Abstract
The orbital dynamics of compact-object binaries composed of neutron stars (NSs) and white dwarfs (WDs) can be influenced by the gravitational interaction with the gas of dark matter (DM) particles, generating dynamical friction. We discuss the orbital dynamics of detached binaries, quantifying the effect of dynamical friction from DM relative to that driven solely by gravitational-wave emission in vacuum. We focus on fermionic DM within the Ruffini–Arguelles–Rueda (RAR) model, for a fermion of rest-mass in the range 56–300 keV. We find that, for NS-NS, NS-WD, and WD-WD with parameters similar to those of J0737-3039, J0348+0432, and J0651+2844, the DM dynamical friction becomes detectable by space-based GW interferometers such as LISA and TianQin for binaries within a few milliparsec from the Galactic center, and could even dominate the orbital dynamics.
1. Introduction
Timing measurements of the radio emission from relativistic binaries composed of compact stars, such as white dwarfs (WDs) and neutron stars (NSs), have achieved superb precision in determining the so-called post-Keplerian orbital parameters, allowing stringent tests of general relativity (see, e.g., [1], for a recent review). The accuracy of the timing measurements in the double pulsars (NS-NS) J0737-3039 [2,3,4] and J1946+2052 [5] has surpassed that of the Hulse–Taylor NS-NS binary [6,7,8], leading to the most stringent test of the general relativity prediction of the orbital decay rate due to the emission of gravitational waves (GWs), . We are interested in discussing compact-object binaries, such as NS-NS, WD-WD, or NS-WD. The orbital evolution of detached binaries is usually assumed to be fully driven by the loss of energy and angular momentum radiated off via GWs. The rate at which the orbital separation shrinks, or, equivalently, the orbital period or frequency changes, is described by the quadrupolar, point-like approximation of the two-body problem [9,10] (see also [11,12]). For a circular orbit, it leads to
where P is the orbital period, is the symmetric mass ratio parameter, the total binary mass, G is the gravitational constant, and c id the speed of light. We use cgs units throughout the article.
Given the high precision of the post-Keplerian parameters measurements, even tiny contributions to the orbital decay rate, well below the GW one, will soon become measurable. For instance, in the double-pulsar J0737–3039, with measured s , the contribution due to the mass-energy loss by the electromagnetic radiation of Pulsar A, the primary of the binary system, which has a mass of and a rotation frequency of Hz [4], via magnetic braking is s [4], where is its moment of inertia in units of g . This value is five orders of magnitude smaller than the contribution due to GW emission, s , but only a factor three lower than the error in the measurement of [4]. Thus, the expected increase in the accuracy of the timing measurements will constrain , hence the equation of state of nuclear matter above nuclear saturation density (see Ref. [4] for details).
It is important to note that in NS-NS or NS-WD binaries, the NS size (∼10 km) and negligible thermal optical emission make photometric eclipses hardly observable. Therefore, the orbital timing measurements rely on the presence of a radio pulsar, whose highly regular emission provides the microsecond time-of-arrival precision required to disentangle relativistic post-Keplerian measurements. Instead, in WD-WD binaries, the components are physically larger (∼ km) and optically luminous, allowing observations of their mutual eclipses to measure the orbital period and its time derivative.
In radio pulsars, room for improvement in timing measurements is guaranteed by the advanced radio facilities such as MeerKART [13], the Five-hundred-meter Aperture Spherical radio Telescope (FAST, e.g., [5,14]), and the Square Kilometre Array Observatory (SKAO [15,16]; see also Ref. [17]). Besides electromagnetic observations, compact-star binaries with orbital periods from a few minutes to hours will be observed by forthcoming space-based GW detectors such as the Laser Interferometer Space Antenna (LISA) [18], TianQin [19], and Taiji [20]. These facilities are sensitive to GW frequencies below 1 Hz down to a fraction of mHz, with the peak of their sensitivity around 10 mHz. At these frequencies, these binaries could be detected with a large signal-to-noise ratio (SNR), leading to an accurate measurement of (see Section 3). This information can be used to test physical effects beyond GW emission that could affect orbital dynamics.
Indeed, it has been shown that electromagnetic interactions between the binary components can produce deviations from a pure GW-driven dynamics and be detectable by space-based GW interferometers (see, e.g., Refs. [21,22,23,24] and references therein). In this article, we discuss a more subtle physical ingredient that can affect orbital dynamics: dark matter (DM). Despite cosmological and astrophysical probes pointing to a conspicuous amount of DM in galaxies, its nature remains one of the great unknowns. Theories propose DM candidates that span more than 50 orders of magnitude in mass (see, e.g., [25] for a recent overview). Thus, formulating alternative, improved, and new astrophysical probes is crucial for narrowing down the possibilities. The dynamics of compact-object binaries can be highly relevant in this regard. Orbital dynamics is usually calculated assuming the binary in vacuum spacetime. However, if DM is ubiquitous in galaxies, gravitational interactions between the binary components and DM particles could modify the orbital motion. The theoretical treatment of this gravitational effect, known as dynamical friction, was introduced in 1943 by Chandrasekhar [26]. Therein, the drag force acting on an object (e.g., a star) moving linearly through a homogeneous Maxwell–Boltzmann gas (e.g., a stellar cluster) was calculated. The relevant point is that such a drag force depends critically on the background density and the object’s velocity relative to the background. For a compact-star binary in a homogeneous DM background obeying Maxwell–Boltzmann statistics, we refer to Ref. [27]. Therefore, the DM nature, which determines its local properties through the galaxy, e.g., its concentration, also determines the dynamical friction force.
Assuming the DM is a subatomic particle, then it must be only one of two options: a boson or a fermion. We focus our study on a fermion. Besides its own relevance in the particle physics context, a fermion is a promising candidate from the cosmological and astrophysical point of view (see, e.g., [28], for a review on the subject), as well as in direct searches in laboratory experiments (see, e.g., [29,30,31,32]).
As the knowledge of the DM local properties in the Galaxy is needed, we shall take advantage of the previous calculations based on the Ruffini–Arguelles–Rueda (RAR) femionic DM model [33], extended to a Fermi–Dirac distribution function with energy cutoff due to escaping particles [34,35,36]. We recall the model in Section 3. With the most recent inferred fermionic DM distribution across the Galaxy, we update the analysis of the dynamical friction acting on a compact-star binary presented in [37]. Further, we discuss the detectability of the DM dynamical friction effect by space-based GW interferometers.
The article is structured as follows. In Section 2, we recall the salient points of the dynamical friction framework due to the DM background for the orbital decay (or widening) rate, denoted by . Section 3 summarizes the key aspects of the RAR DM model and the DM density profiles (depending on the DM fermion mass) used in Section 4 to quantify for typical NS-NS or WD-WD binaries. We identify the main features of the effect and how it compares with the contribution of the GW emission to orbital decay, . Section 5 discusses the detectability of dynamical friction by DM using GW detectors such as LISA and TianQin. The suitable binary parameters and position in the Galaxy where DM dynamical friction becomes comparable to, or even dominant over, the GW emission, are inferred. Finally, Section 6 outlines the conclusions of our analysis.
2. Dynamical Friction Orbital Period Change Rate
In this section, we recall the treatment to estimate the dynamical friction exerted by the background of DM particles on the binary components. We follow the application of Chandrasekhar’s treatment of the dynamical friction of one body linearly moving through a homogeneous, collisionless medium [26]. Specifically, we follow the formulation in Ref. [37] for compact-object binaries in the fermionic DM background within the RAR model.
Let us consider a binary system with components of mass , where m is the mass of the DM particle. The orbital velocity of the binary i-th component relative to the DM background is , where is its velocity relative to the binary’s center-of-mass (CM), and is the DM wind velocity, i.e., the velocity of the binary’s CM relative to the DM background. The angles and are between the DM wind velocity vector and the perpendicular axis of the orbital plane and the projection of the wind velocity vector with an axis lying in the orbital plane, respectively, [27]. Thus, the binary components are subjected to the drag acceleration [26,38]
where
with the DM particle distribution function, i.e., the number density in phase space . The first integral on the r.h.s. of Equation (3) accounts for the contribution of particles moving slower than the object, while the second integral accounts for that of particles moving faster than the object. Clearly, the particles’ velocity is limited by the escape velocity, , which is given by the phase-space cutoff parameter in the distribution function (see Section 3). The maximum impact parameter, , is here approximated to be the size of the orbit or binary separation, i.e., .
The secular change in the orbital period can be estimated from the standard averaging of a continuous function as given by the calculus mean value theorem, taking one orbital period as the interval of integration [27,37]
where , , , and .
The DM wind velocity is given by the velocity of the binary’s CM relative to the DM background. For a binary bound to the Galactic center, it is given by the Keplerian velocity of the binary relative to it. For an unbound binary, by its transverse velocity through the Galaxy. We will present our estimates for two constant values of the DM wind velocity, 10 and 1000 km , on the orbital plane of the binary, i.e., . Thus, the value of the angle enters only as a constant phase, so without loss of generality, we set . Under these assumptions, the coefficient of in Equation (4) is constant, so only the first term in the equation contributes to it when averaged over one orbital period.
The accuracy of the extrapolation of the treatment of Chandrasekhar to the case of a binary cannot be assumed as granted. As discussed in [39], the model is expected to be accurate when the size of the wake, say L, does not exceed the binary separation, i.e., when . The lower the ratio, the higher the treatment accuracy. In Section 3, we will examine the ratio for the studied DM background and orbital parameters, being the wake size on the i-th object. The latter can be estimated by the gravitational sphere of influence of the object, , where is the velocity dispersion of the background gas, where
Thus, the ratio , using Kepler’s third law, becomes
3. Fermion DM Density Profile
We have recalled above the main equations and physical quantities required to evaluate the DM dynamical contribution to the rate of change in the orbital period. The main parameters concern the DM background, which we assume to be a self-gravitating gas of neutral, massive fermions, according to the extended RAR model [34]. This model accounts for particle escape effects directly in the phase-space distribution function via a cutoff energy , as follows
where is the particle’s kinetic energy, p is the particle spatial momentum, is the chemical potential rest mass subtracted off, T is the temperature, and k is the Boltzmann constant. Such a distribution function can be obtained, at coarse-grained level, from a theory of violent relaxation for fermions [40]. We also refer to the more recent analysis in [41], including a stability analysis applied to the Milky Way.
With the distribution function specified, the profile of the DM density (and other thermodynamic variables, e.g., pressure, chemical potential, etc.) is obtained from the numerical integration of the Einstein equations in spherical symmetry. The energy-momentum tensor is that of a perfect fluid (the DM gas). The system of equations is supplied by the thermodynamic equilibrium conditions of the spatial constancy of the temperature and chemical potential measured by an observer at rest at infinity, i.e., the gravitationally redshifted local temperature and chemical potential [33,34]. The general DM density profile is characterized by a dense core in which degenerate Fermi gas properties dominate, followed by a Boltzmannian, dilute outer halo. Given a fermion mass, the system of equations is solved for specific astrophysical boundary conditions, e.g., to fit the total mass of the Galaxy and the rotation curve. We refer to [34] for the Milky Way and to [42] for other galaxy types.
The theory for fermionic DM predicts equilibrium solutions that depend on the fermion mass and can develop a dense and degenerate compact core able to mimic the spacetime signature of a massive black hole (BH) [34,36]. This fact has been demonstrated for the supermassive central object of the Milky Way, SgrA*, in a series of works [35,36,43,44,45]. Without the presence of a central BH, the solely gravitational field of the DM configuration can explain the astrometric data of the central S-star cluster [43], the relativistic effects measured for the S2 star, i.e., the gravitational redshift [35], and the periastron precession [44]. Moreover, when the DM core is illuminated by an accretion disc, the lensed photons can cast shadow-like images similar to the one observed by the Event Horizon Telescope for the Galaxy center (see [45] for details). Finally, if the highly degenerate cores reach a critical mass (i.e., the Oppenheimer–Volkoff mass of gravitational collapse), they can eventually collapse into a BH. Thus, the model also offers a new channel for SMBH formation, with deep implications for the high-redshift Universe, as shown in [46,47,48,49].
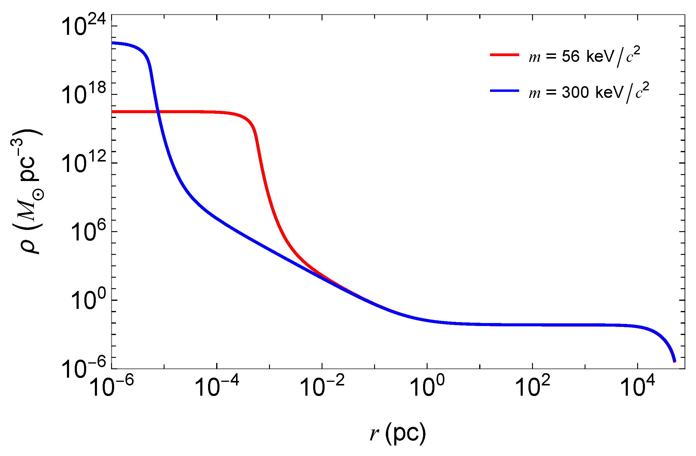
In this work, we use the latest core-halo fermionic DM profiles for the Milky Way obtained in [36]. They improve the previous DM core-halo profiles [34] by including as constraints the most recent data coming from the S2 and G sources orbiting SgrA*, together with the outer rotation curve as observed by Gaia DR3 release in [50]. Figure 1 shows such density profiles for fermion mass keV and keV .
Figure 1.
DM density profiles obtained for the Milky Way as given by the extended RAR model in the case of fermion masses keV and keV in [36]. The resulting core-halo equilibrium profiles were best fitted from recent data coming from the central S2 star and G sources [51,52,53], together with GAIA-DR3 rotation curve observations [50].
4. Application to Galactic Compact-Star Binaries
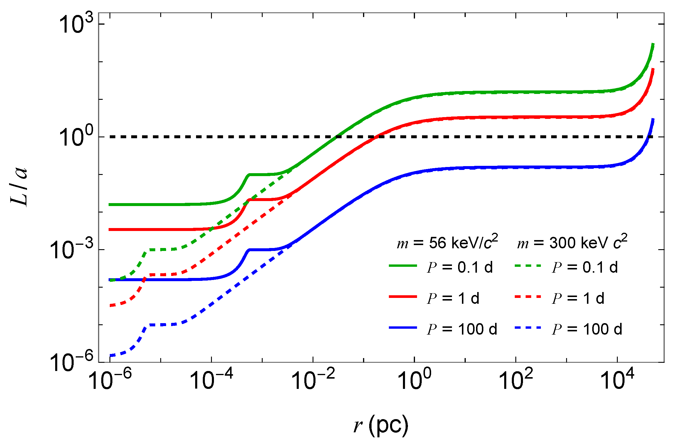
Having set the DM density profile, we would first like to evaluate the size of the gravitational wake produced by DM particles, following Equation (6). For the sake of reference, we plot in Figure 2 the ratio given by Equation (6), for , , for , 1 and 100 days. We find that the Chandrasekhar treatment, which assumes no wake-wake or wake-companion object interactions, is accurate, in general, for wide binaries, e.g., with periods over days. For compact binaries, e.g., with periods of a few minutes to hours, high accuracy is expected in the treatment for higher dispersion velocities of the DM gas. This feature is achieved as one approaches the Galactic center, e.g., at distances ≲1 pc.
Figure 2.
Ratio of the estimated wake size L to the orbital separation a, as a function of the distance to the source from the Galactic center, for selected orbital periods , 1, and 100 days, and for and . The plot shows the result for the two DM fermion masses keV and keV . The black dashed line represents the ratio equal to unity.
With all the above in mind, we now evaluate for typical Galactic binary parameters and compare the result with measurements of the orbital decay rate. Figure 3 plots the contribution to by the DM dynamical friction, computed with the treatment of Section 2, and compares it with the contribution due to the GW emission. We do this comparison for three prototype binaries: for NS-NS, the double pulsar J0737-303; for NS-WD, NS-WD J0348+0432; and for WD-WD J0651+2844. The measured values of the binary component masses ( and ), the orbital period (P), and the orbital period change rate (), are reported in Table 1. To show the effect of the DM density on the dynamical friction onto the binary, Figure 3 shows for binaries with the above parameters as a function of a hypothetical location in the Galaxy. At the real location of these NS-NS, NS-WD, and WD-WD binaries (see Table 1), the DM density is very low (see Figure 1), which leads to several orders of magnitude smaller than . Indeed, for these binaries, accounts for most of the measured orbital period change rate, , as shown in Table 1. In the figure, we plot the results for two extreme values of the DM wind velocity, km (blue curves) and km .
Figure 3.
DM dynamical friction orbital period change rate relative to the one of the GW emission, i.e., for the prototypical NS-NS system (J0737-3039 like, top row), NS-WD (J0348+0432 like, middle row), and WD-WD (J0651+2844 like, bottom row), as a function of the location in the Galaxy. The binary parameters of J0737-3039, J0348+0432, and J0651+2844, including the value of , are given in Table 1. The dotted horizontal line indicates a ratio of unity. As we are plotting the absolute value of , its change in sign from negative to positive produces a dip in the curve, as in the left column plots. The value of is negative on the left and positive on the right side of the dip.
Table 1.
Three known NS-NS, NS-WD, and WD-WD Galactic binaries, which we use here as prototypical compact-star binaries. For the double-pulsar, J0737-3039, Pulsar A and B are, respectively, the primary and the secondary components.
At the location of these binaries, the DM dynamical friction contribution to is positive (produces orbital widening) for the low DM wind km , while it is always negative (produces orbital shrinkage) for the high DM wind, km . In either case, the contribution to the total is tiny, several orders of magnitude smaller than that of GWs. At distances pc (from the Galactic center), such binaries would experience an enhancement of the dynamical friction by DM due to the higher DM density. Furthermore, is always negative within that region, enhancing the orbital decay, or even dominating it for binaries close to the Galactic center, e.g., within a mpc. The precise distances at which the DM dynamical friction contribution to the orbital decay rate becomes comparable or even larger than the GW emission contribution depend on the DM particle mass. Therefore, the detection of a compact-object binary of similar parameters to those of J0737-3039 or J0651+2844 at those distances, and the consequent measurement of , could potentially be used to constrain the DM particle mass. It is interesting that it has been recently suggested that a population of compact-object binaries, such as the one above, could reside near the Galactic center and be detectable by LISA [56].
5. Can DM Dynamical Friction Be Identified by GW Detectors?
We have shown that gravitational interactions between the binary components and the DM background can affect the orbital dynamics. Can this effect, apparently tiny, affect the gravitational waveform and be identified by a GW detector?
We can have a glimpse of the answer by estimating the accuracy with which a GW detector measures the orbital period change rate, , say , at a given GW frequency at the detector, . For the matched-filtering method, it can be estimated as [57]
where is the signal-to-noise ratio (SNR) accumulated in the observing time, , i.e., the time interval of observation of the source by the detector. For a quasi-monochromatic source within the sensitivity band, the determination is limited by the observational campaign duration. In what follows, we use yr or 4 yr as the reference for LISA expectations. During the observing time , the binaries we are interested in can be considered as quasi-monochromatic sources, so the SNR can be estimated as [58]
where is the sensitivity curve of the detector. As discussed in [58], the sensitivity does not necessarily coincide with the noise power spectral density, . For Earth-based detectors such as LIGO-Virgo-KAGRA, they coincide, but for space-based detectors, they are related by where is the sky and polarization averaged signal response function of the detector. Equation (9) is obtained after averaging over the binary inclination angle.), and is the reduced characteristic amplitude [59]
with d the distance to the source (from the detector). Figure 4 shows given by Equation (10) for the NS-NS, NS-WD, and WD-WD prototypes used in this work, compared to of LISA and TianQin.
Figure 4.
Reduced characteristic amplitude for the NS-NS, NS-WD, and WD-WD prototypes used in this work, shown in Table 1. The noise amplitude spectral density of LISA curves is shown as purple continuous lines, for three different geometrical arrangements of the interferometer [60]. The amplitude spectral density of the TianQin project detector is shown as a black continuous curve.
At a given GW frequency, the detector can measure with an error given by . Thus, the detector will be able to distinguish the effect of the DM dynamical friction if , where . For example, let us examine one of the LISA verification binaries, the WD-WD binary J0651+2844. Equation (9) tells that this system will be detected with an SNR in yr, increasing to for yr. Using Equation (8), we obtain nHz for yr, and nHz for yr. The change in GW frequency from the GW emission is nHz , which is larger than , so it is measurable and explains why this system belongs to the group of verification binaries. However, as Figure 5 shows, the location and short orbital period of this system lead to a very tiny DM dynamical friction contribution to (and so to ) relative to that of GWs (about 14 orders of magnitude smaller). Indeed, nHz , so it is undetectable. With the above , some electromagnetic effects could instead be detected in this binary (see, e.g., [21]).
Figure 5.
for the prototypical NS-NS (J0737-3039 like, top row), NS-WD (J0348+0432 like, middle row), and WD-WD (J0651+2844 like, bottom row), as a function of the location in the Galaxy. The binary parameters of J0737-3039, J0348+0432, and J0651+2844, including the value of , are given in Table 1. The black-dotted horizontal line shows the ratio equal to unity, so the cut of the curves with that line marks the distance to the source (from the Galactic center) up to which we expect the DM dynamical friction contribution in these systems to be measurable by LISA.
The DM density increases at distances pc from the Galactic center (see Figure 1), so does the DM dynamical friction (see Figure 3). Thus, where should a system like J0651+2844 be located for the DM dynamical friction contribution to become measurable? Figure 5 shows assuming the same binary parameters of J0737–3039, J0348+0432, and J0651+2844, but placing it at different locations in the Galaxy. We find that, for DM fermions of keV , the DM dynamical friction in a J0651+2844-like system would be detectable at mpc, and for keV , at mpc. Therefore, the effect of the DM dynamical friction on the binary dynamics could be detectable within the first mpc from the Galactic center. Figure 3 and Figure 5 show that the DM wind value does not produce an appreciable effect on the absolute value of the orbital period change rate, but can produce a flip in the sign of , from negative to positive (from smaller to larger radii, seen as a dip of the curve of |), marking a change from decay to widening.
6. Discussion and Conclusions
We have discussed the contribution of the DM dynamical friction exerted on the orbital dynamics of typical NS-NS, NS-WD, and WD-WD binaries, assuming the DM particle is a neutral, massive fermion. The density distribution of the DM fermions in the Galaxy is given by the solution of the general relativistic equilibrium equations of the RAR model (see Section 3). We have quantified the contribution of this effect to the orbital period secular variation, , using the NS-NS, NS-WD, and WD-WD binaries J0737-3039, J0348+0432, and J0651+2844, respectively, as prototypes (see Table 1 for the binary parameters).
To assess the effect of the DM density variation, we have evaluated , locating the above binaries throughout the Galaxy (see Figure 3 in Section 4). We have shown that is several orders of magnitude smaller than in the Galaxy outskirts, where the DM density is very low. However, DM friction becomes comparable to, and even dominant over, the GW contribution in the inner regions near the Galactic center, e.g., at mpc scales. The enhancement of the orbital decay due to the DM friction implies that binaries in that region could merge on a shorter timescale than the one inferred assuming the orbital dynamics are solely driven by GW emission. The dynamical friction is a tiny effect that can become relevant as it accumulates. Therefore, the larger the orbit size, the longer the time the object is subjected to it during its orbit, which implies that the contribution of dynamical friction decreases for shorter binary periods, so GWs could again dominate the orbital shrinkage near merger. For a binary in the same region, we have shown that space-based GW detectors, such as LISA and TianQin, could distinguish the DM friction contribution to the orbital dynamics (see Figure 5 in Section 5).
Our aim has been to evaluate the effect of DM friction on orbital dynamics, so we have limited our analysis to detached binaries. However, it is worth recalling that additional phenomena also affect the rate of change in the orbital period. A common effect in binaries with ordinary star components is the mass loss by stellar winds, electromagnetic radiation, or accretion. A change in mass in the system would produce a change in the orbital period of the type ; thus, mass loss increases the orbital period (orbital widening), and mass accretion decreases it (orbital decay). In our case of binaries composed of compact stars, the mass loss by winds is unlikely, while accretion onto the primary could occur via Roche lobe overflow for short orbital periods of about ∼1 h leading to ultra-compact X-ray binaries or AM Canum Venaticorum systems (see, e.g., [61,62]). The effect of electromagnetic radiation from magnetic braking is currently being considered in relativistic binaries such as the double pulsar J0737-3039 (see, e.g., [4]), where it is about three orders of magnitude smaller than . Interactions between the binary components’ electromagnetic fields can also influence the orbital dynamics, and it has been quantified for WD-WD binaries (see Ref. [21], and references therein). Clearly, the larger the magnetic fields involved, the larger the effect. The possibility of DM particle accretion onto the binary components remains, leading to orbital shrinkage. The assessment of the importance of this effect, however, relies on the unknown cross-section between DM and baryonic matter inside the stars (see, e.g., Ref. [63]). Thus, to maintain generality in our conclusions regarding the effect of DM friction, we have not included these effects in our analysis, although they remain an interesting topic for future studies.
Therefore, the orbital dynamics of compact-star binaries can be affected by several physical effects of either gravitational or electromagnetic nature. The advent of advanced earth- and ground-based facilities in the electromagnetic and GW domains, with increasing accuracy, will enable precise determination of the relative contributions of these effects. Gathering this information will lead not only to orbital parameters but also to compact-star parameters, such as gravitational masses and corresponding radii, as well as magnetic fields and rotation, thereby producing relevant constraints on the equation of state of nuclear matter at supranuclear densities. In the specific case of the DM dynamical friction, the possible discovery of binaries (composed of compact stars but not limited to) near the Galactic center will offer, in addition, an unprecedented possibility of constraining the DM nature and its interaction with compact stars.
Author Contributions
Conceptualization, J.A.R.; Methodology, C.R.A., V.C., J.F.R.-R. and J.A.R.; Validation, C.R.A., V.C., J.F.R.-R. and J.A.R.; Formal analysis, V.C., J.F.R.-R. and J.A.R.; Investigation, C.R.A., V.C., J.F.R.-R. and J.A.R.; Writing—original draft, J.A.R.; Writing—review & editing, C.R.A., V.C., J.F.R.-R. and J.A.R.; Visualization, C.R.A., J.F.R.-R. and J.A.R.; Supervision, J.A.R.; Project administration, J.A.R. All authors have read and agreed to the published version of the manuscript.
Funding
C. R. A. thanks the financial support from CONICET, Argentina; Universidad Nacional de La Plata (UNLP) through funding support grant PPID 2025 (code: 80120240400033LP), and ICRANet, Italy.
Data Availability Statement
The original contributions presented in this study are included in the article. Further inquiries can be directed to the corresponding author.
Conflicts of Interest
The authors declare no conflicts of interest.
References
- Freire, P.C.C.; Wex, N. Gravity experiments with radio pulsars. Living Rev. Relativ. 2024, 27, 5. [Google Scholar] [CrossRef]
- Burgay, M.; D’Amico, N.; Possenti, A.; Manchester, R.N.; Lyne, A.G.; Joshi, B.C.; McLaughlin, M.A.; Kramer, M.; Sarkissian, J.M.; Camilo, F.; et al. An increased estimate of the merger rate of double neutron stars from observations of a highly relativistic system. Nature 2003, 426, 531–533. [Google Scholar] [CrossRef]
- Lyne, A.G.; Burgay, M.; Kramer, M.; Possenti, A.; Manchester, R.N.; Camilo, F.; McLaughlin, M.A.; Lorimer, D.R.; D’Amico, N.; Joshi, B.C.; et al. A Double-Pulsar System: A Rare Laboratory for Relativistic Gravity and Plasma Physics. Science 2004, 303, 1153–1157. [Google Scholar] [CrossRef]
- Kramer, M.; Stairs, I.H.; Manchester, R.N.; Wex, N.; Deller, A.T.; Coles, W.A.; Ali, M.; Burgay, M.; Camilo, F.; Cognard, I.; et al. Strong-Field Gravity Tests with the Double Pulsar. Phys. Rev. X 2021, 11, 041050. [Google Scholar] [CrossRef]
- Meng, L.; Freire, P.C.C.; Stovall, K.; Wex, N.; Miao, X.; Zhu, W.; Kramer, M.; Cordes, J.M.; Hu, H.; Jiang, J.; et al. The double neutron star PSR J1946+2052: I. Masses and tests of general relativity. Astron. Astrophys. 2025, 704, A153. [Google Scholar] [CrossRef]
- Hulse, R.A.; Taylor, J.H. Discovery of a pulsar in a binary system. Astrophys. J. Lett. 1975, 195, L51–L53. [Google Scholar] [CrossRef]
- Taylor, J.H.; Weisberg, J.M. A new test of general relativity–Gravitational radiation and the binary pulsar PSR 1913+16. Astrophys. J. 1982, 253, 908–920. [Google Scholar] [CrossRef]
- Taylor, J.H.; Weisberg, J.M. Further Experimental Tests of Relativistic Gravity Using the Binary Pulsar PSR 1913+16. Astrophys. J. 1989, 345, 434. [Google Scholar] [CrossRef]
- Peters, P.C.; Mathews, J. Gravitational Radiation from Point Masses in a Keplerian Orbit. Phys. Rev. 1963, 131, 435–440. [Google Scholar] [CrossRef]
- Peters, P.C. Gravitational Radiation and the Motion of Two Point Masses. Phys. Rev. 1964, 136, 1224–1232. [Google Scholar] [CrossRef]
- Rees, M.; Ruffini, R.; Wheeler, J.A. Black Holes, Gravitational Waves, and Cosmology: An Introduction to Current Research; Gordon and Breach: New York, NY, USA, 1974. [Google Scholar]
- Landau, L.D.; Lifshitz, E.M. The Classical Theory of Fields; Pergamon Press: Oxford, UK, 1975. [Google Scholar]
- Chisabi, M.; Andrianomena, S.; Enwelum, U.; Gasennelwe, E.G.; Idris, A.; Idogbe, E.A.; Shilunga, S.; Geyer, M.; Reardon, D.J.; Okany, C.F.; et al. Timing and noise analysis of five millisecond pulsars observed with MeerKAT. Mon. Not. R. Astron. Soc. 2025, 537, 2462–2470. [Google Scholar] [CrossRef]
- Zhao, D.; Wang, N.; Yuan, J.P.; Li, D.; Wang, P.; Xue, M.Y.; Zhu, W.W.; Miao, C.C.; Yan, W.M.; Wang, J.B.; et al. A Relativistic Double Neutron Star Binary PSR J1846-0513. Astrophys. J. Lett. 2024, 964, L7. [Google Scholar] [CrossRef]
- Braun, R.; Bourke, T.; Green, J.A.; Keane, E.; Wagg, J. Advancing Astrophysics with the Square Kilometre Array. In Proceedings of the Advancing Astrophysics with the Square Kilometre Array (AASKA14), Giardini Naxos, Italy, 9–13 June 2014; p. 174. [Google Scholar] [CrossRef]
- Keane, E.F. Pulsar Science with the SKA. In Proceedings of the Pulsar Astrophysics the Next Fifty Years; Weltevrede, P., Perera, B.B.P., Preston, L.L., Sanidas, S., Eds.; IAU Symposium; Cambridge University Press: Cambridge, UK, 2018; Volume 337, pp. 158–164. [Google Scholar] [CrossRef]
- Abbate, F.; Carleo, A.; Chatterjee, S.; Cordes, J.; Demorest, P.; Desvignes, G.; Eatough, R.; Hackmann, E.; Hu, Z.; Kramer, M.; et al. Galactic Centre Pulsars with the SKAO. Open J. Astrophys. 2025, 8, 54252. [Google Scholar] [CrossRef]
- Amaro-Seoane, P.; Audley, H.; Babak, S.; Baker, J.; Barausse, E.; Bender, P.; Berti, E.; Binetruy, P.; Born, M.; Bortoluzzi, D.; et al. Laser Interferometer Space Antenna. arXiv 2017, arXiv:1702.00786. [Google Scholar] [CrossRef]
- Luo, J.; Chen, L.S.; Duan, H.Z.; Gong, Y.G.; Hu, S.; Ji, J.; Liu, Q.; Mei, J.; Milyukov, V.; Sazhin, M.; et al. TianQin: A space-borne gravitational wave detector. Class. Quantum Gravity 2016, 33, 035010. [Google Scholar] [CrossRef]
- Ruan, W.H.; Liu, C.; Guo, Z.K.; Wu, Y.L.; Cai, R.G. The LISA-Taiji network. Nat. Astron. 2020, 4, 108–109. [Google Scholar] [CrossRef]
- Carvalho, G.A.; Anjos, R.C.d.; Coelho, J.G.; Lobato, R.V.; Malheiro, M.; Marinho, R.M.; Rodriguez, J.F.; Rueda, J.A.; Ruffini, R. Orbital Decay of Double White Dwarfs: Beyond Gravitational-wave Radiation Effects. Astrophys. J. 2022, 940, 90. [Google Scholar] [CrossRef]
- Henry, Q.; Larrouturou, F.; Le Poncin-Lafitte, C. Electromagnetic fields in compact binaries: A post-Newtonian approach. Phys. Rev. D 2023, 108, 024020. [Google Scholar] [CrossRef]
- Henry, Q.; Larrouturou, F.; Le Poncin-Lafitte, C. Electromagnetic fields in compact binaries: Post–Newtonian wave generation and application to double white dwarfs systems. Phys. Rev. D 2024, 109, 084048. [Google Scholar] [CrossRef]
- Tang, R.; Zhong, X.; Jiang, Y.; Shen, P.; Wang, Y. Prospect of Detecting Magnetic Fields from Strong-magnetized Binary Neutron Stars. Res. Astron. Astrophys. 2024, 24, 115002. [Google Scholar] [CrossRef]
- Cirelli, M.; Strumia, A.; Zupan, J. Dark Matter. arXiv 2024, arXiv:2406.01705. [Google Scholar] [CrossRef]
- Chandrasekhar, S. Dynamical Friction. I. General Considerations: The Coefficient of Dynamical Friction. Astrophys. J. 1943, 97, 255. [Google Scholar] [CrossRef]
- Pani, P. Binary pulsars as dark-matter probes. Phys. Rev. D 2015, 92, 123530. [Google Scholar] [CrossRef]
- Argüelles, C.R.; Becerra-Vergara, E.A.; Rueda, J.A.; Ruffini, R. Fermionic Dark Matter: Physics, Astrophysics, and Cosmology. Universe 2023, 9, 197. [Google Scholar] [CrossRef]
- Shakeri, S.; Hajkarim, F.; Xue, S.S. Shedding new light on sterile neutrinos from XENON1T experiment. J. High Energy Phys. 2020, 2020, 194. [Google Scholar] [CrossRef] [PubMed]
- Dror, J.A.; Elor, G.; McGehee, R. Directly Detecting Signals from Absorption of Fermionic Dark Matter. Phys. Rev. Lett. 2020, 124, 181301. [Google Scholar] [CrossRef]
- Zhang, D.; Abdukerim, A.; Bo, Z.; Chen, W.; Chen, X.; Chen, Y.; Cheng, C.; Cheng, Z.; Cui, X.; Fan, Y.; et al. Search for Light Fermionic Dark Matter Absorption on Electrons in PandaX-4T. Phys. Rev. Lett. 2022, 129, 161804. [Google Scholar] [CrossRef]
- PandaX Collaboration; Xuyang, N.; Abdukerim, A.; Bo, Z.; Cui, X.; Chen, W.; Chen, X.; Cheng, C.; Cheng, Z.; Fan, Y.; et al. Limits on the luminance of dark matter from xenon recoil data. Nature 2023, 618, 47–50. [Google Scholar] [CrossRef]
- Ruffini, R.; Argüelles, C.R.; Rueda, J.A. On the core-halo distribution of dark matter in galaxies. Mon. Not. R. Astron. Soc. 2015, 451, 622–628. [Google Scholar] [CrossRef]
- Argüelles, C.R.; Krut, A.; Rueda, J.A.; Ruffini, R. Novel constraints on fermionic dark matter from galactic observables I: The Milky Way. Phys. Dark Universe 2018, 21, 82. [Google Scholar] [CrossRef]
- Becerra-Vergara, E.A.; Argüelles, C.R.; Krut, A.; Rueda, J.A.; Ruffini, R. Geodesic motion of S2 and G2 as a test of the fermionic dark matter nature of our Galactic core. Astron. Astrophys. 2020, 641, A34. [Google Scholar] [CrossRef]
- Crespi, V.; Argüelles, C.R.; Becerra-Vergara, E.A.; Mestre, M.F.; Peißker, F.; Rueda, J.A.; Ruffini, R. The dynamics of S-stars and G-sources orbiting a supermassive compact object made of fermionic dark matter. Mon. Not. R. Astron. Soc. 2026, 546, staf1854. [Google Scholar] [CrossRef]
- Gómez, L.G.; Rueda, J.A. Dark matter dynamical friction versus gravitational wave emission in the evolution of compact-star binaries. Phys. Rev. D 2017, 96, 063001. [Google Scholar] [CrossRef]
- Binney, J.; Tremaine, S. Galactic Dynamics: Second Edition; Princeton University Press: Princeton, NJ, USA, 2008. [Google Scholar]
- Bekenstein, J.D.; Zamir, R. Dynamical friction in binary systems. Astrophys. J. 1990, 359, 427–437. [Google Scholar] [CrossRef]
- Chavanis, P.H. On the ‘coarse-grained’ evolution of collisionless stellar systems. Mon. Not. R. Astron. Soc. 1998, 300, 981–991. [Google Scholar] [CrossRef]
- Krut, A.; Argüelles, C.R.; Chavanis, P.H. Thermodynamics of self-gravitating fermions as a robust theory for dark matter halos: Stability analysis applied to the Milky Way. arXiv 2025, arXiv:2503.10870. [Google Scholar] [CrossRef]
- Krut, A.; Argüelles, C.R.; Chavanis, P.H.; Rueda, J.A.; Ruffini, R. Galaxy Rotation Curves and Universal Scaling Relations: Comparison between Phenomenological and Fermionic Dark Matter Profiles. Astrophys. J. 2023, 945, 1. [Google Scholar] [CrossRef]
- Becerra-Vergara, E.A.; Argüelles, C.R.; Krut, A.; Rueda, J.A.; Ruffini, R. Hinting a dark matter nature of Sgr A* via the S-stars. Mon. Not. R. Astron. Soc. 2021, 505, L64–L68. [Google Scholar] [CrossRef]
- Argüelles, C.R.; Mestre, M.F.; Becerra-Vergara, E.A.; Crespi, V.; Krut, A.; Rueda, J.A.; Ruffini, R. What does lie at the Milky Way centre? Insights from the S2-star orbit precession. Mon. Not. R. Astron. Soc. 2022, 511, L35–L39. [Google Scholar] [CrossRef]
- Pelle, J.; Argüelles, C.R.; Vieyro, F.L.; Crespi, V.; Millauro, C.; Mestre, M.F.; Reula, O.; Carrasco, F. Imaging fermionic dark matter cores at the centre of galaxies. Mon. Not. R. Astron. Soc. 2024, 534, 1217–1226. [Google Scholar] [CrossRef]
- Argüelles, C.R.; Díaz, M.I.; Krut, A.; Yunis, R. On the formation and stability of fermionic dark matter haloes in a cosmological framework. Mon. Not. R. Astron. Soc. 2021, 502, 4227–4246. [Google Scholar] [CrossRef]
- Argüelles, C.R.; Rueda, J.A.; Ruffini, R. Baryon-induced Collapse of Dark Matter Cores into Supermassive Black Holes. Astrophys. J. Lett. 2024, 961, L10. [Google Scholar] [CrossRef]
- Ruffini, R.; Vereshchagin, G. Role of the neutral X-fermion in describing the dark matter of the universe. Eur. Phys. J. C 2025, 85, 753. [Google Scholar] [CrossRef]
- Wang, Y.; Ruffini, R. Growth of high-redshift quasars from fermion dark matter seeds. J. High Energy Astrophys. 2026, 52, 100576. [Google Scholar] [CrossRef]
- Jiao, Y.; Hammer, F.; Wang, H.; Wang, J.; Amram, P.; Chemin, L.; Yang, Y. Detection of the Keplerian decline in the Milky Way rotation curve. Astron. Astrophys. 2023, 678, A208. [Google Scholar] [CrossRef]
- Do, T.; Hees, A.; Ghez, A.; Martinez, G.D.; Chu, D.S.; Jia, S.; Sakai, S.; Lu, J.R.; Gautam, A.K.; O’Neil, K.K.; et al. Relativistic redshift of the star S0-2 orbiting the Galactic Center supermassive black hole. Science 2019, 365, 664–668. [Google Scholar] [CrossRef]
- Peißker, F.; Hosseini, S.E.; Zajaček, M.; Eckart, A.; Saalfeld, R.; Valencia-S., M.; Parsa, M.; Karas, V. Monitoring dusty sources in the vicinity of Sagittarius A*. Astron. Astrophys. 2020, 634, A35. [Google Scholar] [CrossRef]
- Ciurlo, A.; Campbell, R.D.; Morris, M.R.; Do, T.; Ghez, A.M.; Hees, A.; Sitarski, B.N.; Kosmo O’Neil, K.; Chu, D.S.; Martinez, G.D.; et al. A population of dust-enshrouded objects orbiting the Galactic black hole. Nature 2020, 577, 337–340. [Google Scholar] [CrossRef]
- Antoniadis, J.; Freire, P.C.; Wex, N.; Tauris, T.M.; Lynch, R.S.; Van Kerkwijk, M.H.; Kramer, M.; Bassa, C.; Dhillon, V.S.; Kramer, M.; et al. A Massive Pulsar in a Compact Relativistic Binary. Science 2013, 340, 6131. [Google Scholar] [CrossRef] [PubMed]
- Hermes, J.J.; Kilic, M.; Brown, W.R.; Winget, D.E.; Allende Prieto, C.; Gianninas, A.; Mukadam, A.S.; Cabrera-Lavers, A.; Kenyon, S.J. Rapid Orbital Decay in the 12.75-minute Binary White Dwarf J0651+2844. Astrophys. J. Lett. 2012, 757, L21. [Google Scholar] [CrossRef]
- Wang, H.; Stephan, A.P.; Naoz, S.; Hoang, B.M.; Breivik, K. Gravitational-wave Signatures from Compact Object Binaries in the Galactic Center. Astrophys. J. 2021, 917, 76. [Google Scholar] [CrossRef]
- Takahashi, R.; Seto, N. Parameter Estimation for Galactic Binaries by the Laser Interferometer Space Antenna. Astrophys. J. 2002, 575, 1030–1036. [Google Scholar] [CrossRef]
- Robson, T.; Cornish, N.J.; Liu, C. The construction and use of LISA sensitivity curves. Class. Quant. Grav. 2019, 36, 105011. [Google Scholar] [CrossRef]
- Flanagan, É.É.; Hughes, S.A. Measuring gravitational waves from binary black hole coalescences. I. Signal to noise for inspiral, merger, and ringdown. Phys. Rev. D 1998, 57, 4535–4565. [Google Scholar] [CrossRef]
- Klein, A.; Barausse, E.; Sesana, A.; Petiteau, A.; Berti, E.; Babak, S.; Gair, J.; Aoudia, S.; Hinder, I.; Ohme, F.; et al. Science with the space-based interferometer eLISA: Supermassive black hole binaries. Phys. Rev. D 2016, 93, 024003. [Google Scholar] [CrossRef]
- Tauris, T.M. Disentangling Coalescing Neutron-Star-White-Dwarf Binaries for LISA. Phys. Rev. Lett. 2018, 121, 131105. [Google Scholar] [CrossRef] [PubMed]
- Chen, W.C.; Liu, D.D.; Wang, B. Detectability of Ultra-compact X-Ray Binaries as LISA Sources. Astrophys. J. Lett. 2020, 900, L8. [Google Scholar] [CrossRef]
- Macedo, C.F.B.; Pani, P.; Cardoso, V.; Crispino, L.C.B. Into the Lair: Gravitational-wave Signatures of Dark Matter. Astrophys. J. 2013, 774, 48. [Google Scholar] [CrossRef]
Disclaimer/Publisher’s Note: The statements, opinions and data contained in all publications are solely those of the individual author(s) and contributor(s) and not of MDPI and/or the editor(s). MDPI and/or the editor(s) disclaim responsibility for any injury to people or property resulting from any ideas, methods, instructions or products referred to in the content. |
© 2026 by the authors. Licensee MDPI, Basel, Switzerland. This article is an open access article distributed under the terms and conditions of the Creative Commons Attribution (CC BY) license.




