Sign in to use this feature.

Years

Between: -

Subjects

remove_circle_outline
remove_circle_outline
remove_circle_outline
remove_circle_outline
remove_circle_outline
remove_circle_outline
remove_circle_outline
remove_circle_outline
remove_circle_outline

Journals

remove_circle_outline
remove_circle_outline
remove_circle_outline
remove_circle_outline
remove_circle_outline

Article Types

Countries / Regions

Search Results (116)

Search Parameters:
Keywords = esca

Order results
Result details
Results per page
Select all
Export citation of selected articles as:
26 pages, 25630 KB  
Article
Constructing a Pan-Cancer Prognostic Model via Machine Learning Based on Immunogenic Cell Death Genes and Identifying NT5E as a Biomarker in Head and Neck Cancer
by Luojin Wu, Qing Sun, Atsushi Kitani, Xiaorong Zhou, Liming Mao and Mengmeng Sang
Curr. Issues Mol. Biol. 2025, 47(10), 812; https://doi.org/10.3390/cimb47100812 - 1 Oct 2025
Viewed by 264
Abstract
Immunogenic cell death (ICD) is a specialized form of cell death that triggers antitumor immune responses. In tumors, ICD promotes the release of tumor-associated and tumor-specific antigens, thereby reshaping the immune microenvironment, restoring antitumor immunity, and facilitating tumor eradication. However, the regulatory mechanisms [...] Read more.
Immunogenic cell death (ICD) is a specialized form of cell death that triggers antitumor immune responses. In tumors, ICD promotes the release of tumor-associated and tumor-specific antigens, thereby reshaping the immune microenvironment, restoring antitumor immunity, and facilitating tumor eradication. However, the regulatory mechanisms of ICD and its immunological effects vary across tumor types, and a comprehensive understanding remains limited. We systematically analyzed the expression of 34 ICD-related regulatory genes across 33 tumor types. Differential expression at the RNA, copy number variation (CNV), and DNA methylation levels was assessed in relation to clinical features. Associations between patient survival and RNA expression, CNVs, single-nucleotide variations (SNVs), and methylation were evaluated. Patients were stratified into immunological subtypes and further divided into high- and low-risk groups based on optimal prognostic models built using a machine learning framework. We explored the relationships between ICD-related genes and immune cell infiltration, stemness, heterogeneity, immune scores, immune checkpoint and regulatory genes, and subtype-specific expression patterns. Moreover, we examined the influence of immunotherapy and anticancer immune responses, applied three machine learning algorithms to identify prognostic biomarkers, and performed drug prediction and molecular docking analyses to nominate therapeutic targets. ICD-related genes were predominantly overexpressed in ESCA, GBM, KIRC, LGG, PAAD, and STAD. RNA expression of most ICD-related genes was associated with poor prognosis, while DNA methylation of these genes showed significant survival correlations in LGG and UVM. Prognostic models were successfully established for 18 cancer types, revealing intrinsic immune regulatory mechanisms of ICD-related genes. Machine learning identified several key prognostic biomarkers across cancers, among which NT5E emerged as a predictive biomarker in head and neck squamous cell carcinoma (HNSC), mediating tumor–immune interactions through multiple ligand–receptor pairs. This study provides a comprehensive view of ICD-related genes across cancers, identifies NT5E as a potential biomarker in HNSC, and highlights novel targets for predicting immunotherapy response and improving clinical outcomes in cancer patients. Full article
(This article belongs to the Special Issue Challenges and Advances in Bioinformatics and Computational Biology)
Show Figures

Figure 1

17 pages, 3173 KB  
Article
MicroAIbiome: Decoding Cancer Types from Microbial Profiles Using Explainable Machine Learning
by Md Motiur Rahman, Shiva Shokouhmand, Saeka Rahman, Nafisa Nawar Tamzi, Smriti Bhatt and Miad Faezipour
Microorganisms 2025, 13(9), 2210; https://doi.org/10.3390/microorganisms13092210 - 21 Sep 2025
Viewed by 429
Abstract
Microbial communities within human tissues are increasingly recognized as promising biomarkers for cancer detection. However, leveraging microbiome data for multiclass cancer classification remains challenging due to its compositional structure, high dimensionality, and lack of model interpretability. In this study, we address these challenges [...] Read more.
Microbial communities within human tissues are increasingly recognized as promising biomarkers for cancer detection. However, leveraging microbiome data for multiclass cancer classification remains challenging due to its compositional structure, high dimensionality, and lack of model interpretability. In this study, we address these challenges by introducing MicroAIbiome, a machine learning-based artificial intelligence (AI) pipeline designed to classify five cancer types such as esophageal carcinoma (ESCA), head and neck squamous cell carcinoma (HNSC), stomach adenocarcinoma (STAD), colon adenocarcinoma (COAD), and rectum adenocarcinoma (READ), using genus-level microbial relative abundances. Our pipeline incorporates zero-replacement, centered log-ratio (CLR) transformation, correlation filtering, and recursive feature elimination (RFE) to enable robust learning from compositional data. Among five evaluated classifiers, XGBoost achieved the highest accuracy of 78.23%, outperforming prior work. We further enhance interpretability using SHapley Additive exPlanations (SHAP)-based feature attribution to uncover class-specific microbial signatures, such as Corynebacterium in ESCA and Bacteroides in COAD. Our results highlight the importance of compositional preprocessing and explainable AI in advancing microbiome-based cancer diagnostics. Full article
(This article belongs to the Special Issue Host–Microbiome Cross-Talk in Cancer Development and Progression)
Show Figures

Figure 1

17 pages, 2406 KB  
Article
Microscopic and Crystallographic Analysis of Increased Acid Resistance of Melted Dental Enamel Using 445 nm Diode Laser: An Ex-Vivo Study
by Samir Nammour, Marwan El Mobadder, Aldo Brugnera, Praveen Arany, Mireille El Feghali, Paul Nahas and Alain Vanheusden
Dent. J. 2025, 13(8), 376; https://doi.org/10.3390/dj13080376 - 19 Aug 2025
Viewed by 492
Abstract
Background/Objectives: This study aimed to evaluate the efficacy of a 445 nm diode laser in enhancing enamel resistance to acid-induced demineralization and to investigate the associated compositional and structural modifications using scanning electron microscopy (SEM), electron spectroscopy for chemical analysis (ESCA), and [...] Read more.
Background/Objectives: This study aimed to evaluate the efficacy of a 445 nm diode laser in enhancing enamel resistance to acid-induced demineralization and to investigate the associated compositional and structural modifications using scanning electron microscopy (SEM), electron spectroscopy for chemical analysis (ESCA), and X-ray diffraction (XRD) crystallographic analysis. Methods: A total of 126 extracted human teeth were used. A total of 135 (n = 135) enamel discs (4 × 4 mm) from 90 teeth were assigned to either a laser-irradiated group or an untreated control group for SEM, ESCA, and XRD analyses. Additionally, 24 mono-rooted teeth were used to measure pulp temperature changes during laser application. Laser irradiation was performed using a 445 nm diode laser with a pulse width of 200 ms, a repetition rate of 1 Hz, power of 1.25 W, an energy density of 800 J/cm2, a power density of 3980 W/cm2, and a 200 µm activated fiber. Following acid etching, SEM was conducted to assess microstructural and ionic alterations. The ESCA was used to evaluate the Ca/P ratio, and XRD analyses were performed on enamel powders to determine changes in phase composition and crystal lattice parameters. Results: The laser protocol demonstrated thermal safety, with minimal pulp chamber temperature elevation (0.05667 ± 0.04131 °C). SEM showed that laser-treated enamel had a smoother surface morphology and reduced acid-induced erosion compared with controls. Results of the ESCA revealed no significant difference in the Ca/P ratio between groups. XRD confirmed the presence of hydroxyapatite structure in laser-treated enamel and detected an additional diffraction peak corresponding to a pyrophosphate phase, potentially enhancing acid resistance. Results of the spectral analysis showed the absence of α-TCP and β-TCP phases and a reduction in the carbonate content in the laser group. Furthermore, a significant decrease in the a-axis lattice parameter suggested lattice compaction in laser-treated enamel. Conclusions: Irradiation with a 445 nm diode laser effectively enhances enamel resistance to acid demineralization. This improvement may be attributed to chemical modifications, particularly pyrophosphate phase formation, and structural changes including prism-less enamel formation, surface fusion, and decreased permeability. These findings provide novel insights into the mechanisms of laser-induced enhancement of acid resistance in enamel. Full article
(This article belongs to the Special Issue Laser Dentistry: The Current Status and Developments)
Show Figures

Figure 1

25 pages, 28917 KB  
Article
Synthetic Data-Driven Methods to Accelerate the Deployment of Deep Learning Models: A Case Study on Pest and Disease Detection in Precision Viticulture
by Telmo Adão, Agnieszka Chojka, David Pascoal, Nuno Silva, Raul Morais and Emanuel Peres
Computers 2025, 14(8), 327; https://doi.org/10.3390/computers14080327 - 13 Aug 2025
Viewed by 656
Abstract
The development of reliable visual inference models is often constrained by the burdensome and time-consuming processes involved in collecting and annotating high-quality datasets. This challenge becomes more acute in domains where key phenomena are time-dependent or event-driven, narrowing the opportunity window to capture [...] Read more.
The development of reliable visual inference models is often constrained by the burdensome and time-consuming processes involved in collecting and annotating high-quality datasets. This challenge becomes more acute in domains where key phenomena are time-dependent or event-driven, narrowing the opportunity window to capture representative observations. Yet, accelerating the deployment of deep learning (DL) models is crucial to support timely, data-driven decision-making in operational settings. To tackle such an issue, this paper explores the use of 2D synthetic data grounded in real-world patterns to train initial DL models in contexts where annotated datasets are scarce or can only be acquired within restrictive time windows. Two complementary approaches to synthetic data generation are investigated: rule-based digital image processing and advanced text-to-image generative diffusion models. These methods can operate independently or be combined to enhance flexibility and coverage. A proof-of-concept is presented through a couple case studies in precision viticulture, a domain often constrained by seasonal dependencies and environmental variability. Specifically, the detection of Lobesia botrana in sticky traps and the classification of grapevine foliar symptoms associated with black rot, ESCA, and leaf blight are addressed. The results suggest that the proposed approach potentially accelerates the deployment of preliminary DL models by comprehensively automating the production of context-aware datasets roughly inspired by specific challenge-driven operational settings, thereby mitigating the need for time-consuming and labor-intensive processes, from image acquisition to annotation. Although models trained on such synthetic datasets require further refinement—for example, through active learning—the approach offers a scalable and functional solution that reduces human involvement, even in scenarios of data scarcity, and supports the effective transition of laboratory-developed AI to real-world deployment environments. Full article
(This article belongs to the Special Issue Machine Learning and Statistical Learning with Applications 2025)
Show Figures

Graphical abstract

22 pages, 3957 KB  
Article
Evaluating Potential Therapeutic Targets and Drug Repurposing Based on the Esophageal Cancer Subtypes
by Jongchan Oh, Jongwon Han and Heeyoung Lee
Pharmaceuticals 2025, 18(8), 1181; https://doi.org/10.3390/ph18081181 - 11 Aug 2025
Viewed by 867
Abstract
Background: Esophageal cancer (EC), including esophageal adenocarcinoma (EAC) and esophageal squamous cell carcinoma (ESCC), remains a lethal malignancy with limited molecularly tailored treatment options. Due to substantial histologic and transcriptomic differences between subtypes, therapeutic responses often vary, underscoring the need for subtype-stratified analysis [...] Read more.
Background: Esophageal cancer (EC), including esophageal adenocarcinoma (EAC) and esophageal squamous cell carcinoma (ESCC), remains a lethal malignancy with limited molecularly tailored treatment options. Due to substantial histologic and transcriptomic differences between subtypes, therapeutic responses often vary, underscoring the need for subtype-stratified analysis and precision drug discovery. Methods: We integrated transcriptomic data from GEO and TCGA to identify differentially expressed genes (DEGs) specific to EAC, ESCC, and their shared profiles. Functional enrichment (GO, KEGG) and protein–protein interaction (PPI) network analyses were conducted to extract hub genes using DAVID, STRING, and Cytoscape. Survival associations were evaluated using TCGA-ESCA and UALCAN. Drug repurposing was performed using L1000FWD, L1000CDS2, and SigCom LINCS. Results: We identified 79, 59, and 17 hub genes in the DEG-EAC, DEG-ESCC, and DEG-EAC&ESCC datasets, respectively. In EAC, 16 novel hub genes including SCARB1, SERPINH1, and DSC2 were discovered, which had not been previously implicated in this subtype. These genes were significantly enriched in pathways related to extracellular matrix (ECM) remodeling and epithelial structure. In addition, shared hub genes across EAC and ESCC—such as COL1A1, SPARC, and MMP1—were enriched in ECM organization and cell adhesion processes, highlighting convergent tumor–stroma interactions. Drug repositioning analysis consistently prioritized MEK inhibitors, trametinib and selumetinib, as potential therapeutic candidates across all DEG datasets. Conclusions: This study presents a comprehensive, subtype-stratified transcriptomic framework for EC, identifying both unique and shared hub genes with potential functional relevance to ECM dynamics. Our findings suggest that ECM remodelers may serve as therapeutic targets, and highlight MEK inhibition as a promising, yet exploratory, repurposing strategy. While these results offer a molecular foundation for future precision oncology efforts in EC, further validation through proteomic analysis, functional studies, and clinical evaluation is warranted. Full article
(This article belongs to the Special Issue Recent Advances in Cancer Diagnosis and Therapy)
Show Figures

Graphical abstract

15 pages, 2255 KB  
Article
Nonnormalized Field Statistics in Coupled Reverberation Chambers
by Angelo Gifuni, Anett Kenderes and Giuseppe Grassini
Symmetry 2025, 17(8), 1239; https://doi.org/10.3390/sym17081239 - 5 Aug 2025
Viewed by 277
Abstract
In this work, we show the probability density functions (PDFs) and cumulative density functions (CDFs) of the nonnormalized field components and the associated powers received inside coupled reverberation chambers (CRCs), considering two canonical cases of single electrically small coupling apertures (ESCAs). These two [...] Read more.
In this work, we show the probability density functions (PDFs) and cumulative density functions (CDFs) of the nonnormalized field components and the associated powers received inside coupled reverberation chambers (CRCs), considering two canonical cases of single electrically small coupling apertures (ESCAs). These two cases involve one-dimensional (1D) and two-dimensional (2D) single electrically small CAs, respectively. We achieve normalized statistics from the nonnormalized ones for both field components and associated powers. We show that the comparison of the mean square values (MSVs) of the nonnormalized PDFs of the field components to the mean values (MVs) of the related nonnormalized PDFs of the powers is a proper method to corroborate the accuracy of the same achieved theoretical distributions, when they are achieved in an independent way. The achieved theoretical results are also validated by measurements. Moreover, for the sake of completeness and rigor of published results, we show two useful cases of the results from the measurements using two electrically large CAs. Full article
Show Figures

Figure 1

20 pages, 10320 KB  
Article
Advancing Grapevine Disease Detection Through Airborne Imaging: A Pilot Study in Emilia-Romagna (Italy)
by Virginia Strati, Matteo Albéri, Alessio Barbagli, Stefano Boncompagni, Luca Casoli, Enrico Chiarelli, Ruggero Colla, Tommaso Colonna, Nedime Irem Elek, Gabriele Galli, Fabio Gallorini, Enrico Guastaldi, Ghulam Hasnain, Nicola Lopane, Andrea Maino, Fabio Mantovani, Filippo Mantovani, Gian Lorenzo Mazzoli, Federica Migliorini, Dario Petrone, Silvio Pierini, Kassandra Giulia Cristina Raptis and Rocchina Tisoadd Show full author list remove Hide full author list
Remote Sens. 2025, 17(14), 2465; https://doi.org/10.3390/rs17142465 - 16 Jul 2025
Viewed by 825
Abstract
Innovative applications of high-resolution airborne imaging are explored for detecting grapevine diseases. Driven by the motivation to enhance early disease detection, the method’s effectiveness lies in its capacity to identify isolated cases of grapevine yellows (Flavescence dorée and Bois Noir) and trunk disease [...] Read more.
Innovative applications of high-resolution airborne imaging are explored for detecting grapevine diseases. Driven by the motivation to enhance early disease detection, the method’s effectiveness lies in its capacity to identify isolated cases of grapevine yellows (Flavescence dorée and Bois Noir) and trunk disease (Esca complex), crucial for preventing the disease from spreading to unaffected areas. Conducted over a 17 ha vineyard in the Forlì municipality in Emilia-Romagna (Italy), the aerial survey utilized a photogrammetric camera capturing centimeter-level resolution images of the whole area in 17 minutes. These images were then processed through an automated analysis leveraging RGB-based spectral indices (Green–Red Vegetation Index—GRVI, Green–Blue Vegetation Index—GBVI, and Blue–Red Vegetation Index—BRVI). The analysis scanned the 1.24 · 109 pixels of the orthomosaic, detecting 0.4% of the vineyard area showing evidence of disease. The instances, density, and incidence maps provide insights into symptoms’ spatial distribution and facilitate precise interventions. High specificity (0.96) and good sensitivity (0.56) emerged from the ground field observation campaign. Statistical analysis revealed a significant edge effect in symptom distribution, with higher disease occurrence near vineyard borders. This pattern, confirmed by spatial autocorrelation and non-parametric tests, likely reflects increased vector activity and environmental stress at the vineyard margins. The presented pilot study not only provides a reliable detection tool for grapevine diseases but also lays the groundwork for an early warning system that, if extended to larger areas, could offer a valuable system to guide on-the-ground monitoring and facilitate strategic decision-making by the authorities. Full article
Show Figures

Figure 1

22 pages, 13702 KB  
Article
MicroRNA miR-193b-3p Regulates Esophageal Cancer Progression Through Targeting RSF1
by Yao Lin, Xudong Zhao, Zhenhua Du, Zhili Jia, Siyu Zhou, Gengsheng Cao and Hengbin Wang
Cells 2025, 14(12), 928; https://doi.org/10.3390/cells14120928 - 19 Jun 2025
Viewed by 863
Abstract
Esophageal cancer (ESCA) is the sixth leading cause of cancer-related mortality worldwide. Despite the significant impact, the molecular mechanisms underlying its initiation and progression remain poorly understood. In this study, we identified mircoRNA miR-193b-3p as a critical regulator of ESCA progression and the [...] Read more.
Esophageal cancer (ESCA) is the sixth leading cause of cancer-related mortality worldwide. Despite the significant impact, the molecular mechanisms underlying its initiation and progression remain poorly understood. In this study, we identified mircoRNA miR-193b-3p as a critical regulator of ESCA progression and the Remodeling and Spacing Factor 1 (RSF1) as an essential target of miR-193b-3p. Analysis of the TCGA_ESCA dataset and RT-qPCR experiments revealed that RSF1 levels are significantly elevated in ESCA and inversely correlated with miR-193b-3p levels. Using a dual-luciferase reporter assay, as well as transfection of miR-193-3p mimics or inhibitors, we confirmed RSF1 as a direct target of miR-193b-3p in ESCA cells. Transfection of miR-193b-3p suppresses ESCA cell proliferation, migration, and invasion. These effects were partially reversed by exogenous RSF1 expression. Injection of AgomiR-193b-3p into mice bearing ESCA xenografts impeded tumor growth. These findings underscore the critical role of the miR-193b-3p/RSF1 axis in esophageal cancer progression. Full article
(This article belongs to the Special Issue Epigenetic Mechanisms of Tumorigenesis)
Show Figures

Figure 1

25 pages, 6717 KB  
Article
Evaluation of Layered Structures Impregnated with Fe or Cu as Catalysts in a Fenton-like Process for the Removal of 17α-Ethinylestradiol in Aqueous Solution: Operational Parameters and Ecotoxicity
by Lorena Lugo, Camilo Venegas, John Díaz, Sergio Alberto Díaz-Gallo, Alejandra Barriga, Fidson-Juarismy Vesga, Sonia Moreno, Crispín Celis-Zambrano and Alejandro Pérez-Flórez
Water 2025, 17(7), 1043; https://doi.org/10.3390/w17071043 - 2 Apr 2025
Viewed by 752
Abstract
Endocrine disruptors such as 17α-ethinylestradiol pose significant ecological risks in aquatic environments. This study assessed the catalytic performance of Fe- and Cu-impregnated delaminated clays (DCs) and layered double hydroxides (LDHs) in a Fenton-like process for EE2 removal. The effects of key parameters—including hydrogen [...] Read more.
Endocrine disruptors such as 17α-ethinylestradiol pose significant ecological risks in aquatic environments. This study assessed the catalytic performance of Fe- and Cu-impregnated delaminated clays (DCs) and layered double hydroxides (LDHs) in a Fenton-like process for EE2 removal. The effects of key parameters—including hydrogen peroxide concentration, initial contaminant load, and catalyst dosage—were analyzed using HPLC-QqTOF. Delaminated clays (DCs) demonstrated higher removal efficiencies compared to layered double hydroxides (LDHs), reaching 55% with Fe and 47% with Cu, while LDHs achieved 40% and 33% for Fe and Cu, respectively. Ecotoxicity was evaluated using bioassays (L. sativa, S. capricornutum, D. magna) and the Ames test. Notably, S. capricornutum exhibited 100% inhibition at the highest tested concentration, with IC50 values of 11.2–12.4 for Cu and 31.5–32.7 for Fe. L. sativa was inhibited by Cu- and Fe-impregnated LDH/DC, with IC50 values of 71.0 (DC-Cu), 56.6 (DC-Fe), and 58.6 (LDH-Fe). D. magna exhibited 17–75% mortality when exposed to untreated EE2, while LC50 values confirmed Cu’s greater toxicity. The Ames test indicated no mutagenic effects. Integrating the Fenton-like process with complementary techniques is recommended to enhance efficiency. These findings highlight the need to optimize operational parameters for effective removal of 17α-ethinylestradiol. Full article
(This article belongs to the Section Wastewater Treatment and Reuse)
Show Figures

Graphical abstract

18 pages, 2427 KB  
Article
The Status of Esca Disease and the Disinfection of the Scion Prior to Grafting Affect the Phenolic Composition and Phenylpropanoid-Related Enzymes in the Callus of Vine Hetero-Grafts
by Saša Krošelj, Maja Mikulic-Petkovsek, Matevž Likar, Andreja Škvarč, Heidi Halbwirth, Katerina Biniari and Denis Rusjan
Horticulturae 2025, 11(4), 371; https://doi.org/10.3390/horticulturae11040371 - 30 Mar 2025
Viewed by 636
Abstract
Vegetative propagation of European grapevine (Vitis vinifera L.) requires grafting onto American rootstocks due to susceptibility to phylloxera. However, the grafting yield is compromised by the presence of grapevine trunk diseases (GTDs) such as Esca. This study investigates the phenolic response and [...] Read more.
Vegetative propagation of European grapevine (Vitis vinifera L.) requires grafting onto American rootstocks due to susceptibility to phylloxera. However, the grafting yield is compromised by the presence of grapevine trunk diseases (GTDs) such as Esca. This study investigates the phenolic response and enzyme activity in grapevine callus from grafts obtained by scions with different GTD status (healthy, asymptomatic, and symptomatic) treated with different disinfection methods (Beltanol, Beltanol in combination with thermotherapy, Serenade® ASO, Remedier, BioAction ES, and sodium bicarbonate). Twenty-three phenolic compounds were identified in the graft callus, with flavanols, stilbenes, and condensed tannins predominating. Scion disinfection with BioAction ES led to a significant increase in total phenolic content in the callus, especially in symptomatic scions, for on average 510.3 µg/g fresh weight (FW) higher total phenolic content, compared to grafts where scions were treated with Beltanol. Phenolics such as epicatechin gallate, procyanidin derivatives, and resveratrol hexoside were significantly increased, indicating a strong elicitor effect of BioAction ES. Enzymatic activity analysis showed that the disinfection methods affected the activity of key enzymes involved in the phenylpropanoid metabolic pathway. In particular, BioAction ES significantly increased phenylalanine ammonia lyase (PAL) activity in callus from grafts with healthy scions by 3.4-fold and flavanone 3β-hydroxylase (FHT) activity in callus from grafts with infected scions by 4.9-fold (asymptomatic) and 6.9-fold (symptomatic) compared to callus from grafts with Beltanol-treated scions. The results highlight the potential of environmentally friendly disinfection methods, particularly BioAction ES, in influencing phenolic content and enzymatic activity in graft callus, potentially affecting the success of grapevine grafting. Full article
(This article belongs to the Special Issue Sustainable Management of Pathogens in Horticultural Crops)
Show Figures

Graphical abstract

10 pages, 459 KB  
Communication
Wavelet Entropy for Efficiency Assessment of Price, Return, and Volatility of Brent and WTI During Extreme Events
by Salim Lahmiri
Commodities 2025, 4(2), 4; https://doi.org/10.3390/commodities4020004 - 21 Mar 2025
Viewed by 747
Abstract
This study analyzes the market efficiency of crude oil markets, namely Brent and West Texas Intermediate (WTI), during three different periods: pre-COVID-19, during the COVID-19 pandemic, and during the ongoing Russia–Ukraine military conflict. To evaluate the efficiency of crude oil markets, wavelet entropy [...] Read more.
This study analyzes the market efficiency of crude oil markets, namely Brent and West Texas Intermediate (WTI), during three different periods: pre-COVID-19, during the COVID-19 pandemic, and during the ongoing Russia–Ukraine military conflict. To evaluate the efficiency of crude oil markets, wavelet entropy is computed from price, return, and volatility series. Our empirical results show that WTI prices are predictable during the Russia–Ukraine military conflict, but Brent prices are difficult to predict during the same period. The prices of Brent and WTI were difficult to predict during the COVID-19 pandemic. Returns in Brent and WTI are more difficult to predict during the military conflict than they were during the pandemic. Finally, volatility in Brent and WTI carried more information during the pandemic compared to the military conflict. Also, volatility series for Brent and WTI are difficult to predict during the military conflict. These findings offer insightful information for investors, traders, and policy makers in relation to crude oil energy under various extreme market conditions. Full article
Show Figures

Figure 1

14 pages, 1622 KB  
Article
Analysis of Self-Similarity in Short and Long Movements of Crude Oil Prices by Combination of Stationary Wavelet Transform and Range-Scale Analysis: Effects of the COVID-19 Pandemic and Russia-Ukraine War
by Salim Lahmiri
Fractal Fract. 2025, 9(3), 176; https://doi.org/10.3390/fractalfract9030176 - 14 Mar 2025
Viewed by 861
Abstract
This paper examines the self-similarity (long memory) in prices of crude oil markets, namely Brent and West Texas Instruments (WTI), by means of fractals. Specifically, price series are decomposed by stationary wavelet transform (SWT) to obtain their short and long oscillations. Then, the [...] Read more.
This paper examines the self-similarity (long memory) in prices of crude oil markets, namely Brent and West Texas Instruments (WTI), by means of fractals. Specifically, price series are decomposed by stationary wavelet transform (SWT) to obtain their short and long oscillations. Then, the Hurst exponent is estimated from each resulting oscillation by rescaled analysis (R/S) to represent hidden fractals in the original price series. The analysis is performed during three periods: the calm period (before the COVID-19 pandemic), the COVID-19 pandemic, and the Russia-Ukraine war. In summary, prices of Brent and WTI exhibited significant increases in persistence in long movements during the COVID-19 pandemic and the Russia-Ukraine war. In addition, they showed a significant increase in anti-persistence in short movements during the pandemic and a significant decrease in anti-persistence during the Russia-Ukraine war. It is concluded that both COVID-19 and the Russia-Ukraine war significantly affected long memory in the short and long movements of Brent and WTI prices. Full article
Show Figures

Figure 1

14 pages, 1130 KB  
Article
Causality Between Brent and West Texas Intermediate: The Effects of COVID-19 Pandemic and Russia–Ukraine War
by Salim Lahmiri
Commodities 2025, 4(1), 2; https://doi.org/10.3390/commodities4010002 - 28 Feb 2025
Viewed by 857
Abstract
The article analyzes the Granger-based causal relationship between two major crude oil markets, namely Brent and West Texas Intermediate (WTI), by using the standard vector autoregression (VAR) framework. In this regard, the effects of the COVID-19 pandemic and the Russia–Ukraine war on causality [...] Read more.
The article analyzes the Granger-based causal relationship between two major crude oil markets, namely Brent and West Texas Intermediate (WTI), by using the standard vector autoregression (VAR) framework. In this regard, the effects of the COVID-19 pandemic and the Russia–Ukraine war on causality between Brent and WTI are examined. The empirical results from Granger-causality tests show (a) strong causality from Brent to WTI during the period prior to the COVID-19 pandemic and Russia–Ukraine war, (b) no causality from WTI to Brent during the period prior to the COVID-19 pandemic and Russia–Ukraine war, (c) no causality from Brent to WTI during the COVID-19 pandemic, (d) evidence of causality from WTI to Brent during the COVID-19 pandemic, and (e) no evidence of causality from both markets during the period of Russia–Ukraine war. In addition, causality tests in quantiles support results from the linear Granger causality tests in general. However, contrary to the standard linear causality test, the quantile-in-regression causality test shows that Brent returns cause WTI returns during the pandemic period and WTI returns cause Brent returns before the pandemic. Furthermore, the results from the time-varying Granger causality tests support all conclusions from the standard linear (and static) Granger causality test, except the hypothesis that Brent causes WTI during the pandemic. Moreover, the time-varying Granger tests show evidence that causality between Brent and WTI clearly varies across the pandemic and war periods. Revealing the causalities between Brent and WTI across periods of economic and political stability, pandemic, and war would help policymakers develop appropriate energy policy and help investors determine appropriate risk management actions. Full article
(This article belongs to the Special Issue The Future of Commodities)
Show Figures

Figure 1

21 pages, 4657 KB  
Article
Health Status and Disinfection Prior to Grafting Affect the Phenolic Profile of Grapevine Hetero-Grafts and Grafting Yield
by Saša Krošelj, Maja Mikulic-Petkovsek, Domen Kjuder, Anja Pavlin, Matevž Likar, Andreja Škvarč, Katerina Biniari and Denis Rusjan
Plants 2025, 14(3), 444; https://doi.org/10.3390/plants14030444 - 3 Feb 2025
Viewed by 1139
Abstract
Grapevine trunk disease (GTD) is a major threat to grapevine propagation, severely affecting the growth and development of young vines. As one of the most destructive plant diseases in the world, GTD spreads easily through propagation material and threatens the sustainability of vineyards. [...] Read more.
Grapevine trunk disease (GTD) is a major threat to grapevine propagation, severely affecting the growth and development of young vines. As one of the most destructive plant diseases in the world, GTD spreads easily through propagation material and threatens the sustainability of vineyards. While effective, biologically friendly treatments remain unavailable. This study investigated the graft yield, the growth potential of grapevine hetero-grafts, and phenolic responses focusing on (i) GTD scion health status (healthy—HLT; asymptomatic—ASYM; symptomatic—SYM) and (ii) disinfection methods. Grafting with HLT scions achieved the highest yield rates, particularly with Serenade® ASO (75%) and BioAction ES (79%), while infected scions showed lower yields. The growth potential of the scions was not affected by the disinfection method or the health status of the scions. Phenolic composition varied between scions, graft callus, rootstock canes, and roots, with scion health status strongly influencing most metabolites. Higher levels of flavanols were observed in HLT scions treated with BioAction ES and Serenade® ASO, with these treatments resulting in 1.6 and 1.5 times higher procyanidin dimer levels, respectively, compared to Beltanol. Flavanols and stilbenes were lower in the callus tissue of grafts with healthy scions compared to infected scions. Rootstock also showed higher levels of catechin and procyanidin dimers in grafts with HLT scions. These results indicate that the health status of scion GTD and the disinfection methods significantly influence the graft yield and phenolic composition, providing valuable insights for GTD management. Full article
(This article belongs to the Special Issue Bioactive Compounds in Plants—2nd Edition)
Show Figures

Figure 1

17 pages, 2636 KB  
Article
PLASMA: Partial LeAst Squares for Multiomics Analysis
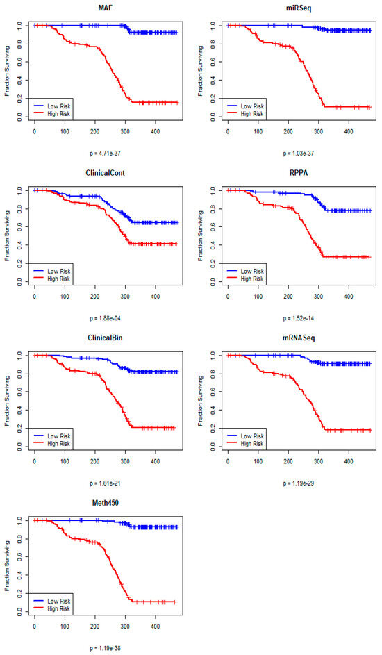
by Kyoko Yamaguchi, Salma Abdelbaky, Lianbo Yu, Christopher C. Oakes, Lynne V. Abruzzo and Kevin R. Coombes
Cancers 2025, 17(2), 287; https://doi.org/10.3390/cancers17020287 - 17 Jan 2025
Viewed by 1148
Abstract
Background/Objectives: Recent growth in the number and applications of high-throughput “omics” technologies has created a need for better methods to integrate multiomics data. Much progress has been made in developing unsupervised methods, but supervised methods have lagged behind. Methods: Here we [...] Read more.
Background/Objectives: Recent growth in the number and applications of high-throughput “omics” technologies has created a need for better methods to integrate multiomics data. Much progress has been made in developing unsupervised methods, but supervised methods have lagged behind. Methods: Here we present the first algorithm, PLASMA, that can learn to predict time-to-event outcomes from multiomics data sets, even when some samples have only been assayed on a subset of the omics data sets. PLASMA uses two layers of existing partial least squares algorithms to first select components that covary with the outcome and then construct a joint Cox proportional hazards model. Results: We apply PLASMA to the stomach adenocarcinoma (STAD) data from The Cancer Genome Atlas. We validate the model both by splitting the STAD data into training and test sets and by applying them to the subset of esophageal cancer (ESCA) containing adenocarcinomas. We use the other half of the ESCA data, which contains squamous cell carcinomas dissimilar to STAD, as a negative comparison. Our model successfully separates both the STAD test set (p = 2.73 × 10−8) and the independent ESCA adenocarcinoma data (p = 0.025) into high-risk and low-risk patients. It does not separate the negative comparison data set (ESCA squamous cell carcinomas, p = 0.57). The performance of the unified multiomics model is superior to that of individually trained models and is also superior to an unsupervised method (Multi-Omics Factor Analysis; MOFA), which finds latent factors to be used as putative predictors in a post hoc survival analysis. Conclusions: Many of the factors that contribute strongly to the PLASMA model can be justified from the biological literature. Full article
(This article belongs to the Section Methods and Technologies Development)
Show Figures

Figure 1

Back to TopTop