The Impact of Meteorological Parameters and Air Pollution on the Spatiotemporal Distribution of Nighttime Light in China
Abstract
1. Introduction
2. Data and Methods
2.1. Research Area
2.2. Data Source
2.2.1. NTL Data
2.2.2. Independent Variable Data
2.3. Methods
2.3.1. NTL Standards
2.3.2. Trend Analysis
2.3.3. Standard Deviational Ellipse (SDE) Method
2.3.4. Geographically and Temporally Weighted Regression Model (GTWR)
3. Results
3.1. China NTL Spatiotemporal Variations
3.2. Spatial and Temporal Patterns of Meteorological Parameters and Air Pollution
3.3. Model Selection and Validation
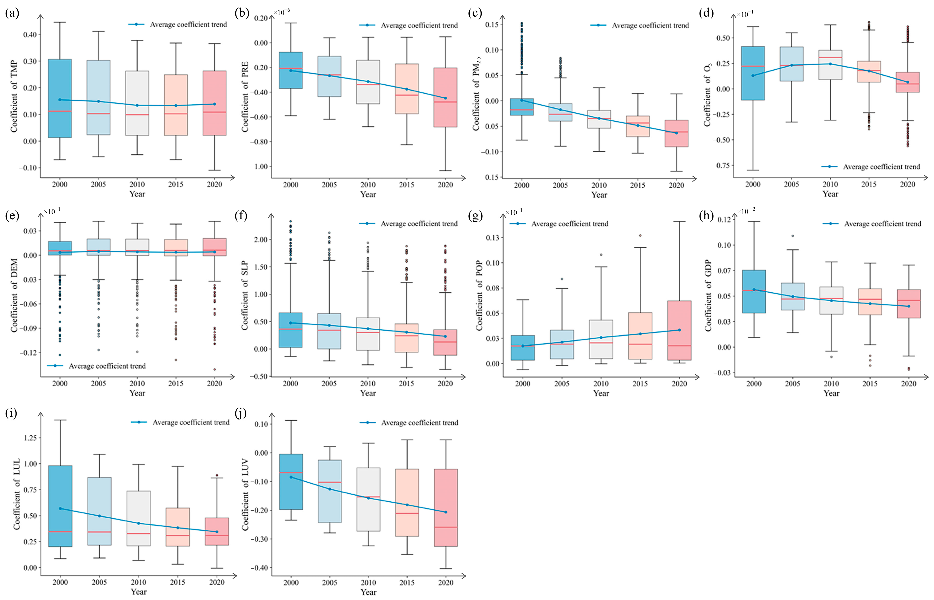
3.4. Temporal Dynamics and Overall Contributions of Driving Factors
3.5. Spatial Heterogeneity of Driving Factors
4. Discussion
4.1. Spatiotemporal Evolution Patterns of NTL
4.2. Spatiotemporal Nonstationarity Between Meteorological Parameters and Air Pollution
4.3. Spatiotemporal Heterogeneity of Driving Mechanisms for NTL
4.3.1. Drivers of the Long-Term Secular Trend in NTL
4.3.2. Climatic Modulation of Interannual NTL Variability
4.3.3. Air Pollution Modulation of Interannual NTL Variability
4.4. Limitations and Future Research
5. Conclusions
Author Contributions
Funding
Institutional Review Board Statement
Informed Consent Statement
Data Availability Statement
Conflicts of Interest
References
- Zheng, Q.; Seto, K.C.; Zhou, Y.; You, S.; Weng, Q. Nighttime light remote sensing for urban applications: Progress, challenges, and prospects. ISPRS J. Photogramm. Remote Sens. 2023, 202, 125–141. [Google Scholar] [CrossRef]
- Zhang, L.; Ren, Z.; Chen, B.; Gong, P.; Xu, B.; Fu, H. A Prolonged Artificial Nighttime-light Dataset of China (1984–2020). Sci. Data 2024, 11, 414. [Google Scholar] [CrossRef]
- Li, H.; Peng, L.; Bi, F.; Li, L.; Bao, J.M.; Li, J.L.; Zhang, H.; Chai, F.H. Synergistic control strategy for PM2.5 and ozone pollution in China. Res. Environ. Sci. 2019, 32, 1763–1778. [Google Scholar] [CrossRef]
- Xiao, Q.; Geng, G.; Xue, T.; Liu, S.; Cai, C.; He, K.; Zhang, Q. Tracking PM2.5 and O3 Pollution and the Related Health Burden in China 2013–2020. Environ. Sci. Technol. 2022, 56, 6922–6932. [Google Scholar] [CrossRef]
- He, C.; Mu, H.; Yang, L.; Wang, D.L.; Di, Y.F.; Ye, Z.X.; Yi, J.H.; Ke, B.Q.; Tian, Y.; Hong, S. Spatial pattern evolution of near-surface ozone concentration and main meteorological driving factors in warm season in China. Environ. Sci. 2020, 42, 4168–4179. [Google Scholar] [CrossRef]
- Wu, S.; Luo, M.; Lau, G.N.C.; Zhang, W.; Wang, L.; Liu, Z.; Lin, L.; Wang, Y.; Ge, E.; Li, J.; et al. Rapid flips between warm and cold extremes in a warming world. Nat. Commun. 2025, 16, 3543. [Google Scholar] [CrossRef]
- Weatherdon, L.V.; Magnan, A.K.; Rogers, A.D.; Sumaila, U.R.; Cheung, W.W.L. Observed and Projected Impacts of Climate Change on Marine Fisheries, Aquaculture, Coastal Tourism, and Human Health: An Update. Front. Mar. Sci. 2016, 3, 48. [Google Scholar] [CrossRef]
- Zeydan, O.; Zeydan, I.; Guerbuez, A. Evaluating Climate Change Effects on Coastal Tourism over the Black Sea Region by Using the Summer Simmer Index. Sustainability 2025, 17, 1490. [Google Scholar] [CrossRef]
- Fiorini, A.C.O.; Angelkorte, G.; Bakman, T.; Baptista, L.B.; Cruz, T.; Diuana, F.A.; Morais, T.N.; Rathmann, R.; da Silva, F.T.F.; Tagomori, I. How climate change is impacting the Brazilian agricultural sector: Evidence from a systematic literature review. Environ. Res. Lett. 2024, 19, 083001. [Google Scholar] [CrossRef]
- Rezaei, E.E.; Webber, H.; Asseng, S.; Boote, K.; Durand, J.L.; Ewert, F.; Martre, P.; MacCarthy, D.S. Climate change impacts on crop yields. Nat. Rev. Earth Environ. 2023, 4, 831–846. [Google Scholar] [CrossRef]
- Ochoa-Sánchez, A.; Stone, D.; Drenkhan, F.; Mendoza, D.; Gualán, R.; Huggel, C. Detection and attribution of climate change impacts in coupled natural-human systems in the Andes. Commun. Earth Environ. 2025, 6, 314. [Google Scholar] [CrossRef]
- Tran, H.M.; Tsai, F.J.; Lee, Y.L.; Chang, J.H.; Chang, L.T.; Chang, T.Y.; Chung, K.F.; Kuo, H.P.; Lee, K.Y.; Chuang, K.J.; et al. The impact of air pollution on respiratory diseases in an era of climate change: A review of the current evidence. Sci. Total Environ. 2023, 898, 166340. [Google Scholar] [CrossRef]
- An, R.; Zhang, S.; Ji, M.; Guan, C. Impact of ambient air pollution on physical activity among adults: A systematic review and meta-analysis. Perspect. Public Health 2018, 138, 111–121. [Google Scholar] [CrossRef]
- Chen, W.; He, Y.; Pan, S. Impact of air pollution on human activities: Evidence from nine million mobile phone users. PLoS ONE 2021, 16, e0251288. [Google Scholar] [CrossRef]
- Xie, Y.; Dai, H.; Zhang, Y.; Wu, Y.; Hanaoka, T.; Masui, T. Comparison of health and economic impacts of PM2.5 and ozone pollution in China. Environ. Int. 2019, 130, 104881. [Google Scholar] [CrossRef] [PubMed]
- Li, D.; Ding, Z.; Liu, J.; He, Q.; Naeem, H. Exploring Spatiotemporal Dynamics of PM2.5 Emission Based on Nighttime Light in China from 2012 to 2018. Sustainability 2022, 14, 14011. [Google Scholar] [CrossRef]
- Li, R.; Liu, X.; Li, X. Estimation of the PM2.5 Pollution Levels in Beijing Based on Nighttime Light Data from the Defense Meteorological Satellite Program-Operational Linescan System. Atmosphere 2015, 6, 607–622. [Google Scholar] [CrossRef]
- Xu, Z.; Xia, X.; Liu, X.; Qian, Z. Combining DMSP/OLS Nighttime Light with Echo State Network for Prediction of Daily PM2.5 Average Concentrations in Shanghai, China. Atmosphere 2015, 6, 1507–1520. [Google Scholar] [CrossRef]
- Bernard, P.; Chevance, G.; Kingsbury, C.; Baillot, A.; Romain, A.J.; Molinier, V.; Gadais, T.; Dancause, K.N. Climate Change, Physical Activity and Sport: A Systematic Review. Sports Med. 2021, 51, 1041–1059. [Google Scholar] [CrossRef] [PubMed]
- Khan, M.D.; Thi Vu, H.H.; Lai, Q.T.; Ahn, J.W. Aggravation of Human Diseases and Climate Change Nexus. Int. J. Environ. Res. Public Health 2019, 16, 2799. [Google Scholar] [CrossRef]
- Mueller, K.; Allstrom, H.; Smith, D.J.; Downes, E.; Modly, L.A. Climate change’s implications for practice. Nurse Pract. 2024, 49, 30–38. [Google Scholar] [CrossRef]
- Liu, J.; Varghese, B.M.; Hansen, A.; Dear, K.; Morgan, G.; Driscoll, T.; Zhang, Y.; Prescott, V.; Dolar, V.; Gourley, M.; et al. Increasing burden of poor mental health attributable to high temperature in Australia. Nat. Clim. Change 2025, 15, 489–496. [Google Scholar] [CrossRef]
- Soomro, S.; Zhou, D.; Charan, I.A. The effects of climate change on mental health and psychological well-being: Impacts and priority actions. Camb. Prism. Glob. Ment. Health 2024, 11, e118. [Google Scholar] [CrossRef]
- Freedman, H.; AghaKouchak, A.; Rigden, A.J.; van der Hoek, A.; Tomlinson, B. Disparities in the impact of drought on agriculture across countries. Sci. Rep. 2025, 15, 13465. [Google Scholar] [CrossRef]
- Makwana, M.; Patnaik, U. Seasonal effects of extreme climate events and sea surface temperature indicators on the vulnerability of marine pelagic fisheries in the Bay of Bengal region. Mar. Environ. Res. 2025, 205, 107009. [Google Scholar] [CrossRef]
- Schirpke, U.; Ebner, M.; Tappeiner, U. Effects of climate-related environmental changes on non-material benefits from human-nature interactions: A literature review. Ecosyst. Serv. 2024, 69, 101650. [Google Scholar] [CrossRef]
- Schlingmann, A.; Graham, S.; Benyei, P.; Corbera, E.; Martinez Sanesteban, I.; Marelle, A.; Soleymani-Fard, R.; Reyes-García, V. Global patterns of adaptation to climate change by Indigenous Peoples and local communities. A systematic review. Curr. Opin. Environ. Sustain. 2021, 51, 55–64. [Google Scholar] [CrossRef]
- Ceola, S.; Domeneghetti, A.; Schumann, G.J.P. Unraveling Long-Term Flood Risk Dynamics Across the Murray-Darling Basin Using a Large-Scale Hydraulic Model and Satellite Data. Front. Water 2022, 3, 797259. [Google Scholar] [CrossRef]
- Zhang, G.; Zhang, L.; Chen, Y.; Chen, M.; Tian, J.; Wu, Y. Application of Nighttime Light Data Simulation Based on Multi-Indicator System and Machine Learning Model in Predicting Potentially Suitable Economic Development Areas: A Case Study of the Turpan-Hami Region. Remote Sens. 2025, 17, 240. [Google Scholar] [CrossRef]
- Huang, C.; Hong, S.; Niu, X.; Wu, Q.; Zhong, Y.; Yang, H.; Zhang, H. Mapping of nighttime light trends and refugee population changes in Ukraine during the Russian-Ukrainian War. Front. Environ. Sci. 2023, 11, 1055100. [Google Scholar] [CrossRef]
- Wang, X.; Ning, X.G.; Zhang, H.C.; Wang, H.; Hao, M.H. Population spatialization by integrating LJl-01 nighttime light and WeChat positioning data-taking Beijing city as an example. Sci. Surv. Mapp. 2022, 47, 173–183. [Google Scholar] [CrossRef]
- Zhang, L.; Zhang, J.; Li, X.; Zhou, K.; Ye, J. The Impact of Urban Sprawl on Carbon Emissions from the Perspective of Nighttime Light Remote Sensing: A Case Study in Eastern China. Sustainability 2023, 15, 11940. [Google Scholar] [CrossRef]
- Ye, Y.; Yun, G.; He, Y.; Lin, R.; He, T.; Qian, Z. Spatiotemporal Characteristics of Urbanization in the Taiwan Strait Based on Nighttime Light Data from 1992 to 2020. Remote Sens. 2023, 15, 3226. [Google Scholar] [CrossRef]
- Li, Y.T.; Li, Y.M.; Wu, B.W.; Wang, D.C.; Zhao, J.Z. Study on County-Level Light Pollution in Yunnan Province Using Nighttime Light Images. Remote Sens. Inf. 2023, 38, 98–105. [Google Scholar]
- Cao, H.; Li, X.; Belabbes, S.; Dell’oro, L.; Dou, C. Estimates of power supply during the 2023 Gaza humanitarian crisis using night-time light images. Geo-Spat. Inf. Sci. 2025, 28, 2744–2762. [Google Scholar] [CrossRef]
- Xu, J.; Wang, J.; Li, R.; Yang, X. Spatio-temporal effects of urbanization on CO2 emissions: Evidences from 268 Chinese cities. Energy Policy 2023, 177, 113569. [Google Scholar] [CrossRef]
- Li, S.; Cao, X.; Zhao, C.; Jie, N.; Liu, L.; Chen, X.; Cui, X. Developing a Pixel-Scale Corrected Nighttime Light Dataset (PCNL, 1992–2021) Combining DMSP-OLS and NPP-VIIRS. Remote Sens. 2023, 15, 3925. [Google Scholar] [CrossRef]
- Ma, T.; Zhou, Y.K. Building a Series of Consistent Night-Time Light Data (1992–2018) in Southeast Asia by Integrating DMSP-OLS and NPP-VIIRS. IEEE Trans. Geosci. Remote Sens. 2020, 58, 1843–1856. [Google Scholar] [CrossRef]
- Tu, Y.; Zhou, H.L.; Lang, W.; Chen, T.T.; Li, X.; Xu, B. A novel cross-sensor calibration method to generate a consistent night-time lights time series dataset. Int. J. Remote Sens. 2020, 41, 5482–5502. [Google Scholar] [CrossRef]
- Li, X.; Zhou, Y.; Zhao, M.; Zhao, X. A harmonized global nighttime light dataset 1992–2018. Sci. Data 2020, 7, 168. [Google Scholar] [CrossRef]
- Chen, Z.; Yu, B.; Yang, C.; Zhou, Y.; Yao, S.; Qian, X.; Wang, C.; Wu, B.; Wu, J. An extended time series (2000–2018) of global NPP-VIIRS-like nighttime light data from a cross-sensor calibration. Earth Syst. Sci. Data 2021, 13, 889–906. [Google Scholar] [CrossRef]
- Yang, J.; Huang, X. The 30 m annual land cover dataset and its dynamics in China from 1990 to 2019. Earth Syst. Sci. Data 2021, 13, 3907–3925. [Google Scholar] [CrossRef]
- Peng, S. 1-km Monthly Mean Temperature Dataset for China (1901–2024); National Tibetan Plateau/Third Pole Environment Data Center: Beijing, China, 2019. [Google Scholar] [CrossRef]
- Peng, S. 1-km Monthly Precipitation Dataset for China (1901–2024); National Tibetan Plateau/Third Pole Environment Data Center: Beijing, China, 2020. [Google Scholar] [CrossRef]
- Wei, J.; Li, Z. ChinaHighPM2.5: High-Resolution and High-Quality Ground-Level PM2.5 Dataset for China (2000–2023); National Tibetan Plateau/Third Pole Environment Data Center: Beijing, China, 2023. [Google Scholar] [CrossRef]
- Wei, J.; Li, Z. ChinaHighO3: High-Resolution and High-Quality Ground-Level MDA8 O3 Dataset for China (2000–2023); National Tibetan Plateau/Third Pole Environment Data Center: Beijing, China, 2023. [Google Scholar] [CrossRef]
- Xu, X.L. China Population Spatial Distribution 1-km Grid Dataset; Resource and Environmental Science Data Platform: Beijing, China, 2017. [Google Scholar] [CrossRef]
- Xu, X.L. China GDP Spatial Distribution 1-km Grid Dataset; Resource and Environmental Science Data Platform: Beijing, China, 2017. [Google Scholar] [CrossRef]
- Jiang, F.; Ye, Y.; He, Z.; Cai, J.; Shen, A.; Peng, R.; Chen, B.; Tong, C.; Deng, J. Revealing the Spatiotemporal Patterns of Anthropogenic Light at Night within Ecological Conservation Redline Using Series Satellite Nighttime Imageries (2000–2020). Remote Sens. 2022, 14, 3461. [Google Scholar] [CrossRef]
- Tu, P.; Tian, Y.; Hong, Y.; Yang, L.; Huang, J.; Zhang, H.; Mei, X.; Zhuang, Y.; Zou, X.; He, C. Exposure and Inequality of PM2.5 Pollution to Chinese Population: A Case Study of 31 Provincial Capital Cities from 2000 to 2016. Int. J. Environ. Res. Public Health 2022, 19, 12137. [Google Scholar] [CrossRef] [PubMed]
- Li, D.R.; Yu, H.R.; Li, X. Spatiotemporal Pattern Analysis of Urban Development in Countries along the “Belt and Road” Based on Nighttime Light Remote Sensing Images. Geomat. Inf. Sci. Wuhan Univ. 2023, 42, 711–720. [Google Scholar] [CrossRef]
- Huang, B.; Wu, B.; Barry, M. Geographically and temporally weighted regression for modeling spatio-temporal variation in house prices. Int. J. Geogr. Inf. Sci. 2010, 24, 383–401. [Google Scholar] [CrossRef]
- Fotheringham, A.S.; Crespo, R.; Yao, J. Geographical and temporal weighted regression (GTWR). Geogr. Anal. 2015, 47, 431–452. [Google Scholar] [CrossRef]
- He, Q.; Huang, B. Satellite-based mapping of daily high-resolution ground PM2.5 in China via space-time regression modeling. Remote Sens. Environ. 2018, 206, 72–83. [Google Scholar] [CrossRef]
- Duerler, R.; Cao, C.; Xie, B.; Huang, Z.; Chen, Y.; Wang, K.; Xu, M.; Lu, Y. Cross Reference of GDP Decrease with Nighttime Light Data via Remote Sensing Diagnosis. Sustainability 2023, 15, 6900. [Google Scholar] [CrossRef]
- Qi, H.H. Revitalization of the Old Industrial Base in Northeast China in the New Era: Ideas, Dilemmas and Countermeasures. North. Econ. 2023, 11, 10–13. [Google Scholar]
- Sun, L.W.; Guo, J.H. Construction and Empirical Measurement of New Productive Forces Evaluation Index System. Stat. Decis. 2024, 40, 5–11. [Google Scholar] [CrossRef]
- Du, W.Z.; Wang, R.N.; Yu, W.J.; Liu, X.Y.; Zhang, Y.F.; Nian, Y.Y. Research on Urban Expansion Patterns in Gansu Province Based on Time-Series Nighttime Light Data. Remote Sens. Technol. Appl. 2023, 39, 659–668. [Google Scholar]
- Li, J.; Liao, Y.; Mao, X.; Zhang, S. Construction of Urban Biodiversity System Based on Ecological Atlas. Fresenius Environ. Bull. 2022, 31, 7112–7120. [Google Scholar]
- Yu, M.; Guo, S.; Guan, Y.; Cai, D.; Zhang, C.; Fraedrich, K.; Liao, Z.; Zhang, X.; Tian, Z. Spatiotemporal Heterogeneity Analysis of Yangtze River Delta Urban Agglomeration: Evidence from Nighttime Light Data (2001–2019). Remote Sens. 2021, 13, 1235. [Google Scholar] [CrossRef]
- Xu, T.; Ma, T.; Zhou, C.; Zhou, Y. Characterizing Spatio-Temporal Dynamics of Urbanization in China Using Time Series of DMSP/OLS Night Light Data. Remote Sens. 2014, 6, 7708–7731. [Google Scholar] [CrossRef]
- Zhang, Y.; Shuai, C.; Bian, J.; Chen, X.; Wu, Y.; Shen, L. Socioeconomic factors of PM2.5 concentrations in 152 Chinese cities: Decomposition analysis using LMDI. J. Clean. Prod. 2019, 218, 96–107. [Google Scholar] [CrossRef]
- Liu, Y.; Geng, G.; Cheng, J.; Liu, Y.; Xiao, Q.; Liu, L.; Shi, Q.; Tong, D.; He, K.; Zhang, Q. Drivers of Increasing Ozone during the Two Phases of Clean Air Actions in China 2013–2020. Environ. Sci. Technol. 2023, 57, 8954–8964. [Google Scholar] [CrossRef]
- Zheng, S.S.; Wang, W.J.; Liu, D.S.; Miao, H.Y. Analysis of Precipitation Scavenging Effects on PM2.5 and PM10 in the Sichuan Basin. Torrential Rain Disasters 2024, 43, 607–616. [Google Scholar]
- Yang, X.L.; Wang, Q.Y.; Wang, L.Y.; Liu, F.; Li, C.H.; Xu, G. Meteorological Impacts and Potential Source Areas of O3 Pollution in Xi’an from 2014 to 2022. Res. Environ. Sci. 2024, 38, 486–496. [Google Scholar] [CrossRef]
- Wang, Y.; Wang, J.; Wang, Y.; Li, W. Drought Impacts on PM2.5 Composition and Amount Over the US During 1988–2018. J. Geophys. Res. Atmos. 2022, 127, e2022JD037677. [Google Scholar] [CrossRef]
- Ma, Z.H.; Wang, Y.B.; Gao, Z.Y. Precipitation Characteristics in the East Asian Monsoon Region from 1951 to 2020 Based on EOF and Its Response to Different Summer Monsoon Configurations. Plateau Meteorol. 2024, 43, 855–867. [Google Scholar]
- Yang, Y.; Zhao, N.; Yue, T.X. Spatiotemporal Evolution Characteristics of Extreme High Temperature Events in China from 1980 to 2018. Sci. Geogr. Sin. 2022, 42, 536–547. [Google Scholar] [CrossRef]
- Zhang, Y.; Li, X.; Wang, S.; Yao, Y.; Li, Q.; Tu, W.; Zhao, H.; Zhao, H.; Feng, K.; Sun, L.; et al. A global North-South division line for portraying urban development. iScience 2021, 24, 102729. [Google Scholar] [CrossRef]
- Tang, S.Y.; Yu, D.; Hu, Y.Z.; Wei, P.; Hu, H.Y. Research on urban land green use efficiency and influencing factors in the Yangtze River Economic Belt based on nighttime light data. Shanghai Land Resour. 2024, 45, 43–52. [Google Scholar]
- Bluhm, R.; Krause, M. Top lights: Bright cities and their contribution to economic development. J. Dev. Econ. 2022, 157, 102880. [Google Scholar] [CrossRef]
- Ch, R.; Martin, D.A.; Vargas, J.F. Measuring the size and growth of cities using nighttime light. J. Urban Econ. 2021, 125, 103254. [Google Scholar] [CrossRef]
- Wang, C.H.; Zhang, S.N.; Li, K.C.; Zhang, F.M.; Yang, K. Variation Characteristics of Precipitation in Northwest China from 1961 to 2018. Chin. J. Atmos. Sci. 2021, 45, 713–724. [Google Scholar]
- Wu, Z.; Zhou, T.; Zhang, N.; Choi, Y.; Kong, F. A hidden risk in climate change: The effect of daily rainfall shocks on industrial activities. Econ. Anal. Policy 2023, 80, 161–180. [Google Scholar] [CrossRef]
- Wang, X.; Zhang, R.; Yu, W. The Effects of PM2.5 Concentrations and Relative Humidity on Atmospheric Visibility in Beijing. J. Geophys. Res. Atmos. 2019, 124, 2235–2259. [Google Scholar] [CrossRef]
- Xu, F.J. Analysis of the Impact of Rainfall on Urban Road Capacity. Master’s Thesis, Chang’an University, Xi’an, China, 2018. [Google Scholar]
- Mu, C.C.; Zhang, G.F.; Xiao, C.D.; Wei, Y.G.; Krinner, G. Interpretation of IPCC Sixth Assessment Report: Permafrost Changes and Their Impacts. J. Glaciol. Geocryol. 2023, 45, 306–317. [Google Scholar]
- Qiao, S.R.; Xu, X.; Huang, Y.Q. Impacts of Extreme Climate Indices on Ecosystem Vulnerability in Inland Coastal Areas of China from 1986 to 2015. J. Beijing Norm. Univ. (Nat. Sci.) 2024, 60, 438–446. [Google Scholar]
- Wu, Y.Y.; Liu, Y.F.; Tang, R.; Jiang, L.L.; Wang, H.K. Spatiotemporal Evolution Characteristics of PM2.5 Pollution and Health Burden in Chinese Megacity Agglomerations. J. Nanjing Univ. (Nat. Sci.) 2024, 60, 158–167. [Google Scholar] [CrossRef]
- Wu, S.Q.; Yao, J.Q.; Yang, R.; Zhang, S.W.; Zhao, W.J. Spatiotemporal Variation and Influencing Factors of PM2.5 in the Yangtze River Delta Urban Agglomeration. Environ. Sci. 2022, 44, 5325–5334. [Google Scholar] [CrossRef]
- Zhang, Q.; Zheng, Y.; Tong, D.; Hao, J. Drivers of improved PM2.5 air quality in China from 2013 to 2017. Proc. Natl. Acad. Sci. USA 2019, 116, 24463–24469. [Google Scholar] [CrossRef]
- Ma, H.Q.; Li, W.Q.; Chi, F.D. Research on the Shared Development Strategy of Southwest China Promoted by Energy Revolution. Chin. J. Eng. Sci. 2021, 23, 86–91. [Google Scholar] [CrossRef]
- Ao, C.L.; Wang, J.X.; Sun, B.S. Research on the Impact of Air Quality on Public Outings and Travel Based on Big Data. Resour. Sci. 2020, 42, 1199–1209. [Google Scholar]
- Liu, S.; Li, X.; Wei, J.; Shu, L.; Jin, J.; Fu, T.M.; Yang, X.; Zhu, L. Short-Term Exposure to Fine Particulate Matter and Ozone: Source Impacts and Attributable Mortalities. Environ. Sci. Technol. 2024, 58, 11256–11267. [Google Scholar] [CrossRef]
- Gui, X.; Ren, J.; Wang, G.; Wang, Y.; Zhang, M.; Wang, X. Retrieval of Atmospheric Visibility and Its Driving Factors in Shanghai, China. Atmosphere 2025, 16, 1181. [Google Scholar] [CrossRef]
- Wang, Y.; Zhao, Y.; Liu, Y.; Jiang, Y.; Zheng, B.; Xing, J.; Liu, Y.; Wang, S.; Nielsen, C.P. Sustained emission reductions have restrained the ozone pollution over China. Nat. Geosci. 2023, 16, 967–974. [Google Scholar] [CrossRef]
- Kelejian, H.H.; Prucha, I.R. A generalized spatial two-stage least squares procedure for estimating a spatial autoregressive model with autoregressive disturbances. J. Real Estate Financ. Econ. 1998, 17, 99–121. [Google Scholar] [CrossRef]
- Elhorst, J.P. Applied spatial econometrics: Raising the bar. Spat. Econ. Anal. 2010, 5, 9–28. [Google Scholar] [CrossRef]











| Factor Name | Year | Resolution | Data Sources |
|---|---|---|---|
| Temperature (TMP) | 2000~2023 | 1 km | Institute of Tibetan Plateau Research Chinese Academy of Sciences [43,44,45,46] |
| Precipitation (PRE) | 2000~2023 | 1 km | |
| Fine particulate matter (PM2.5) | 2000~2023 | 1 km | |
| Ozone (O3) | 2000~2023 | 1 km | |
| Topography Factors Elevation (DEM) | 2000 | 1 km | Resource and Environmental Science Data Platform [47,48] |
| Population (POP) | 2000/2005/2010/2015/2020 | 1 km | |
| Gross Domestic Product (GDP) | 2000/2005/2010/2015/2020 | 1 km | |
| Land Use Classification | 1985~2023 | 30 m | Yang and Huang (2021) [42] |
| Variable | VIF |
|---|---|
| Percentage of land under construction (LUL) | 3.130 |
| Topography Factors Elevation (DEM) | 2.856 |
| Population (POP) | 1.924 |
| Ozone (O3) | 1.624 |
| Temperature (TMP) | 1.579 |
| Fine particulate matter (PM2.5) | 1.579 |
| Precipitation (PRE) | 1.483 |
| Percentage of land under vegetation (LUV) | 1.451 |
| Gross Domestic Product (GDP) | 1.332 |
| Model | R2 | Adjusted R2 | AICc | Sigma |
|---|---|---|---|---|
| OLS | 0.788 | 0.787 | 9342.61 | 2.934 |
| GWR | 0.895 | 0.894 | 8177.18 | 2.059 |
| GTWR | 0.910 | 0.909 | 7988.49 | 1.905 |
| Variable | Significant (%) | Positive (%) | Negative (%) |
|---|---|---|---|
| Percentage of Land Under Construction (LUL) | 99.95 | 99.95 | 0.00 |
| Population (POP) | 99.89 | 92.19 | 7.70 |
| Fine particulate matter (PM2.5) | 99.30 | 12.51 | 86.79 |
| Gross Domestic Product (GDP) | 99.25 | 97.27 | 1.98 |
| Slope (SLP) | 98.72 | 70.16 | 28.56 |
| Percentage of Land Under Vegetation (LUV) | 98.61 | 7.81 | 90.80 |
| Precipitation (PRE) | 98.18 | 8.29 | 89.89 |
| Temperature (TMP) | 97.49 | 80.75 | 16.74 |
| Ozone (O3) | 96.74 | 76.68 | 20.05 |
| Topography Factors Elevation (DEM) | 96.36 | 71.39 | 24.97 |
| Variable | Mean | Min | Q1 | Median | Q3 | Max |
|---|---|---|---|---|---|---|
| Temperature (TMP) | 0.14211 | −0.10960 | 0.01919 | 0.10346 | 0.2725 | 0.44635 |
| Precipitation (PRE) | −3.00 × 10−7 | −1.00 × 10−6 | −1.00 × 10−6 | −3.00 × 10−7 | −2.00 × 10−7 | 1.00 × 10−7 |
| Fine particulate matter (PM2.5) | −0.03263 | −0.13844 | −0.05434 | −0.03380 | −0.01716 | 0.15275 |
| Ozone (O3) | 0.01696 | −0.07984 | 0.00219 | 0.01783 | 0.03597 | 0.06557 |
| Topography Factors Elevation (DEM) | 0.000399 | −0.01408 | −0.00003 | 0.000575 | 0.001931 | 0.004182 |
| Slope (SLP) | 0.36228 | −0.37570 | −0.02610 | 0.25832 | 0.5729 | 2.33254 |
| Population (POP) | 0.00254 | −0.00061 | 0.00039 | 0.00185 | 0.00389 | 0.0141 |
| Gross Domestic Product (GDP) | 0.000468 | −0.00022 | 0.000327 | 0.000478 | 0.000608 | 0.001231 |
| Percentage of Land Under Construction (LUL) | 0.44407 | −0.00541 | 0.20947 | 0.32562 | 0.62798 | 1.42069 |
| Percentage of Land Under Vegetation (LUV) | −0.15139 | −0.40315 | −0.26176 | −0.15739 | −0.01921 | 0.11274 |
Disclaimer/Publisher’s Note: The statements, opinions and data contained in all publications are solely those of the individual author(s) and contributor(s) and not of MDPI and/or the editor(s). MDPI and/or the editor(s) disclaim responsibility for any injury to people or property resulting from any ideas, methods, instructions or products referred to in the content. |
© 2026 by the authors. Licensee MDPI, Basel, Switzerland. This article is an open access article distributed under the terms and conditions of the Creative Commons Attribution (CC BY) license.
Share and Cite
Wang, D.; Shan, W.; Hong, S.; Wu, Q.; Shi, S.; Chen, B. The Impact of Meteorological Parameters and Air Pollution on the Spatiotemporal Distribution of Nighttime Light in China. Sustainability 2026, 18, 3256. https://doi.org/10.3390/su18073256
Wang D, Shan W, Hong S, Wu Q, Shi S, Chen B. The Impact of Meteorological Parameters and Air Pollution on the Spatiotemporal Distribution of Nighttime Light in China. Sustainability. 2026; 18(7):3256. https://doi.org/10.3390/su18073256
Chicago/Turabian StyleWang, Dan, Wei Shan, Song Hong, Qian Wu, Shuai Shi, and Bin Chen. 2026. "The Impact of Meteorological Parameters and Air Pollution on the Spatiotemporal Distribution of Nighttime Light in China" Sustainability 18, no. 7: 3256. https://doi.org/10.3390/su18073256
APA StyleWang, D., Shan, W., Hong, S., Wu, Q., Shi, S., & Chen, B. (2026). The Impact of Meteorological Parameters and Air Pollution on the Spatiotemporal Distribution of Nighttime Light in China. Sustainability, 18(7), 3256. https://doi.org/10.3390/su18073256

