Sign in to use this feature.

Years

Between: -

Subjects

remove_circle_outline
remove_circle_outline
remove_circle_outline
remove_circle_outline
remove_circle_outline
remove_circle_outline
remove_circle_outline
remove_circle_outline
remove_circle_outline

Journals

remove_circle_outline
remove_circle_outline
remove_circle_outline
remove_circle_outline
remove_circle_outline
remove_circle_outline
remove_circle_outline
remove_circle_outline
remove_circle_outline
remove_circle_outline
remove_circle_outline
remove_circle_outline
remove_circle_outline
remove_circle_outline
remove_circle_outline
remove_circle_outline
remove_circle_outline
remove_circle_outline
remove_circle_outline
remove_circle_outline
remove_circle_outline
remove_circle_outline
remove_circle_outline
remove_circle_outline
remove_circle_outline
remove_circle_outline
remove_circle_outline

Article Types

Countries / Regions

remove_circle_outline
remove_circle_outline
remove_circle_outline
remove_circle_outline
remove_circle_outline
remove_circle_outline
remove_circle_outline

Search Results (4,897)

Search Parameters:
Keywords = enhancement path

Order results
Result details
Results per page
Select all
Export citation of selected articles as:
21 pages, 4084 KB  
Article
Simulation Analysis of Temperature Change in FDM Process Based on ANSYS APDL and Birth–Death Element Technology
by Yuehua Mi and Seyed Hamed Hashemi Sohi
Micromachines 2025, 16(10), 1181; https://doi.org/10.3390/mi16101181 (registering DOI) - 19 Oct 2025
Abstract
During the Fused Deposition Modeling (FDM) molding process, temperature changes are nonlinear and instantaneous, which is a key parameter affecting FDM printing efficiency, molding accuracy, warpage deformation, and other factors. This study presents a finite element simulation framework that integrates ANSYS Parametric Design [...] Read more.
During the Fused Deposition Modeling (FDM) molding process, temperature changes are nonlinear and instantaneous, which is a key parameter affecting FDM printing efficiency, molding accuracy, warpage deformation, and other factors. This study presents a finite element simulation framework that integrates ANSYS Parametric Design Language (APDL) with birth–death element technology to investigate the temperature evolution and thermomechanical behavior during the FDM process. The framework enables dynamic simulation of the complete printing and cooling cycle, capturing the layer-by-layer material deposition and subsequent thermal history. Results indicate that temperature distribution follows a gradient pattern along the printing path, with rapid heat dissipation at the periphery and heat accumulation in the central regions. Thermomechanical coupling analysis reveals significant stress concentration at the part bottom (310 MPa) and progressive strain increase from bottom (3.68 × 10−5 m) to top (2.95 × 10−4 m). Experimental validation demonstrates strong agreement with numerical predictions, showing maximum temperature deviations below 8% and strain distribution errors within 5%. This integrated approach provides an effective tool for predicting thermal-induced deformations and optimizing FDM process parameters to enhance part quality. Full article
(This article belongs to the Section D3: 3D Printing and Additive Manufacturing)
22 pages, 1319 KB  
Article
Unveiling Students’ Voices: An Exploratory Study of Portuguese Students’ Feelings
by Lídia Serra, José Matias Alves and Generosa Pinheiro
Educ. Sci. 2025, 15(10), 1403; https://doi.org/10.3390/educsci15101403 (registering DOI) - 19 Oct 2025
Abstract
Understanding students’ feelings about daily school life can be a tool for schools to enhance their learning experience and sense of belonging. Despite the abundant research on achievement and engagement, few studies jointly examine the effect of students’ over-age status considering the grade [...] Read more.
Understanding students’ feelings about daily school life can be a tool for schools to enhance their learning experience and sense of belonging. Despite the abundant research on achievement and engagement, few studies jointly examine the effect of students’ over-age status considering the grade attended, gender, and school level within a multi-domain framework of student feelings. Even rarer are studies that examine how these variables interrelate to identify predictors of students’ feelings about the learning experience, the aim of this study. Then, adopting a quantitative research approach, data were collected through a 1012-participant survey to map the students’ feelings about school life. The data were analyzed using t-tests, ANOVA, and linear regression statistics to identify causes and associations with the schooling experience. The findings indicate that students who did not disclose their gender or are over-age, considering the grade attended, exhibited less-positive feelings. Additionally, positive feelings decrease along the school path, and six predictors—assessment, school climate, teacher support, emotional discomfort, relationship with peers, and grade—explain the learning experience feelings, with relevance to their interaction effect. The findings highlight the need for coordinated school interventions that promote students’ positive feelings through inclusive, student-centred, and context-sensitive practices. Full article
(This article belongs to the Section Education and Psychology)
Show Figures

Figure 1

19 pages, 7823 KB  
Article
EDI-YOLO: An Instance Segmentation Network for Tomato Main Stems and Lateral Branches in Greenhouse Environments
by Peng Ji, Nengwei Yang, Sen Lin and Ya Xiong
Horticulturae 2025, 11(10), 1260; https://doi.org/10.3390/horticulturae11101260 (registering DOI) - 18 Oct 2025
Abstract
Agricultural robots operating in greenhouse environments face substantial challenges in detecting tomato stems, including fluctuating lighting, cluttered backgrounds, and the stems’ inherently slender morphology. This study introduces EfficientV1-C2fDWR-IRMB-YOLO (EDI-YOLO), an enhanced model built on YOLOv8n-seg. First, the original backbone is replaced with EfficientNetV1, [...] Read more.
Agricultural robots operating in greenhouse environments face substantial challenges in detecting tomato stems, including fluctuating lighting, cluttered backgrounds, and the stems’ inherently slender morphology. This study introduces EfficientV1-C2fDWR-IRMB-YOLO (EDI-YOLO), an enhanced model built on YOLOv8n-seg. First, the original backbone is replaced with EfficientNetV1, yielding a 2.3% increase in mAP50 and a 2.6 G reduction in FLOPs. Second, we design a C2f-DWR module that integrates multi-branch dilations with residual connections, enlarging the receptive field and strengthening long-range dependencies; this improves slender-object segmentation by 1.4%. Third, an Inverted Residual Mobile Block (iRMB) is inserted into the neck to apply spatial attention and dual residual paths, boosting key-feature extraction by 1.5% with only +0.7GFLOPs. On a custom tomato-stem dataset, EDI-YOLO achieves 79.3% mAP50 and 33.9% mAP50-95, outperforming the baseline YOLOv8n-seg (75.1%, 31.4%) by 4.2% and 2.6%, and YOLOv5s-seg (66.7%), YOLOv7tiny-seg (75.4%), and YOLOv12s-seg (75.4%) by 12.6%, 3.9%, and 3.9% in mAP50, respectively. Significant improvement is achieved in lateral branch segmentation (60.4% → 65.2%). Running at 86.2 FPS with only 10.4GFLOPs and 8.0 M parameters, EDI-YOLO demonstrates an optimal trade-off between accuracy and efficiency. Full article
(This article belongs to the Section Vegetable Production Systems)
27 pages, 9934 KB  
Article
Generative AI for Biophilic Design in Historic Urban Alleys: Balancing Place Identity and Biophilic Strategies in Urban Regeneration
by Eun-Ji Lee and Sung-Jun Park
Land 2025, 14(10), 2085; https://doi.org/10.3390/land14102085 (registering DOI) - 18 Oct 2025
Abstract
Historic urban alleys encapsulate cultural identity and collective memory but are increasingly threatened by commercialization and context-insensitive redevelopment. Preserving their authenticity while enhancing environmental resilience requires design strategies that integrate both heritage and ecological values. This study explores the potential of generative artificial [...] Read more.
Historic urban alleys encapsulate cultural identity and collective memory but are increasingly threatened by commercialization and context-insensitive redevelopment. Preserving their authenticity while enhancing environmental resilience requires design strategies that integrate both heritage and ecological values. This study explores the potential of generative artificial intelligence (AI) to support biophilic design in historic alleys, focusing on Daegu, South Korea. Four alley typologies—path, stairs, edge, and node—were identified through fieldwork and analyzed across cognitive, emotional, and physical dimensions of place identity. A Flux-based diffusion model was fine-tuned using low-rank adaptation (LoRA) with site-specific images, while a structured biophilic design prompt (BDP) framework was developed to embed ecological attributes into generative simulations. The outputs were evaluated through perceptual and statistical similarity indices and expert reviews (n = 8). Results showed that LoRA training significantly improved alignment with ground-truth images compared to prompt-only generation, capturing both material realism and symbolic cues. Expert evaluations confirmed the contextual authenticity and biophilic effectiveness of AI-generated designs, revealing typology-specific strengths: the path enhanced spatial legibility and continuity; the stairs supported immersive sequential experiences; the edge transformed rigid boundaries into ecological transitions; and the node reinforced communal symbolism. Emotional identity was more difficult to reproduce, highlighting the need for multimodal and interactive approaches. This study demonstrates that generative AI can serve not only as a visualization tool but also as a methodological platform for participatory design and heritage-sensitive urban regeneration. Future research will expand the dataset and adopt multimodal and dynamic simulation approaches to further generalize and validate the framework across diverse urban contexts. Full article
21 pages, 1246 KB  
Article
Path Identification in Passive Acoustic Tomography via Time Delay Difference Comparison and Accumulation Analysis
by Tianyu Ma, Ting Zhang and Wen Xu
J. Mar. Sci. Eng. 2025, 13(10), 1996; https://doi.org/10.3390/jmse13101996 - 17 Oct 2025
Abstract
Empirical green’s functions (EGFs) can be extracted from the cross-correlation of ambient ocean noise and serve as the foundation for passive ocean acoustic tomography (POAT). A critical challenge in POAT is the accurate identification of propagation paths, especially in shallow water and short-range [...] Read more.
Empirical green’s functions (EGFs) can be extracted from the cross-correlation of ambient ocean noise and serve as the foundation for passive ocean acoustic tomography (POAT). A critical challenge in POAT is the accurate identification of propagation paths, especially in shallow water and short-range scenarios where multipath arrivals often overlap. Traditional methods relying on absolute arrival time delays are rather sensitive to environmental variability and measurement uncertainty. In this study, we propose a path identification method based on time delay differences between extracted acoustic paths, which exhibit lower sensitivity to sound speed profile (SSP) perturbations than absolute time delays. This approach provides a more robust and stable metric for distinguishing coherent arrivals. We further analyze how accumulation time and hydrophone spacing influence the extraction of coherent wavefronts and identify trade-offs in resolution and stability. The effectiveness of the proposed method is validated through both field experiments and Bellhop simulations, demonstrating consistent time delay difference patterns and improved arrival stability. The findings suggest that time delay difference-based path identification enhances robustness and provides practical guidance for optimizing POAT deployments in complex shallow water environments. Full article
(This article belongs to the Section Ocean Engineering)
Show Figures

Figure 1

18 pages, 2704 KB  
Article
Enhanced Real-Time Highway Object Detection for Construction Zone Safety Using YOLOv8s-MTAM
by Wen-Piao Lin, Chun-Chieh Wang, En-Cheng Li and Chien-Hung Yeh
Sensors 2025, 25(20), 6420; https://doi.org/10.3390/s25206420 - 17 Oct 2025
Abstract
Reliable object detection is crucial for autonomous driving, particularly in highway construction zones where early hazard recognition ensures safety. This paper introduces an enhanced YOLOv8s-based detection system incorporating a motion-temporal attention module (MTAM) to improve robustness under high-speed and dynamic conditions. The proposed [...] Read more.
Reliable object detection is crucial for autonomous driving, particularly in highway construction zones where early hazard recognition ensures safety. This paper introduces an enhanced YOLOv8s-based detection system incorporating a motion-temporal attention module (MTAM) to improve robustness under high-speed and dynamic conditions. The proposed architecture integrates a cross-stage partial (CSP) backbone, feature pyramid network-path aggregation network (FPN-PAN) feature fusion, and advanced loss functions to achieve high accuracy and temporal consistency. MTAM leverages temporal convolutions and attention mechanisms to capture motion cues, enabling effective detection of blurred or partially occluded objects. A custom dataset of 34,240 images, expanded through extensive data augmentation and 9-Mosaic transformations, is used for training. Experimental results demonstrate strong performance with mAP(IoU[0.5]) of 90.77 ± 0.68% and mAP(IoU[0.5:0.95]) of 70.20 ± 0.33%. Real-world highway tests confirm recognition rates of 96% for construction vehicles, 92% for roadside warning signs, and 84% for flag bearers. The results validate the framework’s suitability for real-time deployment in intelligent transportation systems. Full article
(This article belongs to the Section Sensing and Imaging)
Show Figures

Figure 1

19 pages, 1765 KB  
Article
Reference High-Voltage Sensing Chain for the Assessment of Class 0.1-WB3 Instrument Transformers in the Frequency Range up to 150 kHz According to IEC 61869
by Mohamed Agazar, Claudio Iodice and Mario Luiso
Sensors 2025, 25(20), 6416; https://doi.org/10.3390/s25206416 - 17 Oct 2025
Abstract
This paper presents the development and characterization of a reference high-voltage sensing chain for the calibration and conformity assessment of instrument transformers with Class 0.1-WB3, in the extended frequency range up to 150 kHz, according to IEC 61869. The sensing chain, composed of [...] Read more.
This paper presents the development and characterization of a reference high-voltage sensing chain for the calibration and conformity assessment of instrument transformers with Class 0.1-WB3, in the extended frequency range up to 150 kHz, according to IEC 61869. The sensing chain, composed of a high-voltage divider, precision attenuators and high-pass filters, has been specifically developed and characterized. The chain features two parallel measurement paths: the first path, comprising the high-voltage divider and attenuator, is optimized for measuring the fundamental frequency superimposed with high-amplitude harmonics; the second path, consisting of the high-voltage divider followed by a high-pass filter, is dedicated to measuring very-low-level superimposed harmonic components by enhancing the signal-to-noise ratio. These two paths are integrated with a digitizer to form a complete and modular measurement chain. The expanded uncertainty of measurement has been thoroughly evaluated and confirms the chain’s ability to support assessment of instrument transformers with Class 0.1-WB3 compliance. Additionally, the chain architecture enables a future extension up to 500 kHz, addressing the growing need to evaluate instrument transformers under high-frequency power quality disturbances and improving the sensing capability in this field. Full article
(This article belongs to the Section Electronic Sensors)
Show Figures

Figure 1

14 pages, 3946 KB  
Article
A Kinematics-Constrained Grid-Based Path Planning Algorithm for Autonomous Parking
by Kyungsub Sim, Junho Kim and Juhui Gim
Appl. Sci. 2025, 15(20), 11138; https://doi.org/10.3390/app152011138 - 17 Oct 2025
Viewed by 19
Abstract
This paper presents a kinematics-constrained grid-based path planning algorithm that generates real-time, safe, and executable trajectories, thereby enhancing the performance and reliability of autonomous vehicle parking systems. The grid resolution adapts to the minimum turning radius and steering limits, ensuring feasible motion primitives. [...] Read more.
This paper presents a kinematics-constrained grid-based path planning algorithm that generates real-time, safe, and executable trajectories, thereby enhancing the performance and reliability of autonomous vehicle parking systems. The grid resolution adapts to the minimum turning radius and steering limits, ensuring feasible motion primitives. The cost function integrates path efficiency, direction-switching penalties, and collision risk to ensure smooth and feasible maneuvers. A cubic spline refinement produces curvature-continuous trajectories suitable for vehicle execution. Simulation and experimental results demonstrate that the proposed method achieves collision-free and curvature-bounded paths with significantly reduced computation time and improved maneuver smoothness compared with conventional A* and Hybrid A*. In both structured and dynamic parking environments, the planner consistently maintained safe clearance and stable tracking performance under variations in vehicle geometry and velocity. These results confirm the robustness and real-time feasibility of the proposed approach, effectively unifying kinematic feasibility, safety, and computational efficiency for practical autonomous parking systems. Full article
Show Figures

Figure 1

21 pages, 3232 KB  
Article
PGF-Net: A Symmetric Cutting Path Generation and Fitting Optimization Method for Pig Carcasses Under Multi-Medium Interference
by Lei Cai, Jin Luo and Pengtao Ban
Symmetry 2025, 17(10), 1757; https://doi.org/10.3390/sym17101757 - 17 Oct 2025
Viewed by 112
Abstract
In the automated cutting process of pork carcasses, asymmetric cutting path planning is critical. However, various substances on the carcass surface, such as blood stains and fascia, severely interfere with the separation boundaries between fresh meat and bones, significantly reducing the accuracy of [...] Read more.
In the automated cutting process of pork carcasses, asymmetric cutting path planning is critical. However, various substances on the carcass surface, such as blood stains and fascia, severely interfere with the separation boundaries between fresh meat and bones, significantly reducing the accuracy of asymmetric cutting path planning. To address these issues, this paper proposes a method for generating and fitting optimized cutting paths for pork carcasses (PGF-Net). Specifically, this method comprises a cutting path generation module that integrates multi-scale boundary features and a cutting path fitting optimization module. The cutting path generation module extracts asymmetric boundary information by enhancing attention to boundaries across different regions, identifies key cutting points, and generates a coarse cutting path. The cutting path fitting optimization module then performs fitting optimization on the generated key cutting points to ultimately produce a refined asymmetric cutting path. Experimental results demonstrate that PGF-Net achieves mean root mean square errors of 0.4212 cm, 0.4651 cm, and 0.5313 cm across three cutting paths on six different pork carcass images. Findings confirm that this method enhances the yield of premium meat cuts while reducing tool wear costs. It provides an innovative technological solution for automated meat processing, holding significant industrial application value. Full article
(This article belongs to the Section Computer)
Show Figures

Figure 1

49 pages, 24440 KB  
Article
Investigation of Thermo-Mechanical Characteristics in Friction Stir Processing of AZ91 Surface Composite: Novel Study Through SPH Analysis
by Roshan Vijay Marode, Tamiru Alemu Lemma, Srinivasa Rao Pedapati, Sambhaji Kusekar, Vyankatesh Dhanraj Birajdar and Adeel Hassan
Lubricants 2025, 13(10), 450; https://doi.org/10.3390/lubricants13100450 - 16 Oct 2025
Viewed by 118
Abstract
The current study examines the influence of tool rotational speed (TRS) and reinforcement volume fraction (%vol.) of SiC on particle distribution in the stir zone (SZ) of AZ91 Mg alloy. Two parameter sets were analyzed: S1 (500 rpm TRS, 13% vol.) and S2 [...] Read more.
The current study examines the influence of tool rotational speed (TRS) and reinforcement volume fraction (%vol.) of SiC on particle distribution in the stir zone (SZ) of AZ91 Mg alloy. Two parameter sets were analyzed: S1 (500 rpm TRS, 13% vol.) and S2 (1500 rpm TRS, 10% vol.), with a constant tool traverse speed (TTS) of 60 mm/min. SPH simulations revealed that in S1, lower TRS resulted in limited SiC displacement, leading to significant agglomeration zones, particularly along the advancing side (AS) and beneath the tool pin. Cross-sectional observations at 15 mm and 20 mm from the plunging phase indicated the formation of reinforcement clusters along the tool path, with inadequate SiC transference to the retreating side (RS). The reduced stirring force in S1 caused poor reinforcement dispersion, with most SiC nodes settling at the SZ bottom due to insufficient upward movement. In contrast, S2 demonstrated enhanced particle mobility due to higher TRS, improving reinforcement homogeneity. Intense stirring facilitated lateral and upward SiC movement, forming an interconnected reinforcement network. SPH nodes exhibited improved dispersion, with particles across the SZ and more evenly deposited on the RS. A comparative assessment of experimental and simulated reinforcement distributions confirmed a strong correlation. Results highlight the pivotal role of TRS in reinforcement movement and agglomeration control. Higher TRS enhances stirring and promotes uniform SiC dispersion, whereas an excessive reinforcement fraction increases matrix viscosity and restricts particle mobility. Thus, optimizing TRS and reinforcement content through numerical analysis using SPH is essential for producing a homogeneous, well-reinforced composite layer with improved surface properties. The findings of this study have significant practical applications, particularly in industrial material selection, improving manufacturing processes, and developing more efficient surface composites, thereby enhancing the overall performance and reliability of Mg alloys in engineering applications. Full article
(This article belongs to the Special Issue Surface Machining and Tribology)
23 pages, 2648 KB  
Article
QL-AODV: Q-Learning-Enhanced Multi-Path Routing Protocol for 6G-Enabled Autonomous Aerial Vehicle Networks
by Abdelhamied A. Ateya, Nguyen Duc Tu, Ammar Muthanna, Andrey Koucheryavy, Dmitry Kozyrev and János Sztrik
Future Internet 2025, 17(10), 473; https://doi.org/10.3390/fi17100473 - 16 Oct 2025
Viewed by 161
Abstract
With the arrival of sixth-generation (6G) wireless systems comes radical potential for the deployment of autonomous aerial vehicle (AAV) swarms in mission-critical applications, ranging from disaster rescue to intelligent transportation. However, 6G-supporting AAV environments present challenges such as dynamic three-dimensional topologies, highly restrictive [...] Read more.
With the arrival of sixth-generation (6G) wireless systems comes radical potential for the deployment of autonomous aerial vehicle (AAV) swarms in mission-critical applications, ranging from disaster rescue to intelligent transportation. However, 6G-supporting AAV environments present challenges such as dynamic three-dimensional topologies, highly restrictive energy constraints, and extremely low latency demands, which substantially degrade the efficiency of conventional routing protocols. To this end, this work presents a Q-learning-enhanced ad hoc on-demand distance vector (QL-AODV). This intelligent routing protocol uses reinforcement learning within the AODV protocol to support adaptive, data-driven route selection in highly dynamic aerial networks. QL-AODV offers four novelties, including a multipath route set collection methodology that retains up to ten candidate routes for each destination using an extended route reply (RREP) waiting mechanism, a more detailed RREP message format with cumulative node buffer usage, enabling informed decision-making, a normalized 3D state space model recording hop count, average buffer occupancy, and peak buffer saturation, optimized to adhere to aerial network dynamics, and a light-weighted distributed Q-learning approach at the source node that uses an ε-greedy policy to balance exploration and exploitation. Large-scale simulations conducted with NS-3.34 for various node densities and mobility conditions confirm the better performance of QL-AODV compared to conventional AODV. In high-mobility environments, QL-AODV offers up to 9.8% improvement in packet delivery ratio and up to 12.1% increase in throughput, while remaining persistently scalable for various network sizes. The results prove that QL-AODV is a reliable, scalable, and intelligent routing method for next-generation AAV networks that will operate in intensive environments that are expected for 6G. Full article
(This article belongs to the Special Issue Moving Towards 6G Wireless Technologies—2nd Edition)
Show Figures

Figure 1

28 pages, 2737 KB  
Article
Channel Estimation in UAV-Assisted OFDM Systems by Leveraging LoS and Echo Sensing with Carrier Aggregation
by Zhuolei Chen, Wenbin Wu, Renshu Wang, Manshu Liang, Weihao Zhang, Shuning Yao, Wenquan Hu and Chaojin Qing
Sensors 2025, 25(20), 6392; https://doi.org/10.3390/s25206392 - 16 Oct 2025
Viewed by 320
Abstract
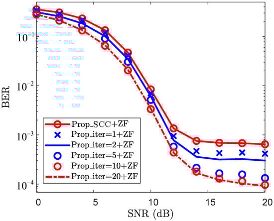
Unmanned aerial vehicle (UAV)-assisted wireless communication systems often employ the carrier aggregation (CA) technique to alleviate the issue of insufficient bandwidth. However, in high-mobility UAV communication scenarios, the dynamic channel characteristics pose significant challenges to channel estimation (CE). Given these challenges, this paper [...] Read more.
Unmanned aerial vehicle (UAV)-assisted wireless communication systems often employ the carrier aggregation (CA) technique to alleviate the issue of insufficient bandwidth. However, in high-mobility UAV communication scenarios, the dynamic channel characteristics pose significant challenges to channel estimation (CE). Given these challenges, this paper proposes a line-of-sight (LoS) and echo sensing-based CE scheme for CA-enabled UAV-assisted communication systems. Firstly, LoS sensing and echo sensing are employed to obtain sensing-assisted prior information, which refines the CE for the primary component carrier (PCC). Subsequently, the path-sharing property between the PCC and secondary component carriers (SCCs) is exploited to reconstruct SCC channels in the delay-Doppler (DD) domain through a three-stage process. The simulation results demonstrate that the proposed method effectively enhances the CE accuracy for both the PCC and SCCs. Furthermore, the proposed scheme exhibits robustness against parameter variations. Full article
(This article belongs to the Section Communications)
Show Figures

Figure 1

21 pages, 8864 KB  
Article
Numerical Analysis of Seepage Damage and Saturation Variation in Surrounding Soil Induced by Municipal Pipeline Leakage
by Shuangshuang Wang, Fengyin Liu, Ke Wang, Jingyu Cui and Xuguang Zhao
Appl. Sci. 2025, 15(20), 11088; https://doi.org/10.3390/app152011088 - 16 Oct 2025
Viewed by 75
Abstract
Surface subsidence and seepage damage in surrounding soils induced by leakage from municipal water supply pipelines pose significant risks to urban infrastructure. To clarify how leakage water diffuses in unsaturated soils and to assess seepage damage potential, this study established a numerical model [...] Read more.
Surface subsidence and seepage damage in surrounding soils induced by leakage from municipal water supply pipelines pose significant risks to urban infrastructure. To clarify how leakage water diffuses in unsaturated soils and to assess seepage damage potential, this study established a numerical model based on the Richards equation combined with the van Genuchten (VG) model. The model was validated against physical model tests using remolded Q3 loess, ensuring consistency in soil parameters and leakage conditions. Simulation results reveal that soil saturation evolution follows three stages—initial, rising, and stable—with preferential flow paths forming above the leakage point before gradually evolving into radial diffusion controlled by both pressure and gravity. The extent of the saturated zone increases with pipeline pressure, but the enhancement effect diminishes as pressure rises, reflecting the nonlinear water-retention characteristics of loess. Seepage damage risk was evaluated using the Terzaghi critical hydraulic gradient criterion. The results show that higher pressures enlarge the critical zone more rapidly, yet its ultimate radius stabilizes within approximately 2.3 m around the leakage point. Moreover, this study proposes that potential seepage damage may occur once effective saturation reaches about 85%, corresponding to the air-entry value of loess, thus providing a more conservative criterion for engineering risk assessment. Overall, the validated Richards-based numerical model reproduces the key features of leakage-induced unsaturated diffusion and offers practical guidance for identifying seepage-prone zones and mitigating subsidence hazards in municipal water supply systems. Full article
(This article belongs to the Special Issue Tunnel Construction and Underground Engineering)
Show Figures

Figure 1

28 pages, 3013 KB  
Article
Dynamic Robot Navigation in Confined Indoor Environment: Unleashing the Perceptron-Q Learning Fusion
by M. Denesh Babu, C. Maheswari and B. Meenakshi Priya
Sensors 2025, 25(20), 6384; https://doi.org/10.3390/s25206384 - 16 Oct 2025
Viewed by 212
Abstract
Robot navigation in confined spaces has gained popularity in recent years, but offline planning assumes static obstacles, which limits its application to online path-planning. Several methods have been introduced to perform an efficient robot navigation process. However, various existing methods mainly depend on [...] Read more.
Robot navigation in confined spaces has gained popularity in recent years, but offline planning assumes static obstacles, which limits its application to online path-planning. Several methods have been introduced to perform an efficient robot navigation process. However, various existing methods mainly depend on pre-defined maps and struggle in a dynamic environment. Also, diminishing the moving costs and detour percentages is important for real-world scenarios of robot navigation systems. Thus, this study proposes a novel perceptron-Q learning fusion (PQLF) model for Robot Navigation to address the aforementioned difficulties. The proposed model is a combination of perceptron learning and Q-learning for enhancing the robot navigation process. The robot uses the sensors to dynamically determine the distances of nearby, intermediate, and distant obstacles during local path-planning. These details are sent to the robot’s PQLF Model-based navigation controller, which acts as an agent in a Markov Decision Process (MDP) and makes effective decisions making. Thus, it is possible to express the Dynamic Robot Navigation in a Confined Indoor Environment as an MDP. The simulation results show that the proposed work outperforms other existing methods by attaining a reduced moving cost of 1.1 and a detour percentage of 7.8%. This demonstrates the superiority of the proposed model in robot navigation systems. Full article
(This article belongs to the Section Navigation and Positioning)
Show Figures

Figure 1

10 pages, 2185 KB  
Article
Enhancing Structural and Interfacial Stability of NaNi1/3Mn1/3Fe1/3O2 Cathodes via Sb3+ Doping for Sodium Ion Batteries
by Yong Liu, You Shi, Mengjie Zhang, Dan Sun, Huanhuan Li, Haiyan Wang and Yougen Tang
Nanomaterials 2025, 15(20), 1575; https://doi.org/10.3390/nano15201575 - 16 Oct 2025
Viewed by 133
Abstract
O3-type NaNi1/3Mn1/3Fe1/3O2 (NFM) cathodes for sodium-ion batteries face critical challenges of sluggish Na+ diffusion and structural degradation during cycling. In this study, we implement an Sb3+ doping strategy that enhances structural stability and interfacial [...] Read more.
O3-type NaNi1/3Mn1/3Fe1/3O2 (NFM) cathodes for sodium-ion batteries face critical challenges of sluggish Na+ diffusion and structural degradation during cycling. In this study, we implement an Sb3+ doping strategy that enhances structural stability and interfacial stability by modulating the NFM grain morphology to promote densification of primary particles and shorten Na+ migration paths. The optimized Sb-doped NFM1Sb (1%mol Sb) cathode exhibits excellent electrochemical performance, achieving 86.48% capacity retention after 200 cycles at 1 C and a high rate capability of 122.2 mAh g−1 at 5 C. These improvements are attributed to the alleviation of stress concentration and suppression of microcrack formation during cycling. This work demonstrates the critical role of grain morphology regulation through heavy-metal doping in developing long-life and high-rate SIBs, providing a viable pathway toward next-generation energy storage systems. Full article
(This article belongs to the Section Energy and Catalysis)
Show Figures

Graphical abstract

Back to TopTop