Sign in to use this feature.

Years

Between: -

Subjects

remove_circle_outline
remove_circle_outline
remove_circle_outline
remove_circle_outline
remove_circle_outline
remove_circle_outline
remove_circle_outline
remove_circle_outline
remove_circle_outline

Journals

remove_circle_outline
remove_circle_outline
remove_circle_outline
remove_circle_outline
remove_circle_outline

Article Types

Countries / Regions

remove_circle_outline
remove_circle_outline
remove_circle_outline
remove_circle_outline
remove_circle_outline

Search Results (342)

Search Parameters:
Keywords = emission sensitive demand

Order results
Result details
Results per page
Select all
Export citation of selected articles as:
14 pages, 3122 KB  
Article
Environmentally Friendly Silk Fibroin/Polyethyleneimine High-Performance Triboelectric Nanogenerator for Energy Harvesting and Self-Powered Sensing
by Ziyi Guo, Xinrong Xu, Yue Shen, Menglong Wang, Youzhuo Zhai, Haiyan Zheng and Jiqiang Cao
Coatings 2025, 15(11), 1323; https://doi.org/10.3390/coatings15111323 - 12 Nov 2025
Abstract
Due to the large emissions of greenhouse gases from the burning of fossil fuels and people’s demand for green materials and energy, the development of environmentally friendly triboelectric nanogenerators (TENGs) is becoming increasingly significant. Silk fibroin (SF) is considered an ideal biopolymer candidate [...] Read more.
Due to the large emissions of greenhouse gases from the burning of fossil fuels and people’s demand for green materials and energy, the development of environmentally friendly triboelectric nanogenerators (TENGs) is becoming increasingly significant. Silk fibroin (SF) is considered an ideal biopolymer candidate for fabricating green TENGs due to its biodegradability and renewability. However, its intrinsic brittleness and relatively weak triboelectric performance severely limit its practical applications. In this study, SF was physically blended with poly(ethylenimine) (PEI), a polymer rich in amino groups, to fabricate SF/PEI composite films. The resulting films were employed as tribopositive layers and paired with a poly(tetrafluoroethylene) (PTFE) tribonegative layer to assemble high-performance TENGs. Experimental results revealed that the incorporation of PEI markedly enhanced the flexibility and electron-donating capability of composite films. By optimizing the material composition, the SF/PEI-based TENG achieved an open-circuit voltage as high as 275 V and a short-circuit current of 850 nA, with a maximum output power density of 13.68 μW/cm2. Application tests demonstrated that the device could serve as an efficient self-powered energy source, capable of lighting up 66 LEDs effortlessly through simple hand tapping and driving small electronic components such as timers. In addition, the device can function as a highly sensitive self-powered sensor, capable of generating rapid and distinguishable electrical responses to various human motions. This work not only provides an effective strategy to overcome the intrinsic limitations of SF-based materials but also opens up new avenues for the development of high-performance and environmentally friendly technologies for energy harvesting and sensing. Full article
Show Figures

Figure 1

32 pages, 1917 KB  
Article
Hybrid Wind–Solar–Fuel Cell–Battery Power System with PI Control for Low-Emission Marine Vessels in Saudi Arabia
by Hussam A. Banawi, Mohammed O. Bahabri, Fahd A. Hariri and Mohammed N. Ajour
Automation 2025, 6(4), 69; https://doi.org/10.3390/automation6040069 - 8 Nov 2025
Viewed by 266
Abstract
The maritime industry is under increasing pressure to reduce greenhouse gas emissions, especially in countries such as Saudi Arabia that are actively working to transition to cleaner energy. In this paper, a new hybrid shipboard power system, which incorporates wind turbines, solar photovoltaic [...] Read more.
The maritime industry is under increasing pressure to reduce greenhouse gas emissions, especially in countries such as Saudi Arabia that are actively working to transition to cleaner energy. In this paper, a new hybrid shipboard power system, which incorporates wind turbines, solar photovoltaic (PV) panels, proton-exchange membrane fuel cells (PEMFCs), and a battery energy storage system (BESS) together for propulsion and hotel load services, is proposed. A multi-loop Energy Management System (EMS) based on proportional–integral control (PI) is developed to coordinate the interconnections of the power sources in real time. In contrast to the widely reported model predictive or artificial intelligence optimization schemes, the PI-derived EMS achieves similar power stability and hydrogen utilization efficiency with significantly reduced computational overhead and full marine suitability. By taking advantage of the high solar irradiance and coastal wind resources in Saudi Arabia, the proposed configuration provides continuous near-zero-emission operation. Simulation results show that the PEMFC accounts for about 90% of the total energy demand, the BESS (±0.4 MW, 2 MWh) accounts for about 3%, and the stationary renewables account for about 7%, which reduces the demand for hydro-gas to about 160 kg. The DC-bus voltage is kept within ±5% of its nominal value of 750 V, and the battery state of charge (SOC) is kept within 20% to 80%. Sensitivity analyses show that by varying renewable input by ±20%, diesel consumption is ±5%. These results demonstrate the system’s ability to meet International Maritime Organization (IMO) emission targets by delivering stable near-zero-emission operation, while achieving high hydrogen efficiency and grid stability with minimal computational cost. Consequently, the proposed system presents a realistic, certifiable, and regionally optimized roadmap for next-generation hybrid PEMFC–battery–renewable marine power systems in Saudi Arabian coastal operations. Full article
(This article belongs to the Section Automation in Energy Systems)
Show Figures

Figure 1

24 pages, 2549 KB  
Article
Techno-Economic Assessment of Hydrogen Integration for Decarbonizing the Steel Industry: A Case Study
by Farhan Haider Joyo, Daniele Groppi, Lorenzo Villani, Irfan and Davide Astiaso Garcia
Hydrogen 2025, 6(4), 104; https://doi.org/10.3390/hydrogen6040104 - 7 Nov 2025
Viewed by 335
Abstract
The iron and steel industry is one of the largest industrial sources of greenhouse gas emissions. This paper examines the potential of green hydrogen as a reducing agent for decarbonizing primary steel production, focusing on the Taranto integrated steelworks in southern Italy. Producing [...] Read more.
The iron and steel industry is one of the largest industrial sources of greenhouse gas emissions. This paper examines the potential of green hydrogen as a reducing agent for decarbonizing primary steel production, focusing on the Taranto integrated steelworks in southern Italy. Producing about 3.5 Mt of crude steel annually, the plant is also among the country’s biggest emitters, with CO2 emissions of roughly 8 Mt per year at typical blast furnace intensity (2.2 tCO2/t steel). The analysis quantifies the hydrogen demand required to replace fossil fuels in iron ore reduction and evaluates the techno-economic feasibility of meeting it with green hydrogen. Using DWSIM (open-source chemical process simulation software, v9.0.2) for water electrolysis powered by renewables, the study estimates both the CO2 emission reductions and cost impacts of hydrogen-based steelmaking. Results show that integrating green hydrogen at Taranto could achieve deep decarbonization by cutting emissions by over 90%, with a base-case levelized hydrogen cost (LCOH) of 3.6 EUR/kg and green steel production cost 653 EUR/t. With optimistic assumptions (renewable electricity at 40 EUR/MWh and electrolyzer CAPEX halved to 500 EUR/kW), hydrogen cost could be reduced to 2.3 EUR/kg, making green steel cost-competitive with conventional steel and implying a breakeven carbon price of under 60 EUR/t. Sensitivity analyses highlight that falling renewable electricity prices, supportive carbon policies, and successful demonstration projects are key enablers for economic viability. The findings underscore that renewable hydrogen can be a viable decarbonization pathway for steel when coupled with continued technological improvements and policy support. Full article
Show Figures

Figure 1

19 pages, 1087 KB  
Article
Evaluating Greenhouse Gas Reduction Efficiency Through Hydrogen Ecosystem Implementation from a Life-Cycle Perspective
by Jaeyoung Lee, Sun Bin Kim, Inhong Jung, Seleen Lee and Yong Woo Hwang
Sustainability 2025, 17(22), 9944; https://doi.org/10.3390/su17229944 - 7 Nov 2025
Viewed by 294
Abstract
With growing global demand for sustainable decarbonization, hydrogen energy systems have emerged as a key pillar in achieving carbon neutrality. This study assesses the greenhouse gas (GHG) reduction efficiency of Republic of Korea’s hydrogen ecosystem from a life-cycle perspective, focusing on production and [...] Read more.
With growing global demand for sustainable decarbonization, hydrogen energy systems have emerged as a key pillar in achieving carbon neutrality. This study assesses the greenhouse gas (GHG) reduction efficiency of Republic of Korea’s hydrogen ecosystem from a life-cycle perspective, focusing on production and utilization stages. Using empirical data—including the national hydrogen supply structure, fuel cell electric vehicle (FCEV) deployment, and hydrogen power generation records, the analysis compares hydrogen-based systems with conventional fossil fuel systems. Results show that current hydrogen production methods, mainly by-product and reforming-based hydrogen, emit an average of 6.31 kg CO2-eq per kg H2, providing modest GHG benefits over low-carbon fossil fuels but enabling up to a 77% reduction when replacing high-emission sources like anthracite. In the utilization phase, grey hydrogen-fueled stationary fuel cells emit more GHGs than the national grid. By contrast, FCEVs demonstrate a 58.2% GHG reduction compared to internal combustion vehicles, with regional variability. Importantly, this study omits the distribution phase (storage and transport) due to data heterogeneity and a lack of reliable datasets, which limits the comprehensiveness of the LCA. Future research should incorporate sensitivity or scenario-based analyses such as comparisons between pipeline transport and liquefied hydrogen transport to better capture distribution-phase impacts. The study concludes that the environmental benefit of hydrogen systems is highly dependent on production pathways, end-use sectors, and regional conditions. Strategic deployment of green hydrogen, regional optimization, and the explicit integration of distribution and storage in future assessments are essential to enhancing hydrogen’s contribution to national carbon neutrality goals. Full article
Show Figures

Figure 1

30 pages, 6333 KB  
Article
Phase-Specific Mixture of Experts Architecture for Real-Time NOx Prediction in Diesel Vehicles: Advancing Euro 7 Compliance
by Maksymilian Mądziel
Energies 2025, 18(21), 5853; https://doi.org/10.3390/en18215853 - 6 Nov 2025
Viewed by 245
Abstract
The implementation of Euro 7 emission standards demands advanced real-time NOx monitoring systems for diesel vehicles. Existing unified models inadequately capture phase-dependent emission mechanisms during cold-start, urban, and highway operation. This study develops a novel Mixture of Experts (MoE) architecture with data-driven [...] Read more.
The implementation of Euro 7 emission standards demands advanced real-time NOx monitoring systems for diesel vehicles. Existing unified models inadequately capture phase-dependent emission mechanisms during cold-start, urban, and highway operation. This study develops a novel Mixture of Experts (MoE) architecture with data-driven phase classification based on aftertreatment thermal dynamics. Real-world data from a Euro 6d commercial vehicle (3247 PEMS samples) were classified into three phases, cold (<70 °C coolant temperature), hot low-speed (<90 km/h), and hot high-speed (≥90 km/h), validated through t-SNE analysis (silhouette coefficient = 0.73). The key innovation integrates thermal–kinematic domain knowledge with specialized XGBoost regressors, achieving R2 = 0.918 and a 58% RMSE reduction versus unified models (RMSE = 1.825 mg/s). The framework operates within real-time constraints (1.5 ms inference latency), integrating autoencoder-based anomaly detection (95.2% sensitivity) and Model Predictive Control (11–13% NOx reduction). This represents the first systematic phase-specific NOx modeling framework with validated Euro 7 OBM compliance capability, providing both methodological advances in expert allocation strategies and practical solutions for next-generation emission control systems. Full article
(This article belongs to the Special Issue Challenges and Opportunities in the Global Clean Energy Transition)
Show Figures

Figure 1

23 pages, 2961 KB  
Article
Load Capacity Factor as Metrics for Land and Forests Sustainability Assessment in G20 Economies: Fresh Insight from Policy, Technology, and Economy Perspectives
by Guanglei Huang, Pao-Hsun Huang, Shoukat Iqbal Khattak and Anwar Khan
Forests 2025, 16(11), 1654; https://doi.org/10.3390/f16111654 - 30 Oct 2025
Viewed by 275
Abstract
Traditional environmental research remains affixed in fragmented metrics (e.g., CO2 emissions or ecological footprints) that undermine the systemic equilibrium between economic demand and ecological regeneration. Biocapacity, representing the capacity of lands (crop and grazing), forests, and other natural systems, is the backbone [...] Read more.
Traditional environmental research remains affixed in fragmented metrics (e.g., CO2 emissions or ecological footprints) that undermine the systemic equilibrium between economic demand and ecological regeneration. Biocapacity, representing the capacity of lands (crop and grazing), forests, and other natural systems, is the backbone of economic livelihoods and environmental resilience. Recent literature frequently calls for operationalizing models with robust environmental sustainability indicators, such as the load capacity factor (LF), a comprehensive compass that measures biocapacity (e.g., forests, croplands) relative to ecological footprint. For this purpose, the integrated model combined environment-related policies (regulations, ENRs), technologies (ERTs), sectoral structures, and LF, with the latest available data (2000–2022) of G20 economies. Results of the multiple tests, including feasible generalized least squares, sensitivity tests (alternate proxies), and panel-corrected standard errors, highlighted a paradox: even though ENRs and ERTs tend to improve environmental sustainability through forestation, land use, and green initiatives, the results showed adverse effects of both indicators on environmental sustainability (LF), reflecting a misalignment between policies and environmental outcomes. While industrialization, renewable energy use, and rising per capita income had enhanced environmental sustainability (LF) gains, structural frictions in the services, manufacturing, and trade sectors undermined these advantages, revealing diffusion lags and transitional lock-ins across sampled countries. With LF embedded as a new tool for sustainable governance of forests and land management, the paper advances three critical contributions: (i) uncovering paradoxical deteriorations in sustainability under misaligned policy and technology interventions, (ii) showing an imperative need for performance-based, adaptive, and innovation-financed policies, and (iii) demonstrating LF as a standard for positioning technology, economic transitions, and policy with ecological and cropland-forests resilience. Full article
Show Figures

Figure 1

23 pages, 1010 KB  
Article
AI-Driven Supply Chain Decarbonization: Strategies for Sustainable Carbon Reduction
by Mohamed Amine Frikha and Mariem Mrad
Sustainability 2025, 17(21), 9642; https://doi.org/10.3390/su17219642 - 30 Oct 2025
Viewed by 857
Abstract
Supply chains are a primary contributor to global greenhouse gas (GHG) emissions, rendering their decarbonization an essential dimension of sustainable development. Artificial intelligence (AI) provides a transformative pathway by facilitating proactive emission avoidance through operational efficiency, transparency, and resilience, in contrast to post-emission [...] Read more.
Supply chains are a primary contributor to global greenhouse gas (GHG) emissions, rendering their decarbonization an essential dimension of sustainable development. Artificial intelligence (AI) provides a transformative pathway by facilitating proactive emission avoidance through operational efficiency, transparency, and resilience, in contrast to post-emission mitigation approaches such as carbon capture. This study explores the potential of AI to support indirect carbon dioxide removal (CDR) via supply chain decarbonization, adopting a comparative case study methodology. Empirical evidence is drawn from Tunisian agri-food, textile, and port logistics sectors, based on multi-source datasets spanning 6–12 months and covering fleet sizes ranging from 40 to 250,000 units. Methodological robustness was ensured through the use of pre-intervention baselines, statistical imputation for missing data (<5%), and validation against 20% out-of-sample test sets. Results indicate that AI-enabled interventions achieved annual avoided emissions between 500 and 1500 tCO2 and reduced fuel consumption by 12–15%, with sensitivity analyses incorporating ±8–12% error margins. Among the approaches tested, hybrid models integrating operational and strategic layers demonstrated the most pronounced impact, aligning immediate efficiency gains with long-term systemic decarbonization. Furthermore, AI facilitates renewable energy integration, digital twin applications, and compliance with international sustainability frameworks, notably the Paris Agreement and the United Nations Sustainable Development Goals. Nevertheless, challenges related to data quality, computational demands, limited expertise, and organizational resistance constrain scalability. The findings underscore AI’s dual role as a technological enabler and systemic driver of supply chain decarbonization, advancing its positioning within global environmental sustainability transitions. Full article
Show Figures

Figure 1

23 pages, 2613 KB  
Article
Analytical Design and Hybrid Techno-Economic Assessment of Grid-Connected PV System for Sustainable Development
by Adebayo Sodiq Ademola and Abdulrahman AlKassem
Processes 2025, 13(11), 3412; https://doi.org/10.3390/pr13113412 - 24 Oct 2025
Viewed by 523
Abstract
Renewable energy sources can be of significant help to rural communities with inadequate electricity access. This study presents a comprehensive techno-economic assessment of a 500 kWp solar Photovoltaic (PV) energy system designed for Ibadan, Nigeria. A novel hybrid modeling framework was developed in [...] Read more.
Renewable energy sources can be of significant help to rural communities with inadequate electricity access. This study presents a comprehensive techno-economic assessment of a 500 kWp solar Photovoltaic (PV) energy system designed for Ibadan, Nigeria. A novel hybrid modeling framework was developed in which technical performance analysis was employed using PVSyst, whereas economic and optimization analysis was carried out using HOMER. Simulation outputs from PVSyst were integrated as inputs into HOMER, enabling a more accurate and consistent cross-platform assessment. Nigeria’s enduring energy crisis, marked by persistent grid unreliability and limited electricity access, necessitates need for exploration of sustainable alternatives. Among these, solar photovoltaic (PV) technology offers significant promise given the country’s abundant solar irradiation. The proposed system was evaluated using meteorological and load demand data. PVSyst simulations projected an annual energy yield of 714,188 kWh, with a 25-year lifespan yielding a performance ratio between 77% and 78%, demonstrating high operational efficiency. Complementary HOMER Pro analysis revealed a competitive levelized cost of energy (LCOE) of USD 0.079/kWh—substantially lower than the baseline grid-only cost of USD 0.724/kWh, and a Net Present Cost (NPC) of USD 6.1 million, reflecting considerable long-term financial savings. Furthermore, the system achieved compelling environmental outcomes, including an annual reduction of approximately 160,508 kg of CO2 emissions. Sensitivity analysis indicated that increasing the feed-in tariff (FiT) from USD 0.10 to USD 0.20/kWh improved the project’s financial viability, shortening payback periods to just 5.2 years and enhancing return on investment. Overall, the findings highlight the technical robustness, economic competitiveness, and environmental significance of deploying solar-based energy solutions, while reinforcing the urgent need for supportive energy policies to incentivize large-scale adoption. Full article
Show Figures

Figure 1

22 pages, 2436 KB  
Article
Enhancing the Sustainability of Asphalt Mixtures: A Focus on Operational Factors and Dataset for Environmental Product Declarations
by Rita Kleizienė, Gabriella Buttitta, Nicolás Carreño and Davide Lo Presti
Sustainability 2025, 17(20), 9349; https://doi.org/10.3390/su17209349 - 21 Oct 2025
Viewed by 371
Abstract
The demand for reliable Environmental Product Declarations (EPDs) of asphalt mixtures is growing, particularly as they are increasingly used in public road construction tenders across Europe. However, the reliability and comparability of EPDs remain limited due to two main challenges: (i) significant variability [...] Read more.
The demand for reliable Environmental Product Declarations (EPDs) of asphalt mixtures is growing, particularly as they are increasingly used in public road construction tenders across Europe. However, the reliability and comparability of EPDs remain limited due to two main challenges: (i) significant variability in dataset selection for key materials such as bitumen and aggregates, and (ii) uncertainty regarding the influence of operational factors, including aggregate moisture, mixing temperature, and transportation. The objective of this research is to assess the influence of dataset selection and operational parameters on the environmental performance of an asphalt mixture, focusing on improving the reliability of EPDs. Within this research, a Life Cycle Assessment (LCA) was conducted using a cradle-to-gate approach (A1–A3), including modules C1–C4 and D, in compliance with EN 15804:2019+A2:2020. Primary data were collected from an asphalt plant in Lithuania, while secondary data were obtained from the Ecoinvent database. The sensitivity analyses were performed to investigate the variation of data set choices and key operational factors that influence the environmental impact. The assessment was carried out using the Simapro 9.6 software and the EF 3.1 impact assessment method. The results indicate significant sensitivity to dataset selection, particularly for bitumen and dolomite production, leading to environmental impact variations of up to 41.8% and 35.3%, respectively. Among operational factors, reducing aggregate moisture from 5% to 3% by sheltering stockpiles helps achieve the highest environmental impact reduction (3.2% under the Aggregate Single Score), while lowering mixing temperatures to 130 °C resulted in a 1.6% decrease. Transportation mode selection contributed to emission variations between 1.8% and 6.7%, with long-distance aggregate transport increasing emissions by up to 14.6%. The research findings underscore the critical need for harmonizing dataset selection and optimizing operational processes to improve asphalt sustainability. Standardizing datasets is essential for ensuring fair and transparent EPD generation for asphalt mixtures, particularly when used in road construction tenders, as seen in several European countries. Future research should explore the integration of reclaimed asphalt (RA) and assess its potential environmental benefits. Full article
(This article belongs to the Section Environmental Sustainability and Applications)
Show Figures

Figure 1

28 pages, 6502 KB  
Article
Energy Conservation and Production Efficiency Enhancement in Herbal Medicine Extraction: Self-Adaptive Decision-Making Boiling Judgment via Acoustic Emission Technology
by Jing Lan, Hao Fu, Haibin Qu and Xingchu Gong
Pharmaceuticals 2025, 18(10), 1556; https://doi.org/10.3390/ph18101556 - 16 Oct 2025
Viewed by 356
Abstract
Background: Accurately detecting the onset of saturated boiling in herbal medicine extraction processes is critical for improving production efficiency and reducing energy consumption. However, the traditional monitoring methods based on temperature suffer from time delays. To address the challenge, acoustic emission (AE) signals [...] Read more.
Background: Accurately detecting the onset of saturated boiling in herbal medicine extraction processes is critical for improving production efficiency and reducing energy consumption. However, the traditional monitoring methods based on temperature suffer from time delays. To address the challenge, acoustic emission (AE) signals were used in this study owing to its sensitivity to bubble behavior. Methods: An AE signal acquisition system was constructed for herbal extraction monitoring. Characteristics of AE signals at different boiling stages were analyzed in pure water systems with and without herbs. The performance of AE-based and temperature-based recognition of boiling stages was compared. To enhance applicability in different herb extraction systems, multivariate statistical analysis was adopted to compress spectral–frequency information into Hotelling’s T2 and SPE statistics. For real-time monitoring, a self-adaptive decision-making boiling judgment method (BoilStart) was proposed. To evaluate the robustness, the performance of BoilStart under different conditions was investigated, including extraction system mass and heating medium temperature. Furthermore, BoilStart was applied to a lab-scale extraction process of Dabuyin Wan, which is a practical formulation, to assess its performance in energy conservation and efficiency improvement. Results: AE signal in the 75–100 kHz frequency band could reflect the boiling states of herbal medicine extraction. It was more sensitive to the onset of saturated boiling than the temperature signal. Compared with SPE, Hotelling’s T2 was identified as the optimal indicator with higher accuracy. BoilStart could adaptively monitor saturated boiling across diverse herbal systems. The absolute error of BoilStart’s boiling determination ranged from 1.5 min to 2.0 min. The increasing-temperature time was reduced by about 22–36%. For the extraction process of Dabuyin Wan, after adopting BoilStart, the increasing-temperature time was reduced by about 29%, and the corresponding energy consumption was lowered by about 26%. Conclusions: The first AE-based method for precise boiling state detection in herbal extraction was established. BoilStart’s model-free adaptability met industrial demands for multi-herb compatibility. This offered a practical solution to shorten ineffective heating phases and reduce energy consumption. Full article
(This article belongs to the Section Pharmaceutical Technology)
Show Figures

Graphical abstract

17 pages, 1685 KB  
Article
Sensitivity Factors of Thermally Regenerative Electrochemical Cycle Systems Using Fuel Cell’s Waste Heat
by Ákos Bereczky and Emese Lévai
Energies 2025, 18(20), 5422; https://doi.org/10.3390/en18205422 - 14 Oct 2025
Viewed by 568
Abstract
Recovering waste heat is widely seen as an effective way to improve energy efficiency. Because of its potential to lower both energy costs and greenhouse gas emissions, it has been used for many years in industries with high energy demand. While several technologies [...] Read more.
Recovering waste heat is widely seen as an effective way to improve energy efficiency. Because of its potential to lower both energy costs and greenhouse gas emissions, it has been used for many years in industries with high energy demand. While several technologies are already available for this purpose, most of them require relatively high temperatures to achieve high performance. One approach that can make use of lower temperature heat sources is the thermally regenerative electrochemical cycle (TREC). Systems based on this principle can be a cost-effective option for capturing heat from sources such as fuel cells, although their efficiency depends on several factors. This study applies parameter sensitivity analysis to support more efficient system design. The results show that chemical properties, especially the thermal coefficients of redox pairs, have the strongest effect on performance. Geometric aspects, particularly the size of the active membrane area, also play an important role. Full article
(This article belongs to the Special Issue Advances in Hydrogen Energy IV)
Show Figures

Graphical abstract

19 pages, 557 KB  
Article
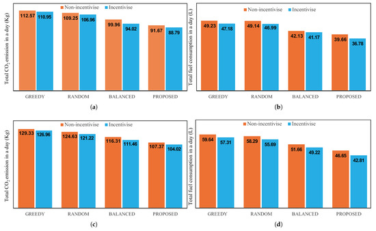
Incentive-Based Peak Demand Regulation with Intelligent Parking Management for Enhanced Sustainability
by Nazmus Sakib, A. S. M. Bakibillah, Md Abdus Samad Kamal and Kou Yamada
Sustainability 2025, 17(20), 9093; https://doi.org/10.3390/su17209093 - 14 Oct 2025
Viewed by 364
Abstract
Urban parking facilities often experience severe peak-period congestion, resulting in delays, fuel consumption, and emissions. This paper develops an incentive-based intelligent parking management system to address the challenges of peak demand by encouraging drivers with flexible schedules to shift their parking from peak [...] Read more.
Urban parking facilities often experience severe peak-period congestion, resulting in delays, fuel consumption, and emissions. This paper develops an incentive-based intelligent parking management system to address the challenges of peak demand by encouraging drivers with flexible schedules to shift their parking from peak to off-peak times. The proposed incentive model regulates peak demand, which has been calibrated using historical data on parking demand and occupancy. The model incorporates empirically derived behavioral parameters (from field surveys) to capture drivers’ sensitivity to incentives. The system’s performance is evaluated via discrete-time simulation using real-world parking data from a Japanese supermarket, considering both weekday and weekend demand patterns. The incentive mechanism redistributed approximately 6% of the total parking demand from peak to off-peak periods, markedly reducing peak congestion. This demand shift resulted in substantial sustainability benefits: CO2 emissions decreased by approximately 21% on weekdays (19.5% on weekends), and fuel consumption decreased by about 25% on weekdays (28% on weekends) compared to a baseline scenario without incentives. The prioritizing of electric cars (EVs) and hybrid electric vehicles (HEVs) significantly enhanced emission reductions by promoting cleaner vehicles in the allocation process. This behavioral demand-management strategy offers a practical and scalable solution to enhance urban mobility and sustainability, demonstrating how modest incentives can yield substantial benefits in terms of traffic flow and emissions mitigation. Full article
(This article belongs to the Section Sustainable Management)
Show Figures

Figure 1

20 pages, 1006 KB  
Article
Multiobjective Sustainability Optimisation of a Delayed Coking Unit Processing Heavy Mexican Crude Using Aspen Plus
by Judith Teresa Fuentes-García and Martín Rivera-Toledo
Processes 2025, 13(10), 3151; https://doi.org/10.3390/pr13103151 - 1 Oct 2025
Viewed by 513
Abstract
The delayed coking unit (DCU) is a critical technology in Mexican refineries for upgrading heavy crude oil into lighter, high-value products. Despite its economic relevance, the process is energy-intensive, generates substantial emissions, and produces significant coke, challenging its sustainability. This study proposes a [...] Read more.
The delayed coking unit (DCU) is a critical technology in Mexican refineries for upgrading heavy crude oil into lighter, high-value products. Despite its economic relevance, the process is energy-intensive, generates substantial emissions, and produces significant coke, challenging its sustainability. This study proposes a multi-objective optimization framework to enhance DCU performance by integrating Aspen Plus® v.12.1 simulations with sustainability metrics. Five key indicators were considered: Global Warming Potential (GWP), Specific Energy Intensity (SEI), Mass Intensity (MI), Reaction Mass Efficiency (RME), and Product Yield. A validated Aspen Plus® model was combined with sensitivity analysis to identify critical decision variables, which were optimized through the ϵ-constraint method. Strategic adjustments in reflux flows, split ratios, and column operating conditions improved separation efficiency and reduced energy demand. Results show GWP reductions of 15–25% and SEI improvements of 5–18% for light and heavy gas oils, with smaller gains in MI and trade-offs in RME. Product yield was preserved under optimized conditions, ensuring economic feasibility. A key limitation is that this study did not model coking reactions; instead, optimization focused on the separation network, using reactor effluent as a fixed input. Despite this constraint, the methodology demonstrates a replicable path to improve refining sustainability. Full article
(This article belongs to the Section Chemical Processes and Systems)
Show Figures

Figure 1

37 pages, 4235 KB  
Article
Optimization-Based Exergoeconomic Assessment of an Ammonia–Water Geothermal Power System with an Elevated Heat Source Temperature
by Asli Tiktas
Energies 2025, 18(19), 5195; https://doi.org/10.3390/en18195195 - 30 Sep 2025
Viewed by 603
Abstract
Geothermal energy has been recognized as a promising renewable resource for sustainable power generation; however, the efficiency of conventional geothermal power plants has remained relatively low, and high investment costs have limited their competitiveness with other renewable technologies. In this context, the present [...] Read more.
Geothermal energy has been recognized as a promising renewable resource for sustainable power generation; however, the efficiency of conventional geothermal power plants has remained relatively low, and high investment costs have limited their competitiveness with other renewable technologies. In this context, the present study introduced an innovative geothermal electricity generation system aimed at enhancing energy efficiency, cost-effectiveness, and sustainability. Unlike traditional configurations, the system raised the geothermal source temperature passively by employing advanced heat transfer mechanisms, eliminating the need for additional energy input. Comprehensive energy, exergy, and exergoeconomic analyses were carried out, revealing a net power output of 43,210 kW and an energy efficiency of 30.03%, notably surpassing the conventional Kalina cycle’s typical 10.30–19.48% range. The system’s annual electricity generation was 11,138.53 MWh, with an initial investment of USD 3.04 million and a short payback period of 3.20 years. A comparative assessment confirmed its superior thermoeconomic performance. In addition to its technoeconomic advantages, the environmental performance of the proposed configuration was quantified. A streamlined life cycle assessment (LCA) was performed with a functional unit of 1 MWh of net electricity. The proposed system exhibited a carbon footprint of 20–60 kg CO2 eq MWh−1 (baseline: 45 kg CO2 eq MWh−1), corresponding to annual emissions of 0.22–0.67 kt CO2 eq for the simulated output of 11,138.53 MWh. Compared with coal- and gas-fired plants of the same capacity, avoided emissions of approximately 8.6 kt and 5.0 kt CO2 eq per year were achieved. The water footprint was determined as ≈0.10 m3 MWh−1 (≈1114 m3 yr−1), which was substantially lower than the values reported for fossil technologies. These findings confirmed that the proposed system offered a sustainable alternative to conventional geothermal and fossil-based electricity generation. Multi-objective optimization using NSGA-II was carried out to maximize energy and exergy efficiencies while minimizing total cost. Key parameters such as turbine inlet temperature (459–460 K) and ammonia concentration were tuned for performance stability. A sensitivity analysis identified the heat exchanger, the first condenser (Condenser 1), and two separators (Separator 1, Separator 2) as influential on both performance and cost. The exergoeconomic results indicated Separator 1, Separator 2, and the turbine as primary locations of exergy destruction. With an LCOE of 0.026 USD/kWh, the system emerged as a cost-effective and scalable solution for sustainable geothermal power production without auxiliary energy demand. Full article
Show Figures

Figure 1

17 pages, 2670 KB  
Article
Circular Urban Metabolism in Action: The Design of the Promenade Nardal, Paris
by Claire Doussard, Vanessa Stassi, Pauline Detavernier and Yoeun Chung
Urban Sci. 2025, 9(10), 394; https://doi.org/10.3390/urbansci9100394 - 30 Sep 2025
Viewed by 637
Abstract
As urban areas exert profound pressures on the natural environment, driving significant resource consumption and waste production, designers need to rethink the way urban projects are being developed. Therefore, this article advances the operationalization of the Circular Urban Metabolism (CUM) framework by analyzing [...] Read more.
As urban areas exert profound pressures on the natural environment, driving significant resource consumption and waste production, designers need to rethink the way urban projects are being developed. Therefore, this article advances the operationalization of the Circular Urban Metabolism (CUM) framework by analyzing a design case study: the Promenade Nardal in Paris. While CUM integrates the systemic material flow analysis of Urban Metabolism with the restorative strategies of the Circular Economy, it remains limited in its spatial articulation and applicability at the scale of urban design. Through a mixed-methods approach combining Life Cycle Assessment, spatial analysis, and qualitative inquiry, the article compares two circular design strategies, associated with the reuse of paving stones and the recycling of glass to produce Misapor, with conventional alternatives. Results demonstrate that stone reuse reduced CO2 emissions, energy demand, and water use, while Misapor showed energy and water advantages but slightly higher CO2 emissions due to production and transport. Beyond quantitative metrics, the study reveals the distinct design efforts and institutional frictions induced by circular practices, especially reuse, which requires adaptive aesthetics, labor-intensive design, and negotiation with technical norms. By spatializing material flows and foregrounding design agency, the article refines CUM as a situated and scalable framework, highlighting the need for context-sensitive, materially differentiated strategies in circular urban design. Full article
Show Figures

Figure 1

Back to TopTop