Sign in to use this feature.

Years

Between: -

Subjects

remove_circle_outline
remove_circle_outline
remove_circle_outline
remove_circle_outline
remove_circle_outline
remove_circle_outline
remove_circle_outline
remove_circle_outline
remove_circle_outline

Journals

Article Types

Countries / Regions

Search Results (38)

Search Parameters:
Keywords = extremely randomized trees (ERT)

Order results
Result details
Results per page
Select all
Export citation of selected articles as:
28 pages, 6038 KB  
Article
Dynamic Blast Response Prediction of Assembled Structures Based on Machine Learning
by Xiaoyu Hu, Tao Wang, Shaobo Qi, Yuxian Bing, Xingyu Shen, Ke Yan and Mengqi Yuan
Buildings 2026, 16(5), 1009; https://doi.org/10.3390/buildings16051009 - 4 Mar 2026
Viewed by 420
Abstract
This study proposed an innovative assembled blast-resistant composite structure integrating ultra-high performance concrete plates and ceramic foam layers, designed to enhance blast protection for a power valve hall hole blocking system. Based on the full-scale blast test and numerical simulation, the dynamic response [...] Read more.
This study proposed an innovative assembled blast-resistant composite structure integrating ultra-high performance concrete plates and ceramic foam layers, designed to enhance blast protection for a power valve hall hole blocking system. Based on the full-scale blast test and numerical simulation, the dynamic response of the structure under blast load was revealed. The parametric studies showed that when the thickness of the UHPC ribbed plate was increased from 30 mm to 40 mm, the maximum displacement at the edge of the hole was reduced by 60.9%. However, a further increase in thickness to 50 mm led to an increase in the inertia effect due to the high stiffness, resulting in a reduction in the maximum displacement value by only 8.61%. In addition, a machine learning framework combining generative adversarial networks (GANs) and Extremely Randomized Trees (ERT) model was constructed to predict the maximum displacement of the structure under blast loading. Furthermore, interpretability analysis by the (SHapley Additive exPlanations) SHAP algorithm verified the consistency of the decision logic of the ERT model with the physical mechanism of the explosion. This study established a full-chain design framework of structural design, mechanism research and intelligent prediction, which provided theoretical support and an intelligent tool system for protection engineering. Full article
(This article belongs to the Special Issue Dynamic Response of Structures)
Show Figures

Figure 1

17 pages, 7402 KB  
Article
Digital Mapping of Soil pH Using Tree-Based Models Coupled with Residual Kriging
by Yanyan Tian, Suyang Cao, Pei Sun, Quanguo Kang, Shaohua Liu, Xinao Zheng, Lifei Wei and Qikai Lu
Land 2026, 15(3), 365; https://doi.org/10.3390/land15030365 - 25 Feb 2026
Viewed by 478
Abstract
Soil pH is a critical soil property governing nutrient availability and ecosystem functioning. Digital mapping of its spatial distribution is essential for precision agriculture and sustainable land management. This study performs a comparative analysis of six tree-based models coupled with residual kriging (RK) [...] Read more.
Soil pH is a critical soil property governing nutrient availability and ecosystem functioning. Digital mapping of its spatial distribution is essential for precision agriculture and sustainable land management. This study performs a comparative analysis of six tree-based models coupled with residual kriging (RK) for 30 m resolution mapping of soil pH in Shayang County, China. Specifically, random forest (RF), extremely randomized trees (ERT), gradient boosting decision tree (GBDT), extreme gradient boosting (XGBoost), light gradient boosting machine (LightGBM), and categorical boosting (CatBoost) were used. Based on 1343 soil samples and 32 environmental variables, experimental results demonstrate that the integration of RK enhanced the prediction accuracy of all standalone models by taking the spatial dependence of residuals into account. Among the models, CatBoost-RK achieved the best performance with an R2 of 0.7265, RMSE of 0.5072, and RPD of 1.9122, closely followed by ERT-RK and RF-RK. The analysis of variable importance identified soil type (ST) and mean annual precipitation (MAP) as the most critical factors affecting soil pH distribution. The generated 30 m resolution soil pH map reveals distinct patterns across different land use types, with croplands showing lower soil pH and grasslands exhibiting higher pH with greater variability. These findings confirm the effectiveness of the hybrid ML-RK framework and provide valuable insights for selecting optimal modeling strategies in digital soil mapping. Full article
(This article belongs to the Special Issue Digital Soil Mapping for Soil Health Monitoring in Agricultural Lands)
Show Figures

Figure 1

19 pages, 3887 KB  
Article
RELoc: An Enhanced 3D WiFi Fingerprinting Indoor Localization Algorithm with RFECV Feature Selection
by Shehu Lukman Ayinla, Azrina Abd Aziz, Micheal Drieberg, Misfa Susanto and Anis Laouiti
Sensors 2026, 26(1), 326; https://doi.org/10.3390/s26010326 - 4 Jan 2026
Viewed by 837
Abstract
The use of Artificial Intelligence (AI) algorithms has enhanced WiFi fingerprinting-based indoor localization. However, most existing approaches are limited to 2D coordinate estimation, which leads to significant performance declines in multi-floor environments due to vertical ambiguity and inadequate spatial modeling. This limitation reduces [...] Read more.
The use of Artificial Intelligence (AI) algorithms has enhanced WiFi fingerprinting-based indoor localization. However, most existing approaches are limited to 2D coordinate estimation, which leads to significant performance declines in multi-floor environments due to vertical ambiguity and inadequate spatial modeling. This limitation reduces reliability in real-world applications where accurate indoor localization is essential. This study proposes RELoc, a new 3D indoor localization framework that integrates Recursive Feature Elimination with Cross-Validation (RFECV) for optimal Access Point (AP) selection and Extremely Randomized Trees (ERT) for precise 2D and 3D coordinate regression. The ERT hyperparameters are optimized using Bayesian optimization with Optuna’s Tree-structured Parzen Estimator (TPE) to ensure robust, stable, and accurate localization. Extensive evaluation on the SODIndoorLoc and UTSIndoorLoc datasets demonstrates that RELoc delivers superior performance in both 2D and 3D indoor localization. Specifically, RELoc achieves Mean Absolute Errors (MAEs) of 1.84 m and 4.39 m for 2D coordinate prediction on SODIndoorLoc and UTSIndoorLoc, respectively. When floor information is incorporated, RELoc improves by 33.15% and 26.88% over the 2D version on these datasets. Furthermore, RELoc outperforms state-of-the-art methods by 7.52% over Graph Neural Network (GNN) and 12.77% over Deep Neural Network (DNN) on SODIndoorLoc and 40.22% over Extra Tree (ET) on UTSIndoorLoc, showing consistent improvements across various indoor environments. This enhancement emphasizes the critical role of 3D modeling in achieving robust and spatially discriminative indoor localization. Full article
(This article belongs to the Special Issue Indoor Localization Techniques Based on Wireless Communication)
Show Figures

Figure 1

30 pages, 401 KB  
Systematic Review
Explainable Artificial Intelligence and Machine Learning for Air Pollution Risk Assessment and Respiratory Health Outcomes: A Systematic Review
by Israel Edem Agbehadji and Ibidun Christiana Obagbuwa
Atmosphere 2025, 16(10), 1154; https://doi.org/10.3390/atmos16101154 - 1 Oct 2025
Cited by 2 | Viewed by 3783
Abstract
Air pollution is a leading environmental risk that causes respiratory morbidity and mortality. The increasing availability of high-resolution environmental data and air pollution-related health cases have accelerated the use of machine learning models (ML) to estimate environmental exposure–response relationships, forecast health risks and [...] Read more.
Air pollution is a leading environmental risk that causes respiratory morbidity and mortality. The increasing availability of high-resolution environmental data and air pollution-related health cases have accelerated the use of machine learning models (ML) to estimate environmental exposure–response relationships, forecast health risks and call for the needed policy and practical interventions. Unfortunately, ML models are opaque, in a sense that, it is unclear how these models combine various data inputs to make a concise decision. Thus, limiting its trust and use in clinical matters. Explainable artificial intelligence (xAI) models offer the necessary techniques to ensure transparent and interpretable models. This systematic review explores online data repositories through the lens of the Preferred Reporting Items for Systematic Reviews and Meta-Analyses (PRISMA) guideline to synthesize articles from 2020 to 2025. Various inclusion and exclusion criteria were established to narrow the search to a final selection of 92 articles, which were thoroughly reviewed by independent researchers to reduce bias in article assessment. Equally, the ROBINS-I (Risk Of Bias In Non-randomized Studies of Interventions) domain strategy was helpful in further reducing any possible risk in the article assessment and its reproducibility. The findings reveal a growing adoption of ML techniques such as random forests, XGBoost, parallel lightweight diagnosis models and deep neural networks for health risk prediction, with SHAP (SHapley Additive exPlanations) emerging as the dominant technique for these models’ interpretability. The extremely randomized tree (ERT) technique demonstrated optimal performance but lacks explainability. Moreover, the limitations of these models include generalizability, data limitations and policy translation. This review’s outcome suggests limited research on the integration of LIME (Local Interpretable Model-Agnostic Explanations) in the current ML model; it recommends that future research could focus on causal-xAI-ML models. Again, the use of such models in respiratory health issues may be complemented with a medical professional’s opinion. Full article
(This article belongs to the Section Air Quality and Health)
Show Figures

Figure 1

19 pages, 3475 KB  
Article
Tree-Based Surrogate Model for Predicting Aerodynamic Coefficients of Iced Transmission Conductor Lines
by Guoliang Ye, Zhiguo Li, Anjun Wang, Zhiyi Liu, Ruomei Tang and Guizao Huang
Infrastructures 2025, 10(9), 243; https://doi.org/10.3390/infrastructures10090243 - 15 Sep 2025
Cited by 1 | Viewed by 858
Abstract
Ultra-high-voltage (UHV) transmission lines are prone to galloping and oscillations under ice and wind loads, posing risks to system reliability and safety. Accurate aerodynamic coefficients are essential for evaluating these effects, but conventional wind tunnel and CFD methods are costly and inefficient for [...] Read more.
Ultra-high-voltage (UHV) transmission lines are prone to galloping and oscillations under ice and wind loads, posing risks to system reliability and safety. Accurate aerodynamic coefficients are essential for evaluating these effects, but conventional wind tunnel and CFD methods are costly and inefficient for practical applications. To address these challenges, this study develops a surrogate model for rapid and accurate prediction of aerodynamic coefficients for six-bundle conductors. Initially, a CFD model to calculate the aerodynamic coefficients of six-bundle conductors was proposed and validated against wind tunnel experimental results. Subsequently, Latin hypercube sampling (LHS) was employed to generate datasets covering wind speed, icing shape, icing thickness, and wind attack angle. High-throughput numerical simulations established a comprehensive aerodynamic database used to train and validate multiple tree-based surrogate models, including decision tree (DT), random forest (RF), extremely randomized trees (ERTs), gradient boosted decision tree (GBDT), and extreme gradient boosting (XGBoost). Comparative analysis revealed that the XGBoost-based model achieved the highest prediction accuracy, with an R2 of 0.855 and superior generalization performance. Feature importance analysis further highlighted wind speed and icing shape as the dominant influencing factors. The results confirmed the XGBoost surrogate as the most effective among the tested models, providing a fast and reliable tool for aerodynamic prediction, vibration risk assessment, and structural optimization in UHV transmission systems. Full article
(This article belongs to the Section Infrastructures and Structural Engineering)
Show Figures

Figure 1

35 pages, 3218 KB  
Article
Integrated GBR–NSGA-II Optimization Framework for Sustainable Utilization of Steel Slag in Road Base Layers
by Merve Akbas
Appl. Sci. 2025, 15(15), 8516; https://doi.org/10.3390/app15158516 - 31 Jul 2025
Cited by 1 | Viewed by 1427
Abstract
This study proposes an integrated, machine learning-based multi-objective optimization framework to evaluate and optimize the utilization of steel slag in road base layers, simultaneously addressing economic costs and environmental impacts. A comprehensive dataset of 482 scenarios was engineered based on literature-informed parameters, encompassing [...] Read more.
This study proposes an integrated, machine learning-based multi-objective optimization framework to evaluate and optimize the utilization of steel slag in road base layers, simultaneously addressing economic costs and environmental impacts. A comprehensive dataset of 482 scenarios was engineered based on literature-informed parameters, encompassing transport distance, processing energy intensity, initial moisture content, gradation adjustments, and regional electricity emission factors. Four advanced tree-based ensemble regression algorithms—Random Forest Regressor (RFR), Extremely Randomized Trees (ERTs), Gradient Boosted Regressor (GBR), and Extreme Gradient Boosting Regressor (XGBR)—were rigorously evaluated. Among these, GBR demonstrated superior predictive performance (R2 > 0.95, RMSE < 7.5), effectively capturing complex nonlinear interactions inherent in slag processing and logistics operations. Feature importance analysis via SHapley Additive exPlanations (SHAP) provided interpretative insights, highlighting transport distance and energy intensity as dominant factors affecting unit cost, while moisture content and grid emission factor predominantly influenced CO2 emissions. Subsequently, the Gradient Boosted Regressor model was integrated into a Non-Dominated Sorting Genetic Algorithm II (NSGA-II) framework to explore optimal trade-offs between cost and emissions. The resulting Pareto front revealed a diverse solution space, with significant nonlinear trade-offs between economic efficiency and environmental performance, clearly identifying strategic inflection points. To facilitate actionable decision-making, the Technique for Order Preference by Similarity to Ideal Solution (TOPSIS) method was applied, identifying an optimal balanced solution characterized by a transport distance of 47 km, energy intensity of 1.21 kWh/ton, moisture content of 6.2%, moderate gradation adjustment, and a grid CO2 factor of 0.47 kg CO2/kWh. This scenario offered a substantial reduction (45%) in CO2 emissions relative to cost-minimized solutions, with a moderate increase (33%) in total cost, presenting a realistic and balanced pathway for sustainable infrastructure practices. Overall, this study introduces a robust, scalable, and interpretable optimization framework, providing valuable methodological advancements for sustainable decision making in infrastructure planning and circular economy initiatives. Full article
Show Figures

Graphical abstract

20 pages, 5692 KB  
Article
Combining UAV Remote Sensing with Ensemble Learning to Monitor Leaf Nitrogen Content in Custard Apple (Annona squamosa L.)
by Xiangtai Jiang, Lutao Gao, Xingang Xu, Wenbiao Wu, Guijun Yang, Yang Meng, Haikuan Feng, Yafeng Li, Hanyu Xue and Tianen Chen
Agronomy 2025, 15(1), 38; https://doi.org/10.3390/agronomy15010038 - 27 Dec 2024
Cited by 5 | Viewed by 1680
Abstract
One of the most important nutrients needed for fruit tree growth is nitrogen. For orchards to get targeted, well-informed nitrogen fertilizer, accurate, large-scale, real-time monitoring, and assessment of nitrogen nutrition is essential. This study examines the Leaf Nitrogen Content (LNC) of the custard [...] Read more.
One of the most important nutrients needed for fruit tree growth is nitrogen. For orchards to get targeted, well-informed nitrogen fertilizer, accurate, large-scale, real-time monitoring, and assessment of nitrogen nutrition is essential. This study examines the Leaf Nitrogen Content (LNC) of the custard apple tree, a noteworthy fruit tree that is extensively grown in China’s Yunnan Province. This study uses an ensemble learning technique based on multiple machine learning algorithms to effectively and precisely monitor the leaf nitrogen content in the tree canopy using multispectral canopy footage of custard apple trees taken via Unmanned Aerial Vehicle (UAV) across different growth phases. First, canopy shadows and background noise from the soil are removed from the UAV imagery by using spectral shadow indices across growth phases. The noise-filtered imagery is then used to extract a number of vegetation indices (VIs) and textural features (TFs). Correlation analysis is then used to determine which features are most pertinent for LNC estimation. A two-layer ensemble model is built to quantitatively estimate leaf nitrogen using the stacking ensemble learning (Stacking) principles. Random Forest (RF), Adaptive Boosting (ADA), Gradient Boosting Decision Trees (GBDT), Linear Regression (LR), and Extremely Randomized Trees (ERT) are among the basis estimators that are integrated in the first layer. By detecting and eliminating redundancy among base estimators, the Least Absolute Shrinkage and Selection Operator regression (Lasso)model used in the second layer improves nitrogen estimation. According to the analysis results, Lasso successfully finds redundant base estimators in the suggested ensemble learning approach, which yields the maximum estimation accuracy for the nitrogen content of custard apple trees’ leaves. With a root mean square error (RMSE) of 0.059 and a mean absolute error (MAE) of 0.193, the coefficient of determination (R2) came to 0. 661. The significant potential of UAV-based ensemble learning techniques for tracking nitrogen nutrition in custard apple leaves is highlighted by this work. Additionally, the approaches investigated might offer insightful information and a point of reference for UAV remote sensing applications in nitrogen nutrition monitoring for other crops. Full article
(This article belongs to the Section Precision and Digital Agriculture)
Show Figures

Figure 1

30 pages, 11452 KB  
Article
Data-Driven Modeling of Lateral and Cracking Loads in Confined Masonry Walls Using Machine Learning
by Hamza Mahamad Bile and Kadir Güler
Buildings 2024, 14(12), 4016; https://doi.org/10.3390/buildings14124016 - 18 Dec 2024
Cited by 2 | Viewed by 2019
Abstract
Confined masonry (CM) is becoming a widely adopted construction building method even in earthquake-prone regions due to its economic viability, construction simplicity, and material availability. However, existing empirical models for predicting lateral and cracking loads often fall short due to varied material properties, [...] Read more.
Confined masonry (CM) is becoming a widely adopted construction building method even in earthquake-prone regions due to its economic viability, construction simplicity, and material availability. However, existing empirical models for predicting lateral and cracking loads often fall short due to varied material properties, detailing of confining elements and construction practices. In this study, machine learning (ML) algorithms, such as Extreme Gradient Boosting (XGB), Random Forest (RF), and Extremely Randomized Tree (ERT), were employed to predict the seismic performance of CM walls, focusing on maximum lateral load capacity and cracking load based on an experimental dataset from 84 published studies, with 59 samples for training and 25 for testing. Different material, load, geometrical, and reinforcement detailing, related to the lateral load capacity of CM, were considered. This study also compares the performance of the existing empirical equations against the proposed ML models. The ML models demonstrated strong predictive capabilities, outperforming empirical equations in both maximum lateral load and cracking load predictions, with XGBoost yielding the highest accuracy, reflected by R2 values of 0.903 for lateral load and 0.876 for cracking load predictions, and lowest the RMSE (28.742 for lateral and 23.982 for cracking load). Additionally, a comparative analysis shows that while some empirical equations produce reasonably accurate predictions, most exhibit significant deviations from experimental results. This study finally employs Partial Dependence Plot (PDP) analysis to explain the importance and contribution of the factors that influence the lateral strength, and concludes that ML models, especially XGBoost, are highly effective in capturing the complex behavior of CM walls under vertical and lateral loads, making them valuable tools for enhancing the accuracy of seismic performance evaluations. Full article
(This article belongs to the Section Building Structures)
Show Figures

Figure 1

21 pages, 10967 KB  
Article
Estimation of the Weight and Volume of Lime (Citrus aurantifolia (Christm.) Swingle) Fruit Using Computer Vision Based on Traditional Machine Learning and Deep Learning
by Jiraporn Onmankhong, Pasu Poonpakdee and Ravipat Lapcharoensuk
Agronomy 2024, 14(10), 2434; https://doi.org/10.3390/agronomy14102434 - 20 Oct 2024
Cited by 6 | Viewed by 3492
Abstract
The post-harvest process is important to increasing the market value of limes and requires focus. During this process, limes are graded and categorized based on size, weight, and volume. Therefore, identifying efficient means of estimating these properties is very important and remains an [...] Read more.
The post-harvest process is important to increasing the market value of limes and requires focus. During this process, limes are graded and categorized based on size, weight, and volume. Therefore, identifying efficient means of estimating these properties is very important and remains an open research area. This study applies the concept of computer vision based on traditional machine learning algorithms (partial least square regression (PLS), epsilon-support vector regression (ε-SVR), decision tree (DT), random forest (RF), adaptive boosting (AB), gradient boosting (GB), Bagging meta-estimator (BME), and extremely randomized trees (ERTs)) and pre-trained deep learning (InceptionV3, MoblieNetV2, ResNet50, and VGG-16) for estimating the weight and volume of limes. Our findings showed that the BME and ResNet50 could yield the highest performance for estimating the weight and volume of limes. The BME produced Rtest2 values of 0.954 and 0.882 for weight and volume, respectively, while the Rtest2 values of ResNet50 models were between 0.951 and 0.957 for weight and volume, respectively. This study concluded that computer vision based on both traditional machine learning and deep learning could be used to estimate the weight and volume of limes. The approach proposed in this study can be adopted for applications related to computer vision in the post-harvest process. Full article
(This article belongs to the Section Precision and Digital Agriculture)
Show Figures

Figure 1

21 pages, 2560 KB  
Article
A Network Intrusion Detection Method Based on Bagging Ensemble
by Zichen Zhang, Shanshan Kong, Tianyun Xiao and Aimin Yang
Symmetry 2024, 16(7), 850; https://doi.org/10.3390/sym16070850 - 5 Jul 2024
Cited by 12 | Viewed by 2982
Abstract
The problems of asymmetry in information features and redundant features in datasets, and the asymmetry of network traffic distribution in the field of network intrusion detection, have been identified as a cause of low accuracy and poor generalization of traditional machine learning detection [...] Read more.
The problems of asymmetry in information features and redundant features in datasets, and the asymmetry of network traffic distribution in the field of network intrusion detection, have been identified as a cause of low accuracy and poor generalization of traditional machine learning detection methods in intrusion detection systems (IDSs). In response, a network intrusion detection method based on the integration of bootstrap aggregating (bagging) is proposed. The extreme random tree (ERT) algorithm was employed to calculate the weights of each feature, determine the feature subsets of different machine learning models, then randomly sample the training samples based on the bootstrap sampling method, and integrated classification and regression trees (CART), support vector machine (SVM), and k-nearest neighbor (KNN) as the base estimators of bagging. A comparison of integration methods revealed that the KNN-Bagging integration model exhibited optimal performance. Subsequently, the Bayesian optimization (BO) algorithm was employed for hyper-parameter tuning of the base estimators’ KNN. Finally, the base estimators were integrated through a hard voting approach. The proposed BO-KNN-Bagging model was evaluated on the NSL-KDD dataset, achieving an accuracy of 82.48%. This result was superior to those obtained by traditional machine learning algorithms and demonstrated enhanced performance compared with other methods. Full article
(This article belongs to the Section Computer)
Show Figures

Figure 1

19 pages, 859 KB  
Article
Mitigation of Adversarial Attacks in 5G Networks with a Robust Intrusion Detection System Based on Extremely Randomized Trees and Infinite Feature Selection
by Gianmarco Baldini
Electronics 2024, 13(12), 2405; https://doi.org/10.3390/electronics13122405 - 19 Jun 2024
Cited by 5 | Viewed by 2588
Abstract
Intrusion Detection Systems (IDSs) are an important tool to mitigate cybersecurity threats in the ICT infrastructures. Preferable properties of the IDSs are the optimization of the attack detection accuracy and the minimization of the computing resources and time. A signification portion of IDSs [...] Read more.
Intrusion Detection Systems (IDSs) are an important tool to mitigate cybersecurity threats in the ICT infrastructures. Preferable properties of the IDSs are the optimization of the attack detection accuracy and the minimization of the computing resources and time. A signification portion of IDSs presented in the research literature is based on Machine Learning (ML) and Deep Learning (DL) elements, but they may be prone to adversarial attacks, which may undermine the overall performance of the IDS algorithm. This paper proposes a novel IDS focused on the detection of cybersecurity attacks in 5G networks, which addresses in a simple but effective way two specific adversarial attacks: (1) tampering of the labeled set used to train the ML algorithm, (2) modification of the features in the training data set. The approach is based on the combination of two algorithms, which have been introduced recently in the research literature. The first algorithm is the Extremely Randomized Tree (ERT) algorithm, which enhances the capability of Decision Tree (DT) and Random Forest (RF) algorithms to perform classification in data sets, which are unbalanced and of large size as IDS data sets usually are (legitimate traffic messages are more numerous than attack related messages). The second algorithm is the recently introduced Infinite Feature Selection algorithm, which is used to optimize the choice of the hyper-parameter defined in the approach and improve the overall computing efficiency. The result of the application of the proposed approach on a recently published 5G IDS data set proves its robustness against adversarial attacks with different degrees of severity calculated as the percentage of the tampered data set samples. Full article
(This article belongs to the Special Issue Machine Learning and Cybersecurity—Trends and Future Challenges)
Show Figures

Figure 1

16 pages, 1496 KB  
Article
Identifying Novel Subtypes of Functional Gastrointestinal Disorder by Analyzing Nonlinear Structure in Integrative Biopsychosocial Questionnaire Data
by Sa-Yoon Park, Hyojin Bae, Ha-Yeong Jeong, Ju Yup Lee, Young-Kyu Kwon and Chang-Eop Kim
J. Clin. Med. 2024, 13(10), 2821; https://doi.org/10.3390/jcm13102821 - 10 May 2024
Cited by 5 | Viewed by 2428
Abstract
Background/Objectives: Given the limited success in treating functional gastrointestinal disorders (FGIDs) through conventional methods, there is a pressing need for tailored treatments that account for the heterogeneity and biopsychosocial factors associated with FGIDs. Here, we considered the potential of novel subtypes of FGIDs [...] Read more.
Background/Objectives: Given the limited success in treating functional gastrointestinal disorders (FGIDs) through conventional methods, there is a pressing need for tailored treatments that account for the heterogeneity and biopsychosocial factors associated with FGIDs. Here, we considered the potential of novel subtypes of FGIDs based on biopsychosocial information. Methods: We collected data from 198 FGID patients utilizing an integrative approach that included the traditional Korean medicine diagnosis questionnaire for digestive symptoms (KM), as well as the 36-item Short Form Health Survey (SF-36), alongside the conventional Rome-criteria-based Korean Bowel Disease Questionnaire (K-BDQ). Multivariate analyses were conducted to assess whether KM or SF-36 provided additional information beyond the K-BDQ and its statistical relevance to symptom severity. Questions related to symptom severity were selected using an extremely randomized trees (ERT) regressor to develop an integrative questionnaire. For the identification of novel subtypes, Uniform Manifold Approximation and Projection and spectral clustering were used for nonlinear dimensionality reduction and clustering, respectively. The validity of the clusters was assessed using certain metrics, such as trustworthiness, silhouette coefficient, and accordance rate. An ERT classifier was employed to further validate the clustered result. Results: The multivariate analyses revealed that SF-36 and KM supplemented the psychosocial aspects lacking in K-BDQ. Through the application of nonlinear clustering using the integrative questionnaire data, four subtypes of FGID were identified: mild, severe, mind-symptom predominance, and body-symptom predominance. Conclusions: The identification of these subtypes offers a framework for personalized treatment strategies, thus potentially enhancing therapeutic outcomes by tailoring interventions to the unique biopsychosocial profiles of FGID patients. Full article
(This article belongs to the Special Issue Clinical Innovations in Digestive Disease Diagnosis and Treatment)
Show Figures

Figure 1

15 pages, 4284 KB  
Article
Estimation of the Concentration of XCO2 from Thermal Infrared Satellite Data Based on Ensemble Learning
by Xiaoyong Gong, Ying Zhang, Meng Fan, Xinxin Zhang, Shipeng Song and Zhongbin Li
Atmosphere 2024, 15(1), 118; https://doi.org/10.3390/atmos15010118 - 19 Jan 2024
Cited by 3 | Viewed by 2265
Abstract
Global temperatures are continuing to rise as atmospheric carbon dioxide (CO2) concentrations increase, and climate warming has become a major challenge to global sustainable development. The Cross-Track Infrared Sounder (CrIS) instrument is a Fourier transform spectrometer with 0.625 cm−1 spectral [...] Read more.
Global temperatures are continuing to rise as atmospheric carbon dioxide (CO2) concentrations increase, and climate warming has become a major challenge to global sustainable development. The Cross-Track Infrared Sounder (CrIS) instrument is a Fourier transform spectrometer with 0.625 cm−1 spectral resolution covering a 15 μm CO2-absorbing band, providing a way of monitoring CO2 with on a large scale twice a day. This paper proposes a method to predict the concentration of column-averaged CO2 (XCO2) from thermal infrared satellite data using ensemble learning to avoid the iterative computations of radiative transfer models, which are necessary for optimization estimation (OE). The training data set is constructed with CrIS satellite data, European Centre for Medium-Range Weather Forecasts (ECMWF) Reanalysis v5 (ERA5) meteorological parameters, and ground-based observations. The training set was processed using two methods: correlation significance analysis (abbreviated as CSA) and principal component analysis (PCA). Extreme Gradient Boosters (XGBoost), Extreme Random Trees (ERT), and Gradient Boost Regression Tree (GBRT) are used for training and learning to develop the new retrieval model. The results showed that the R2 of XCO2 prediction built from the PCA dataset was bigger than that from the CSA dataset. These three learning models were verified by validation sets, and the ERT model showed the best agreement between model predictions and the truth (R2 = 0.9006, RMSE = 0.7994 ppmv, MAE = 0.5804 ppmv). The ERT model was finally selected to estimate the concentrations of XCO2. The deviation of XCO2 predictions of 12 TCCON sites in 2019 was within ±1 ppm. The monthly averages of XCO2 concentrations in close agreement with TCCON ground observations were grouped into four regions: Asia (R2 = 0.9671, RMSE = 0.7072 ppmv), Europe (R2 = 0.9703, RMSE = 0.8733 ppmv), North America (R2 = 0.9800, RMSE = 0.6187 ppmv), and Oceania (R2 = 0.9558, RMSE = 0.4614 ppmv). Full article
(This article belongs to the Section Atmospheric Techniques, Instruments, and Modeling)
Show Figures

Figure 1

23 pages, 3668 KB  
Article
Evaluating Feature Selection Methods and Machine Learning Algorithms for Mapping Mangrove Forests Using Optical and Synthetic Aperture Radar Data
by Zhen Shen, Jing Miao, Junjie Wang, Demei Zhao, Aowei Tang and Jianing Zhen
Remote Sens. 2023, 15(23), 5621; https://doi.org/10.3390/rs15235621 - 4 Dec 2023
Cited by 20 | Viewed by 3874
Abstract
Mangrove forests, mostly found in the intertidal zone, are among the highest-productivity ecosystems and have great ecological and economic value. The accurate mapping of mangrove forests is essential for the scientific management and restoration of mangrove ecosystems. However, it is still challenging to [...] Read more.
Mangrove forests, mostly found in the intertidal zone, are among the highest-productivity ecosystems and have great ecological and economic value. The accurate mapping of mangrove forests is essential for the scientific management and restoration of mangrove ecosystems. However, it is still challenging to perform the rapid and accurate information mapping of mangrove forests due to the complexity of mangrove forests themselves and their environments. Utilizing multi-source remote sensing data is an effective approach to address this challenge. Feature extraction and selection, as well as the selection of classification models, are crucial for accurate mangrove mapping using multi-source remote sensing data. This study constructs multi-source feature sets based on optical (Sentinel-2) and SAR (synthetic aperture radar) (C-band: Sentinel-1; L-band: ALOS-2) remote sensing data, aiming to compare the impact of three feature selection methods (RFS, random forest; ERT, extremely randomized tree; MIC, maximal information coefficient) and four machine learning algorithms (DT, decision tree; RF, random forest; XGBoost, extreme gradient boosting; LightGBM, light gradient-boosting machine) on classification accuracy, identify sensitive feature variables that contribute to mangrove mapping, and formulate a classification framework for accurately recognizing mangrove forests. The experimental results demonstrated that using the feature combination selected via the ERT method could obtain higher accuracy with fewer features compared to other methods. Among the feature combinations, the visible bands, shortwave infrared bands, and the vegetation indices constructed from these bands contributed the greatest to the classification accuracy. The classification performance of optical data was significantly better than SAR data in terms of data sources. The combination of optical and SAR data could improve the accuracy of mangrove mapping to a certain extent (0.33% to 4.67%), which is essential for the research of mangrove mapping in a larger area. The XGBoost classification model performed optimally in mangrove mapping, with the highest overall accuracy of 95.00% among all the classification models. The results of the study show that combining optical and SAR remote sensing data with the ERT feature selection method and XGBoost classification model has great potential for accurate mangrove mapping at a regional scale, which is important for mangrove restoration and protection and provides a reliable database for mangrove scientific management. Full article
(This article belongs to the Special Issue GIS and Remote Sensing in Ocean and Coastal Ecology)
Show Figures

Graphical abstract

25 pages, 4086 KB  
Article
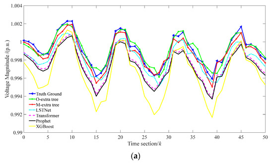
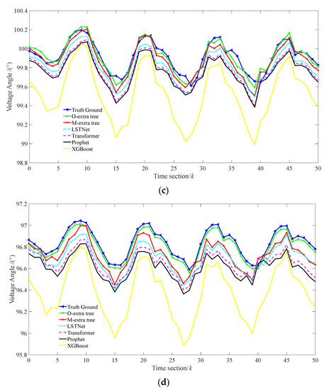
Optimal Extreme Random Forest Ensemble for Active Distribution Network Forecasting-Aided State Estimation Based on Maximum Average Energy Concentration VMD State Decomposition
by Yue Yu, Jiahui Guo and Zhaoyang Jin
Energies 2023, 16(15), 5659; https://doi.org/10.3390/en16155659 - 27 Jul 2023
Cited by 19 | Viewed by 2072
Abstract
As the penetration rate of distributed generators (DG) in active distribution networks (ADNs) gradually increases, it is necessary to accurately estimate the operating state of the ADNs to ensure their safe and stable operation. However, the high randomness and volatility of distributed generator [...] Read more.
As the penetration rate of distributed generators (DG) in active distribution networks (ADNs) gradually increases, it is necessary to accurately estimate the operating state of the ADNs to ensure their safe and stable operation. However, the high randomness and volatility of distributed generator output and active loads have increased the difficulty of state estimation. To solve this problem, a method is proposed for forecasting-aided state estimation (FASE) in ADNs, which integrates the optimal extreme random forest based on the maximum average energy concentration (MAEC) and variable mode decomposition (VMD) of states. Firstly, a parameter optimization model based on MAEC is constructed to decompose the state variables of the ADNs into a set of intrinsic mode components using VMD. Then, strongly correlated weather and date features in ADNs state prediction are selected using the multivariate rapid maximum information coefficient (RapidMIC) based on Schmidt orthogonal decomposition. Finally, by combining the set of intrinsic mode functions of the ADNs state, calendar rules, and weather features, an ensemble FASE method based on the extreme random tree (ERT) ensemble for the ADNs based on cubature particle filtering (CPF) is developed. An optimization model based on mean absolute error and root mean square error is established to obtain the optimal integration strategy and final estimation results. Simulation verification is performed on the IEEE 118-bus standard distribution system. The results show that the proposed method achieves higher accuracy compared to other estimation methods, with root mean square errors of 1.4902 × 10−4 for voltage magnitude and 4.8915 × 10−3 for phase angle. Full article
(This article belongs to the Section A1: Smart Grids and Microgrids)
Show Figures

Figure 1

Back to TopTop