Sign in to use this feature.

Years

Between: -

Subjects

remove_circle_outline
remove_circle_outline
remove_circle_outline
remove_circle_outline
remove_circle_outline
remove_circle_outline
remove_circle_outline
remove_circle_outline
remove_circle_outline

Journals

Article Types

Countries / Regions

Search Results (57)

Search Parameters:
Keywords = end-notch flexure

Order results
Result details
Results per page
Select all
Export citation of selected articles as:
44 pages, 786 KB  
Review
Evolution of Studies on Fracture Behavior of Composite Laminates: A Scoping Review
by C. Bhargavi, K S Sreekeshava and B K Raghu Prasad
Appl. Mech. 2025, 6(3), 63; https://doi.org/10.3390/applmech6030063 - 25 Aug 2025
Viewed by 1508
Abstract
This scoping review paper provides an overview of the evolution, the current stage, and the future prospects of fracture studies on composite laminates. A fundamental understanding of composite materials is presented by highlighting the roles of the fiber and matrix, outlining the applications [...] Read more.
This scoping review paper provides an overview of the evolution, the current stage, and the future prospects of fracture studies on composite laminates. A fundamental understanding of composite materials is presented by highlighting the roles of the fiber and matrix, outlining the applications of various synthetic fibers used in current structural sectors. Challenges posed by interlaminar delamination, one of the critical failure modes, are highlighted. This paper systematically discusses the fracture behavior of these laminates under mixed-mode and complex loading conditions. Standardized fracture toughness testing methods, including Mode I Double Cantilever Beam (DCB), Mode II End-Notched Flexure (ENF) and Mixed-Mode Bending (MMB), are initially discussed, which is followed by a decade-wide chronological analysis of fracture mechanics approaches. Key advancements, including toughening mechanisms, Cohesive Zone Modeling (CZM), Virtual Crack Closure Technique (VCCT), Extended Finite Element Method (XFEM) and Digital Image Correlation (DIC), are analyzed. The review also addresses recent trends in fracture studies, such as bio-inspired architecture, self-healing systems, and artificial intelligence in fracture predictions. By mapping the trajectory of past innovations and identifying unresolved challenges, such as scale integration, dataset standardization for AI, and manufacturability of advanced architectures, this review proposes a strategic research roadmap. The major goal is to enable unified multi-scale modeling frameworks that merge physical insights with data learning, paving the way for next-generation composite laminates optimized for resilience, adaptability, and environmental responsibility. Full article
Show Figures

Figure 1

20 pages, 7657 KB  
Article
Utilizing Excess Resin in Prepregs to Achieve Good Performance in Joining Hybrid Materials
by Nawres J. Al-Ramahi, Safaa M. Hassoni, Janis Varna and Roberts Joffe
Polymers 2025, 17(12), 1689; https://doi.org/10.3390/polym17121689 - 18 Jun 2025
Viewed by 595
Abstract
This study investigates the fracture toughness of adhesive joints between carbon fiber-reinforced polymer composites (CFRP) and boron-alloyed high-strength steel under Mode I and II loading, based on linear elastic fracture mechanics (LEFM). Two adhesive types were examined: the excess resin from the prepreg [...] Read more.
This study investigates the fracture toughness of adhesive joints between carbon fiber-reinforced polymer composites (CFRP) and boron-alloyed high-strength steel under Mode I and II loading, based on linear elastic fracture mechanics (LEFM). Two adhesive types were examined: the excess resin from the prepreg composite, forming a thin layer, and a toughened structural epoxy (Sika Power-533), designed for the automotive industry, forming a thick layer. Modified double cantilever beam (DCB) and end-notched flexure (ENF) specimens were used for testing. The results show that using Sika Power-533 increases the critical energy release rate by up to 30 times compared to the prepreg resin, highlighting the impact of adhesive layer thickness. Joints with the thick Sika adhesive performed similarly regardless of whether uncoated or Al–Si-coated steel was used, indicating the composite/Sika interface as the failure point. In contrast, the thin resin adhesive layer exhibited poor bonding with uncoated steel, which detached during sample preparation. This suggests that, for thin layers, the resin/steel interface is the weakest link. These findings underline the importance of adhesive selection and layer thickness for optimizing joint performance in composite–metal hybrid structures. Full article
(This article belongs to the Section Polymer Applications)
Show Figures

Figure 1

19 pages, 10561 KB  
Article
Environmental Effects of Moisture and Elevated Temperatures on the Mode I and Mode II Interlaminar Fracture Toughness of a Toughened Epoxy Carbon Fibre Reinforced Polymer
by Anna Williams, Ian Hamerton and Giuliano Allegri
Polymers 2025, 17(11), 1503; https://doi.org/10.3390/polym17111503 - 28 May 2025
Cited by 1 | Viewed by 1124
Abstract
The use of composite materials within extreme environments is an exciting frontier in which a wealth of cutting-edge developments have taken place recently. Although there is vast knowledge of composites’ behaviour in standard room temperature and humidity, there is a great need to [...] Read more.
The use of composite materials within extreme environments is an exciting frontier in which a wealth of cutting-edge developments have taken place recently. Although there is vast knowledge of composites’ behaviour in standard room temperature and humidity, there is a great need to understand their performance in ‘hot/wet’ conditions, as these are the conditions of their envisaged applications. One of the key failure mechanisms within composites is interlaminar fracture, commonly referred to as delamination. The environmental effects of moisture and elevated temperatures on interlaminar fracture toughness are therefore essential design considerations for laminated aerospace-grade composite materials. IM7/8552, a toughened epoxy/carbon fibre reinforced polymer, was experimentally characterised in both ‘Dry’ and ‘Wet’ conditions at 23 °C and 90 °C. A moisture uptake study was conducted during the ‘Wet’ conditioning of the material in a 70 °C/85% relative humidity environment. Dynamic mechanical thermal analysis was carried out to determine the effect of moisture on the glass transition temperature of the material. Mode I initiation and propagation fracture properties were determined using double cantilevered beam specimens and Mode II initiation fracture properties were deduced using end-notched flexure specimens. The effects of precracking and the methodology of high-temperature testing are discussed in this report. Mode I interlaminar fracture toughness, GIC, was found to increase with elevated temperatures and moisture content, with GIC=0.205kJ/m2 in ‘Dry 23 °C’ conditions increasing by 26% to GIC=0.259kJ/m2 in ‘Wet 90 °C’ conditions, demonstrating that the material exhibited its toughest behaviour in ‘hot/wet’ conditions. Increased ductility due to matrix softening and fibre bridging caused by temperature and moisture were key contributors to the elevated GIC values. Mode II interlaminar fracture toughness, GIIC, was observed to decrease most significantly when moisture or elevated temperature was applied individually, with the combination of ‘hot/wet’ conditions resulting in an 8% drop in GIIC, with GIIC=0.586kJ/m2 in ‘Dry 23 °C’ conditions and GIIC=0.541kJ/m2 in ‘Wet 90 °C’ conditions. The coupled effect of fibre-matrix interface degradation and increased plasticity due to moisture resulted in a relatively small knockdown on GIIC compared to GIC in ‘hot/wet’ conditions. Fractographic studies of the tested specimens were conducted using scanning electron microscopy. Noteworthy surface topography features were observed on specimens of different fracture modes, moisture saturation levels, and test temperature conditions, including scarps, cusps, broken fibres and river markings. The qualitative features identified during microscopy are critically examined to extrapolate the differences in quantitative results in the various environmental conditions. Full article
Show Figures

Graphical abstract

17 pages, 6163 KB  
Article
Investigation of Skin–Stringer Assembly Made with Adhesive and Mechanical Methods on Aircraft
by Hacı Abdullah Tasdemir, Berke Alp Mirza and Yunus Hüseyin Erkendirci
Aerospace 2025, 12(5), 383; https://doi.org/10.3390/aerospace12050383 - 29 Apr 2025
Cited by 1 | Viewed by 889
Abstract
New assembly methods for aircraft structural parts, such as skins and stringers, are being investigated to address issues like galvanic corrosion, stress concentration, and weight. For this, many researchers are examining the mechanical and fracture properties of adhesively bonded parts through experimental testing [...] Read more.
New assembly methods for aircraft structural parts, such as skins and stringers, are being investigated to address issues like galvanic corrosion, stress concentration, and weight. For this, many researchers are examining the mechanical and fracture properties of adhesively bonded parts through experimental testing and numerical modelling methods, including Cohesive Zone Modelling (CZM), Compliance-Based Beam Method (CBBM), Double Cantilever Beam (DCB), and End Notched Flexural (ENF) tests. In this study, similarly, DCB and ENF tests were conducted on skin and beam parts bonded with AF163-2K adhesive using CBBM and then modelled and analysed in ABAQUS CAE 2018 software. Four different skin–stringer connection models were analysed, respectively, using only adhesive, only rivets, both adhesive and rivets, and also a reduced number of rivets in the adhesively bonded joint. This study found that adhesive increased initial strength, while rivets improved strength after the adhesive began to crack. Using a hybrid connection that combines both rivets and adhesive has been observed to enhance the overall strength and durability of the assembly. Then, experimental results were compared, and four numerical models for skin–stringer connections (adhesive only, rivets only, adhesive and rivets, and adhesive with reduced rivets) were analysed and discussed. In this context, the results were supported and reported with graphs, tables, and analysis images. Full article
(This article belongs to the Special Issue Advanced Aircraft Structural Design and Applications)
Show Figures

Figure 1

18 pages, 6983 KB  
Article
Toughening of Composite Interfaces for Damage Resistance with Nanoparticle Interleaves
by Nithya Subramanian and Chiara Bisagni
J. Compos. Sci. 2025, 9(3), 109; https://doi.org/10.3390/jcs9030109 - 26 Feb 2025
Viewed by 963
Abstract
Composite interfaces, particularly in joints, play a critical role in the damage resistance and durability of structures for aeronautics applications. This study investigates the use of carbon nanotube (CNT) interleaves for the co-cured joining of composite parts and its effects on fracture toughness [...] Read more.
Composite interfaces, particularly in joints, play a critical role in the damage resistance and durability of structures for aeronautics applications. This study investigates the use of carbon nanotube (CNT) interleaves for the co-cured joining of composite parts and its effects on fracture toughness and damage progression at the co-cured interface. CNT dispersed in a thermoset resin and partially cured into thin film interleaves at three weight concentrations (0.5% wt., 1% wt., and 2% wt.) of two discrete thicknesses (200 µ and 500 µ) were investigated. The fracture toughness of the co-cured interface with CNT interleaves in mode I and mode II loading conditions was determined through double cantilever beam and end-notched flexure tests, respectively. The results reveal that despite the occurrence of a stick–slip damage progression in mode I, the crack arrest mechanisms and forces are surprisingly predictable based on interleaf thickness. At CNT concentrations above 1% wt., there was no significant enhancement of toughening, and interleaf thickness controlled the crack arrest loads. Damage delay also occurred at the interface due to the activation of multiscale toughening mechanisms. Toughening in mode II was dominated by CNT pullout resistance and, therefore, yielded up to six-fold improvement in critical fracture toughness. These insights offer significant potential for designing joints with nanocomposites for aerospace applications, incorporating inherent toughening and damage delay mechanisms. Full article
(This article belongs to the Special Issue Feature Papers in Journal of Composites Science in 2024)
Show Figures

Graphical abstract

22 pages, 4812 KB  
Article
Mechanical Characterization of a Novel Cyclic Olefin-Based Hot-Melt Adhesive
by Vasco C. M. B. Rodrigues, Ana T. F. Venâncio, Eduardo A. S. Marques, Ricardo J. C. Carbas, Armina Klein, Ejiri Kazuhiro, Björn Nelson and Lucas F. M. da Silva
Materials 2025, 18(4), 855; https://doi.org/10.3390/ma18040855 - 15 Feb 2025
Cited by 2 | Viewed by 1131
Abstract
A novel hot-melt cyclic olefin-based adhesive was designed as a transparent, non-tacky film of amorphous thermoplastic with a unique polymer micro-structure. The aim of the present paper is to assess the mechanical properties of the 0.1 mm thick COP hot-melt adhesive film through [...] Read more.
A novel hot-melt cyclic olefin-based adhesive was designed as a transparent, non-tacky film of amorphous thermoplastic with a unique polymer micro-structure. The aim of the present paper is to assess the mechanical properties of the 0.1 mm thick COP hot-melt adhesive film through adhesive characterizations tests. The glass transition temperature was determined using dynamic mechanical analysis (DMA). For mechanical characterization, bulk and thick adherend shear specimens were manufactured and tested at a quasi-static rate, where at least three specimens were used to calculate the average and standard deviation values. Tensile tests revealed the effects of molecular chain drawing and reorientation before the onset of strain hardening. Thick adherend shear specimens were used to retrieve shear properties. Fracture behaviour was assessed with the double cantilever beam (DCB) test and end-notched flexure (ENF) test, for characterization under modes I and II, respectively. To study the in-joint behaviour, single lap joints (SLJs) of aluminium and carbon fibre-reinforced polymer (CFRP) were manufactured and tested under different temperatures. Results showed a progressive interfacial failure following adhesive plasticization, allowing deformation prior to failure at 8 MPa. An adhesive failure mode was confirmed through scanning electron microscopy (SEM) analysis of aluminium SLJ. The adhesive exhibits tensile properties comparable to existing adhesives, while demonstrating enhanced lap shear strength and a distinctive failure mechanism. These characteristics suggest potential advantages in applications involving heat and pressure across automotive, electronics and structural bonding sectors. Full article
(This article belongs to the Section Advanced Materials Characterization)
Show Figures

Figure 1

18 pages, 8651 KB  
Article
Interlaminar Fracture Toughness Analysis for Reliability Improvement of Wind Turbine Blade Spar Elements Based on Pultruded Carbon Fiber-Reinforced Polymer Plate Manufacturing Method
by Hakgeun Kim, Yunjung Jang, Sejin Lee, Chanwoong Choi and Kiweon Kang
Materials 2025, 18(2), 357; https://doi.org/10.3390/ma18020357 - 14 Jan 2025
Viewed by 1274
Abstract
The key structural components of a wind turbine blade, such as the skin, spar cap, and shear web, are fabricated from fiber-reinforced composite materials. The spar, predominantly manufactured via resin infusion—a process of resin injection and curing in carbon fibers—is prone to initial [...] Read more.
The key structural components of a wind turbine blade, such as the skin, spar cap, and shear web, are fabricated from fiber-reinforced composite materials. The spar, predominantly manufactured via resin infusion—a process of resin injection and curing in carbon fibers—is prone to initial defects, such as pores, wrinkles, and delamination. This study suggests employing the pultrusion technique for spar production to consistently obtain a uniform cross-section and augment the reliability of both the manufacturing process and the design. In this context, this study introduces carbon fiber-reinforced polymer (CFRP/CFRP) and glass fiber-reinforced polymer (GFRP/CFRP) test specimens, which mimic the bonding structure of the spar cap, utilizing pultruded CFRP in accordance with ASTM standards to analyze the delamination traits of the spar. Delamination tests—covering Mode I (double cantilever beam), Mode II (end-notched flexure), and mixed mode (mixed-mode bending)—were performed to gauge displacement, load, and crack growth length. Through this crack growth mechanism, the interlaminar fracture toughness derived was examined, and the stiffness and strength changes compared to CFRP based on the existing prepreg manufacturing method were analyzed. In addition, the interlaminar fracture toughness for GFRP, which is a material in contact with the spar structure, was analyzed, and through this, it was confirmed that the crack behavior has less deviation compared to a single CFRP material depending on the stiffness difference between the materials when joining dissimilar materials. This means that the higher the elasticity of the high-stiffness material, the higher the initial crack resistance, but the crack growth behavior shows non-uniform characteristics thereafter. This comparison provides information for predicting interlaminar delamination damage within the interior and bonding area of the spar and skin and provides insight for securing the reliability of the design life. Full article
(This article belongs to the Section Advanced Composites)
Show Figures

Figure 1

22 pages, 8368 KB  
Article
Low-Velocity Impact Analysis in Composite Plates Incorporating Experimental Interlaminar Fracture Toughness
by Gyeong-Han Lee, Ji-Yoon Yang, Sang-Woo Kim and Soo-Yong Lee
Materials 2024, 17(23), 5768; https://doi.org/10.3390/ma17235768 - 25 Nov 2024
Cited by 1 | Viewed by 1107
Abstract
Reliable performance of composite adhesive joints under low-velocity impact is essential for ensuring the structural durability of composite materials in demanding applications. To address this, the study examines the effects of temperature, surface treatment techniques, and bonding processes on interlaminar fracture toughness, aiming [...] Read more.
Reliable performance of composite adhesive joints under low-velocity impact is essential for ensuring the structural durability of composite materials in demanding applications. To address this, the study examines the effects of temperature, surface treatment techniques, and bonding processes on interlaminar fracture toughness, aiming to identify optimal conditions that enhance impact resistance. A Taguchi experimental design and analysis of variance (ANOVA) were used to analyze these factors, and experimentally derived toughness values were applied to low-velocity impact simulations to assess delamination behavior. Sanding and co-bonding were identified as the most effective methods for improving fracture toughness. Under the identified optimal conditions, the low-velocity impact analysis showed a delamination area of 319.0 mm2. These findings highlight the importance of parameter optimization in enhancing the structural reliability of composite adhesive joints and provide valuable insights for improving the performance and durability of composite materials, particularly in aerospace and automotive applications. Full article
(This article belongs to the Special Issue Impact Behaviour of Materials and Structures)
Show Figures

Figure 1

12 pages, 10087 KB  
Article
Effects of a Novel Three-Dimensional-Printed Wood–Polylactic Acid Interlayer on the Mode II Delamination of Composites
by Mazaher Salamat-Talab, Hossein Kazemi, Alireza Akhavan-Safar, Hossein Malekinejad, Ricardo J. C. Carbas and Lucas F. M. da Silva
J. Compos. Sci. 2024, 8(12), 489; https://doi.org/10.3390/jcs8120489 - 22 Nov 2024
Cited by 3 | Viewed by 1374
Abstract
The interlayering method effectively enhances resistance against delamination in laminated composites. However, synthesis methods for interlayers have been limited and, at times, expensive. Consequently, this study investigates the effect of innovative 3D-printed wood–PLA interlayers on the mode II interlaminar fracture toughness (ILFT) of [...] Read more.
The interlayering method effectively enhances resistance against delamination in laminated composites. However, synthesis methods for interlayers have been limited and, at times, expensive. Consequently, this study investigates the effect of innovative 3D-printed wood–PLA interlayers on the mode II interlaminar fracture toughness (ILFT) of glass/epoxy composites. These interlayers feature a geometric structure comprising rhomboidal cell shapes, enabling the filament to maintain an equal volume percentage to the resin at the delamination interface. To this end, end-notch flexure (ENF) specimens were prepared, and the mode II ILFT was determined using the compliance-based beam method. The experimental results demonstrate a substantial increase in initiation load tolerance (32%) due to the 3D-printed interlayer. The R-curve analysis of the specimens with interlayers reveals significant enhancement in critical delamination parameters, including the length of the fracture process zone (23%), initiation ILFT (80%), and propagation ILFT (44%), compared to the samples without interlayers. The fracture surface analysis of the reinforced specimens with interlayers demonstrated that the interlayer positively impacts the delamination resistance of the ENF specimens. They create a larger resin-rich area and increase surface friction at the delamination interface. Also, this facilitates a crack front pinning mechanism and changes the direction of crack growth. Full article
(This article belongs to the Special Issue Recent Progress in Hybrid Composites)
Show Figures

Graphical abstract

14 pages, 5955 KB  
Article
Prediction of the Interface Behavior of a Steel/CFRP Hybrid Part Manufactured by Stamping
by Jae-Chang Ryu, Chan-Joo Lee, Do-Hoon Shin and Dae-Cheol Ko
Materials 2024, 17(17), 4291; https://doi.org/10.3390/ma17174291 - 30 Aug 2024
Cited by 1 | Viewed by 1045
Abstract
Carbon fiber-reinforced plastic (CFRP) is a lightweight material. The automotive industry has focused on producing a steel/CFRP hybrid part to reduce overall weight. After manufacturing, delamination can occur at the interface between the CFRP and steel owing to the hybrid part constituting dissimilar [...] Read more.
Carbon fiber-reinforced plastic (CFRP) is a lightweight material. The automotive industry has focused on producing a steel/CFRP hybrid part to reduce overall weight. After manufacturing, delamination can occur at the interface between the CFRP and steel owing to the hybrid part constituting dissimilar materials. However, most studies have focused only on designing the manufacturing processes for the hybrid part or evaluating the adhesive used at the interface. Therefore, it is necessary to predict the behavior of the interface after demolding the hybrid part. This study aimed to predict the interface behavior of a steel/CFRP hybrid part by considering its forming and cohesive properties. First, double cantilever beam (DCB) and end-notched flexure (ENF) tests were performed to obtain cohesive parameters, such as energy release rate of modes I and II (GI, GII). The experimentally obtained properties were applied to the bonding area of the hybrid part. Subsequently, a forming simulation was performed to obtain the stress of the steel blank in the hybrid part. The stress distribution after forming was utilized as the initial condition for spring-back simulation. Finally, the interface behavior of the hybrid part was predicted by a spring-back simulation. The simulation was conducted using the residual stress of steel outer and the cohesive properties on the interface, without the application of any external forces. The cases of spring-back simulation were divided as delamination occurrence and attached state. The simulation results for prediction of delamination occurrence and bonding showed good agreement in both cases with experimental ones. The proposed method would contribute to expanding the manufacturing of the hybrid part by stamping and reducing the manufacturing cost by prediction of delamination occurrence. Full article
(This article belongs to the Special Issue Advances in Hybrid Structure Manufacturing Technology)
Show Figures

Figure 1

17 pages, 27352 KB  
Article
Geometry and Hybridization Effect on the Crashworthiness Performances of Carbon and Flax/Epoxy Composites
by Valentina Giammaria, Giulia Del Bianco, Monica Capretti, Simonetta Boria, Lorenzo Vigna, Andrea Calzolari and Vincenzo Castorani
J. Compos. Sci. 2024, 8(8), 331; https://doi.org/10.3390/jcs8080331 - 21 Aug 2024
Cited by 4 | Viewed by 1679
Abstract
Recent pressure on scientists and industries to use renewable resources, as well as the need to produce environmentally friendly materials, has led researchers and manufacturers to use natural fibres as possible reinforcements for their composites. Although they seem to be “ideal” due to [...] Read more.
Recent pressure on scientists and industries to use renewable resources, as well as the need to produce environmentally friendly materials, has led researchers and manufacturers to use natural fibres as possible reinforcements for their composites. Although they seem to be “ideal” due to their low cost, light weight and interesting energy absorption properties, they cannot be compared to synthetic fibres. To solve this problem, hybridization techniques can be considered, since the combination of synthetic and natural fibres allows for good performances. The aim of this study was to characterize the delamination and in-plane crashworthiness behaviour of carbon, flax and hybrid composites from experimental and numerical points of view. Double Cantilever Beam and Four-Point End Notched Flexure tests were carried out to determine the interlaminar fracture modes. In-plane crashworthiness tests were then performed to investigate the delamination phenomenon and the energy absorption capacity considering two different geometries: flat and corrugated. Numerical models were created and validated on both geometries, comparing the obtained load–displacement curves with the experimental ones. Crush force efficiency and specific energy absorption were quantified to provide a proper comparison of the investigated materials. The good results achieved represent a promising starting point for the design of future and more complex structures. Full article
(This article belongs to the Section Fiber Composites)
Show Figures

Figure 1

14 pages, 4016 KB  
Article
Assessment of Shear Fracture Energy in Hybrid Composites with Natural and Synthetic Fibers
by Ranulfo Neto, Bernardo Mendes, Bernardo Borges, Carolina Moreira, Eduardo Sampaio and Mariana Banea
Materials 2024, 17(15), 3794; https://doi.org/10.3390/ma17153794 - 1 Aug 2024
Cited by 1 | Viewed by 1182
Abstract
Composite materials made with synthetic fibers are extensively employed across a diverse array of engineering structures. However, from an environmental point of view, synthetic fibers do not represent the best choice, since they are not renewable and are not biodegradable as natural fibers. [...] Read more.
Composite materials made with synthetic fibers are extensively employed across a diverse array of engineering structures. However, from an environmental point of view, synthetic fibers do not represent the best choice, since they are not renewable and are not biodegradable as natural fibers. This study investigates the application of adhesive joints with hybrid composites, which combine natural and synthetic fibers, as potential replacements for traditional composites made solely from synthetic fibers. The main focus is on assessing the mechanical performance of these hybrid composites through end-notched flexure (ENF) tests on adhesive joints. Four different configurations of substrates were used, two with only one type of fiber (natural or synthetic) and two hybrids. Digital image correlation (DIC) analysis was conducted to provide detailed insights into the changes in displacement fields for the different configurations tested. The results indicate that adhesive joints with hybrid composites exhibit superior shear fracture energy (GIIC) compared with the joints with purely synthetic fibers. This enhancement in fracture toughness, attributed to the synergistic effects of the natural and synthetic fibers, suggests that hybrid composites could be a viable alternative, offering potential benefits in terms of sustainability and cost without compromising mechanical performance. Full article
Show Figures

Figure 1

23 pages, 5007 KB  
Article
Effect of the Atmospheric Plasma Treatment Parameters on the Surface and Mechanical Properties of Carbon Fabric
by Samuele Sampino, Raffaele Ciardiello, Domenico D’Angelo, Laura Cagna and Davide Salvatore Paolino
Materials 2024, 17(11), 2547; https://doi.org/10.3390/ma17112547 - 25 May 2024
Cited by 2 | Viewed by 2271
Abstract
The use of Atmospheric Pressure Plasma Jet (APPJ) technology for surface treatment of carbon fabrics is investigated to estimate the increase in the fracture toughness of carbon-fiber composite materials. Nitrogen and a nitrogen–hydrogen gas mixture were used to size the carbon fabrics by [...] Read more.
The use of Atmospheric Pressure Plasma Jet (APPJ) technology for surface treatment of carbon fabrics is investigated to estimate the increase in the fracture toughness of carbon-fiber composite materials. Nitrogen and a nitrogen–hydrogen gas mixture were used to size the carbon fabrics by preliminarily optimizing the process parameters. The effects of the APPJ on the carbon fabrics were investigated by using optical and chemical characterizations. Optical Emission Spectroscopy, Fourier Transform Infrared-Attenuated Total Reflection, X-ray Photoelectron Spectroscopy and micro-Raman spectroscopy were adopted to assess the effectiveness of ablation and etching effects of the treatment, in terms of grafting of new functional groups and active sites. The treated samples showed an increase in chemical groups grafted onto the surfaces, and a change in carbon structure was influential in the case of chemical interaction with epoxy groups of the epoxy resin adopted. Flexural test, Double Cantilever Beam and End-Notched Flexure tests were then carried out to characterize the composite and evaluate the fracture toughness in Mode I and Mode II, respectively. N2/H2 specimens showed significant increases in GIC and GIIC, compared to the untreated specimens, and slight increases in Pmax at the first crack propagation. Full article
Show Figures

Figure 1

19 pages, 4809 KB  
Article
Performance and Life Cycle Assessment of Composites Reinforced with Natural Fibers and End-of-Life Textiles
by Mina Arya, Mikael Skrifvars and Pooria Khalili
J. Compos. Sci. 2024, 8(6), 196; https://doi.org/10.3390/jcs8060196 - 22 May 2024
Cited by 7 | Viewed by 4397
Abstract
The growing need for materials that are eco-friendly and sustainable in the industrial sector has shifted focus from synthetic fossil to natural fibers, alongside the utilization of recycled polymer textiles. This research introduces a novel method for using end-of-life textiles, such as polyester [...] Read more.
The growing need for materials that are eco-friendly and sustainable in the industrial sector has shifted focus from synthetic fossil to natural fibers, alongside the utilization of recycled polymer textiles. This research introduces a novel method for using end-of-life textiles, such as polyester and polyamide fabrics, in the production of composite materials, aiming to lessen textile waste and enhance material longevity. The mechanical attributes of flax fabric (FF), flax–recycled polyamide fabric (F/RPA), and flax–recycled polyester fabric (F/RPES) composite laminates are assessed through tensile, flexural, interlaminar shear, and Charpy impact tests. The study revealed that the addition of end-of-life synthetic fibers improves tensile strength, while the trend in modulus values suggests that flax provides a high degree of stiffness to the composites, which is moderated by the addition of synthetic fibers. This effect is consistent across both tensile and flexural testing, although the impact on stiffness is more significant in bending. The inclusion of polyester fibers in the composite laminate resulted in significant enhancements, with an 11.1% increase in interlaminar shear maximum force, a 17.4% improvement in interlaminar shear strength, and a 67.1% rise in un-notch impact energy, compared to composites made with only flax fiber (FF). The microscopic examination uncovered the internal structure and demonstrated a clear, strong bond between the polyester and polyamide fiber layers with the flax fibers. Additionally, the life cycle assessment revealed that the F/RPES composite had less environmental impact than FF and F/RPA in all 18 categories analyzed. This indicates that the environmental footprint of producing F/RPES is smaller than that of both FF and F/RPA. Full article
(This article belongs to the Special Issue Polymer Composites and Fibers, Volume II)
Show Figures

Figure 1

21 pages, 11484 KB  
Article
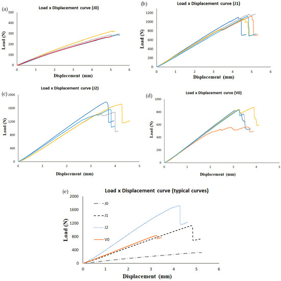
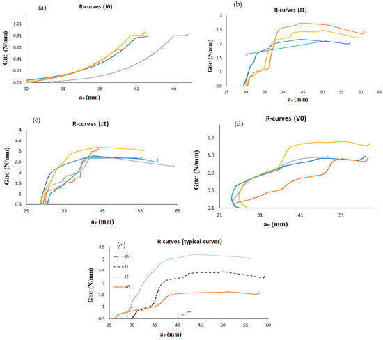
Acoustic Emission Analysis of Mode II Interlaminar Fracture Toughness of 3D Reinforced CFRP
by Thiago Luiz Lara Oliveira, Daniel Brighenti Bortoluzzi, Lorena Cristina Miranda Barbosa and Antônio Carlos Ancelotti
NDT 2024, 2(1), 32-52; https://doi.org/10.3390/ndt2010003 - 12 Jan 2024
Cited by 4 | Viewed by 2624
Abstract
The use of composites in industry is increasing due to their ability to replace traditional materials. Carbon fiber-reinforced polymers offer a favorable strength-to-weight ratio, making them advantageous in numerous applications. Delamination is a common failure mode for composite materials, making it a crucial [...] Read more.
The use of composites in industry is increasing due to their ability to replace traditional materials. Carbon fiber-reinforced polymers offer a favorable strength-to-weight ratio, making them advantageous in numerous applications. Delamination is a common failure mode for composite materials, making it a crucial factor in ensuring material safety during service life. While fiber orientation in composites is designed for specific directional reinforcement, out-of-plane loads are often neglected, posing a critical challenge. Implementing through-thickness reinforcement, such as tufting, can enhance out-of-plane resistance, enabling more accurate structural designs. Non-destructive testing methods, particularly acoustic emission, play a significant role in ensuring component safety by detecting early damage and flaws. This study focused on monitoring mode II interlaminar fracture toughness and end-notched flexure (ENF), using acoustic emissions to compare the performance of samples with different through-thickness reinforcements against that of nonreinforced samples. The research analyzed acoustic emission patterns during testing, revealing a strong correlation with failure stages and the resistance induced by reinforcements. This approach provided valuable insights into damage characterization, supported by fractography analysis, especially concerning the final stages of failure due to damage, and the effects of different thread reinforcements. Acoustic emission proved crucial for real-time monitoring, enabling informed decisions to be made regarding component repair and lifespan extension in composite materials. Full article
Show Figures

Figure 1

Back to TopTop