Channel Estimation in UAV-Assisted OFDM Systems by Leveraging LoS and Echo Sensing with Carrier Aggregation
Abstract
1. Introduction
1.1. Background
1.2. Related Works
1.3. Motivation and Contributions
- We propose a prior information extraction method by leveraging LoS and echo sensing. Specifically, radar signal processing techniques are employed to analyze echo signals for dynamically capturing the environmental channel characteristics. Correspondingly, LoS sensing is utilized to acquire the dominant path characteristics inherent to UAV scenarios. By fusing the two sensing modalities, the subsequent CE is supplied with richer priors that capture both dynamic environmental echoes and quasi-static path information.
- Based on the extracted LoS and echo sensing prior information, we propose an LoS and echo sensing-aided CE method for CA-enabled UAV-assisted OFDM systems. This method actively suppresses noise and false path interference by using the environmental prior information from echo sensing. Furthermore, it employs the sensed LoS component as a reference to calibrate the path detection threshold. By jointly leveraging these two sensing modalities, an adaptive path detection threshold is developed to enhance CE accuracy.
- By leveraging the LoS path characteristics, we establish a novel channel reconstruction paradigm for CA systems, termed path sharing. The core of this paradigm lies in identifying and exploiting the underutilized structural correlation between the PCC and SCC channels. Unlike conventional independent SCC estimation, the proposed method reuses the PCC channel state to reconstruct the LoS paths for the SCCs, which is beneficial for reducing pilot overhead. Furthermore, this path-sharing mechanism is systematically extended to NLoS paths, forming a three-stage channel reconstruction framework. The proposed method fundamentally breaks the linear scaling of pilot overhead with the number of carriers, thereby paving the way for enhancing the spectral efficiency of CA systems.
1.4. Outline and Notation
2. System Model
2.1. CA-OFDM Communication Model
2.2. Echo Sensing Model
3. LoS and Echo Sensing-Aided CE
3.1. Sensing Information Extraction
3.1.1. LoS Sensing
3.1.2. Echo Sensing Information Extraction
3.2. CE Enhancement for PCC
3.2.1. Sensing-Based Prior Information Derivation
3.2.2. Sensing-Aided CE for PCC
| Algorithm 1 Sensing-Aided CE Enhancement for PCC |
|
3.3. Sensing and Path-Sharing-Aided Channel Reconstruction for SCCs
| Algorithm 2 Sensing and Path-Sharing-Aided Channel Reconstruction for SCCs |
|
3.3.1. LoS Path-Based Reconstruction
3.3.2. NLoS Path-Based Reconstruction
3.3.3. Iterative Channel Reconstruction and Enhancement for SCCs
4. Simulation Results and Analysis
4.1. Parameter Settings
- LS: Classic least squares with linear interpolation.
- DFT_based: LS with DFT enhancement.
- OMP_based: Classic CS-based CE scheme.
- LoS_based: LoS sensing-based CE enhancement scheme in [16].
- LS_DD: LS enhancement with sensing-aided scheme in DD domain in [31].
- Path_gains_based: Path gain-based CE enhancement scheme in [32].
- ReEsNet: Residual deep CNN-based CE method in [38].
- Channelformer: Transformer-based multi-head attention mechanism CE method in [39].
- Prop_PCC: Proposed CE enhancement scheme for PCC.
- Prop_SCC: Proposed channel reconstruction scheme for SCC.
- Prop_iter: Proposed iterative channel reconstruction and enhancement for SCC.
4.2. Computational Complexity Analysis
4.3. Effectiveness Analysis
4.4. Robustness Analysis
4.4.1. Robustness Against Velocity v
4.4.2. Robustness Against Path-Number Difference
4.4.3. Robustness Against Carrier Frequencies of SCCs
5. Conclusions
Author Contributions
Funding
Institutional Review Board Statement
Informed Consent Statement
Data Availability Statement
Conflicts of Interest
Appendix A. Sensing-Based Prior Information Derivation
References
- Jiang, Y.; Li, X.; Zhu, G.; Li, H.; Deng, J.; Han, K.; Shen, C.; Shi, Q.; Zhang, R. Integrated Sensing and Communication for Low Altitude Economy: Opportunities and Challenges. IEEE Commun. Mag. 2025, 1–7. [Google Scholar] [CrossRef]
- He, K.; Zhou, Q.; Lian, Z.; Shen, Y.; Gao, J.; Shuai, Z. Spatiotemporal Precise Routing Strategy for Multi-UAV-Based Power Line Inspection With Integrated Satellite-Terrestrial Network. IEEE Trans. Ind. Appl. 2024, 60, 8418–8429. [Google Scholar] [CrossRef]
- Meng, S.; Wu, S.; Zhang, J.; Cheng, J.; Zhou, H.; Zhang, Q. Semantics-Empowered Space-Air-Ground-Sea Integrated Network: New Paradigm, Frameworks, and Challenges. IEEE Commun. Surv. Tuts. 2025, 27, 140–183. [Google Scholar] [CrossRef]
- Geraci, G.; Garcia-Rodriguez, A.; Azari, M.M.; Lozano, A.; Mezzavilla, M.; Chatzinotas, S.; Chen, Y.; Rangan, S.; Renzo, M.D. What Will the Future of UAV Cellular Communications Be? A Flight From 5G to 6G. IEEE Commun. Surv. Tuts. 2022, 24, 1304–1335. [Google Scholar] [CrossRef]
- Kumari, S.; Srinivas, K.K.; Kumar, P. Channel and Carrier Frequency Offset Equalization for OFDM Based UAV Communications Using Deep Learning. IEEE Commun. Lett. 2021, 25, 850–853. [Google Scholar] [CrossRef]
- Lin, H.; Zhang, Z.; Pan, X.; Luo, X.; Cheng, Y. Joint Channel Estimation and Symbol Detection for UAV-Assisted Systems Using Tensor Framework. In Proceedings of the IEEE 22nd International Conference on Communication Technology (ICCT), Nanjing, China, 11–14 November 2022; pp. 1025–1030. [Google Scholar]
- Chen, S.; Liu, C.; Huang, L. Estimation of Pilot-assisted OFDM Channel Based on Multi-Resolution Deep Neural Networks. In Proceedings of the 2022 IEEE International Conference on Unmanned Systems (ICUS), Guangzhou, China, 28–30 October 2022; pp. 764–769. [Google Scholar]
- He, B.; Ji, X.; Li, G.; Cheng, B. Key Technologies and Applications of UAVs in Underground Space: A Review. IEEE Trans. Cognit. Commun. Netw. 2024, 10, 1026–1049. [Google Scholar] [CrossRef]
- Kim, M.-S. Single-Input Multiple-Output (SIMO) Cascode Low-Noise Amplifier with Switchable Degeneration Inductor for Carrier Aggregation. Sensors 2024, 24, 6606. [Google Scholar] [CrossRef] [PubMed]
- 3rd Generation Partnership Project (3GPP). Feasibility Study for Further Enhancements for E-UTRA (LTE Advanced); 3GPP: Sophia Antipolis, France, 2009. [Google Scholar]
- Yuan, G.; Zhang, X.; Wang, W.; Yang, Y. Carrier aggregation for LTE-advanced mobile communication systems. IEEE Commun. Mag. 2010, 48, 88–93. [Google Scholar] [CrossRef]
- Liu, H.; Wei, Z.; Piao, J.; Wu, H.; Li, X.; Feng, Z. Carrier Aggregation Enabled MIMO-OFDM Integrated Sensing and Communication. IEEE Trans. Wirel. Commun. 2025, 24, 4532–4548. [Google Scholar] [CrossRef]
- Lu, W.; Si, P.; Gao, Y.; Han, H.; Liu, Z.; Wu, Y.; Gong, Y. Trajectory and Resource Optimization in OFDM-Based UAV-Powered IoT Network. IEEE Trans. Green Commun. Netw. 2021, 5, 1259–1270. [Google Scholar] [CrossRef]
- Zhao, J.; Liu, J.; Gao, F.; Jia, W.; Zhang, W. Gridless Compressed Sensing Based Channel Estimation for UAV Wideband Communications With Beam Squint. IEEE Trans. Veh. Technol. 2021, 70, 10265–10277. [Google Scholar] [CrossRef]
- Vlachos, E.; Mavrokefalidis, C.; Berberidis, K.; Alexandropoulos, G.C. Improving Wideband Massive MIMO Channel Estimation with UAV State-Space Information. IEEE Trans. Veh. Technol. 2025, 1–14. [Google Scholar] [CrossRef]
- Qing, C.; Liu, Z.; Hu, W.; Zhang, Y.; Cai, X.; Du, P. LoS Sensing-Based Channel Estimation in UAV-Assisted OFDM Systems. IEEE Wirel. Commun. Lett. 2024, 13, 1320–1324. [Google Scholar] [CrossRef]
- Zhu, W.; Han, Y.; Wang, L.; Xu, L.; Zhang, Y.; Fei, A. Pilot Optimization for OFDM-Based ISAC Signal in Emergency IoT Networks. IEEE Internet Things J. 2024, 11, 29600–29614. [Google Scholar] [CrossRef]
- Wang, J.; Chen, S. Deep Reinforcement Learning-Based Secrecy Rate Optimization for Simultaneously Transmitting and Reflecting Reconfigurable Intelligent Surface-Assisted Unmanned Aerial Vehicle-Integrated Sensing and Communication Systems. Sensors 2025, 25, 1541. [Google Scholar] [CrossRef]
- Song, Y.; Zeng, Y.; Yang, Y.; Ren, Z.; Cheng, G.; Xu, X.; Xu, J.; Jin, S.; Zhang, R. An Overview of Cellular ISAC for Low-Altitude UAV: New Opportunities and Challenges. IEEE Commun. Mag. 2025, 1–8. [Google Scholar] [CrossRef]
- Mu, J.; Zhang, R.; Cui, Y.; Gao, N.; Jing, X. UAV Meets Integrated Sensing and Communication: Challenges and Future Directions. IEEE Commun. Mag. 2023, 61, 62–67. [Google Scholar] [CrossRef]
- Yuan, W.; Wei, Z.; Li, S.; Yuan, J.; Ng, D.W.K. Integrated Sensing and Communication-Assisted Orthogonal Time Frequency Space Transmission for Vehicular Networks. IEEE J. Sel. Top. Signal Process. 2021, 15, 1515–1528. [Google Scholar] [CrossRef]
- Liu, Y.; Al-Nahhal, I.; Dobre, O.A.; Wang, F. Deep-Learning Channel Estimation for IRS-Assisted Integrated Sensing and Communication System. IEEE Trans. Veh. Technol. 2023, 72, 6181–6193. [Google Scholar] [CrossRef]
- Huang, Z.; Wang, K.; Liu, A.; Cai, Y.; Du, R.; Han, T.X. Joint Pilot Optimization, Target Detection and Channel Estimation for Integrated Sensing and Communication Systems. IEEE Trans. Wireless Commun. 2022, 21, 10351–10365. [Google Scholar] [CrossRef]
- Liu, Y.; Al-Nahhal, I.; Dobre, O.A.; Wang, F.; Shin, H. Extreme Learning Machine-Based Channel Estimation in IRS-Assisted Multi-User ISAC System. IEEE Trans. Commun. 2023, 71, 6993–7007. [Google Scholar] [CrossRef]
- Zhao, Q.; Tang, A.; Wang, X. Reference Signal Design and Power Optimization for Energy-Efficient 5G V2X Integrated Sensing and Communications. IEEE Trans. Green Commun. Netw. 2023, 7, 379–392. [Google Scholar] [CrossRef]
- Chen, X.; Feng, Z.; Zhang, J.A.; Wei, Z.; Yuan, X.; Zhang, P. Sensing-Aided Uplink Channel Estimation for Joint Communication and Sensing. IEEE Wirel. Commun. Lett. 2023, 12, 441–445. [Google Scholar]
- Xu, K.; Xia, X.; Li, C.; Wei, C.; Xie, W.; Shi, Y. Channel Feature Projection Clustering Based Joint Channel and DoA Estimation for ISAC Massive MIMO OFDM System. IEEE Trans. Veh. Technol. 2024, 73, 3678–3689. [Google Scholar] [CrossRef]
- Yang, X.; Li, H.; Guo, Q.; Zhang, J.A.; Huang, X.; Cheng, Z. Sensing Aided Uplink Transmission in OTFS ISAC With Joint Parameter Association, Channel Estimation and Signal Detection. IEEE Trans. Veh. Technol. 2024, 73, 9109–9114. [Google Scholar] [CrossRef]
- Chen, K.; Qi, C. Joint Sparse Bayesian Learning for Channel Estimation in ISAC. IEEE Commun. Lett. 2024, 28, 1825–1829. [Google Scholar] [CrossRef]
- Li, Y.; Liu, F.; Du, Z.; Yuan, W.; Shi, Q.; Masouros, C. Frame Structure and Protocol Design for Sensing-Assisted NR-V2X Communications. IEEE Trans. Mobile Comput. 2024, 23, 11045–11060. [Google Scholar] [CrossRef]
- Qing, C.; Hu, W.; Liu, Z.; Ling, G.; Cai, X.; Du, P. Sensing-Aided Channel Estimation in OFDM Systems by Leveraging Communication Echoes. IEEE Internet Things J. 2024, 11, 38023–38039. [Google Scholar] [CrossRef]
- Su, B.; Wang, M.-Y. Joint Channel Estimation Methods in Carrier Aggregation OFDM Systems. In Proceedings of the IEEE 79th Vehicular Technology Conference (VTC Spring), Seoul, Republic of Korea, 18–21 May 2014; pp. 1–5. [Google Scholar]
- Tsinos, C.G.; Foukalas, F.; Khattab, T.; Lai, L. On Channel Selection for Carrier Aggregation Systems. IEEE Trans. Commun. 2018, 66, 808–818. [Google Scholar] [CrossRef]
- Rao, R.M.; Marojevic, V.; Reed, J.H. Adaptive Pilot Patterns for CA-OFDM Systems in Nonstationary Wireless Channels. IEEE Trans. Veh. Technol. 2018, 67, 1231–1244. [Google Scholar] [CrossRef]
- Xu, T.; Darwazeh, I. Transmission Experiment of Bandwidth Compressed Carrier Aggregation in a Realistic Fading Channel. IEEE Trans. Veh. Technol. 2017, 66, 4087–4097. [Google Scholar] [CrossRef]
- Wei, Z.; Liu, H.; Yang, X.; Jiang, W.; Wu, H.; Li, X.; Feng, Z. Carrier Aggregation Enabled Integrated Sensing and Communication Signal Design and Processing. IEEE Trans. Veh. Technol. 2024, 73, 3580–3596. [Google Scholar] [CrossRef]
- Li, Y.; Bian, X.; Li, M. Denoising generalization performance of channel estimation in multipath time-varying OFDM systems. Sensors 2023, 23, 3102. [Google Scholar] [CrossRef]
- Li, L.; Chen, H.; Chang, H.-H.; Liu, L. Deep Residual Learning Meets OFDM Channel Estimation. IEEE Wirel. Commun. Lett. 2020, 9, 615–618. [Google Scholar] [CrossRef]
- Luan, D.; Thompson, J.S. Channelformer: Attention Based Neural Solution for Wireless Channel Estimation and Effective Online Training. IEEE Trans. Wirel. Commun. 2023, 22, 6562–6577. [Google Scholar] [CrossRef]
- Yang, X.; Zhai, D.; Zhang, R.; Liu, L.; Du, J.; Leung, V.C.M. A Geometry-Based Stochastic Channel Model for UAV-to-Ground Integrated Sensing and Communication Scenarios. IEEE Trans. Veh. Technol. 2025, 74, 5307–5320. [Google Scholar] [CrossRef]
- Mirabella, M.; Viesti, P.D.; Davoli, A.; Vitetta, G.M. An Approximate Maximum Likelihood Method for the Joint Estimation of Range and Doppler of Multiple Targets in OFDM-Based Radar Systems. IEEE Trans. Commun. 2023, 71, 4862–4876. [Google Scholar] [CrossRef]
- Xie, R.; Hu, D.; Luo, K.; Jiang, T. Performance Analysis of Joint Range-Velocity Estimator With 2D-MUSIC in OFDM Radar. IEEE Trans. Signal Process. 2021, 69, 4787–4800. [Google Scholar] [CrossRef]
- Chu, P.; Yang, Z.; Zheng, J. Dual-Pulse Repeated Frequency Waveform Design of Time-Division Integrated Sensing and Communication Based on a 5G New Radio Communication System. Sensors 2023, 23, 9463. [Google Scholar] [CrossRef]
- Meng, K.; Wu, Q.; Xu, J.; Chen, W.; Feng, Z.; Schober, R.; Swindlehurst, A.L. UAV-Enabled Integrated Sensing and Communication: Opportunities and Challenges. IEEE Wirel. Commun. 2024, 31, 97–104. [Google Scholar] [CrossRef]
- Lu, Q.; Yang, K.; Zhang, Z.; Truong, T.-K. MIMO OFDM Robust Transceiver Design for Clutter Suppression in ISAC Systems. IEEE Trans. Veh. Technol. 2025, 1–13. [Google Scholar] [CrossRef]
- Luo, H.; Wang, Y.; Luo, D.; Zhao, J.; Wu, H.; Ma, S.; Gao, F. Integrated Sensing and Communications in Clutter Environment. IEEE Trans. Wirel. Commun. 2024, 23, 10941–10956. [Google Scholar] [CrossRef]
- Niu, Y.; Wei, Z.; Wang, L.; Wu, H.; Feng, Z. Interference Management for Integrated Sensing and Communication Systems: A Survey. IEEE Internet Things J. 2025, 12, 8110–8134. [Google Scholar] [CrossRef]
- Karpovich, P.; Zielinski, T.P. Integrated Sensing and Communication Using Random Padded OTFS with Reduced Interferences. Sensors 2025, 25, 4816. [Google Scholar] [CrossRef]
- Lu, S.; Yi, W.; Liu, W.; Cui, G.; Kong, L.; Yang, X. Data-Dependent Clustering-CFAR Detector in Heterogeneous Environment. IEEE Trans. Aerosp. Electron. Syst. 2018, 54, 476–485. [Google Scholar] [CrossRef]
- Study on Channel Model for Frequencies from 0.5 to 100 GHz (Release 16); Document 3GPP TR 38.901; 3GPP: Sophia Antipolis, France, 2020.









| Literature | Pros | Cons |
|---|---|---|
| [5] | Tailored tensor models across different UAV-assisted communication scenarios | Overlook the dominant LoS characteristics inherent in UAV scenarios |
| [6] | Deep learning-based enhanced bandwidth efficiency in time-varying environments | |
| [7] | Multi-resolution deep neural network-based computational efficiency | |
| [14] | Gridless compressed sensing (CS)-based beam squint mitigation | |
| [15] | Hybrid parametric/non-parametric CE scheme incorporating UAV state-space information | |
| [16] | LoS sensing-based denoising threshold for LoS/non-line-of-sight (NLoS) detection | Ignore the wireless sensing-based enhancement schemes |
| [21,22,23,24,25,26,27,28,29,30,31] | Sensing-based CE enhancement schemes | The advantages in the UAV scenarios have not been fully explored |
| Provide valuable insights for CE in UAV-assisted systems | ||
| [32] | Channel correlation across different component carriers (CCs) | Overlook the LoS characteristics and wireless sensing-assisted schemes |
| [33] | Subchannel selection strategy for CA-OFDM systems | |
| [34] | Adaptive pilot interval and power allocation for CE | |
| [35] | CA-OFDM experimental testbed | |
| [36] | Enhanced ISAC signal design and sensing performance | |
| Proposed method | LoS and echo sensing-based prior information for communication-centric ISAC design | |
| Sensing-aided CE enhancement scheme in UAV-assisted communication scenarios | ||
| Path sharing-based channel reconstruction scheme between the PCC and SCCs | ||
| Abbreviation | Description | Abbreviation | Description |
|---|---|---|---|
| 5G | 5th-Generation | 6G | 6th-Generation |
| AoA | Angle-of-Arrival | AoD | Angle-of-Departure |
| AWGN | Additive White Gaussian Noise | BER | Bit-Error Rate |
| CA | Carrier Aggregation | CA-CFAR | Cell-Averaging Constant False Alarm Rate |
| CC | Component Carrier | CE | Channel Estimation |
| CFR | Channel Frequency Response | CIR | Channel Impulse Response |
| CM | Complex Multiplication | CP | Cyclic Prefix |
| CS | Compressed Sensing | CSI | Channel State Information |
| dB | Decibels | DD | Delay-Doppler |
| DFT | Discrete Fourier Transform | FFT | Fast Fourier Transform |
| gBS | ground Base Stations | IDFT | Inverse Discrete Fourier Transform |
| IRS | Intelligent Reflecting Surface | ISAC | Integrated Sensing and Communication |
| ISFFT | Inverse Symplectic Finite Fourier Transform | ISI | Inter-Symbol Interference |
| LoS | Line-of-Sight | LS | Least Squares |
| MIMO | Multiple-Input Multiple-Output | MMSE | Minimum Mean Square Error |
| MUSIC | Multiple Signal Classification | NLoS | Non-Line-of-Sight |
| NMSE | Normalized Mean Square Error | OFDM | Orthogonal Frequency Division Multiplexing |
| PCC | Primary Component Carrier | PDP | Power Delay Profile |
| QPSK | Quadrature Phase Shift Keying | SCC | Secondary Component Carrier |
| SD | Symbol Detection | SFFT | Symplectic Finite Fourier Transform |
| SNR | Signal-to-Noise Ratio | TDL | Tapped Delay Line |
| UAV | Unmanned Aerial Vehicle | U2G | UAV-to-Ground |
| Observed Anomaly/Alignment | Implications | Potential Application Scenarios |
|---|---|---|
| “Prop_PCC” achieves the optimal NMSE performance compared to the baseline method. | “Prop_PCC” incorporates LoS sensing and echo sensing-based prior information to design an effective path detection threshold, thereby further refining CE accuracy. | High-precision control links for autonomous UAV swarms in urban environments. |
| “Prop_PCC+ZF” exhibits a discernible advantage in terms of BER performance compared to the baseline method. | “Prop_PCC+ZF” enhances the CE accuracy by leveraging LoS sensing and echo sensing-based information, thereby refining BER performance. | High-speed aerial video transmission requiring low bit-error rates. |
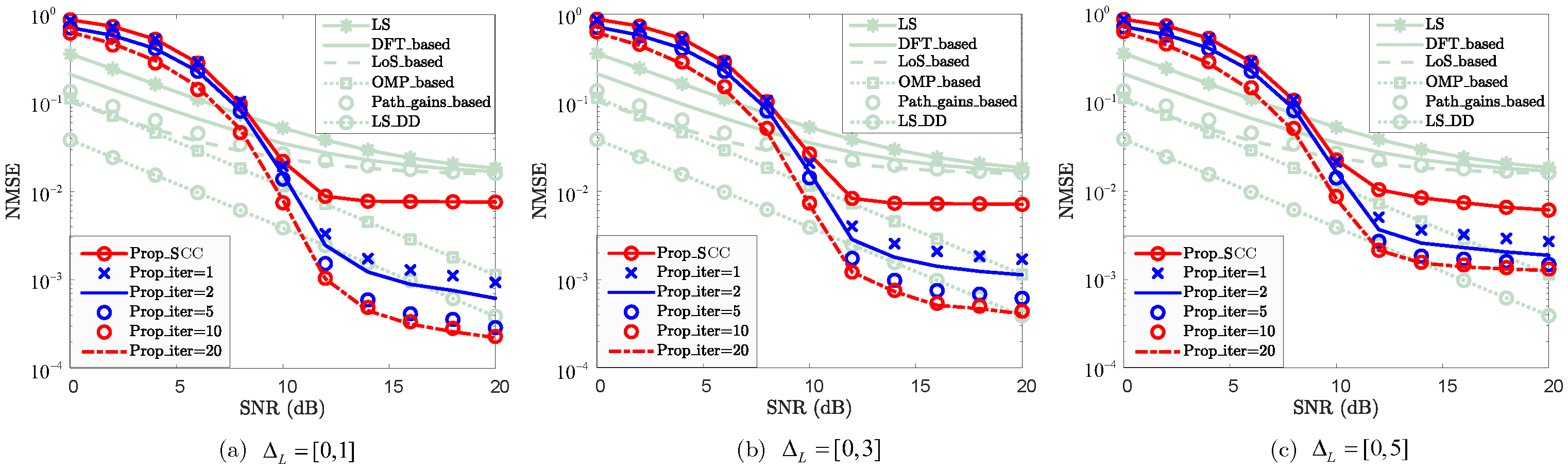
| “Prop_SCC” achieves superior NMSE performance compared to “LS+ZF”, “LS_DFT+ZF”, “Path_gains_based+ZF”, and “LoS_based+ZF” in relatively high-SNR region. | “Prop_SCC” not only reduces pilot overhead but also enhances channel reconstruction performance relative to the baseline methods. | Wideband CA systems for real-time HD mapping and sensor data fusion. |
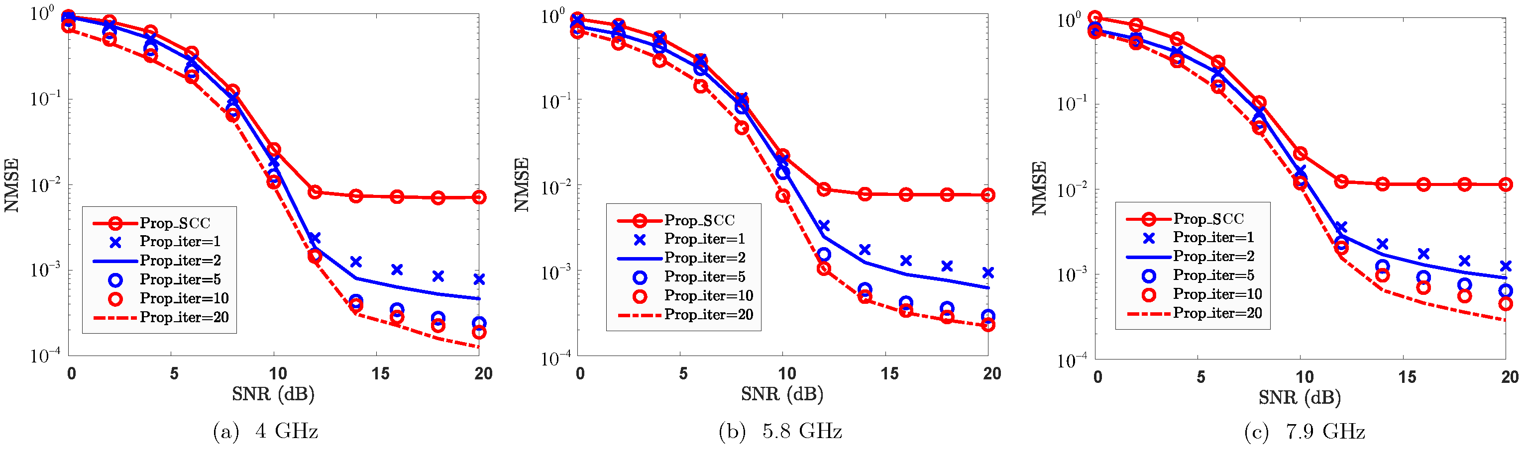
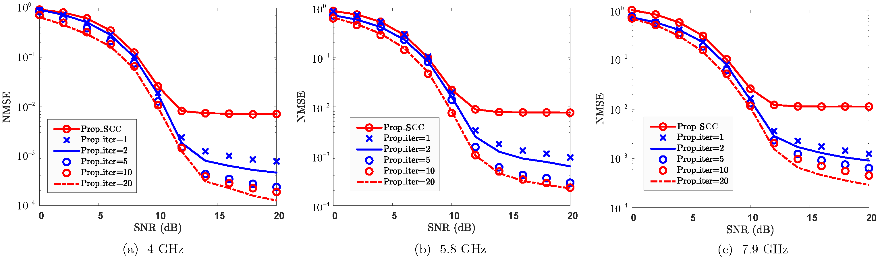
| Increasing the number of iterations does not lead to a continual improvement in channel reconstruction accuracy. | The reconstruction accuracy of the proposed method is significantly improved with a few initial iterations; it eventually converges as the number of iterations increases. A trade-off between reconstruction performance and complexity can be achieved. | Enables the design of low-complexity energy-efficient transceivers for computation-limited UAV platforms. |
| Robustness Against Velocity v | “Prop_PCC” effectively enhances NMSE performance regardless of the variation in velocity. “Prop_SCC” requires significantly lower pilot overhead compared to the baseline methods, making it highly attractive for reconstructing the SCC channels. | High-mobility applications such as fast-moving UAVs for emergency response or delivery. |
| Robustness Against Path Count Difference | The existence of LoS paths occupies the majority of the channel energy, enabling the “Prop_SCC” to maintain similar performance and ensuring the effectiveness of the reconstruction. | Non-uniform scattering environments (e.g., open fields vs. dense urban areas). |
| Robustness Against Carrier Frequency of SCC | The increase in carrier frequency thereby increases its reconstruction errors due to larger Doppler shifts and reduced coherence time. | Guides the practical deployment in multi-band CA systems, suggesting prioritization of lower frequencies for critical control channels. |
Disclaimer/Publisher’s Note: The statements, opinions and data contained in all publications are solely those of the individual author(s) and contributor(s) and not of MDPI and/or the editor(s). MDPI and/or the editor(s) disclaim responsibility for any injury to people or property resulting from any ideas, methods, instructions or products referred to in the content. |
© 2025 by the authors. Licensee MDPI, Basel, Switzerland. This article is an open access article distributed under the terms and conditions of the Creative Commons Attribution (CC BY) license (https://creativecommons.org/licenses/by/4.0/).
Share and Cite
Chen, Z.; Wu, W.; Wang, R.; Liang, M.; Zhang, W.; Yao, S.; Hu, W.; Qing, C. Channel Estimation in UAV-Assisted OFDM Systems by Leveraging LoS and Echo Sensing with Carrier Aggregation. Sensors 2025, 25, 6392. https://doi.org/10.3390/s25206392
Chen Z, Wu W, Wang R, Liang M, Zhang W, Yao S, Hu W, Qing C. Channel Estimation in UAV-Assisted OFDM Systems by Leveraging LoS and Echo Sensing with Carrier Aggregation. Sensors. 2025; 25(20):6392. https://doi.org/10.3390/s25206392
Chicago/Turabian StyleChen, Zhuolei, Wenbin Wu, Renshu Wang, Manshu Liang, Weihao Zhang, Shuning Yao, Wenquan Hu, and Chaojin Qing. 2025. "Channel Estimation in UAV-Assisted OFDM Systems by Leveraging LoS and Echo Sensing with Carrier Aggregation" Sensors 25, no. 20: 6392. https://doi.org/10.3390/s25206392
APA StyleChen, Z., Wu, W., Wang, R., Liang, M., Zhang, W., Yao, S., Hu, W., & Qing, C. (2025). Channel Estimation in UAV-Assisted OFDM Systems by Leveraging LoS and Echo Sensing with Carrier Aggregation. Sensors, 25(20), 6392. https://doi.org/10.3390/s25206392

