Sign in to use this feature.

Years

Between: -

Subjects

remove_circle_outline
remove_circle_outline
remove_circle_outline
remove_circle_outline
remove_circle_outline
remove_circle_outline
remove_circle_outline
remove_circle_outline
remove_circle_outline

Journals

remove_circle_outline
remove_circle_outline
remove_circle_outline
remove_circle_outline
remove_circle_outline
remove_circle_outline
remove_circle_outline
remove_circle_outline
remove_circle_outline
remove_circle_outline
remove_circle_outline
remove_circle_outline
remove_circle_outline
remove_circle_outline
remove_circle_outline
remove_circle_outline
remove_circle_outline
remove_circle_outline
remove_circle_outline

Article Types

Countries / Regions

remove_circle_outline
remove_circle_outline
remove_circle_outline
remove_circle_outline
remove_circle_outline
remove_circle_outline

Search Results (1,039)

Search Parameters:
Keywords = execution scores

Order results
Result details
Results per page
Select all
Export citation of selected articles as:
18 pages, 1573 KB  
Article
Cognitive Flexibility and Inhibition Deficits in HIV and Cocaine Dependence: Evidence from Stroop and Trail Making Tests
by Sarah E. Nigro, Minjie Wu, Betty Jo Salmeron, Sharmin Islam-Souleimanova, Eve Lauer, Anthony C. Juliano, Alinda R. Lord, Atash Sabet, Lisa H. Lu, T. Celeste Napier, Audrey L. French, Howard J. Aizenstein, Yihong Yang and Shaolin Yang
Viruses 2026, 18(1), 122; https://doi.org/10.3390/v18010122 - 16 Jan 2026
Viewed by 158
Abstract
Objective: To better define potential executive function difficulties in individuals living with HIV but not clinically identified as having HAND, with and without mild to moderate cocaine dependence (CD), our cross-sectional study examined executive function performance on the Stroop Color-Word Test (Stroop) and [...] Read more.
Objective: To better define potential executive function difficulties in individuals living with HIV but not clinically identified as having HAND, with and without mild to moderate cocaine dependence (CD), our cross-sectional study examined executive function performance on the Stroop Color-Word Test (Stroop) and the Trail Making Test (TMT) in four groups stratified by HIV and CD status. Method: We recruited 101 participants (26 HIV+/CD+; 18 HIV+/CD−; 30 HIV−/CD+; 27 HIV−/CD−). We utilized a 2 (HIV: yes/no) × 2 (Cocaine: yes/no) MANCOVA while controlling for age and premorbid intelligence on the Stroop trials (i.e., color-naming, word-reading, interference), and TMT-A and TMT-B z-scores, number of errors, and the B/A ratio. Results: HIV was associated with significantly slower performance on the Stroop Interference (p = 0.012, η2 = 0.064). CD showed a trend towards slower performance on interference trials (p = 0.061, η2 = 0.037) and was associated with significantly more errors on the Stroop Word-Reading (p = 0.028, η2 = 0.050) and Interference trials (p = 0.046, η2 = 0.041), suggestive of difficulties with inhibitory control and written language processing. There were no significant HIV × Cocaine interactions. Conclusions: Our results suggest HIV without clinically identified cognitive impairment and CD are associated with distinct and potentially overlapping executive functioning deficits, particularly for measures of inhibitory control. Notably, CD showed trend-level slowing on Stroop Interference performance, suggesting partial overlap with HIV effects. Clarifying the specific cognitive processes impacted by HIV and CD can help guide tailored interventions to improve functional outcomes in these populations. Full article
(This article belongs to the Special Issue HIV Neurological Disorders: 2nd Edition)
Show Figures

Figure 1

13 pages, 1009 KB  
Case Report
Precision Neuromodulation Treatment Reverses Motor and Cognitive Slowing After Stroke: Clinical and Neurophysiological Evidence
by Gianna Carla Riccitelli, Riccardo Gironi, Edoardo Ricci, Pamela Agazzi, Daniela Distefano, Chiara Zecca, Claudio Gobbi and Alain Kaelin-Lang
J. Clin. Med. 2026, 15(2), 713; https://doi.org/10.3390/jcm15020713 - 15 Jan 2026
Viewed by 101
Abstract
Background/Objectives: Chronic psychomotor and cognitive slowing after stroke can persist despite standard rehabilitation, especially in young adults with subcortical injuries. Innovative, integrated interventions are crucial for patients who have reached a plateau in their rehabilitation. We present a case of a 41-year-old male [...] Read more.
Background/Objectives: Chronic psychomotor and cognitive slowing after stroke can persist despite standard rehabilitation, especially in young adults with subcortical injuries. Innovative, integrated interventions are crucial for patients who have reached a plateau in their rehabilitation. We present a case of a 41-year-old male with chronic psychomotor and cognitive slowing following a left lenticulostriate infarction (NIHSS score = 5 at onset), who had plateaued after conventional rehabilitation. Methods: Over 4 weeks the patient underwent 20 sessions of a multimodal approach including high-frequency repetitive transcranial magnetic resonance stimulation over the supplementary motor area and bilateral temporo-parietal junctions and simultaneous computerized cognitive training targeting attention and executive function. Both motor and cognitive assessments, along with quantitative EEG (qEEG) evaluations, were conducted before and after the treatment. Results: At the end of treatment, the patient showed significant clinical improvement: speed and coordination in upper extremities (Finger Tapping Test) increased by 66% (dominant hand) and 74% (non-dominant hand), while finger dexterity (Nine-Hole Peg Test) increased by 25% (dominant hand) and 19% (non-dominant hand). Cognitive scores improved in alertness (58%), visual exploration (25%), and flexibility (24%), while divided attention remained stable. qEEG investigation showed increases in alpha (79%), gamma (33%), and beta (10%) power, with topographic shifts in the stimulated regions. Conclusions: These findings highlight the feasibility of combining targeted rTMS and cognitive training to enhance neuroplasticity in the chronic phase of stroke. Clinical recovery was accompanied by normalized cortical rhythms, suggesting qEEG biomarkers may be useful for tracking treatment response. Multimodal precision neurorehabilitation may offer a path forward for patients with persistent cognitive–motor deficits post-stroke. Full article
(This article belongs to the Special Issue Clinical Rehabilitation Strategies and Exercise for Stroke Recovery)
Show Figures

Figure 1

28 pages, 22992 KB  
Article
Domain Knowledge-Infused Synthetic Data Generation for LLM-Based ICS Intrusion Detection: Mitigating Data Scarcity and Imbalance
by Seokhyun Ann, Hongeun Kim, Suhyeon Park, Seong-je Cho, Joonmo Kim and Harksu Cho
Electronics 2026, 15(2), 371; https://doi.org/10.3390/electronics15020371 - 14 Jan 2026
Viewed by 146
Abstract
Industrial control systems (ICSs) are increasingly interconnected with enterprise IT networks and remote services, which expands the attack surface of operational technology (OT) environments. However, collecting sufficient attack traffic from real OT/ICS networks is difficult, and the resulting scarcity and class imbalance of [...] Read more.
Industrial control systems (ICSs) are increasingly interconnected with enterprise IT networks and remote services, which expands the attack surface of operational technology (OT) environments. However, collecting sufficient attack traffic from real OT/ICS networks is difficult, and the resulting scarcity and class imbalance of malicious data hinder the development of intrusion detection systems (IDSs). At the same time, large language models (LLMs) have shown promise for security analytics when system events are expressed in natural language. This study investigates an LLM-based network IDS for a smart-factory OT/ICS environment and proposes a synthetic data generation method that injects domain knowledge into attack samples. Using the ICSSIM simulator, we construct a bottle-filling smart factory, implement six MITRE ATT&CK for ICS-based attack scenarios, capture Modbus/TCP traffic, and convert each request–response pair into a natural-language description of network behavior. We then generate synthetic attack descriptions with GPT by combining (1) statistical properties of normal traffic, (2) MITRE ATT&CK for ICS tactics and techniques, and (3) expert knowledge obtained from executing the attacks in ICSSIM. The Llama 3.1 8B Instruct model is fine-tuned with QLoRA on a seven-class classification task (Benign vs. six attack types) and evaluated on a test set composed exclusively of real ICSSIM traffic. Experimental results show that synthetic data generated only from statistical information, or from statistics plus MITRE descriptions, yield limited performance, whereas incorporating environment-specific expert knowledge is associated with substantially higher performance on our ICSSIM-based expanded test set (100% accuracy in binary detection and 96.49% accuracy with a macro F1-score of 0.958 in attack-type classification). Overall, these findings suggest that domain-knowledge-infused synthetic data and natural-language traffic representations can support LLM-based IDSs in OT/ICS smart-factory settings; however, further validation on larger and more diverse datasets is needed to confirm generality. Full article
(This article belongs to the Special Issue AI-Enhanced Security: Advancing Threat Detection and Defense)
Show Figures

Figure 1

30 pages, 10476 KB  
Article
Large-Scale Multi-UAV Task Allocation via a Centrality-Driven Load-Aware Adaptive Consensus Bundle Algorithm for Biomimetic Swarm Coordination
by Weifei Gan, Hongxuan Xu, Yunwei Bai, Xin Zhou, Wangyu Wu and Xiaofei Du
Biomimetics 2026, 11(1), 69; https://doi.org/10.3390/biomimetics11010069 - 14 Jan 2026
Viewed by 97
Abstract
Large multi-UAV mission systems operate over time-varying communication graphs with heterogeneous platforms, where classical distributed task assignment may incur excessive message passing and suboptimal task–resource matching. To address these challenges, this paper proposes CLAC-CBBA (Centrality-Driven and Load-Aware Adaptive Clustering CBBA), an enhanced variant [...] Read more.
Large multi-UAV mission systems operate over time-varying communication graphs with heterogeneous platforms, where classical distributed task assignment may incur excessive message passing and suboptimal task–resource matching. To address these challenges, this paper proposes CLAC-CBBA (Centrality-Driven and Load-Aware Adaptive Clustering CBBA), an enhanced variant of the Consensus-Based Bundle Algorithm (CBBA) for large heterogeneous swarms. The proposed method is biomimetic in the sense that it integrates swarm-inspired self-organization and load-aware self-regulation to improve scalability and robustness, resembling decentralized role emergence and negative-feedback workload balancing in natural swarms. Specifically, CLAC-CBBA first identifies key nodes via a centrality-based adaptive cluster-reconfiguration mechanism (CenCluster) and partitions the network into cooperation domains to reduce redundant communication. It then applies a load-aware cluster self-regulation mechanism (LCSR), which combines resource attributes and spatial information, uses K-medoids clustering, and triggers split/merge reconfiguration based on real-time load imbalance. CBBA bidding is executed locally within clusters, while anchors and cluster representatives synchronize winners/bids to ensure globally consistent, conflict-free assignments. Simulations across diverse network densities and swarm sizes show that CLAC-CBBA reduces communication overhead and runtime while improving total task score compared with CBBA and several advanced variants, with statistically significant gains. These results demonstrate that CLAC-CBBA is scalable and robust for large-scale heterogeneous UAV task allocation. Full article
(This article belongs to the Section Biological Optimisation and Management)
Show Figures

Figure 1

24 pages, 654 KB  
Article
Examination of the Effects of a Play-Based Mindfulness Training Program on Resilience, Emotion Regulation Skills, and Executive Functions of Preschool Children
by Betül Kapkın İçen and Osman Tayyar Çelik
Children 2026, 13(1), 110; https://doi.org/10.3390/children13010110 - 12 Jan 2026
Viewed by 180
Abstract
Background/Objectives: The cognitive processes underlying learning are critical for educational practices. While mindfulness-based approaches to strengthening these cognitive processes have become widespread, studies focusing on game-based development of executive functions, particularly in preschool settings, are limited. The primary objective of this study is [...] Read more.
Background/Objectives: The cognitive processes underlying learning are critical for educational practices. While mindfulness-based approaches to strengthening these cognitive processes have become widespread, studies focusing on game-based development of executive functions, particularly in preschool settings, are limited. The primary objective of this study is to develop a play-based mindfulness intervention program for preschool children and to examine the effects of this program on preschool children’s resilience, emotion regulation skills, and executive functions. Methods: The study employed a pretest–post-test control-group experimental design. The study group consisted of 40 children (20 experimental and 20 control) aged 5–6 years, attending a kindergarten in Malatya province, Türkiye. The Devereux Early Childhood Assessment Scale (DECA-P2), Emotion Regulation Scale (ERS), and Childhood Executive Functions Inventory (CHEXI) were used as data collection tools. Independent-samples t-tests were used for baseline analysis, and a two-way repeated-measures ANOVA was used to evaluate the program’s effects. Results: Findings showed that there was a statistically significant difference between the pre-test and post-test mean scores of the children in the experimental group compared with those in the control group for resilience, emotion regulation, and executive function (p < 0.05). Conclusions: Strong evidence was obtained that play-based mindfulness training has positive effects on the cognitive and emotional development of preschool children. Full article
(This article belongs to the Section Pediatric Mental Health)
Show Figures

Figure 1

24 pages, 1788 KB  
Article
Uncertainty-Aware Machine Learning for NBA Forecasting in Digital Betting Markets
by Matteo Montrucchio, Enrico Barbierato and Alice Gatti
Information 2026, 17(1), 56; https://doi.org/10.3390/info17010056 - 8 Jan 2026
Viewed by 296
Abstract
This study introduces a fully uncertainty-aware forecasting framework for NBA games that integrates team-level performance metrics, rolling-form indicators, and spatial shot-chart embeddings. The predictive backbone is a recurrent neural network equipped with Monte Carlo dropout, yielding calibrated sequential probabilities. The model is evaluated [...] Read more.
This study introduces a fully uncertainty-aware forecasting framework for NBA games that integrates team-level performance metrics, rolling-form indicators, and spatial shot-chart embeddings. The predictive backbone is a recurrent neural network equipped with Monte Carlo dropout, yielding calibrated sequential probabilities. The model is evaluated against strong baselines including logistic regression, XGBoost, convolutional models, a GRU sequence model, and both market-only and non-market-only benchmarks. All experiments rely on strict chronological partitioning (train ≤ 2022, validation 2023, test 2024), ablation tests designed to eliminate any circularity with bookmaker odds, and cross-season robustness checks spanning 2012–2024. Predictive performance is assessed through accuracy, Brier score, log-loss, AUC, and calibration metrics (ECE/MCE), complemented by SHAP-based interpretability to verify that only pre-game information influences predictions. To quantify economic value, calibrated probabilities are fed into a frictionless betting simulator using fractional-Kelly staking, an expected-value threshold, and bootstrap-based uncertainty estimation. Empirically, the uncertainty-aware model delivers systematically better calibration than non-Bayesian baselines and benefits materially from the combination of shot-chart embeddings and recent-form features. Economic value emerges primarily in less-efficient segments of the market: The fused predictor outperforms both market-only and non-market-only variants on moneylines, while spreads and totals show limited exploitable edge, consistent with higher pricing efficiency. Sensitivity studies across Kelly multipliers, EV thresholds, odds caps, and sequence lengths confirm that the findings are robust to modelling and decision-layer perturbations. The paper contributes a reproducible, decision-focused framework linking uncertainty-aware prediction to economic outcomes, clarifying when predictive lift can be monetized in NBA markets, and outlining methodological pathways for improving robustness, calibration, and execution realism in sports forecasting. Full article
Show Figures

Graphical abstract

15 pages, 946 KB  
Article
Short-Term Effects of a Structured Boxing Program on Technical Skill Acquisition in Novice Female Students
by Francesca Martusciello, Andrea Perazzetti, Arben Kaçurri, Sead Bushati, Aldo Muçalliu and Antonio Tessitore
J. Funct. Morphol. Kinesiol. 2026, 11(1), 26; https://doi.org/10.3390/jfmk11010026 - 8 Jan 2026
Viewed by 201
Abstract
Background: Despite the increasing interest in combat sports within higher education, studies on technical skill acquisition among novice female students remains limited. This study examined the effects of a short-term structured boxing program on the acquisition and retention of fundamental technical skills, focusing [...] Read more.
Background: Despite the increasing interest in combat sports within higher education, studies on technical skill acquisition among novice female students remains limited. This study examined the effects of a short-term structured boxing program on the acquisition and retention of fundamental technical skills, focusing on stance (S), straight punches (SP), hooks (H), and uppercuts (U) among novice female university students. Methods: Technical performance was assessed under static and dynamic conditions at baseline (T1), after four weeks of course (T2), and at a two-month follow-up (T3) using customized scoring system. Handgrip strength (HG) and countermovement jump (CMJ) were measured as exploratory neuromuscular outcomes. Results: Results showed significant improvements in all technical skills at T2 compared with T1, in both static and dynamic executions (p < 0.001). Straight punches showed higher composite scores than hooks and uppercuts, while static performance was superior to dynamic execution (p < 0.001). Compared with T2, T3 showed a partial decline in performance for each skill in both executions (p < 0.001) (Sstatic = −18%; SPstatic = −17%; Hstatic = −19%; Ustatic = −19%; Sdynamic = −22%; SPdynamic = −18%; Hdynamic = −19%; Udynamic = −21%), although T3 values generally remained above T1 baseline (Sstatic = +3%; SPstatic = +19%; Hstatic = +22%; Ustatic = +29%; Sdynamic = −7%; SPdynamic = +29%; Hdynamic = +29%; Udynamic = +31%). HG showed a significant time effect (p = 0.005), while CMJ did not change significantly. Conclusions: These findings indicate that a short-term structured boxing program can effectively improve the technical boxing skills in female beginners. This supports the inclusion of a boxing course in university sport science curricula to enhance technical, motor, and educational development. Full article
Show Figures

Figure 1

32 pages, 3746 KB  
Article
Schema Retrieval with Embeddings and Vector Stores Using Retrieval-Augmented Generation and LLM-Based SQL Query Generation
by Mehmet Bozdemir and Metin Bilgin
Appl. Sci. 2026, 16(2), 586; https://doi.org/10.3390/app16020586 - 6 Jan 2026
Viewed by 269
Abstract
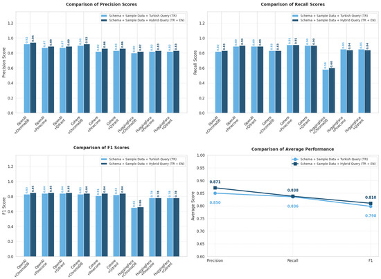
In today’s world, where the volume and variety of data are increasing at an extraordinary rate, extracting meaningful insights from data is of critical importance; however, the complexity of standard database query languages makes it difficult for users without technical expertise to access [...] Read more.
In today’s world, where the volume and variety of data are increasing at an extraordinary rate, extracting meaningful insights from data is of critical importance; however, the complexity of standard database query languages makes it difficult for users without technical expertise to access information. This study proposes an innovative Retrieval-Augmented Generation (RAG) architecture that analyzes natural language queries, identifies related database schemas, and automatically converts them to SQL. Unlike fixed schema selection (fixed-k) methods, a unique hierarchical clustering mechanism is introduced to dynamically determine the number of relevant schemas, minimizing noise. Furthermore, the architecture incorporates an iterative repair mechanism, data enrichment with sample rows, and a hybrid query strategy (Turkish + English) to overcome cross-lingual barriers. Performance evaluations on 15 databases demonstrate that the proposed method improved the schema retrieval F1 score from 0.79 to 0.88. In the SQL generation phase, the execution accuracy (EX) of the GPT-4o model increased from 0.70 to 0.78 with the proposed optimizations, representing an approximate 11% improvement relative to the baseline configuration without requiring fine-tuning. Full article
(This article belongs to the Special Issue AI-Based Data Science and Database Systems)
Show Figures

Figure 1

19 pages, 778 KB  
Article
GALR: Graph-Based Root Cause Localization and LLM-Assisted Recovery for Microservice Systems
by Wenya Zhang, Zhi Yang, Fang Peng, Le Zhang, Yiting Chen and Ruibo Chen
Electronics 2026, 15(1), 243; https://doi.org/10.3390/electronics15010243 - 5 Jan 2026
Viewed by 262
Abstract
With the rapid evolution of cloud-native platforms, microservice-based systems have become increasingly large-scale and complex, making fast and accurate root cause localization and recovery a critical challenge. Runtime signals in such systems are inherently multimodal—combining metrics, logs, and traces—and are intertwined through deep, [...] Read more.
With the rapid evolution of cloud-native platforms, microservice-based systems have become increasingly large-scale and complex, making fast and accurate root cause localization and recovery a critical challenge. Runtime signals in such systems are inherently multimodal—combining metrics, logs, and traces—and are intertwined through deep, dynamic service dependencies, which often leads to noisy alerts, ambiguous fault propagation paths, and brittle, manually curated recovery playbooks. To address these issues, we propose GALR, a graph- and LLM-based framework for root cause localization and recovery in microservice-based business middle platforms. GALR first constructs a multimodal service call graph by fusing time-series metrics, structured logs, and trace-derived topology, and employs a GAT-based root cause analysis module with temporal-aware edge attention to model failure propagation. On top of this, an LLM-based node enhancement mechanism infers anomaly, normal, and uncertainty scores from log contexts and injects them into node representations and attention bias terms, improving robustness under noisy or incomplete signals. Finally, GALR integrates a retrieval-augmented LLM agent that retrieves similar historical cases and generates executable recovery strategies, with consistency checking against expert-standard playbooks to ensure safety and reproducibility. Extensive experiments on three representative microservice datasets demonstrate that GALR consistently achieves superior Top-k accuracy and mean reciprocal rank for root cause localization, while the retrieval-augmented agent yields substantially more accurate and actionable recovery plans compared with graph-only and LLM-only baselines, providing a practical closed-loop solution from anomaly perception to recovery execution. Full article
(This article belongs to the Special Issue Advanced Techniques for Multi-Agent Systems)
Show Figures

Figure 1

17 pages, 1161 KB  
Article
Dual-Stream STGCN with Motion-Aware Grouping for Rehabilitation Action Quality Assessment
by Zhejun Kuang, Zhaotin Yin, Yuheng Yang, Jian Zhao and Lei Sun
Sensors 2026, 26(1), 287; https://doi.org/10.3390/s26010287 - 2 Jan 2026
Viewed by 274
Abstract
Action quality assessment automates the evaluation of human movement proficiency, which is vital for applications like sports training and rehabilitation, where objective feedback enhances patient outcomes. Action quality assessment processes motion capture data to generate quality scores for action execution. In rehabilitation exercises, [...] Read more.
Action quality assessment automates the evaluation of human movement proficiency, which is vital for applications like sports training and rehabilitation, where objective feedback enhances patient outcomes. Action quality assessment processes motion capture data to generate quality scores for action execution. In rehabilitation exercises, joints typically work synergistically in functional groups. However, existing methods struggle to accurately model the collaborative relationships between joints. Fixed joint grouping is not flexible enough, while fully adaptive grouping lacks the guidance of prior knowledge. In this paper, based on rehabilitation theory in clinical medicine, we propose a dynamic, motion-aware grouping strategy. A two-stream architecture independently processes joint position and orientation information. Fused features are adaptively clustered into 6 functional groups by a joint motion energy-driven learnable mask generator, and intra-group temporal modeling and inter-group spatial projection are achieved through two-stage attention interaction. Our method achieves competitive results and obtains the best scores on most exercises of KIMORE, while remaining comparable on UI-PRMD. Experimental results using the KIMORE dataset show that the model outperforms current methods by reducing the mean absolute deviation by 26.5%. Ablation studies validate the necessity of dynamic grouping and the two-stream design. The core design principles of this study can be extended to fine-grained action-understanding tasks such as surgical operation assessment and motor skill quantification. Full article
Show Figures

Figure 1

13 pages, 572 KB  
Article
School-Age Neurodevelopmental and Atopy Outcomes in Extremely Preterm Infants: Follow-Up from the Single Versus Triple-Strain Bifidobacterium Randomized Controlled Trial
by Gayatri Athalye-Jape, Chandra Rath, Meera Esvaran, Angela Jacques and Sanjay Patole
Nutrients 2026, 18(1), 141; https://doi.org/10.3390/nu18010141 - 1 Jan 2026
Viewed by 415
Abstract
Background: Probiotic supplementation for very preterm infants is a common practice in many neonatal units. Assessing the effects of early postnatal exposure to probiotics on long-term neurodevelopment, growth, and atopy-related outcomes is important. Extremely preterm (EP: <28 weeks) infants enrolled in our previously [...] Read more.
Background: Probiotic supplementation for very preterm infants is a common practice in many neonatal units. Assessing the effects of early postnatal exposure to probiotics on long-term neurodevelopment, growth, and atopy-related outcomes is important. Extremely preterm (EP: <28 weeks) infants enrolled in our previously reported randomized trial (SiMPro) comparing short-term effects of single (SS: B. breve M-16V) versus triple-strain (TS: B. breve M-16V, B. longum subsp. infantis-M63, B. longum subsp. longum-BB536) probiotic provided a unique opportunity to study this issue. Methods: This follow-up study assessed the five-year outcomes of SiMPro trial infants, including neurodevelopment (cognition (Full Scale Intelligence Quotient/ FSIQ using WPPSI-IV), behavior (Strengths and Difficulties Questionnaire), executive function (BRIEF–P)), growth (anthropometry) and blood pressure (BP). Atopy-related outcomes were evaluated at six to seven years using the ISAAC questionnaire. A linear mixed model was used for longitudinal outcomes. Impairment indicators were modeled using logistic regression and adjusted for Socio-Economic Indexes for Areas (SEIFA) centiles. Results: Follow-up rates (SS: 89.2% versus TS: 95%), neurodevelopmental outcomes [severe impairment (FSIQ < 70): SS: 7.4% versus TS: 4.3%; p = 0.68], growth, BMI, and BP were comparable between the SS and TS groups. The total difficulty score or BRIEF–P executive indices, disability rates (none: 66.7% versus 55.4%), and atopy-related outcomes were comparable between groups. Conclusions: Both TS and SS Bifidobacterium probiotic formulations were safe, with comparable neurodevelopmental, growth, and atopy-related outcomes at school age. Full article
Show Figures

Figure 1

12 pages, 472 KB  
Article
ExoBDNF Probiotic Supplementation Enhances Cognition in Subjective Cognitive Decline
by Ching-En Lin, Li-Fen Chen, Wen-Hui Fang, Chuan-Chia Chang and Hsin-An Chang
Medicina 2026, 62(1), 91; https://doi.org/10.3390/medicina62010091 - 31 Dec 2025
Viewed by 319
Abstract
Background and Objectives: Interventions targeting the gut–brain axis offer potential for mitigating Subjective Cognitive Decline (SCD), a critical window for Alzheimer’s prevention. This study evaluated the effects of a novel probiotic supplement, ExoBDNF, on cognitive function, sleep, and emotional distress in adults [...] Read more.
Background and Objectives: Interventions targeting the gut–brain axis offer potential for mitigating Subjective Cognitive Decline (SCD), a critical window for Alzheimer’s prevention. This study evaluated the effects of a novel probiotic supplement, ExoBDNF, on cognitive function, sleep, and emotional distress in adults with SCD. Materials and Methods: In this 9-week open-label study, participants received ExoBDNF supplementation. Efficacy was assessed using the SCD-Questionnaire (SCD-Q), DASS-21, PSQI, MoCA, and a computerized cognitive battery measuring inhibition (Go/No-Go), flexibility (Task Switching), and working memory. Results: Post-intervention analyses revealed significant improvements in subjective cognition (SCD-Q, p < 0.001), sleep quality (PSQI, p < 0.001), and emotional distress (DASS-21, p < 0.001). Objective cognitive performance also improved, with significant gains in MoCA scores (p = 0.047) and executive function metrics. Spearman correlation analysis indicated a significant link between cognitive and emotional changes: longitudinal reductions in SCD scores correlated with concurrent reductions in emotional distress (rho = 0.471, p = 0.009). Furthermore, higher baseline SCD scores predicted greater improvement in emotional outcomes (rho = −0.540, p = 0.002). Conclusions: ExoBDNF supplementation significantly enhanced cognitive performance, sleep quality, and emotional well-being. The findings demonstrate that improvements in subjective cognition are closely tied to alleviated emotional distress, supporting the gut–brain axis as a viable therapeutic target for early-stage cognitive decline. Full article
(This article belongs to the Section Psychiatry)
Show Figures

Figure 1

20 pages, 6299 KB  
Article
Differences in Executive Functioning Performance and Cortical Activation Between Autistic and Non-Autistic Youth During an fNIRS Flanker Task: A Pilot Study
by Jung-Mei Tsai, Jacob Corey, Daisuke Tsuzuki and Anjana Bhat
Brain Sci. 2026, 16(1), 65; https://doi.org/10.3390/brainsci16010065 - 31 Dec 2025
Viewed by 344
Abstract
Background/Objectives: Autism spectrum disorder is associated with executive functioning (EF) challenges, yet the neural correlates of EF challenges in autistic youth remain unclear. This study aimed to examine EF performance and cortical activation in autistic versus non-autistic youth, using functional near-infrared spectroscopy [...] Read more.
Background/Objectives: Autism spectrum disorder is associated with executive functioning (EF) challenges, yet the neural correlates of EF challenges in autistic youth remain unclear. This study aimed to examine EF performance and cortical activation in autistic versus non-autistic youth, using functional near-infrared spectroscopy (fNIRS) during a modified Flanker task. Methods: Thirty age-matched (11.6 ± 0.8 years) autistic (N = 15) and non-autistic youth (N = 15) completed congruent and incongruent conditions of a modified Flanker task while cortical activation in prefrontal, parietal, and temporal regions was recorded using fNIRS. The Behavior Rating Inventory of Executive Function (BRIEF) was used to assess general EF impairments. Behavioral data (i.e., Flanker task mean reaction time/accuracy, and reaction time variability) and cortical activation were analyzed using ANCOVAs. Pearson correlations were used to determine the relationship between cortical activation, EF performance, and clinical measures. The significance level was set at p < 0.05, with FDR corrections for multiple comparisons. Results: While mean reaction time and accuracy were comparable across groups, autistic youth exhibited greater reaction time variability (autistic youth = 34.8 ± 10.36; controls = 26.4 ± 1.94, p = 0.02, Hedges’ g = 0.85) and higher BRIEF index scores compared to controls (ps < 0.001, Hedges’ gs > 1.3; e.g., Global Executive Composite Score for autistic youth = 71.3 ± 3.7; controls = 47.8 ± 2.4), indicative of delayed EF development. During the incongruent condition, compared to non-autistic controls, autistic youth showed lower left inferior parietal lobe (IPL) activation (Mean HbO2 in autistic youth = −0.02 ± 0.006 mmol.mm; controls = 0.01 ± 0.006 mmol.mm, ps < 0.001, Hedges’ g = 0.5) and a lack of left-lateralized activation (e.g., left vs. right STS activation, p < 0.001, Hedges’ g = 0.41 in the non-autistic youth). In the ASD group, lower activation in the left STS was associated with lower EF performance (r = −0.28, p = 0.007), whereas greater activation in various right-hemispheric ROIs was associated with better EF performance (r = −0.31 to −0.35, ps < 0.005), suggesting potential compensatory activation. Conclusions: The findings revealed ASD-specific differences in the neural correlates of EF performance and possible alternative compensatory activation patterns. These potential neural correlates of EF performance highlight the utility of fNIRS-based neural measures to better understand the neural bases of EF differences in autism. Study Registration: This study was approved by the Institutional Review Board (IRB) at the University of Delaware (Protocol #: 1947455) on 4 October 2022. Full article
Show Figures

Graphical abstract

14 pages, 865 KB  
Article
Signal in the Noise: Dispersion as a Marker of Post-Stroke Cognitive Impairment
by Stefan Delmas, Anjali Tiwari and Neha Lodha
Appl. Sci. 2026, 16(1), 388; https://doi.org/10.3390/app16010388 - 30 Dec 2025
Viewed by 142
Abstract
Stroke often results in lasting cognitive impairments that severely reduce independence and quality of life. Traditional neuropsychological assessments rely on mean scores that provide an average estimate of overall cognitive function but neglect the fluctuations in performance. The variability in performance can be [...] Read more.
Stroke often results in lasting cognitive impairments that severely reduce independence and quality of life. Traditional neuropsychological assessments rely on mean scores that provide an average estimate of overall cognitive function but neglect the fluctuations in performance. The variability in performance can be captured as inconsistency, i.e., fluctuations across multiple trials within a single task or as dispersion, i.e., fluctuations across multiple tasks. While inconsistency has been extensively studied, the impact of post-stroke cognitive impairment on cognitive dispersion is unknown. In this study, ninety-five stroke survivors (41 cognitively impaired and 54 cognitively normal) completed a neuropsychological battery that captured performance across five cognitive domains: executive function, attention, memory, language, and processing speed. We compared the stroke groups on across- and within-domain cognitive dispersion. Cognitively impaired stroke individuals showed elevated dispersion within executive function compared to cognitively normal individuals. The two groups did not differ on any other within-domain or across-domain cognitive dispersion. Post-stroke cognitive impairment increased variability within executive functioning. Incorporating cognitive dispersion into routine post-stroke assessment can advance clinical practice by identifying subtle cognitive instability, anticipate supportive needs, and tailor rehabilitation plans for improving stroke care. Full article
(This article belongs to the Special Issue Advances in Physiotherapy and Neurorehabilitation)
Show Figures

Figure 1

33 pages, 1277 KB  
Article
Measuring Safety Culture Maturity in Indonesian Construction Projects Across Design and Construction Phases
by Rossy Armyn Machfudiyanto, Akhmad Suraji, Tantri Nastiti Handayani, Muhammad Yahya Alfandi Tuasikal and Muhammad Allan Romeo Machfudiyanto
Buildings 2026, 16(1), 124; https://doi.org/10.3390/buildings16010124 - 26 Dec 2025
Viewed by 425
Abstract
This study maps the maturity of construction safety culture in Indonesia across the design and construction phases and identifies priorities for improving the safety management system in construction. Building on a literature-derived framework of categories and subcategories, we conducted a two-round questionnaire-based expert [...] Read more.
This study maps the maturity of construction safety culture in Indonesia across the design and construction phases and identifies priorities for improving the safety management system in construction. Building on a literature-derived framework of categories and subcategories, we conducted a two-round questionnaire-based expert elicitation (pilot and final rounds) and focus group discussions (FGDs) with a purposive panel of 12 experts representing key stakeholders (government/owners, contractors, consultants, and academia). Expert validation was used to assess alignment with field conditions and refine recommendations. The results show average maturity scores of 3.11 in the design phase and 3.36 in the construction phase, indicating a position between the compliant and proactive levels. Sub-category analysis indicates comparatively stronger performance in regulatory mechanisms and operational controls but persistent weaknesses in early-stage planning competence, time and resource allocation for safety, digitalization of safety management, and hazardous waste management. A cross-phase gap is evident: safety is more institutionalized during execution than it is embedded in upstream design decisions. The findings suggest that advancing beyond compliance requires an integrated approach that links national regulations with international project management guidance and construction-specific practices. We conclude by outlining how these frameworks’ integration can support a transition toward more proactive and ultimately resilient safety culture maturity in Indonesia’s construction sector. Full article
(This article belongs to the Special Issue Safety and Health Management in Sustainable Construction)
Show Figures

Figure 1

Back to TopTop