Sign in to use this feature.

Years

Between: -

Subjects

remove_circle_outline
remove_circle_outline
remove_circle_outline
remove_circle_outline
remove_circle_outline
remove_circle_outline
remove_circle_outline
remove_circle_outline
remove_circle_outline

Journals

Article Types

Countries / Regions

remove_circle_outline
remove_circle_outline
remove_circle_outline

Search Results (204)

Search Parameters:
Keywords = exponential inequalities

Order results
Result details
Results per page
Select all
Export citation of selected articles as:
29 pages, 425 KB  
Article
Analysis of Solutions to Nonlocal Tensor Kirchhoff–Carrier-Type Problems with Strong and Weak Damping, Multiple Mixed Time-Varying Delays, and Logarithmic-Term Forcing
by Aziz Belmiloudi
Symmetry 2026, 18(1), 172; https://doi.org/10.3390/sym18010172 - 16 Jan 2026
Viewed by 100
Abstract
In this contribution, we propose and study long-time behaviors of a new class of N-dimensional delayed Kirchhoff–Carrier-type problems with variable transfer coefficients involving a logarithmic nonlinearity. We take into account the dependence of diffusion and damping coefficients on the position and direction, [...] Read more.
In this contribution, we propose and study long-time behaviors of a new class of N-dimensional delayed Kirchhoff–Carrier-type problems with variable transfer coefficients involving a logarithmic nonlinearity. We take into account the dependence of diffusion and damping coefficients on the position and direction, as well as the presence of different types of delays. This class of nonlocal anisotropic and nonlinear wave-type equations with multiple time-varying mixed delays and dampings, of a fairly general form, containing several arbitrary functions and free parameters, is of the following form: 2ut2div(K(σuL2(Ω)2)Aσ(x)u)+M(uL2(Ω)2)udiv(ζ(t)Aσ(x)ut)+d0(t)ut+Dr(x,t;ut)=G(u), where u(x,t) is the state function, M and K are the nonlocal Kirchhoff operators and the nonlinear operator G(u) corresponds to a logarithmic source term. The symmetric tensor Aσ describes the anisotropic behavior and processes of the system, and the operator Dr represents the multiple time-varying mixed delays related to velocity ut. Our problem, which encompasses numerous equations already studied in the literature, is relevant to a wide range of practical and concrete applications. It not only considers anisotropy in diffusion, but it also assumes that the strong damping can be totally anisotropic (a phenomenon that has received very little mathematical attention in the literature). We begin with the reformulation of the problem into a nonlinear system coupling a nonlocal wave-type equation with ordinary differential equations, with the help of auxiliary functions. Afterward, we study the local existence and some necessary regularity results of the solutions by using the Faedo–Galerkin approximation, combining some energy estimates and the logarithmic Sobolev inequality. Next, by virtue of the potential well method combined with the Nehari manifold, conditions for global in-time existence are given. Finally, subject to certain conditions, the exponential decay of global solutions is established by applying a perturbed energy method. Many of the obtained results can be extended to the case of other nonlinear source terms. Full article
(This article belongs to the Section Mathematics)
25 pages, 5266 KB  
Article
Sampled-Data H PI Control for Load-Frequency Regulation in Wind-Integrated Power Systems
by Can Luo, Fei Long, Haojie Du, Long Hong, Dalong Wang and Zhengyi Zhang
Processes 2026, 14(2), 249; https://doi.org/10.3390/pr14020249 - 10 Jan 2026
Viewed by 187
Abstract
In modern power systems, the implementation of load-frequency control (LFC) must reconcile continuous-time plant dynamics with discrete-time digital controllers operating under coarsely sampled communications. This paper develops a sampled-data H framework for PI-type secondary LFC that explicitly accounts for aperiodic sampling and [...] Read more.
In modern power systems, the implementation of load-frequency control (LFC) must reconcile continuous-time plant dynamics with discrete-time digital controllers operating under coarsely sampled communications. This paper develops a sampled-data H framework for PI-type secondary LFC that explicitly accounts for aperiodic sampling and reduced inertia due to high wind penetration. Using a two-sided looped Lyapunov functional and free-matrix inequalities, sampling-interval-dependent linear matrix inequalities (LMIs) are derived for stability, H performance and an exponential decay rate (EDR). The synthesis returns PI gains and the admissible maximum sampling period (MASP) via simple bisection. Numerical examples based on one-area, two-area, and three-area power systems demonstrate that the proposed stability conditions allow larger admissible sampling periods compared with existing approaches, while preserving satisfactory dynamic behaviour under different operating scenarios. Full article
(This article belongs to the Section Energy Systems)
Show Figures

Figure 1

30 pages, 827 KB  
Article
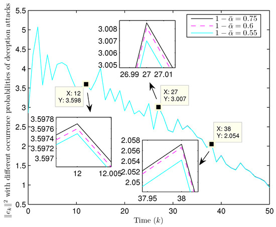
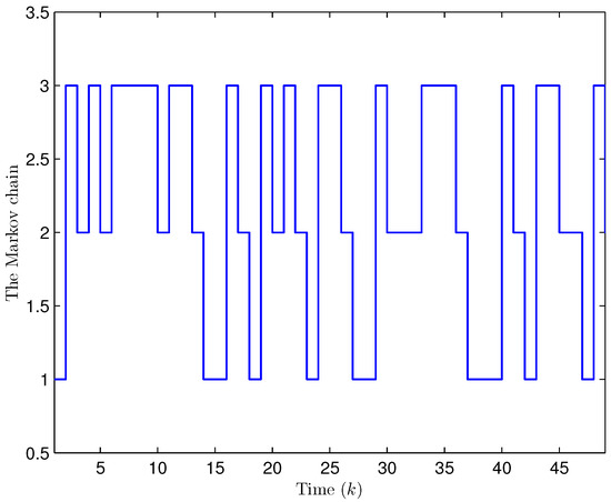
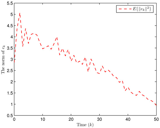
State and Fault Estimation for Uncertain Complex Networks Using Binary Encoding Schemes Under Switching Couplings and Deception Attacks
by Nan Hou, Mengdi Chang, Hongyu Gao, Zhongrui Hu and Xianye Bu
Sensors 2026, 26(1), 182; https://doi.org/10.3390/s26010182 - 26 Dec 2025
Viewed by 364
Abstract
A state and fault estimator is designed in this paper for nonlinear complex networks using binary encoding schemes subject to parameter uncertainties, randomly switching couplings, randomly occurring deception attacks and bounded stochastic noises. A Markov chain is employed to reflect the randomly switching [...] Read more.
A state and fault estimator is designed in this paper for nonlinear complex networks using binary encoding schemes subject to parameter uncertainties, randomly switching couplings, randomly occurring deception attacks and bounded stochastic noises. A Markov chain is employed to reflect the randomly switching phenomena of topological structures (or outer coupling strengths) and internal coupling strengths in complex networks. Binary encoding scheme is utilized to adjust the measurement signal transmission, where the signal is quantized and encoded into a binary bit string which is transmitted via a binary symmetric channel. Random bit flipping resulted from channel noises and randomly occurring deception attacks launched by hacker may take place inevitably during the network transmission process, whose occurrences are represented by two sequences of Bernoulli distributed random variables. The influence of random bit flipping is viewed as an equivalent stochastic noise, which facilitates the estimator design afterwards. The malicious signal is characterized by a nonlinear function satisfying an inequality constraint condition. The received binary bit string is decoded and used for estimating the system state and the fault. This paper aims to design a state and fault estimator such that the estimation error dynamic system is exponentially ultimately bounded in mean square, and the ultimate upper bound is minimized. A sufficient condition is put forth that ensures the existence of the expected state and fault estimator via adopting statistical property analysis, Lyapunov stability theory and matrix inequality technique. An exponentially ultimately bounded state and fault estimator in mean square is designed for such a kind of complex networks using the matrix inequality method. The estimator gain parameter is readily obtained by tackling an optimization issue subject to matrix inequalities constraints using Matlab software. Finally, two simulation examples are carried on which validate the effectiveness of the proposed state and fault estimation approach. The work in this paper plays a role in enriching the research system of estimation for complex network, and providing theoretical guidance for engineering applications. Full article
Show Figures

Figure 1

21 pages, 342 KB  
Article
Strongly F-Convex Functions with Structural Characterizations and Applications in Entropies
by Hasan Barsam, Slavica Ivelić Bradanović, Matea Jelić and Yamin Sayyari
Axioms 2025, 14(12), 926; https://doi.org/10.3390/axioms14120926 - 16 Dec 2025
Viewed by 310
Abstract
Strongly convex functions form a central subclass of convex functions and have gained considerable attention due to their structural advantages and broad applicability, particularly in optimization and information theory. In this paper, we investigate the class of strongly F-convex functions, which generalizes [...] Read more.
Strongly convex functions form a central subclass of convex functions and have gained considerable attention due to their structural advantages and broad applicability, particularly in optimization and information theory. In this paper, we investigate the class of strongly F-convex functions, which generalizes the classical notion of strong convexity by introducing an auxiliary convex control function F. We establish several fundamental structural characterizations of this class and provide a variety of nontrivial examples such as power, logarithmic, and exponential functions. In addition, we derive refined Jensen-type and Hermite–Hadamard-type inequalities adapted to the strongly F-convex concept, thereby extending and sharpening their classical forms. As applications, we obtain new analytical inequalities and improved error bounds for entropy-related quantities, including Shannon, Tsallis, and Rényi entropies, demonstrating that the concept of strong F-convexity naturally yields strengthened divergence and uncertainty estimates. Full article
(This article belongs to the Special Issue Advances in Functional Analysis and Banach Space)
31 pages, 1604 KB  
Article
Conformable Time-Delay Systems: Stability and Stabilization Under One-Sided Lipschitz Conditions
by Raouf Fakhfakh, Abdellatif Ben Makhlouf, Ibrahim-Elkhalil Ahmed, Husam E. Dargail and Omar Naifar
Symmetry 2025, 17(12), 2141; https://doi.org/10.3390/sym17122141 - 12 Dec 2025
Viewed by 304
Abstract
This study looks at the stability and stabilization issues concerning the nonlinear time-delay systems specified by conformable derivatives. These requirements can be used for many useful applications. Through the construction of appropriate Lyapunov–Krasovskii functionals, we develop novel linear matrix inequality (LMI) conditions for [...] Read more.
This study looks at the stability and stabilization issues concerning the nonlinear time-delay systems specified by conformable derivatives. These requirements can be used for many useful applications. Through the construction of appropriate Lyapunov–Krasovskii functionals, we develop novel linear matrix inequality (LMI) conditions for the exponential stability of autonomous systems and practical exponential stability for systems subject to bounded perturbations. Furthermore, we propose state-feedback stabilization strategies that transform the controller design problem into a convex optimization framework solvable via efficient LMI techniques. The theoretical developments are comprehensively validated through numerical examples that demonstrate the effectiveness of the proposed stability and stabilization criteria. The results establish a rigorous framework for analyzing and controlling conformable fractional-order systems with time delays, bridging theoretical advances with practical implementation considerations. Full article
(This article belongs to the Section Mathematics)
Show Figures

Figure 1

16 pages, 501 KB  
Article
Synchronization of Markovian Switching Stochastic Delayed Complex Dynamical Networks via Pinning Control
by Yanbo Ling and Shang Gao
Axioms 2025, 14(12), 909; https://doi.org/10.3390/axioms14120909 - 11 Dec 2025
Viewed by 310
Abstract
This study examines the synchronization of Markovian switching stochastic delayed complex dynamical networks (MSSDCDNs). MSSDCDNs have general structures and coupling forms, which are influenced by Markovian switching, random disturbances, and time delays. Simultaneously, relevant controllers are incorporated into certain nodes. Utilizing the theory [...] Read more.
This study examines the synchronization of Markovian switching stochastic delayed complex dynamical networks (MSSDCDNs). MSSDCDNs have general structures and coupling forms, which are influenced by Markovian switching, random disturbances, and time delays. Simultaneously, relevant controllers are incorporated into certain nodes. Utilizing the theory of stochastic differential equations, we establish adequate requirements to guarantee exponential synchronization in mean square inside the network by formulating suitable Lyapunov functions and employing general Itô formula and inequality approaches. Lastly, numerical examples and simulations are used to verify the validity of the derived theoretical results. Full article
Show Figures

Figure 1

21 pages, 1271 KB  
Article
Bell Nonlocality and EPR Steering Decay in Dephasing Hyperfine Spins
by Kamal Berrada and Smail Bougouffa
Axioms 2025, 14(12), 908; https://doi.org/10.3390/axioms14120908 - 10 Dec 2025
Viewed by 252
Abstract
This work presents a comprehensive study of quantum correlations and their degradation under environmental dephasing within the atomic hydrogen system. By analyzing the magnetic coupling between the electron and proton spins in the 1s hyperfine state, we elucidate how coherent spin interactions [...] Read more.
This work presents a comprehensive study of quantum correlations and their degradation under environmental dephasing within the atomic hydrogen system. By analyzing the magnetic coupling between the electron and proton spins in the 1s hyperfine state, we elucidate how coherent spin interactions generate entangled states and govern their temporal evolution. The investigation focuses on three key measures of quantum correlations—Bell nonlocality, Einstein–Podolsky–Rosen (EPR) steering, and quantum purity—each reflecting a different level within the hierarchy of nonclassical correlations. Analytical formulations and numerical simulations reveal that, in the absence of decay, all quantities remain steady, indicating the preservation of coherence. When dephasing is introduced, each measure decays exponentially toward a stationary lower bound, with Bell nonlocality identified as the most fragile, followed by steering and purity. A three-dimensional analysis of Werner states under dephasing further establishes the critical purity thresholds required for Bell inequality violations. The results highlight the interdependence between magnetic coupling, decoherence, and initial entanglement, providing a unified framework for understanding correlation dynamics in open quantum systems. These findings have direct implications for the development of noise-resilient quantum information protocols and spin-based quantum technologies, where preserving nonlocal correlations is essential for reliable quantum operations. Full article
Show Figures

Figure 1

12 pages, 269 KB  
Article
Exponential Stability of Volterra Integro Dynamic Equations on Time Scales
by Andrejs Reinfelds and Shraddha Christian
Mathematics 2025, 13(24), 3918; https://doi.org/10.3390/math13243918 - 8 Dec 2025
Viewed by 311
Abstract
In this paper, we give new sufficient conditions for boundedness and exponential stability of solutions for nonlinear Volterra integro dynamic equations from above on unbounded time scales using first Lyapunovs method. To prove this result we reduce the n-dimensional problem to the [...] Read more.
In this paper, we give new sufficient conditions for boundedness and exponential stability of solutions for nonlinear Volterra integro dynamic equations from above on unbounded time scales using first Lyapunovs method. To prove this result we reduce the n-dimensional problem to the corresponding scalar one using the concept of matrix measure and a new simpler proof of Coppel’s inequality on the time scales. There is an example that illustrates the conditions of the theorem. Full article
23 pages, 1798 KB  
Article
New Insights into Delay-Impulsive Interactions and Stability in Almost Periodic Cohen–Grossberg Neural Networks
by Münevver Tuz and Gülden Altay Suroğlu
Symmetry 2025, 17(12), 2063; https://doi.org/10.3390/sym17122063 - 2 Dec 2025
Viewed by 329
Abstract
This paper investigates the existence and global exponential stability of almost periodic solutions in a class of impulsive Cohen–Grossberg-type bidirectional associative memory (BAM) neural networks with time-varying delays. Real neural systems often experience sudden perturbations and nonuniform temporal interactions, leading to complex oscillatory [...] Read more.
This paper investigates the existence and global exponential stability of almost periodic solutions in a class of impulsive Cohen–Grossberg-type bidirectional associative memory (BAM) neural networks with time-varying delays. Real neural systems often experience sudden perturbations and nonuniform temporal interactions, leading to complex oscillatory behaviors. To capture these effects, a new impulsive Cohen–Grossberg BAM model is developed that integrates both delays and impulsive influences within a unified framework. Using the theory of almost periodic functions, fixed point methods, and impulsive differential inequalities, new sufficient conditions are derived for the existence and stability of almost periodic solutions. A Lyapunov functional combined with a generalized Gronwall-type inequality provides rigorous global exponential stability criteria. Numerical simulations confirm the theoretical analysis. The results extend existing studies and offer new insights into how delay and impulsive factors jointly shape the stability and dynamics of hybrid neural systems, contributing to the design of robust and delay-tolerant neural architectures. Full article
Show Figures

Figure 1

24 pages, 732 KB  
Article
H Performance of FlexRay Protocol-Based Networked Control Systems Subjected to Randomly Occurring Cyber Attacks
by Yuwen Shen and Manfeng Hu
Mathematics 2025, 13(21), 3515; https://doi.org/10.3390/math13213515 - 2 Nov 2025
Viewed by 387
Abstract
This paper investigates the mean square exponential stability (MSES) and H performance analysis of discrete networked control systems (NCSs) based on the FlexRay protocol (FRP) when confronted with randomly occurring cyber attacks (ROCAs). In order to deal with network congestion due to [...] Read more.
This paper investigates the mean square exponential stability (MSES) and H performance analysis of discrete networked control systems (NCSs) based on the FlexRay protocol (FRP) when confronted with randomly occurring cyber attacks (ROCAs). In order to deal with network congestion due to the limited bandwidth, the FRP is used to schedule the information exchange. Besides, a comprehensive attack model is built by simultaneously considering false data injection (FDI) attacks and denial-of-service (DoS) attacks. Then, a mode-dependent output feedback controller is designed on this basis. Furthermore, sufficient conditions for the MSES and H performance of the considered system are derived under the mode-dependent Lyapunov function and average dwell time (ADT) constraints. Subsequently, the controller gains of two modes are determined by solving the recursive linear matrix inequalities (RLMIs) and the FRP-based MSES algorithm is also presented. The simulation verifies that the proposed algorithm maintains the system stability with good robustness and H performance under ROCAs. Full article
(This article belongs to the Section E: Applied Mathematics)
Show Figures

Figure 1

27 pages, 547 KB  
Article
Derivation of the Pareto Index in the Economic System as a Scale-Free Network and Introduction of New Parameters to Monitor Optimal Wealth and Income Distributions
by John G. Ingersoll
Economies 2025, 13(11), 310; https://doi.org/10.3390/economies13110310 - 30 Oct 2025
Viewed by 749
Abstract
The purpose of this work is twofold: first, it aims to derive an exact analytical form of the Pareto index based on the already developed model of the economy as a scale-free network comprising a given amount of either wealth or income (total [...] Read more.
The purpose of this work is twofold: first, it aims to derive an exact analytical form of the Pareto index based on the already developed model of the economy as a scale-free network comprising a given amount of either wealth or income (total number of links, each link representing a non-zero amount or quantum of income or wealth) distributed among its variable number of actors (nodes), all of whom have equal access to the system), and second, it aims to employ the derived analytical form of the Pareto index to determine the degree to which the observed inequality in wealth and in income as measured by the respective empirical values of the Pareto index is inherent in the economic system rather than the result of externally imposed factors invariably reflecting a lack of equal access. The derived analytical form of the Pareto index for wealth or for income is described by an exponential function whose exponent is the inverse of the average number of wealth or of income per actor (one-half of the average number of links per node) in the economic model. This exponent features prominently in the scale-free model of the economy and has a numerical value of 0.69 when the Pareto index attains a numerical value of 2, which signifies the optimal, albeit still unequal, distribution of wealth or of income in the economy under the condition of equal access. Because of the correspondence of the scale-free model of the economy to a physical system comprising quantum particles such as photons in thermodynamic equilibrium or state of maximum entropy in accordance with the laws of statistical mechanics, the inverse of the exponent is proportional to the temperature of the economic system, and a new parameter introduced to describe in a comprehensible manner the deviation in the economic system from its optimal distribution of wealth or income. A comparison of the empirical wealth and income Pareto indexes based on economic data for the four largest economies in the word, i.e., USA, China, Germany, and Japan, which account for over 50% of the global GDP, versus the corresponding optimal values per the scale-free model of the economy reveals interesting trends that can be explained away by the prevailing degrees of equal access, as manifested by inadequate education, health care, and housing, as well as the existence of rules and institutions favoring certain actors over others, particularly with regard to the accumulation of wealth. It has also been determined that the newly introduced parameters in the scale-free model of the economy of temperature as well as the quanta of wealth and of income should be expressed in power purchase exchange rates for meaningful comparisons among national economies over time. Full article
Show Figures

Figure 1

15 pages, 586 KB  
Article
On Probabilistic Convergence Rates of Symmetric Stochastic Bernstein Polynomials
by Shenggang Zhang, Qinjiao Gao and Chungang Zhu
Mathematics 2025, 13(20), 3281; https://doi.org/10.3390/math13203281 - 14 Oct 2025
Viewed by 425
Abstract
This paper analyzes the exponential convergence properties of Symmetric Stochastic Bernstein Polynomials (SSBPs), a novel approximation framework that combines the deterministic precision of classical Bernstein polynomials (BPs) with the adaptive node flexibility of Stochastic Bernstein Polynomials (SBPs). Through innovative applications of order statistics [...] Read more.
This paper analyzes the exponential convergence properties of Symmetric Stochastic Bernstein Polynomials (SSBPs), a novel approximation framework that combines the deterministic precision of classical Bernstein polynomials (BPs) with the adaptive node flexibility of Stochastic Bernstein Polynomials (SBPs). Through innovative applications of order statistics concentration inequalities and modulus of smoothness analysis, we derive the first probabilistic convergence rates for SSBPs across all Lp (1p) norms and in pointwise approximation. Numerical experiments demonstrate dual advantages: (1) SSBPs achieve comparable L errors to BPs in approximating fundamental stochastic functions (uniform distribution and normal density), while significantly outperforming SBPs; (2) empirical convergence curves validate exponential decay of approximation errors. These results position SSBPs as a principal solution for stochastic approximation problems requiring both mathematical rigor and computational adaptability. Full article
(This article belongs to the Special Issue Nonlinear Functional Analysis: Theory, Methods, and Applications)
Show Figures

Figure 1

21 pages, 2239 KB  
Review
Unequal Horizons: Global North–South Disparities in Archaeological Earth Observation (2000–2025)
by Athos Agapiou
Remote Sens. 2025, 17(19), 3371; https://doi.org/10.3390/rs17193371 - 6 Oct 2025
Cited by 1 | Viewed by 1459
Abstract
This systematic review analyzes 4359 archaeologically relevant publications spanning 25 years to examine global disparities in archaeological remote sensing research between Global North and Global South participation. This study reveals deep inequalities among these regions, with 72.1% of research output originating from Global [...] Read more.
This systematic review analyzes 4359 archaeologically relevant publications spanning 25 years to examine global disparities in archaeological remote sensing research between Global North and Global South participation. This study reveals deep inequalities among these regions, with 72.1% of research output originating from Global North-only institutions, despite these regions hosting less than half of UNESCO World Heritage Sites. The temporal analysis demonstrates exponential growth, with 47.2% of all research published in the last five years, indicating rapid technological advancement concentrated in well-resourced institutions. Sub-Saharan Africa produces only 0.6% of research output while hosting 9.4% of World Heritage Sites, highlighting a technology gap in heritage protection. The findings suggest an urgent need for coordinated interventions to address structural inequalities and promote technological fairness in global heritage preservation. The research employed bibliometric analysis of Scopus database records from four complementary search strategies, revealing that just three countries—Italy (20.3%), the United States (16.7%), and the United Kingdom (10.0%)—account for nearly half of all archaeological remote sensing research and applications worldwide. This study documents patterns that have profound implications for cultural heritage preservation and sustainable development in an increasingly digital world where advanced Earth observation technologies have become essential for effective heritage protection and archaeological research. Full article
Show Figures

Figure 1

25 pages, 2032 KB  
Article
Mapping the Research Landscape of Sustainable Fashion: A Bibliometric Analysis
by Sai-Leung Ng and Shou-Hung Chen
Metrics 2025, 2(4), 21; https://doi.org/10.3390/metrics2040021 - 4 Oct 2025
Viewed by 2329
Abstract
The fashion industry, despite its global economic importance, is a major contributor to environmental degradation and social inequality. In response, sustainable fashion has emerged as a growing movement advocating ethical, ecological, and socially responsible practices. This study presents a comprehensive bibliometric analysis of [...] Read more.
The fashion industry, despite its global economic importance, is a major contributor to environmental degradation and social inequality. In response, sustainable fashion has emerged as a growing movement advocating ethical, ecological, and socially responsible practices. This study presents a comprehensive bibliometric analysis of 1134 peer-reviewed journal articles on sustainable fashion indexed in Scopus from 1986 to 2025. Results show an exponential rise in research output after 2015, with interdisciplinary contributions from social sciences, business, environmental science, and engineering. By applying performance analysis and science mapping techniques, the study identifies five major research themes: “Consumer Behavior,” “Design Ethics,” “Circular Economy,” “Innovation,” and “Digital Media.” The geographic distribution reveals strong outputs from both developed and emerging economies. This study provides an integrative overview of the intellectual landscape of sustainable fashion and serves as a roadmap for researchers, policymakers, and practitioners who are interested in the development of sustainable fashion. Full article
Show Figures

Figure 1

13 pages, 322 KB  
Article
Observer-Based Exponential Stabilization for Time Delay Takagi–Sugeno–Lipschitz Models
by Omar Kahouli, Hamdi Gassara, Lilia El Amraoui and Mohamed Ayari
Mathematics 2025, 13(19), 3170; https://doi.org/10.3390/math13193170 - 3 Oct 2025
Viewed by 494
Abstract
This paper addresses the problem of observer-based control (OBC) for nonlinear systems with time delay (TD). A novel hybrid modeling framework for nonlinear TD systems is first introduced by synergistically combining TD Takagi–Sugeno (TDTS) fuzzy and Lipschitz approaches. The proposed methodology broadens the [...] Read more.
This paper addresses the problem of observer-based control (OBC) for nonlinear systems with time delay (TD). A novel hybrid modeling framework for nonlinear TD systems is first introduced by synergistically combining TD Takagi–Sugeno (TDTS) fuzzy and Lipschitz approaches. The proposed methodology broadens the range of representable systems by enabling Lipschitz nonlinearities to fulfill dual functions: they may describe essential dynamic behaviors of the system or represent aggregated uncertainties, depending on the specific application. The proposed TDTS–Lipschitz (TDTSL) model class features measurable premise variables while accommodating Lipschitz nonlinearities that may depend on unmeasurable system states. Then, through the construction of an appropriate Lyapunov–Krasovskii (L-K) functional, we derive sufficient conditions to ensure exponential stability of the augmented closed-loop model. Subsequently, through a decoupling methodology, these stability conditions are reformulated as a set of linear matrix inequalities (LMIs). Finally, the proposed OBC design is validated through application to a continuous stirred tank reactor (CSTR) with lumped uncertainties. Full article
(This article belongs to the Special Issue Advances in Nonlinear Analysis: Theory, Methods and Applications)
Show Figures

Figure 1

Back to TopTop