Mitigation of Adversarial Attacks in 5G Networks with a Robust Intrusion Detection System Based on Extremely Randomized Trees and Infinite Feature Selection
Abstract
1. Introduction
2. Literature Review
3. Materials and Methods
3.1. Materials: 5G Intrusion Detection System Data Set
3.2. Threat Model
3.2.1. Attacker’s Goal
3.2.2. Attacker’s Capabilities
3.2.3. Label Flipping Attack
3.2.4. Feature-Based Attack
3.3. Methodology
3.4. Metrics of Evaluation
3.5. Computing Platform
4. Infinite Feature Selection Algorithm
5. Extremely Randomized Tree Algorithm
- the number of decision trees in the ensemble .
- the number of features, which has to be selected randomly .
- the minimum number of instances needed to split a node .
6. Results
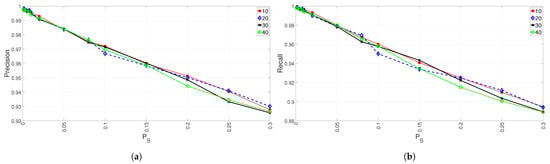
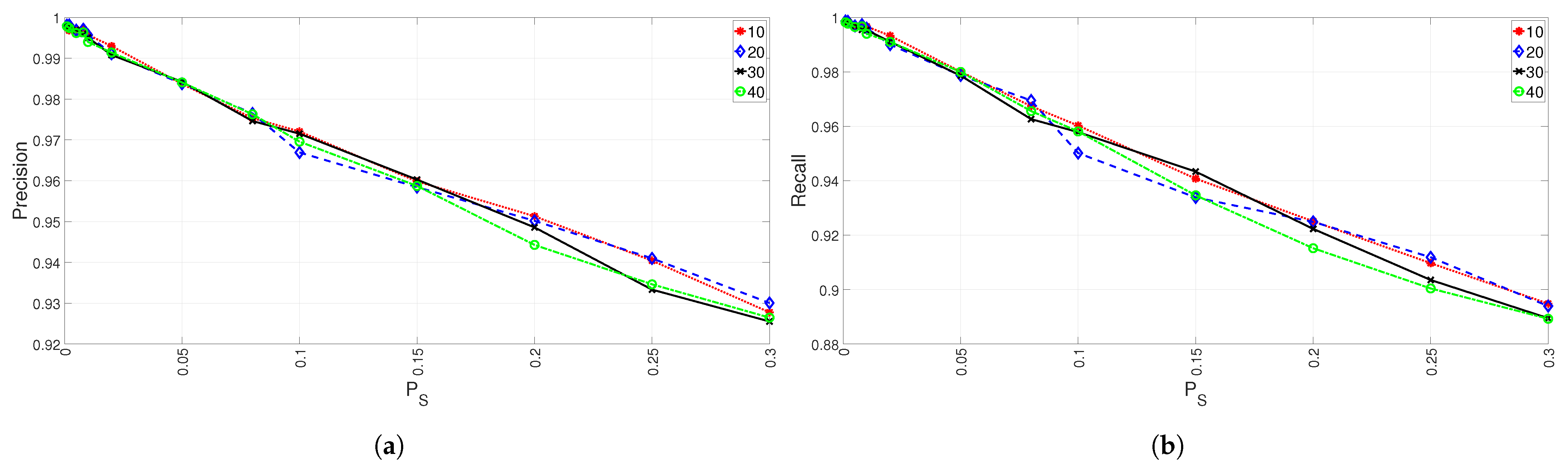
6.1. Impact of the Hyper-Parameters
6.2. Comparison of the Approaches for Different Severity () of the Adversarial Attack
6.3. Confusion Matrices
6.4. Computing Complexity
7. Conclusions and Future Developments
Funding
Data Availability Statement
Conflicts of Interest
Abbreviations
| CNN | Convolutional Neural Network |
| DAC | Discriminant Analysis Classifier |
| DDoS | Distributed Denial of Service |
| DF | Deep Forest |
| DL | Deep Learning |
| DoS | Denial of Service |
| DT | Decision Tree |
| ECOC | Error-Correcting Output Codes |
| ELM | Extreme Learning Machine |
| ERT | Extremely Randomized Tree |
| FN | False Negative |
| FP | False Positive |
| FSA | Feature Selection Algorithm |
| GF | Generalized Fisher |
| GPU | Graphic Processing Unit |
| KNN | K Nearest Neighbor |
| IDS | Intrusion Detection System |
| IFS | Infinite Feature Selection |
| ILFS | Infinite Latent Feature Selection |
| LC | Linear Classifier |
| MAB | Multi-Armed Bandits |
| ML | Machine Learning |
| RAM | Random Access Memory |
| RBF | Radial Basis Functions |
| RF | Random Forest |
| SVM | Support Vector Machine |
| TP | True Positive |
| TN | True Negative |
References
- Li, J.; Zhou, H.; Wu, S.; Luo, X.; Wang, T.; Zhan, X.; Ma, X. FOAP: Fine-Grained Open-World android app fingerprinting. In Proceedings of the 31st USENIX Security Symposium (USENIX Security 22), Boston, MA, USA, 10–12 August 2022; pp. 1579–1596. [Google Scholar]
- Ni, T.; Lan, G.; Wang, J.; Zhao, Q.; Xu, W. Eavesdropping Mobile App Activity via Radio-Frequency Energy Harvesting. In Proceedings of the 32nd USENIX Security Symposium (USENIX Security 23), Anaheim, CA, USA, 9–11 August 2023; pp. 3511–3528. [Google Scholar]
- Khraisat, A.; Gondal, I.; Vamplew, P.; Kamruzzaman, J. Survey of intrusion detection systems: Techniques, datasets and challenges. Cybersecurity 2019, 2, 1–22. [Google Scholar]
- Luo, J.; Cao, H.; Jiang, H.; Yang, Y.; Chen, Z. MIMOCrypt: Multi-User Privacy-Preserving Wi-Fi Sensing via MIMO Encryption. arXiv 2023, arXiv:2309.00250. [Google Scholar]
- Wang, T. High precision open-world website fingerprinting. In Proceedings of the 2020 IEEE Symposium on Security and Privacy (SP), San Francisco, CA, USA, 18–21 May 2020; pp. 152–167. [Google Scholar]
- Schuster, R.; Shmatikov, V.; Tromer, E. Beauty and the burst: Remote identification of encrypted video streams. In Proceedings of the 26th USENIX Security Symposium (USENIX Security 17), Vancouver, BC, Canada, 16–18 August 2017; pp. 1357–1374. [Google Scholar]
- Liu, H.; Lang, B. Machine learning and deep learning methods for intrusion detection systems: A survey. Appl. Sci. 2019, 9, 4396. [Google Scholar] [CrossRef]
- Kocher, G.; Kumar, G. Machine learning and deep learning methods for intrusion detection systems: Recent developments and challenges. Soft Comput. 2021, 25, 9731–9763. [Google Scholar] [CrossRef]
- Baldini, G.; Amerini, I. Online Distributed Denial of Service (DDoS) intrusion detection based on adaptive sliding window and morphological fractal dimension. Comput. Netw. 2022, 210, 108923. [Google Scholar] [CrossRef]
- Zhang, Z.; Zhang, Y.; Guo, D.; Yao, L.; Li, Z. Secfednids: Robust defense for poisoning attack against federated learning-based network intrusion detection system. Future Gener. Comput. Syst. 2022, 134, 154–169. [Google Scholar] [CrossRef]
- Papadopoulos, P.; Thornewill von Essen, O.; Pitropakis, N.; Chrysoulas, C.; Mylonas, A.; Buchanan, W.J. Launching adversarial attacks against network intrusion detection systems for iot. J. Cybersecur. Priv. 2021, 1, 252–273. [Google Scholar] [CrossRef]
- Mousavi, S.M.; Majidnezhad, V.; Naghipour, A. A new intelligent intrusion detector based on ensemble of decision trees. J. Ambient Intell. Humaniz. Comput. 2022, 13, 3347–3359. [Google Scholar] [CrossRef]
- Zhou, Y.; Cheng, G.; Jiang, S.; Dai, M. Building an efficient intrusion detection system based on feature selection and ensemble classifier. Comput. Netw. 2020, 174, 107247. [Google Scholar] [CrossRef]
- Louk, M.H.L.; Tama, B.A. Dual-IDS: A bagging-based gradient boosting decision tree model for network anomaly intrusion detection system. Expert Syst. Appl. 2023, 213, 119030. [Google Scholar] [CrossRef]
- Fitni, Q.R.S.; Ramli, K. Implementation of ensemble learning and feature selection for performance improvements in anomaly-based intrusion detection systems. In Proceedings of the 2020 IEEE International Conference on Industry 4.0, Artificial Intelligence, and Communications Technology (IAICT), Bali, Indonesia, 7–8 July 2020; pp. 118–124. [Google Scholar]
- Acosta, M.R.C.; Ahmed, S.; Garcia, C.E.; Koo, I. Extremely randomized trees-based scheme for stealthy cyber-attack detection in smart grid networks. IEEE Access 2020, 8, 19921–19933. [Google Scholar] [CrossRef]
- Samarakoon, S.; Siriwardhana, Y.; Porambage, P.; Liyanage, M.; Chang, S.Y.; Kim, J.; Kim, J.; Ylianttila, M. 5G-NIDD: A Comprehensive Network Intrusion Detection Dataset Generated over 5G Wireless Network. arXiv 2022, arXiv:2212.01298. [Google Scholar]
- Roffo, G.; Melzi, S.; Cristani, M. Infinite feature selection. In Proceedings of the IEEE International Conference on Computer Vision, Santiago, Chile, 7–13 December 2015; pp. 4202–4210. [Google Scholar]
- Yasmin, R.; Pouttu, A.; Mikhaylov, K.; Niemelä, V.; Arif, M.; Liinamaa, O. NB-IoT micro-operator for smart campus: Performance and lessons learned in 5GTN. In Proceedings of the 2020 IEEE Wireless Communications and Networking Conference (WCNC), Seoul, Republic of Korea, 25–28 May 2020; pp. 1–6. [Google Scholar]
- Aburomman, A.A.; Reaz, M.B.I. A survey of intrusion detection systems based on ensemble and hybrid classifiers. Comput. Secur. 2017, 65, 135–152. [Google Scholar] [CrossRef]
- Aldweesh, A.; Derhab, A.; Emam, A.Z. Deep learning approaches for anomaly-based intrusion detection systems: A survey, taxonomy, and open issues. Knowl.-Based Syst. 2020, 189, 105124. [Google Scholar] [CrossRef]
- He, K.; Kim, D.D.; Asghar, M.R. Adversarial machine learning for network intrusion detection systems: A comprehensive survey. IEEE Commun. Surv. Tutorials 2023, 25, 538–566. [Google Scholar] [CrossRef]
- Alhajjar, E.; Maxwell, P.; Bastian, N. Adversarial machine learning in network intrusion detection systems. Expert Syst. Appl. 2021, 186, 115782. [Google Scholar] [CrossRef]
- Jmila, H.; Khedher, M.I. Adversarial machine learning for network intrusion detection: A comparative study. Comput. Netw. 2022, 214, 109073. [Google Scholar] [CrossRef]
- Paya, A.; Arroni, S.; García-Díaz, V.; Gómez, A. Apollon: A robust defense system against Adversarial Machine Learning attacks in Intrusion Detection Systems. Comput. Secur. 2024, 136, 103546. [Google Scholar] [CrossRef]
- Panigrahi, R.; Borah, S.; Bhoi, A.K.; Ijaz, M.F.; Pramanik, M.; Kumar, Y.; Jhaveri, R.H. A consolidated decision tree-based intrusion detection system for binary and multiclass imbalanced datasets. Mathematics 2021, 9, 751. [Google Scholar] [CrossRef]
- Wang, L.; Han, M.; Li, X.; Zhang, N.; Cheng, H. Review of classification methods on unbalanced data sets. IEEE Access 2021, 9, 64606–64628. [Google Scholar] [CrossRef]
- Balon-Perin, A.; Gambäck, B. Ensembles of decision trees for network intrusion detection systems. Int. J. Adv. Secur. 2013, 6, 62–77. [Google Scholar]
- Samarakoon, S.; Siriwardhana, Y.; Porambage, P.; Liyanage, M.; Chang, S.Y.; Kim, J.; Kim, J.; Ylianttila, M. 5G-NIDD: A Comprehensive Network Intrusion Detection Dataset Generated over 5G Wireless Network. IEEE Dataport 2022. [Google Scholar] [CrossRef]
- Alatwi, H.A.; Morisset, C. Adversarial machine learning in network intrusion detection domain: A systematic review. arXiv 2021, arXiv:2112.03315. [Google Scholar]
- Xiao, H.; Biggio, B.; Nelson, B.; Xiao, H.; Eckert, C.; Roli, F. Support vector machines under adversarial label contamination. Neurocomputing 2015, 160, 53–62. [Google Scholar] [CrossRef]
- Taheri, R.; Javidan, R.; Shojafar, M.; Pooranian, Z.; Miri, A.; Conti, M. On defending against label flipping attacks on malware detection systems. Neural Comput. Appl. 2020, 32, 14781–14800. [Google Scholar] [CrossRef]
- Homoliak, I.; Teknos, M.; Ochoa, M.; Breitenbacher, D.; Hosseini, S.; Hanacek, P. Improving network intrusion detection classifiers by non-payload-based exploit-independent obfuscations: An adversarial approach. arXiv 2018, arXiv:1805.02684. [Google Scholar] [CrossRef]
- Zinno, S.; Affinito, A.; Pasquino, N.; Ventre, G.; Botta, A. Prediction of RTT through Radio-Layer Parameters in 4G/5G Dual-Connectivity Mobile Networks. In Proceedings of the 2023 IEEE Symposium on Computers and Communications (ISCC), Gammarth, Tunisia, 9–12 July 2023; pp. 213–218. [Google Scholar]
- Kaushik, R.; Singh, V.; Kumari, R. Multi-class SVM based network intrusion detection with attribute selection using infinite feature selection technique. J. Discret. Math. Sci. Cryptogr. 2021, 24, 2137–2153. [Google Scholar] [CrossRef]
- Roffo, G.; Melzi, S.; Castellani, U.; Vinciarelli, A.; Cristani, M. Infinite feature selection: A graph-based feature filtering approach. IEEE Trans. Pattern Anal. Mach. Intell. 2020, 43, 4396–4410. [Google Scholar] [CrossRef] [PubMed]
- Zhang, Z.; Liang, X.; Qin, W.; Yu, S.; Xie, Y. matFR: A MATLAB toolbox for feature ranking. Bioinformatics 2020, 36, 4968–4969. [Google Scholar] [CrossRef]
- Geurts, P.; Ernst, D.; Wehenkel, L. Extremely randomized trees. Mach. Learn. 2006, 63, 3–42. [Google Scholar] [CrossRef]













| Type of Samples | Description | Number of Samples |
|---|---|---|
| Legitimate | Legitimate traffic without attacks. | 406,959 |
| HTTPFlood | HTTP flood is a DoS attack, which targets the application layer. | 76,121 |
| ICMPFlood | Internet Control Message Protocol (ICMP) flood attacks use ICMP echo requests to flood a target at a very high frequency. | 613 |
| SYNFlood | SYN flood attack is a result of the exploitation of the TCP three way handshake. | 4792 |
| SYNScan | The SYN scan uses part of the three way handshake in TCP connection establishment to discover open ports. | 10,019 |
| SlowrateDoS | A DoS attack based on the exploitation of the application layer for slow rate attacks. | 36,092 |
| TCPConnectScan | the TCP connect scan is similar to the SYNScan, but it exploits the TCP handshake to perform the scanning process. The difference with the SYNScan is that three way handshake is fully completed therefore and the time taken to scan the ports is higher compared with SYN Scan. | 10,022 |
| UDPFlood | n a User Datagram Protocol (UDP) flood attack, attacker sends UDP packets at a higher rate. | 175,811 |
| UDPScan | UDP scan transmits UDP datagrams to the targeted ports of the targeted host and sends the UDP packets with a missing payload to ports that are not UDP. | 7887 |
| Feature ID | Feature Description | Feature ID | Feature Description |
|---|---|---|---|
| 1 | Transaction Protocol | 17 | Transaction state |
| 2 | TCP connection setup time, the time between the and the ACK packets | 18 | TCP connection setup time, the time between the SYN and the packets. |
| 3 | Destination bits per second. | 19 | source TOS byte value |
| 4 | Destination TOS byte value. | 20 | source VLAN identifier |
| 5 | TCP connection setup round-trip time, the sum of ‘synack’ and ‘ackdat’. | 21 | Mean of the flow packet size transmitted by the dst (target). |
| 6 | Mean of the flow packet size transmitted by the src (initiator). | 22 | Record byte offset in file or stream. |
| 7 | ICMP intermediate node. | 23 | -> TTL value. |
| 8 | -> TTL value. | 24 | source TCP window advertisement. |
| 9 | Status of the network flow | 25 | Source TCP base sequence number |
| 10 | Mean of the flow packet size transmitted by the src (initiator). | 26 | Mean of the flow packet size transmitted by the dst (target). |
| 11 | Destination pkts retransmitted or dropped. | 27 | Percent pkts retransmitted or dropped. |
| 12 | Total transaction bytes | 28 | -> transaction bytes. |
| 13 | Estimate of number of IP hops from src to this point. | 29 | Estimate of number of IP hops from dst to this point |
| 14 | Source bytes missing in the data stream. | 30 | destination bytes missing in the data stream |
| 15 | Minimum duration of aggregated records. | 31 | Maximum duration of aggregated records. |
| 16 | Source pkts per second | 32 | Destination pkts per second |
| Hyper-Parameter | Description | Considered Range |
|---|---|---|
| Network distance flow for label flipping | [10, 20, 30, 40] network flows | |
| Percentage of the perturbed network flows on the total number of network flows in the IDS data sets (both attacks) | [0.001, 0.002, 0.005, 0.008, 0.01, 0.02, 0.05, 0.08, 0.1, 0.15, 0.2, 0.25, 0.3] | |
| Number of the highest ranking features from IFS | [12, 16, 20, 24, 28, 32, 36] | |
| the number of decision trees in ERT | [10, 20, 30] | |
| the number of features, which has to be selected randomly in ERT | At least equal to . | |
| the minimum number of instances needed to split a node in ERT | 10. |
| Algorithm | Precision | Recall | Accuracy | F-Score |
|---|---|---|---|---|
| LC | 0.9574 | 0.9594 | 0.9901 | 0.9551 |
| DAC | 0.8803 | 0.8542 | 0.9412 | 0.8500 |
| DT | 0.9785 | 0.9887 | 0.9931 | 0.9834 |
| RF | 0.9790 | 0.9932 | 0.9961 | 0.9858 |
| ERT | 0.9978 | 0.9982 | 0.9994 | 0.9980 |
| LC | 0.9529 | 0.9561 | 0.9896 | 0.9513 |
| DAC | 0.8573 | 0.8514 | 0.9354 | 0.8061 |
| DT | 0.9781 | 0.9866 | 0.9928 | 0.9821 |
| RF | 0.9720 | 0.9900 | 0.9944 | 0.9806 |
| ERT | 0.9963 | 0.9967 | 0.9991 | 0.9965 |
| LC | 0.9388 | 0.9439 | 0.9880 | 0.9380 |
| DAC | 0.7335 | 0.8096 | 0.9305 | 0.7463 |
| DT | 0.9645 | 0.9728 | 0.9908 | 0.9684 |
| RF | 0.9563 | 0.9769 | 0.9916 | 0.9662 |
| ERT | 0.9841 | 0.9800 | 0.9970 | 0.9820 |
| LC | 0.8068 | 0.8265 | 0.9798 | 0.8118 |
| DAC | 0.6981 | 0.7910 | 0.9149 | 0.7010 |
| DT | 0.9249 | 0.9280 | 0.9852 | 0.9262 |
| RF | 0.9101 | 0.9029 | 0.9847 | 0.9039 |
| ERT | 0.9443 | 0.9152 | 0.9905 | 0.9280 |
| Algorithm | Precision | Recall | Accuracy | F-Score |
|---|---|---|---|---|
| LC | 0.9552 | 0.9585 | 0.9895 | 0.9536 |
| DAC | 0.8110 | 0.8535 | 0.9381 | 0.8168 |
| DT | 0.9868 | 0.9922 | 0.9949 | 0.9894 |
| RF | 0.9777 | 0.9935 | 0.9957 | 0.9853 |
| ERT | 0.9984 | 0.9983 | 0.9992 | 0.9984 |
| LC | 0.9120 | 0.9178 | 0.9858 | 0.9100 |
| DAC | 0.7338 | 0.8139 | 0.9102 | 0.7153 |
| DT | 0.9816 | 0.9873 | 0.9927 | 0.9844 |
| RF | 0.9720 | 0.9895 | 0.9942 | 0.9804 |
| ERT | 0.9974 | 0.9955 | 0.9988 | 0.9964 |
| LC | 0.9122 | 0.9373 | 0.9725 | 0.9206 |
| DAC | 0.7427 | 0.8069 | 0.9064 | 0.7085 |
| DT | 0.9683 | 0.9681 | 0.9836 | 0.9681 |
| RF | 0.9533 | 0.9715 | 0.9882 | 0.9619 |
| ERT | 0.9912 | 0.9807 | 0.9962 | 0.9858 |
| LC | 0.8322 | 0.7896 | 0.9464 | 0.7821 |
| DAC | 0.7244 | 0.7919 | 0.8961 | 0.6962 |
| DT | 0.9368 | 0.9091 | 0.9631 | 0.9216 |
| RF | 0.9246 | 0.8848 | 0.9737 | 0.9004 |
| ERT | 0.9700 | 0.9284 | 0.9877 | 0.9472 |
Disclaimer/Publisher’s Note: The statements, opinions and data contained in all publications are solely those of the individual author(s) and contributor(s) and not of MDPI and/or the editor(s). MDPI and/or the editor(s) disclaim responsibility for any injury to people or property resulting from any ideas, methods, instructions or products referred to in the content. |
© 2024 by the author. Licensee MDPI, Basel, Switzerland. This article is an open access article distributed under the terms and conditions of the Creative Commons Attribution (CC BY) license (https://creativecommons.org/licenses/by/4.0/).
Share and Cite
Baldini, G. Mitigation of Adversarial Attacks in 5G Networks with a Robust Intrusion Detection System Based on Extremely Randomized Trees and Infinite Feature Selection. Electronics 2024, 13, 2405. https://doi.org/10.3390/electronics13122405
Baldini G. Mitigation of Adversarial Attacks in 5G Networks with a Robust Intrusion Detection System Based on Extremely Randomized Trees and Infinite Feature Selection. Electronics. 2024; 13(12):2405. https://doi.org/10.3390/electronics13122405
Chicago/Turabian StyleBaldini, Gianmarco. 2024. "Mitigation of Adversarial Attacks in 5G Networks with a Robust Intrusion Detection System Based on Extremely Randomized Trees and Infinite Feature Selection" Electronics 13, no. 12: 2405. https://doi.org/10.3390/electronics13122405
APA StyleBaldini, G. (2024). Mitigation of Adversarial Attacks in 5G Networks with a Robust Intrusion Detection System Based on Extremely Randomized Trees and Infinite Feature Selection. Electronics, 13(12), 2405. https://doi.org/10.3390/electronics13122405
