Observer-Based Exponential Stabilization for Time Delay Takagi–Sugeno–Lipschitz Models
Abstract
1. Introduction
2. Problem Statement
3. Main Results
- We explicitly account for time delay, addressing a critical gap in practical system modeling.
- While prior works focus on asymptotic stability, we establish the more demanding exponential stability, ensuring faster convergence and enhanced robustness.
- Instead of restricting the analysis to Lipschitz nonlinearities, we address a broader class of nonlinearities that can be approximated using the TS fuzzy modeling approach.
- By neglecting the time-delay terms in our formulation and using the functional .
- Reducing the stability requirement from exponential to asymptotic convergence by setting .
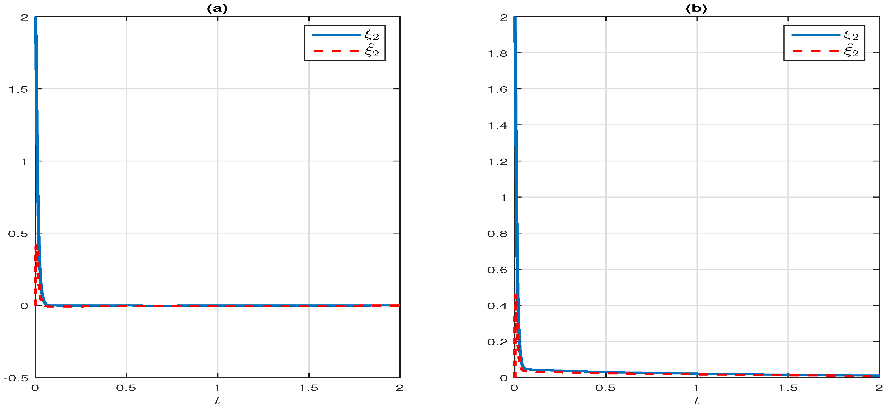
4. Application to a CSTR with Lumped Uncertainties
5. Conclusions
Author Contributions
Funding
Data Availability Statement
Acknowledgments
Conflicts of Interest
References
- Takagi, T.; Sugeno, M. Fuzzy identification of systems and its applications to modeling and control. IEEE Trans. Syst. Man Cybern. 1985, 15, 116–132. [Google Scholar] [CrossRef]
- Guerra, T.M.; Kruszewski, A.; Vermeiren, L.; Tirmant, H. Conditions of output stabilization for nonlinear models in the Takagi-Sugeno’s form. Fuzzy Sets Syst. 2006, 157, 1248–1259. [Google Scholar] [CrossRef]
- Maalej, S.; Kruszewski, A. Stability and performances synthesis of a class of Takagi-Sugeno systems with unmeasured premises: Restricted-model-based approach. Int. J. Syst. Sci. 2023, 54, 443–461. [Google Scholar] [CrossRef]
- Tian, E.; Yue, D. Reliable H∞ filter design for T–S fuzzy model-based networked control systems with random sensor failure. Int. J. Robust Nonlinear Control 2013, 23, 15–32. [Google Scholar] [CrossRef]
- Kharrat, D.; Gassara, H.; El Hajjaji, A.; Chaabane, M. Adaptive observer-based H∞ FTC for TS fuzzy systems: Application to cart motion model. J. Frankl. Inst. 2020, 357, 12062–12084. [Google Scholar] [CrossRef]
- Makni, S.; Bouattour, M.; El Hajjaji, A.; Chaabane, M. Robust fault tolerant control based on adaptive observer for Takagi–Sugeno fuzzy systems with sensor and actuator faults: Application to single-link manipulator. Trans. Inst. Meas. Control 2020, 42, 2308–2323. [Google Scholar] [CrossRef]
- Chi, M.; Zhang, A.; Wang, X.; Ye, L. Interval observer-based control of Takagi–Sugeno fuzzy systems with uncertainties. IEEE Trans. Fuzzy Syst. 2025, 33, 2136–2147. [Google Scholar] [CrossRef]
- Shen, W.; Shi, P.; Lu, T.-F.; Yuan, X. Observer-based non-fragile H∞ control for discrete-time Takagi–Sugeno fuzzy systems. J. Frankl. Inst. 2025, 362, 107704. [Google Scholar] [CrossRef]
- Zemouche, A.; Rajamani, R.; Kheloufi, H.; Bedouhene, F. Robust observer-based stabilization of Lipschitz nonlinear uncertain systems via LMIs discussions and new design procedure. Int. J. Robust Nonlinear Control 2016, 27, 1915–1939. [Google Scholar] [CrossRef]
- Ahmad, S.; Rehan, M. On observer-based control of one-sided Lipschitz systems. J. Frankl. Inst. 2016, 353, 903–916. [Google Scholar] [CrossRef]
- Alessandri, A.; Cioncolini, A.; Padovani, D. Design of Observer-Based Controllers for Lipschitz Nonlinear Systems by Using LMIs. In Proceedings of the 2024 IEEE 63rd Conference on Decision and Control (CDC), Milan, Italy, 16–19 December 2024. [Google Scholar]
- El Haiek, B.; El Aiss, H.; Hmamed, A.; El Hajjaji, A.; Tissir, E.H. New approach to robust observer-based control of one-sided Lipschitz non-linear systems. IET Control Theory Appl. 2019, 13, 333–342. [Google Scholar] [CrossRef]
- Cao, Y.-Y.; Frank, P.M. Analysis and synthesis of nonlinear time-delay systems via fuzzy control approach. IEEE Trans. Fuzzy Syst. 2000, 8, 200–211. [Google Scholar] [CrossRef]
- Gassara, H.; El Hajjaji, A.; Chaabane, M. Robust Control of T-S fuzzy systems with time-varying delay: New approach. In Proceedings of the 48th IEEE Conference on Decision and Control (CDC), Shanghai, China, 16–18 December 2009. [Google Scholar]
- El Aiss, H.; Zoulagh, T.; El Hajjaji, A.; Hmamed, A. Full and reduced-order H∞ filtering of Takagi–Sugeno fuzzy time-varying delay systems: Input–output approach. Int. J. Adapt. Control Signal Process. 2021, 35, 748–768. [Google Scholar] [CrossRef]
- Mátyás, A.; Nagy, Z.; Lendek, Z. Stabilization of time-delay nonlinear systems using Takagi-Sugeno fuzzy models. Fuzzy Sets Syst. 2024, 480, 108861. [Google Scholar] [CrossRef]
- Hu, G.-D.; Dong, W.; Cong, Y. Separation principle for quasi-one-sided Lipschitz nonlinear systems with time delay. Int. J. Robust Nonlinear Control 2020, 30, 2430–2442. [Google Scholar] [CrossRef]
- Nguyen, M.C.; Trinh, H. Reduced-order observer design for one-sided Lipschitz time-delay systems subject to unknown inputs. IET Control Theory Appl. 2016, 10, 1097–1105. [Google Scholar] [CrossRef]
- Dong, W.; Zhao, Y.; Cong, Y. Reduced-order observer-based controller design for quasi-one-sided Lipschitz nonlinear systems with time delay. Int. J. Robust Nonlinear Control 2021, 31, 817–831. [Google Scholar] [CrossRef]
- Esmail, A.H.; Ghous, I.; Duan, Z.; Jaffery, M.H.; Li, S. Observer-based control for time-delayed quasi-one-sided Lipschitz nonlinear systems under input saturation. Fuzzy Sets Syst. 2024, 361, 107326. [Google Scholar] [CrossRef]
- Yang, R.; Rotondo, D.; Puig, V. Observer-based model reference control of Takagi-Sugeno-Lipschitz systems affected by disturbances using quadratic boundedness. Asian J. Control 2021, 23, 42–56. [Google Scholar] [CrossRef]
- Chang, X.-H.; Zhang, L.; Park, J.H. Robust static output feedback H∞ control for uncertain fuzzy systems. Fuzzy Sets Syst. 2015, 273, 87–104. [Google Scholar] [CrossRef]
- Wang, X.; Pang, N.; Xu, Y.; Huang, T.; Kurths, J. On State-Constrained Containment Control for Nonlinear Multiagent Systems Using Event-Triggered Input. IEEE Trans. Syst. Man, Cybern. Syst. 2024, 54, 2530–2538. [Google Scholar] [CrossRef]
- Tong, S.; Sun, K.; Sui, S. Observer-Based Adaptive Fuzzy Decentralized Optimal Control Design for Strict-Feedback Nonlinear Large-Scale Systems. IEEE Trans. Fuzzy Syst. 2018, 26, 569–584. [Google Scholar] [CrossRef]
- Lin, C.; Wang, Q.-G.; Lee, T.H. Stabilization of Uncertain Fuzzy Time-Delay Systems via Variable Structure Control Approach. IEEE Trans. Fuzzy Syst. 2005, 13, 787–798. [Google Scholar] [CrossRef]



Disclaimer/Publisher’s Note: The statements, opinions and data contained in all publications are solely those of the individual author(s) and contributor(s) and not of MDPI and/or the editor(s). MDPI and/or the editor(s) disclaim responsibility for any injury to people or property resulting from any ideas, methods, instructions or products referred to in the content. |
© 2025 by the authors. Licensee MDPI, Basel, Switzerland. This article is an open access article distributed under the terms and conditions of the Creative Commons Attribution (CC BY) license (https://creativecommons.org/licenses/by/4.0/).
Share and Cite
Kahouli, O.; Gassara, H.; El Amraoui, L.; Ayari, M. Observer-Based Exponential Stabilization for Time Delay Takagi–Sugeno–Lipschitz Models. Mathematics 2025, 13, 3170. https://doi.org/10.3390/math13193170
Kahouli O, Gassara H, El Amraoui L, Ayari M. Observer-Based Exponential Stabilization for Time Delay Takagi–Sugeno–Lipschitz Models. Mathematics. 2025; 13(19):3170. https://doi.org/10.3390/math13193170
Chicago/Turabian StyleKahouli, Omar, Hamdi Gassara, Lilia El Amraoui, and Mohamed Ayari. 2025. "Observer-Based Exponential Stabilization for Time Delay Takagi–Sugeno–Lipschitz Models" Mathematics 13, no. 19: 3170. https://doi.org/10.3390/math13193170
APA StyleKahouli, O., Gassara, H., El Amraoui, L., & Ayari, M. (2025). Observer-Based Exponential Stabilization for Time Delay Takagi–Sugeno–Lipschitz Models. Mathematics, 13(19), 3170. https://doi.org/10.3390/math13193170

