmetry 2025, 17(12), 2135; https://doi.org/10.3390/sym17122135 - 11 Dec 2025
Viewed by 311
Abstract
Following a series of successful applications to the neighboring isotopic chains of the rare-earth region, a mean-field-derived IBM-1 Hamiltonian with an intrinsic triaxial deformation derived from fermionic proxy-SU(3) irreducible representations (irreps) is employed for the study of energies and [...] Read more.
Following a series of successful applications to the neighboring isotopic chains of the rare-earth region, a mean-field-derived IBM-1 Hamiltonian with an intrinsic triaxial deformation derived from fermionic proxy-SU(3) irreducible representations (irreps) is employed for the study of energies and B(E2) transition strengths in the low-lying quadrupole bands of the even–even 162–182Yb. Proxy-SU(3) next-highest-weight irreps are incorporated in the calculations for the first time, leading to a significantly improved agreement with experimental data, where available, compared to axially symmetric calculations, as well as to triaxial calculations considering only highest-weight irreps. Full article
(This article belongs to the Section Physics)
Show Figures

Figure 1

Back to TopTop