Cognitive Flexibility and Inhibition Deficits in HIV and Cocaine Dependence: Evidence from Stroop and Trail Making Tests
Abstract
1. Introduction
2. Materials and Methods
2.1. Design
2.2. Inclusion/Exclusion Criteria
2.3. Procedure
2.4. Measures
2.4.1. Screening Measures
2.4.2. Substance Use
2.4.3. Medical Record Review
2.4.4. Neurocognitive Functioning
2.5. Statistical Analysis
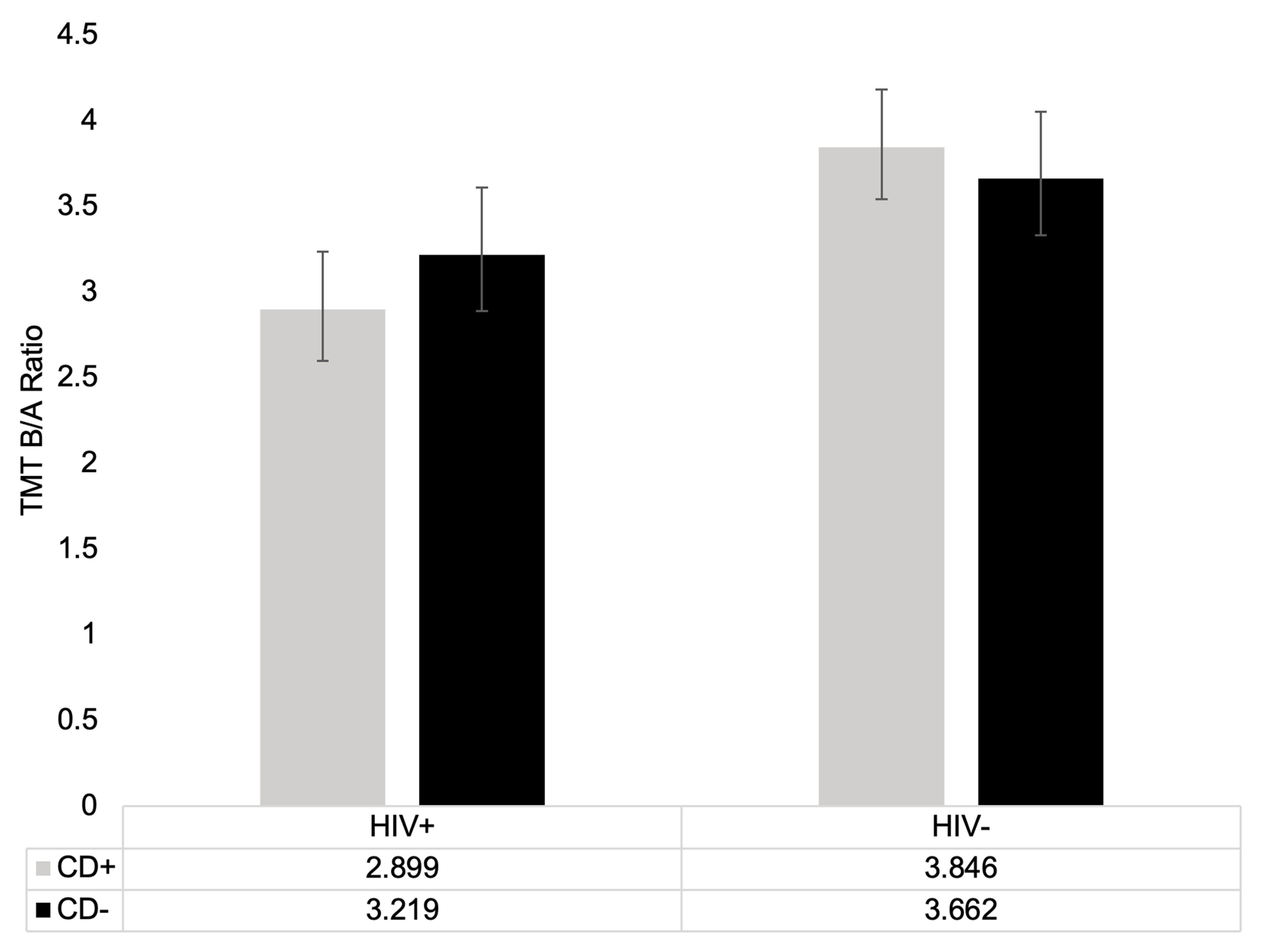
3. Results
3.1. Participants
3.2. Neurocognitive Functioning
4. Discussion
Supplementary Materials
Author Contributions
Funding
Institutional Review Board Statement
Informed Consent Statement
Data Availability Statement
Acknowledgments
Conflicts of Interest
References
- Cassimjee, N.; Motswai, P.K. Neuropsychological profiles of adults and older adults with HIV. S. Afr. J. Psychol. 2017, 47, 35–45. [Google Scholar] [CrossRef]
- Cysique, L.A.; Maruff, P.; Darby, D.; Brew, B.J. The assessment of cognitive function in advanced HIV-1 infection and AIDS dementia complex using a new computerised cognitive test battery. Arch. Clin. Neuropsychol. 2006, 21, 185–194. [Google Scholar] [CrossRef] [PubMed]
- Martínez-Banfi, M.; Vélez, J.I.; Perea, M.V.; García, R.; Puentes-Rozo, P.J.; Mebarak Chams, M.; Ladera, V. Neuropsychological performance in patients with asymptomatic HIV-1 infection. AIDS Care 2018, 30, 623–633. [Google Scholar] [CrossRef] [PubMed]
- Wang, Y.Q.; Pan, Y.; Zhu, S.; Wang, Y.G.; Shen, Z.H.; Wang, K. Selective impairments of alerting and executive control in HIV-infected patients: Evidence from attention network test. Behav. Brain Funct. 2017, 13, 11. [Google Scholar] [CrossRef] [PubMed]
- Woods, S.P.; Moore, D.J.; Weber, E.; Grant, I. Cognitive neuropsychology of HIV-associated neurocognitive disorders. Neuropsychol. Rev. 2009, 19, 152–168. [Google Scholar] [CrossRef] [PubMed]
- Buch, S.; Yao, H.; Guo, M.; Mori, T.; Mathias-Costa, B.; Singh, V.; Seth, P.; Wang, J.; Su, T.P. Cocaine and HIV-1 interplay in CNS: Cellular and molecular mechanisms. Curr. HIV Res. 2012, 10, 425–428. [Google Scholar] [CrossRef]
- Harrell, P.T.; Trenz, R.C.; Scherer, M.; Pacek, L.R.; Latimer, W.W. Cigarette smoking, illicit drug use, and routes of administration among heroin and cocaine users. Addict. Behav. 2012, 37, 678–681. [Google Scholar] [CrossRef]
- Meade, C.S.; Towe, S.L.; Skalski, L.M.; Robertson, K.R. Independent effects of HIV infection and cocaine dependence on neurocognitive impairment in a community sample living in the southern United States. Drug Alcohol Depend. 2015, 149, 128–135. [Google Scholar] [CrossRef]
- Baum, M.K.; Rafie, C.; Lai, S.; Sales, S.; Page, B.; Campa, A. Crack-cocaine use accelerates HIV disease progression in a cohort of HIV-positive drug users. J. Acquir. Immune Defic. Syndr. 2009, 50, 93–99. [Google Scholar] [CrossRef]
- Hagen, E.; Erga, A.H.; Hagen, K.P.; Nesvåg, S.M.; McKay, J.R.; Lundervold, A.J.; Walderhaug, E. Assessment of Executive Function in Patients with Substance Use Disorder: A Comparison of Inventory- and Performance-Based Assessment. J. Subst. Abuse Treat. 2016, 66, 1–8. [Google Scholar] [CrossRef]
- Harrell, P.T.; Mancha, B.E.; Martins, S.S.; Mauro, P.M.; Kuo, J.H.; Scherer, M.; Bolla, K.I.; Latimer, W.W. Cognitive performance profiles by latent classes of drug use. Am. J. Addict. 2014, 23, 431–439. [Google Scholar] [CrossRef] [PubMed]
- Walker, K.A.; Brown, G.G. HIV-associated executive dysfunction in the era of modern antiretroviral therapy: A systematic review and meta-analysis. J. Clin. Exp. Neuropsychol. 2018, 40, 357–376. [Google Scholar] [CrossRef] [PubMed]
- Moore, D.J.; Roediger, M.J.; Eberly, L.E.; Blackstone, K.; Hale, B.; Weintrob, A.; Ganesan, A.; Agan, B.K.; Letendre, S.L.; Crum-Cianflone, N.F. Identification of an abbreviated test battery for detection of HIV-associated neurocognitive impairment in an early-managed HIV-infected cohort. PLoS ONE 2012, 7, e47310. [Google Scholar] [CrossRef] [PubMed]
- Dyer, F.N. The Stroop phenomenon and its use in the stlldy of perceptual, cognitive, and response processes. Mem. Cogn. 1973, 1, 106–120. [Google Scholar] [CrossRef]
- Maki, P.M.; Rubin, L.H.; Valcour, V.; Martin, E.; Crystal, H.; Young, M.; Weber, K.M.; Manly, J.; Richardson, J.; Alden, C.; et al. Cognitive function in women with HIV: Findings from the Women’s Interagency HIV Study. Neurology 2015, 84, 231–240. [Google Scholar] [CrossRef]
- Meyer, V.J.; Rubin, L.H.; Martin, E.; Weber, K.M.; Cohen, M.H.; Golub, E.T.; Valcour, V.; Young, M.A.; Crystal, H.; Anastos, K.; et al. HIV and recent illicit drug use interact to affect verbal memory in women. J. Acquir. Immune. Defic. Syndr. 2013, 63, 67–76. [Google Scholar] [CrossRef]
- Spies, G.; Fennema-Notestine, C.; Cherner, M.; Seedat, S. Changes in cognitive function in women with HIV infection and early life stress. AIDS Care 2017, 29, 14–23. [Google Scholar] [CrossRef]
- Chang, L.; Ernst, T.; Witt, M.D.; Ames, N.; Gaiefsky, M.; Miller, E. Relationships among brain metabolites, cognitive function, and viral loads in antiretroviral-naïve HIV patients. Neuroimage 2002, 17, 1638–1648. [Google Scholar] [CrossRef]
- Martin, E.M.; Pitrak, D.L.; Weddington, W.; Rains, N.A.; Nunnally, G.; Nixon, H.; Grbesic, S.; Vassileva, J.; Bechara, A. Cognitive impulsivity and HIV serostatus in substance dependent males. J. Int. Neuropsychol. Soc. 2004, 10, 931–938. [Google Scholar] [CrossRef]
- Devlin, K.N.; Gongvatana, A.; Clark, U.S.; Chasman, J.D.; Westbrook, M.L.; Tashima, K.T.; Navia, B.; Cohen, R.A. Neurocognitive effects of HIV, hepatitis C, and substance use history. J. Int. Neuropsychol. Soc. 2012, 18, 68–78. [Google Scholar] [CrossRef]
- Fernández-Serrano, M.J.; Pérez-García, M.; Verdejo-García, A. What are the specific vs. generalized effects of drugs of abuse on neuropsychological performance? Neurosci. Biobehav. Rev. 2011, 35, 377–406. [Google Scholar] [CrossRef] [PubMed]
- Manly, J.J.; Smith, C.; Crystal, H.A.; Richardson, J.; Golub, E.T.; Greenblatt, R.; Robison, E.; Martin, E.M.; Young, M. Relationship of ethnicity, age, education, and reading level to speed and executive function among HIV+ and HIV- women: The Women’s Interagency HIV Study (WIHS) Neurocognitive Substudy. J. Clin. Exp. Neuropsychol. 2011, 33, 853–863. [Google Scholar] [CrossRef] [PubMed]
- Rippeth, J.D.; Heaton, R.K.; Carey, C.L.; Marcotte, T.D.; Moore, D.J.; Gonzalez, R.; Wolfson, T.; Grant, I. Methamphetamine dependence increases risk of neuropsychological impairment in HIV infected persons. J. Int. Neuropsychol. Soc. 2004, 10, 1–14. [Google Scholar] [CrossRef] [PubMed]
- Fama, R.; Sullivan, E.V.; Sassoon, S.A.; Pfefferbaum, A.; Zahr, N.M. Impairments in Component Processes of Executive Function and Episodic Memory in Alcoholism, HIV Infection, and HIV Infection with Alcoholism Comorbidity. Alcohol. Clin. Exp. Res. 2016, 40, 2656–2666. [Google Scholar] [CrossRef]
- Kesby, J.P.; Heaton, R.K.; Young, J.W.; Umlauf, A.; Woods, S.P.; Letendre, S.L.; Markou, A.; Grant, I.; Semenova, S. Methamphetamine Exposure Combined with HIV-1 Disease or gp120 Expression: Comparison of Learning and Executive Functions in Humans and Mice. Neuropsychopharmacology 2015, 40, 1899–1909. [Google Scholar] [CrossRef]
- Jovanovski, D.; Erb, S.; Zakzanis, K.K. Neurocognitive deficits in cocaine users: A quantitative review of the evidence. J. Clin. Exp. Neuropsychol. 2005, 27, 189–204. [Google Scholar] [CrossRef]
- Woicik, P.A.; Moeller, S.J.; Alia-Klein, N.; Maloney, T.; Lukasik, T.M.; Yeliosof, O.; Wang, G.J.; Volkow, N.D.; Goldstein, R.Z. The neuropsychology of cocaine addiction: Recent cocaine use masks impairment. Neuropsychopharmacology 2009, 34, 1112–1122. [Google Scholar] [CrossRef]
- Madoz-Gúrpide, A.; Blasco-Fontecilla, H.; Baca-García, E.; Ochoa-Mangado, E. Executive dysfunction in chronic cocaine users: An exploratory study. Drug Alcohol Depend. 2011, 117, 55–58. [Google Scholar] [CrossRef]
- Arbuthnott, K.; Frank, J. Trail making test, part B as a measure of executive control: Validation using a set-switching paradigm. J. Clin. Exp. Neuropsychol. 2000, 22, 518–528. [Google Scholar] [CrossRef]
- Oosterman, J.M.; Vogels, R.L.; van Harten, B.; Gouw, A.A.; Poggesi, A.; Scheltens, P.; Kessels, R.P.; Scherder, E.J. Assessing mental flexibility: Neuroanatomical and neuropsychological correlates of the Trail Making Test in elderly people. Clin. Neuropsychol. 2010, 24, 203–219. [Google Scholar] [CrossRef]
- US Department of Health and Human Services. Guidelines for the Use of Antiretroviral Agents in Adults and Adolescents with HIV; US Department of Health and Human Services: Rockville, MD, USA, 2025. [Google Scholar]
- Frazer, K.M.; Richards, Q.; Keith, D.R. The long-term effects of cocaine use on cognitive functioning: A systematic critical review. Behav. Brain Res. 2018, 348, 241–262. [Google Scholar] [CrossRef] [PubMed]
- Meade, C.S.; Conn, N.A.; Skalski, L.M.; Safren, S.A. Neurocognitive impairment and medication adherence in HIV patients with and without cocaine dependence. J. Behav. Med. 2011, 34, 128–138. [Google Scholar] [CrossRef] [PubMed]
- Weinberg, J.L.; Kovarik, C.L. The WHO Clinical Staging System for HIV/AIDS. AMA J. Ethics 2010, 12, 202–206. [Google Scholar] [CrossRef]
- Antinori, A.; Arendt, G.; Becker, J.T.; Brew, B.J.; Byrd, D.A.; Cherner, M.; Clifford, D.B.; Cinque, P.; Epstein, L.G.; Goodkin, K.; et al. Updated research nosology for HIV-associated neurocognitive disorders. Neurology 2007, 69, 1789–1799. [Google Scholar] [CrossRef]
- First, M.B.; Spitzer, R.L.; Gibbon, M.; Williams, J.B.W. User’s Guide for the Structured Clinical Interview for DSM-IV Axis I Disorders: SCID-I Clinician Version; American Psychiatric Press: Washington, DC, USA, 1997. [Google Scholar]
- Cohen, S.; Kamarck, T.; Mermelstein, R. A global measure of perceived stress. J. Health Soc. Behav. 1983, 24, 385–396. [Google Scholar] [CrossRef]
- Radloff, L.S. The CES-D scale: A self-report depression scale for research in the general population. Appl. Psychol. Meas. 1977, 1, 385–401. [Google Scholar] [CrossRef]
- Kellogg, S.H.; McHugh, P.F.; Bell, K.; Schluger, J.H.; Schluger, R.P.; LaForge, K.S.; Ho, A.; Kreek, M.J. The Kreek-McHugh-Schluger-Kellogg scale: A new, rapid method for quantifying substance abuse and its possible applications. Drug Alcohol Depend. 2003, 69, 137–150. [Google Scholar] [CrossRef]
- Wilkinson, G.S.; Robertson, G.J. WRAT4: Wide Range Achievement Test; Psychological Assessment Resources: Lutz, FL, USA, 2006. [Google Scholar]
- Jastak, S.R.; Wilkinson, G.S.; Jastak, A. WRAT-R: Wide Range Achievement Test-Revised Administration Manual, 1984 rev. ed.; Jastak Associates: Wilmington, DE, USA, 1984. [Google Scholar]
- Comalli, P.E., Jr.; Wapner, S.; Werner, H. Interference effects of Stroop color-word test in childhood, adulthood, and aging. J. Genet. Psychol. 1962, 100, 47–53. [Google Scholar] [CrossRef]
- Halstead, W.C. Brain and Intelligence: A Quantitative Study of the Frontal Lobes; Midway Reprint: Chicago, IL, USA, 1947. [Google Scholar]
- Reitan, R.M. Validity of the Trail Making Test as an Indicator of Organic Brain Damage. Percept. Mot. Ski. 1958, 8, 271–276. [Google Scholar] [CrossRef]
- Heaton, R.K.; Psychological Assessment Resources, Inc. Revised Comprehensive Norms for An Expanded Halstead-Reitan Battery: Demographically Adjusted Neuropsychological Norms for African American and Caucasian Adults, Professional Manual; Psychological Assessment Resources: Lutz, FL, USA, 2004. [Google Scholar]
- Streeter, C.C.; Terhune, D.B.; Whitfield, T.H.; Gruber, S.; Sarid-Segal, O.; Silveri, M.M.; Tzilos, G.; Afshar, M.; Rouse, E.D.; Tian, H.; et al. Performance on the Stroop predicts treatment compliance in cocaine-dependent individuals. Neuropsychopharmacology 2008, 33, 827–836. [Google Scholar] [CrossRef]
- Worhunsky, P.D.; Stevens, M.C.; Carroll, K.M.; Rounsaville, B.J.; Calhoun, V.D.; Pearlson, G.D.; Potenza, M.N. Functional brain networks associated with cognitive control, cocaine dependence, and treatment outcome. Psychol. Addict. Behav. 2013, 27, 477–488. [Google Scholar] [CrossRef]
- Lopes, B.M.; Gonçalves, P.D.; Ometto, M.; Dos Santos, B.; Cavallet, M.; Chaim-Avancini, T.M.; Serpa, M.H.; Nicastri, S.; Malbergier, A.; Busatto, G.F.; et al. Distinct cognitive performance and patterns of drug use among early and late onset cocaine users. Addict. Behav. 2017, 73, 41–47. [Google Scholar] [CrossRef]
- Verdejo-García, A.; Betanzos-Espinosa, P.; Lozano, O.M.; Vergara-Moragues, E.; González-Saiz, F.; Fernández-Calderón, F.; Bilbao-Acedos, I.; Pérez-García, M. Self-regulation and treatment retention in cocaine dependent individuals: A longitudinal study. Drug Alcohol Depend. 2012, 122, 142–148. [Google Scholar] [CrossRef]
- Fernández-Serrano, M.J.; Perales, J.C.; Moreno-López, L.; Pérez-García, M.; Verdejo-García, A. Neuropsychological profiling of impulsivity and compulsivity in cocaine dependent individuals. Psychopharmacology 2012, 219, 673–683. [Google Scholar] [CrossRef]
- Casaletto, K.B.; Weber, E.; Iudicello, J.E.; Woods, S.P. Real-World Impact of HIV-Associated Neurocognitive Impairment. In Changes in the Brain: Impact on Daily Life; Chiaravalloti, N.D., Goverover, Y., Eds.; Springer: New York, NY, USA, 2017; pp. 211–245. [Google Scholar]
- Iudicello, J.E.; Woods, S.P.; Weber, E.; Dawson, M.S.; Scott, J.C.; Carey, C.L.; Grant, I. Cognitive mechanisms of switching in HIV-associated category fluency deficits. J. Clin. Exp. Neuropsychol. 2008, 30, 797–804. [Google Scholar] [CrossRef] [PubMed]
- Durvasula, R.S.; Myers, H.F.; Satz, P.; Miller, E.N.; Morgenstern, H.; Richardson, M.A.; Evans, G.; Forney, D. HIV-1, cocaine, and neuropsychological performance in African American men. J. Int. Neuropsychol. Soc. 2000, 6, 322–335. [Google Scholar] [CrossRef] [PubMed]
- Di Sclafani, V.; Tolou-Shams, M.; Price, L.J.; Fein, G. Neuropsychological performance of individuals dependent on crack-cocaine, or crack-cocaine and alcohol, at 6 weeks and 6 months of abstinence. Drug Alcohol Depend. 2002, 66, 161–171. [Google Scholar] [CrossRef] [PubMed]
- Inozemtseva, O.; Pérez-Solís, L.; Matute, E.; Juárez, J. Differential Improvement of Executive Functions During Abstinence in Cocaine-Dependent Patients: A Longitudinal Study. Subst. Use Misuse 2016, 51, 1428–1440. [Google Scholar] [CrossRef]
- Brewer, J.A.; Worhunsky, P.D.; Carroll, K.M.; Rounsaville, B.J.; Potenza, M.N. Pretreatment brain activation during stroop task is associated with outcomes in cocaine-dependent patients. Biol. Psychiatry 2008, 64, 998–1004. [Google Scholar] [CrossRef]
- Dahal, S.; Chitti, S.V.; Nair, M.P.; Saxena, S.K. Interactive effects of cocaine on HIV infection: Implication in HIV-associated neurocognitive disorder and neuroAIDS. Front. Microbiol. 2015, 6, 931. [Google Scholar] [CrossRef]






| HIV+/CD+ (n = 26) | HIV+/CD− (n = 18) | HIV−/CD+ (n = 30) | HIV−/CD− (n = 27) | Statistic | |
|---|---|---|---|---|---|
| Age (SD) | 45.54 (6.76) | 42.11 (7.10) | 41.87 (9.66) | 38.15 (11.14) | F (3, 97) = 5.22, p = 0.002 |
| Years of Education (SD) | 13.00 (1.72) | 12.89 (1.71) | 13.20 (2.38) | 14.44 (2.03) | F (3, 97) = 0.71 p = 0.55 |
| Premorbid IQ (SD) | 89.00 (10.84) | 89.22 (14.89) | 93.83 (13.48) | 97.44 (11.87) | F (3, 97) = 1.38, p = 0.25 |
| Sex (%) | χ2 (3) = 5.58, p = 0.13 | ||||
| Male | 18 (69.2) | 6 (33.3) | 17 (56.7) | 15 (55.6) | |
| Female | 8 (30.8) | 12 (66.7) | 13 (43.3) | 12 (44.4) | |
| Race/ethnicity (%) | χ2 (6) = 11.51, p = 0.07 | ||||
| Black/African American | 23 (88.5%) | 17 (94.4%) | 20 (66.7%) | 16 (59.3) | |
| White, non-Hispanic | 1 (3.8%) | 1 (5.6%) | 3 (10.0%) | 4 (14.8) | |
| Hispanic/Latino | 2 (7.7%) | 0 (0%) | 7 (23.3%) | 7 (25.9) | |
| Mood Symptoms (Current) | |||||
| Clinically Significant CES-D | 11 | 5 | 9 | 5 | χ2 (3) = 3.63, p = 0.30 |
| Clinically Significant PSS | 11 | 4 | 7 | 4 | χ2 (3) = 5.63, p = 0.13 |
| HIV Characteristics (SD) | |||||
| Years Living with HIV | 16.58 (9.41) | 16.13 (7.93) | t (38) = 0.16, p = 0.87 | ||
| Current CD4 cell count | 615.68 (272.18) | 585.14 (242.64) | t (34) = 0.34, p = 0.74 | ||
| HIV RNA Viral Load (copies/mL) | 49.00 (2.69) | 48.67 (3.94) | t (38) = 0.57, p = 0.75 | ||
| Cocaine Dependence Characteristics | χ2 (2) = 0.573, p = 0.751 | ||||
| Cocaine Dependence within the past month (%) | 11 (42.31%) | 15 (51.72%) | |||
| Cocaine Dependence within the past Year (%) | 12 (46.15%) | 13 (44.83%) | |||
| Cocaine Dependence within the past 2 Years (%) | 3 (11.54%) | 2 (3.45%) | |||
| Age first used cocaine (SD) | 25.19 (8.66) | 22.44 (5.43) | t (51) = 1.39, p = 0.17 |
| M (SD) | Lifetime | Current | ||||||
|---|---|---|---|---|---|---|---|---|
| HIV+/CD+ (n = 26) | HIV−/CD+ (n = 30) | t | p | HIV+/CD+ (n = 26) | HIV−/CD+ (n = 30) | t | p | |
| Alcohol | 8.50 (3.57) | 7.52 (3.70) | 1.000 | 0.321 | 2.81 (2.83) | 3.48 (2.65) | −0.910 | 0.367 |
| Nicotine | 8.58 (4.35) | 7.93 (3.96) | 0.573 | 0.569 | 5.69 (3.42) | 4.69 (3.91) | 1.015 | 0.315 |
| Cocaine | 19.38 (8.95) | 15.52 (7.47) | 1.75 | 0.9 | 4.46 (7.12) | 5.14 (5.29) | −0.040 | 0.69 |
| Methamphetamine | 1.12 (3.26) | 0.59 (2.97) | 0.625 | 0.535 | 0.50 (1.77) | 0.0 (0.0) | 1.439 | 0.163 |
| Heroin | 0.69 (2.04) | 0.38 (1.52) | 0.640 | 0.525 | 0.0 (0.0) | 0.03 (0.19) | −1.000 | 0.326 |
| Cannabis | 7.58 (5.99) | 8.90 (5.80) | −0.828 | 0.412 | 1.04 (2.14) | 2.59 (4.02) | −1.806 | 0.078 |
Disclaimer/Publisher’s Note: The statements, opinions and data contained in all publications are solely those of the individual author(s) and contributor(s) and not of MDPI and/or the editor(s). MDPI and/or the editor(s) disclaim responsibility for any injury to people or property resulting from any ideas, methods, instructions or products referred to in the content. |
© 2026 by the authors. Licensee MDPI, Basel, Switzerland. This article is an open access article distributed under the terms and conditions of the Creative Commons Attribution (CC BY) license.
Share and Cite
Nigro, S.E.; Wu, M.; Salmeron, B.J.; Islam-Souleimanova, S.; Lauer, E.; Juliano, A.C.; Lord, A.R.; Sabet, A.; Lu, L.H.; Napier, T.C.; et al. Cognitive Flexibility and Inhibition Deficits in HIV and Cocaine Dependence: Evidence from Stroop and Trail Making Tests. Viruses 2026, 18, 122. https://doi.org/10.3390/v18010122
Nigro SE, Wu M, Salmeron BJ, Islam-Souleimanova S, Lauer E, Juliano AC, Lord AR, Sabet A, Lu LH, Napier TC, et al. Cognitive Flexibility and Inhibition Deficits in HIV and Cocaine Dependence: Evidence from Stroop and Trail Making Tests. Viruses. 2026; 18(1):122. https://doi.org/10.3390/v18010122
Chicago/Turabian StyleNigro, Sarah E., Minjie Wu, Betty Jo Salmeron, Sharmin Islam-Souleimanova, Eve Lauer, Anthony C. Juliano, Alinda R. Lord, Atash Sabet, Lisa H. Lu, T. Celeste Napier, and et al. 2026. "Cognitive Flexibility and Inhibition Deficits in HIV and Cocaine Dependence: Evidence from Stroop and Trail Making Tests" Viruses 18, no. 1: 122. https://doi.org/10.3390/v18010122
APA StyleNigro, S. E., Wu, M., Salmeron, B. J., Islam-Souleimanova, S., Lauer, E., Juliano, A. C., Lord, A. R., Sabet, A., Lu, L. H., Napier, T. C., French, A. L., Aizenstein, H. J., Yang, Y., & Yang, S. (2026). Cognitive Flexibility and Inhibition Deficits in HIV and Cocaine Dependence: Evidence from Stroop and Trail Making Tests. Viruses, 18(1), 122. https://doi.org/10.3390/v18010122

