Sign in to use this feature.

Years

Between: -

Subjects

remove_circle_outline
remove_circle_outline
remove_circle_outline
remove_circle_outline
remove_circle_outline
remove_circle_outline
remove_circle_outline
remove_circle_outline
remove_circle_outline

Journals

Article Types

Countries / Regions

Search Results (110)

Search Parameters:
Keywords = electromagnetic wave shielding effectiveness

Order results
Result details
Results per page
Select all
Export citation of selected articles as:
15 pages, 5010 KB  
Article
Aluminum-Foil/Polyester Core-Spun Yarns Conductive Fabric Enabling High Electromagnetic Interference Shielding
by Yanyan Sun, Xiaoyu Han, Kun Zhao, Weili Zhao, Zhitong He, Zhengyang He, Yingtie Mo, Changliu Chu, Toshiaki Natsuki and Jun Natsuki
Polymers 2026, 18(1), 145; https://doi.org/10.3390/polym18010145 - 5 Jan 2026
Viewed by 352
Abstract
With the rapid advancement of modern electronic devices and wireless communication systems, electromagnetic pollution has become a prominent issue, prompting the development of high-performance electromagnetic interference (EMI) shielding materials. Although traditional metal shielding materials exhibit excellent conductivity, there are many limitations such as [...] Read more.
With the rapid advancement of modern electronic devices and wireless communication systems, electromagnetic pollution has become a prominent issue, prompting the development of high-performance electromagnetic interference (EMI) shielding materials. Although traditional metal shielding materials exhibit excellent conductivity, there are many limitations such as high weight, poor flexibility, susceptibility to corrosion, and high cost. To overcome these challenges, in this study, we design and fabricate core-spun yarns using polyester filaments as the core and an aluminum-foil-wrapped layer as the conductive outer component, and further weave them into three conductive fabrics with different structural parameters. Through systematic investigation of their surface morphology, air permeability, electrical properties, and EMI shielding performance, DT5W27 demonstrates optimal overall performance: electrical conductivity of 2722.64 S·m−1, shielding effectiveness of 37.29 dB, and electromagnetic wave attenuation rate of 99.99%. Specifically, even after 100 bending, twisting cycles, and exposure to solutions with pH values ranging from 3 to 9, the fabric maintains high shielding performance. The fabrication process is facile and low cost, and these composites have good flexibility, outstanding EMI shielding performance, exceptional mechanical durability, and chemical stability. These advantages make them have broad application potential in protective clothing and lightweight shielding materials. Full article
Show Figures

Graphical abstract

18 pages, 10644 KB  
Article
Synergistic Integration of Polypyrrole, Graphene Oxide, and Silver Nanowires into Flexible Polymeric Films for EMI Shielding Applications
by Brankica Gajić, Marija Radoičić, Muhammad Yasir, Warda Saeed, Silvester Bolka, Blaž Nardin, Jelena Potočnik, Danica Bajuk-Bogdanović, Gordana Ćirić-Marjanović, Zoran Šaponjić and Svetlana Jovanović
Molecules 2025, 30(21), 4221; https://doi.org/10.3390/molecules30214221 - 29 Oct 2025
Viewed by 789
Abstract
The remarkable growth of high-frequency electronic systems has raised concerns about electromagnetic interference (EMI), emphasizing the need for lightweight and efficient shielding materials. In this study, ternary composites based on polypyrrole (PPy), graphene oxide (GO), and silver nanowires (AgNWs) were synthesized through chemical [...] Read more.
The remarkable growth of high-frequency electronic systems has raised concerns about electromagnetic interference (EMI), emphasizing the need for lightweight and efficient shielding materials. In this study, ternary composites based on polypyrrole (PPy), graphene oxide (GO), and silver nanowires (AgNWs) were synthesized through chemical oxidative polymerization of pyrrole monomer and embedded into polycaprolactone (PCL) matrices to create flexible films. Structural and morphological analyses confirmed the successful incorporation of all components, with scanning electron microscopy showing granular PPy, sheet-like GO, and fibrous AgNWs, while spectroscopic studies indicated strong interfacial interactions without damaging the PPy backbone. Thermomechanical analysis revealed that GO increased stiffness and defined the glass transition, whereas AgNWs improved toughness and energy dissipation; their combined use resulted in balanced properties. EMI shielding effectiveness (SE) was tested in the X-band (8–12 GHz). Pure PPy exhibited poor shielding ability, while the addition of GO and AgNWs significantly enhanced performance. The highest EMI SE values were observed in PPy/GO–AgNWs composites, with an average SE of 16.05 dB at 20 wt% of the composite in the PCL matrix, equivalent to about 84.4% attenuation of incident waves. These results demonstrate that the synergistic integration of GO and AgNWs into PPy matrices enables the creation of lightweight, flexible films with advanced EMI shielding properties, showing great potential for next-generation electronic and aerospace applications. Full article
(This article belongs to the Special Issue Nanoparticles for Environmental Applications)
Show Figures

Figure 1

25 pages, 10406 KB  
Article
Evaluating the Effectiveness of High-Frequency Ground-Penetrating Radar in Identifying Active Layer Thickness in the Da Xing’anling Mountains
by Lei Yang, Yunhu Shang, Changlei Dai, Yang Liu, Guoyu Li, Kai Gao, Yi Wu and Yiru Wei
Remote Sens. 2025, 17(20), 3484; https://doi.org/10.3390/rs17203484 - 20 Oct 2025
Cited by 1 | Viewed by 1032
Abstract
Ground-penetrating radar (GPR), due to its efficiency and non-invasive nature, has become an important tool for detecting the permafrost table, overcoming the limited spatial coverage and high costs associated with drilling and in situ temperature monitoring. Compared with the commonly used 50–100 MHz [...] Read more.
Ground-penetrating radar (GPR), due to its efficiency and non-invasive nature, has become an important tool for detecting the permafrost table, overcoming the limited spatial coverage and high costs associated with drilling and in situ temperature monitoring. Compared with the commonly used 50–100 MHz antennas, the potential of high-frequency antennas to improve detection accuracy and interface resolution has not been fully explored. To address this gap, this study introduces a multi-strategy interface identification method incorporating envelope analysis. Field experiments were conducted in the island-like permafrost zone of the Da Xing’anling Mountains, Heilongjiang Province, using shielded GPR systems operating at 250 MHz and 500 MHz to detect the permafrost table. Potential interfaces were extracted using centroid and edge-detection algorithms and validated against ground temperature observations. The results indicate that: (1) integrating GPR with multi-source data enables accurate estimation of active layer thickness, and the envelope-based multi-strategy approach is effective for interface identification; (2) the 250 MHz antenna is better suited for capturing broader subsurface structures, while the 500 MHz antenna provides higher resolution for shallow layers—combining the two enhances overall interpretive quality; and (3) snow cover significantly affects electromagnetic wave propagation, reducing the accuracy of radar detection. This study provides valuable guidance for engineering investigations, site selection, and foundation design in permafrost regions, contributing to improved precision and efficiency in GPR-based detection of the permafrost table. Full article
(This article belongs to the Special Issue Remote Sensing of Water Dynamics in Permafrost Regions)
Show Figures

Figure 1

23 pages, 13741 KB  
Article
Experimental and Numerical Investigation of Electromagnetic Wave Propagation Through Conductive Multilayer Coatings
by Vanja Mandrić, Slavko Rupčić, Bogdan Pavković and Ismail Baxhaku
Appl. Sci. 2025, 15(20), 11201; https://doi.org/10.3390/app152011201 - 19 Oct 2025
Viewed by 811
Abstract
The proliferation of wireless networking solutions, which are omnipresent in our daily lives, has led to increased exposure to the energy of electromagnetic (EM) waves in the higher frequency range, raising concerns about their impact on human health. Investigating the propagation of EM [...] Read more.
The proliferation of wireless networking solutions, which are omnipresent in our daily lives, has led to increased exposure to the energy of electromagnetic (EM) waves in the higher frequency range, raising concerns about their impact on human health. Investigating the propagation of EM waves through multilayer structures can shed light on the future direction of effective protection and shielding solutions. The paper provides a comparative study that examines EM wave propagation through a multilayered composite structure. The structure combines Plexiglas plates (acrylic, polymethyl methacrylate), a dielectric material, with one or more layers of conductive YSHIELD HSF54 paint to reduce EM field intensity. The paint’s carbon-based particle composition promises effective field attenuation. Our side-by-side comparative real-world measurements and simulation results showcase correlation. We further demonstrated the benefits of applying a layer of conductive YSHIELD HSF54 paint over Plexiglass to form a composite structure, with the initial layer contributing to attenuation of approximately 20 dB. Finally, the results were validated by calculating Morozov’s first- and second-order analytical approximations for the transmission parameter S21—the calculated values accurately trace both the simulations and measurements. The research concludes that shielding, which is used as a method of protection against EM radiation in many industrial devices, can also be used in procedures to protect human habitats by selecting new, innovative, and affordable materials and structures. Full article
(This article belongs to the Section Electrical, Electronics and Communications Engineering)
Show Figures

Figure 1

17 pages, 3544 KB  
Article
A New Route to Tune the Electrical Properties of Graphene Oxide: A Simultaneous, One-Step N-Doping and Reduction as a Tool for Its Structural Transformation
by Andjela Stefanović, Muhammad Yasir, Gerard Tobías-Rossell, Stefania Sandoval Rojano, Dušan Sredojević, Dejan Kepić, Duška Kleut, Warda Saeed, Miloš Milović, Danica Bajuk-Bogdanović and Svetlana Jovanović
Molecules 2025, 30(17), 3579; https://doi.org/10.3390/molecules30173579 - 1 Sep 2025
Cited by 1 | Viewed by 1768
Abstract
The presence of secondary electromagnetic waves (EMWs) results in EMW pollution and a large need for EMW-shielding materials. Therefore, new, lightweight, flexible, chemically resistant, and durable EMW shielding materials are demanded, while graphene and its derivatives meet the above-mentioned requirements. Among graphene derivatives, [...] Read more.
The presence of secondary electromagnetic waves (EMWs) results in EMW pollution and a large need for EMW-shielding materials. Therefore, new, lightweight, flexible, chemically resistant, and durable EMW shielding materials are demanded, while graphene and its derivatives meet the above-mentioned requirements. Among graphene derivatives, N-doped graphene exhibits promising electrical properties for shielding applications, although achieving sufficient N-incorporation in the graphene sheets remains a challenge. Herein, we produced graphene oxide using the modified Hummers’ method (GO) and the electrochemical exfoliation of highly ordered pyrolytic graphite. These two GO samples were thermally treated at 500 °C and 800 °C under a pure NH3 gas for 1 h. UV-Vis, infrared, and Raman spectroscopies and X-ray diffraction, elemental, and thermogravimetric analyses were used to investigate the structural properties of modified GO. One of the highest levels of N-doping of GO was measured (11.25 ± 0.08 at%). The modification under a NH3 atmosphere leads to simultaneous N-doping and reduction of graphene, resulting in the formation of electrically conductive and EMW shielding materials. Density functional theory (DFT) revealed the effect of heteroatoms on the energy band gap of GO. The cluster corresponding to N-doped rGO had a reduced bandgap of 0.77 eV. Full article
Show Figures

Figure 1

11 pages, 1129 KB  
Article
Shielding Effectiveness Evaluation of Wall-Integrated Energy Storage Devices
by Leonardo Sandrolini and Mattia Simonazzi
Electronics 2025, 14(17), 3385; https://doi.org/10.3390/electronics14173385 - 26 Aug 2025
Viewed by 585
Abstract
A homogenisation procedure for energy-buffering structural layers with integrated electrical energy storage systems (capacitors) is described with the aim of calculating their shielding effectiveness to the electromagnetic waves when they are installed inside building walls. In fact, these storage systems may attenuate electromagnetic [...] Read more.
A homogenisation procedure for energy-buffering structural layers with integrated electrical energy storage systems (capacitors) is described with the aim of calculating their shielding effectiveness to the electromagnetic waves when they are installed inside building walls. In fact, these storage systems may attenuate electromagnetic fields in the frequency ranges employed by mobile telephony, radio broadcasting, and wireless data transmission, thus impairing the operation of Internet of Things infrastructures. The capacitors inside the individual energy-buffering modules have a multilayered structure, in which the layers have very small thicknesses, making an analytical solution of the electromagnetic field for this kind of object practically impossible. Similarly, numerical solutions may not be practical due to the very small thickness of the layers compared to the overall object size. Therefore, this paper presents a simple and effective analytical method to model multilayered structures consisting of homogenising the whole capacitor, which can then be treated as a unique block of material with fictitious (but effective) electric and magnetic parameters. The method is based on multi-section transmission lines, and a quick and reliable analytical methodology is proposed to evaluate the shielding capabilities using the homogenised capacitor’s effective parameters. Moreover, experimental measurements on a real prototype have also been carried out to validate the methodology. Results show that the trend of the simulated and measured SE is the same, proving that the method can be employed to obtain a conservative estimation of the SE from numerical simulations. Full article
Show Figures

Figure 1

34 pages, 1294 KB  
Perspective
Electromagnetic Radiation Shielding Using Carbon Nanotube and Nanoparticle Composites
by Bianca Crank, Brayden Fricker, Andrew Hubbard, Hussain Hitawala, Farhana Islam Muna, Olalekan Samuel Okunlola, Alexandra Doherty, Alex Hulteen, Logan Powers, Gabriel Purtell, Prakash Giri, Henry Spitz and Mark Schulz
Appl. Sci. 2025, 15(15), 8696; https://doi.org/10.3390/app15158696 - 6 Aug 2025
Cited by 5 | Viewed by 4325
Abstract
This paper showcases current developments in the use of carbon nanotube (CNT) and nanoparticle-based materials for electromagnetic radiation shielding. Electromagnetic radiation involves different types of radiation covering a wide spectrum of frequencies. Due to their good electrical conductivity, small diameter, and light weight, [...] Read more.
This paper showcases current developments in the use of carbon nanotube (CNT) and nanoparticle-based materials for electromagnetic radiation shielding. Electromagnetic radiation involves different types of radiation covering a wide spectrum of frequencies. Due to their good electrical conductivity, small diameter, and light weight, individual CNTs are good candidates for shielding radio and microwaves. CNTs can be organized into macroscale forms by dispersing them in polymers or by wrapping CNT strands into fabrics or yarn. Magnetic nanoparticles can also be incorporated into the CNT fabric to provide excellent shielding of electromagnetic waves. However, for shielding higher-frequency X-ray and gamma ray radiation, the situation is reversed. Carbon’s low atomic number means that CNTs alone are less effective than metals. Thus, different nanoparticles such as tungsten are added to the CNT materials to provide improved shielding of photons. The goal is to achieve a desired combination of light weight, flexibility, safety, and multifunctionality for use in shielding spacecraft, satellites, nuclear reactors, and medical garments and to support lunar colonization. Future research should investigate the effect of the size, shape, and configuration of nanoparticles on radiation shielding. Developing large-scale low-cost methods for the continuous manufacturing of lightweight multifunctional nanoparticle-based materials is also needed. Full article
(This article belongs to the Section Nanotechnology and Applied Nanosciences)
Show Figures

Figure 1

15 pages, 4032 KB  
Article
The Effect of Microstructural Changes Produced by Heat Treatment on the Electromagnetic Interference Shielding Properties of Ti-Based MXenes
by Xue Han, Jae Jeong Lee, Ji Soo Kyoung and Yun Sung Woo
Nanomaterials 2025, 15(9), 676; https://doi.org/10.3390/nano15090676 - 29 Apr 2025
Cited by 1 | Viewed by 1082
Abstract
Ti-based MXenes such as Ti3C2TX and Ti2CTX have attracted considerable attention because of their superior electromagnetic interference (EMI) shielding effectiveness compared to other EMI shielding materials, especially for high electromagnetic (EM) wave absorption. In this [...] Read more.
Ti-based MXenes such as Ti3C2TX and Ti2CTX have attracted considerable attention because of their superior electromagnetic interference (EMI) shielding effectiveness compared to other EMI shielding materials, especially for high electromagnetic (EM) wave absorption. In this study, we investigated the microstructural changes produced by heat treatment and their effect on the EMI shielding properties of Ti-based MXenes. Ti3C2TX and Ti2CTX films were prepared using vacuum filtration and annealed at temperatures up to 300 °C. The microstructures and chemical bonding properties of these heat-treated Ti3C2TX and Ti2CTX films were analyzed, and the EMI shielding effectiveness was measured in the X-band and THz frequency range. The porous Ti3C2TX film showed higher EM absorption than that calculated using the transfer matrix method. On the other hand, the Ti2CTX films had a more densely stacked structure and lower EM absorption. As the heat treatment temperature increased, Ti3C2TX developed a more porous structure without significant changes in its chemical bonding. Its EM absorption per unit of thickness increased up to 6 dB/μm, while the reflectance remained constant at less than 1 dB/μm after heat treatment. This suggested that the heat treatment of Ti-based MXenes can increase the porosity of the film by removing residual organics without changing the chemical bonds, thereby increasing electromagnetic shielding through absorption. Full article
(This article belongs to the Section 2D and Carbon Nanomaterials)
Show Figures

Graphical abstract

12 pages, 9413 KB  
Article
Design of a Miniaturized and Polarization-Independent Frequency-Selective Surface for Targeted EMI Shielding
by Muhammad Idrees, Yejun He, Youquan Wen and Abdul Majeed
Appl. Sci. 2025, 15(8), 4534; https://doi.org/10.3390/app15084534 - 20 Apr 2025
Cited by 4 | Viewed by 1814
Abstract
In this article, a miniaturized frequency-selective surface (FSS)-based electromagnetic shield is investigated for EMI mitigation in the X-band. The FSS comprises a convoluted conducting loop designed over an FR-4 substrate. It operates at 10 GHz X-band frequency and offers an effective shielding of [...] Read more.
In this article, a miniaturized frequency-selective surface (FSS)-based electromagnetic shield is investigated for EMI mitigation in the X-band. The FSS comprises a convoluted conducting loop designed over an FR-4 substrate. It operates at 10 GHz X-band frequency and offers an effective shielding of at least 33 dB. It reveals rejection bandwidths of 26% for the TE and TM wave modes at normal incidence. Moreover, it accomplishes polarization-insensitive and angularly stable spectral responses owing to its structural symmetry and compact size. In addition, an equivalent circuit model (ECM) and a finite prototype of the shield are developed to verify EM simulations. A comparison of the results indicates that the FSS offers wide angular stability and excellent shielding performance, which makes it a suitable candidate for applications requiring targeted EMI mitigation. Full article
(This article belongs to the Special Issue Recent Advances in Magnetic Shielding)
Show Figures

Figure 1

24 pages, 6071 KB  
Review
New Electromagnetic Interference Shielding Materials: Biochars, Scaffolds, Rare Earth, and Ferrite-Based Materials
by Dragana Marinković, Slađana Dorontić, Dejan Kepić, Kamel Haddadi, Muhammad Yasir, Blaž Nardin and Svetlana Jovanović
Nanomaterials 2025, 15(7), 541; https://doi.org/10.3390/nano15070541 - 2 Apr 2025
Cited by 10 | Viewed by 6369
Abstract
In this review, a comprehensive systematic study of the research background, developments, classification, trends, and advances over the past few years in research on new electromagnetic interference (EMI) shielding materials will be described. The following groups of new materials for EMI shielding will [...] Read more.
In this review, a comprehensive systematic study of the research background, developments, classification, trends, and advances over the past few years in research on new electromagnetic interference (EMI) shielding materials will be described. The following groups of new materials for EMI shielding will be discussed: biochars, scaffolds, rare earth, and ferrite-based materials. We selected two novel, organic, lightweight materials (biochars and scaffolds) and compared their shielding effectiveness to inorganic materials (ferrite and rare earth materials). This article will broadly discuss the EMI shielding performance, the basic principles of EMI shielding, the preparation methods of selected materials, and their application prospects. Biochars are promising, eco-friendly, sustainable, and renewable materials that can be potentially used as a filter in polymer composites for EMI shielding, along with scaffolds. Scaffolds are new-generation, easy-to-manufacture materials with excellent EMI shielding performance. Rare earth (RE) plays an important role in developing high-performance electromagnetic wave absorption materials due to the unique electronic shell configurations and higher ionic radii of RE elements. Ferrite-based materials are often combined with other components to achieve enhanced EMI shielding, mechanical strength, and electrical and thermal conductivity. Finally, the current challenges and future outlook of new EMI shielding materials will be highlighted in the hope of obtaining guidelines for their future development and application. Full article
Show Figures

Graphical abstract

13 pages, 2710 KB  
Article
High-Performance NiO/PANI/ZnNb2O6 Composites for EMI Shielding: Structural Insights and Microwave Shielding Effectiveness in the Sub-8 GHz Range
by Mehriban Emek, Ethem İlhan Şahin and Jamal-Eldin F. M. Ibrahim
Appl. Sci. 2025, 15(7), 3689; https://doi.org/10.3390/app15073689 - 27 Mar 2025
Cited by 5 | Viewed by 1081
Abstract
The increasing demand for high-frequency applications and the widespread use of electromagnetic (EM) waves in communication systems necessitate the development of effective electromagnetic interference (EMI) shielding materials. This study investigates the structural and shielding effectiveness properties of novel polyaniline (PANI)-based NiO/ZnNb2O [...] Read more.
The increasing demand for high-frequency applications and the widespread use of electromagnetic (EM) waves in communication systems necessitate the development of effective electromagnetic interference (EMI) shielding materials. This study investigates the structural and shielding effectiveness properties of novel polyaniline (PANI)-based NiO/ZnNb2O6 composites for sub-8 GHz applications. NiO and ZnNb2O6 were synthesized via conventional solid-state reactions and combined with PANI to form composites with varying compositions. X-ray diffraction (XRD) confirmed the successful formation of single-phase NiO and ZnNb2O6, while scanning electron microscopy (SEM) revealed well-defined microstructures, contributing to enhanced shielding efficiency. Shielding effectiveness (SE) measurements were performed across the 0–8 GHz frequency range using a vector network analyzer. Among the compositions tested, the epoxy-based NiO-ZnNb2O6 (75–25% by weight) with a 1:1 PANI ratio exhibited the highest SE value of −41.16 dB (decibels) at 6.24 GHz, demonstrating superior attenuation of EM waves. The observed shielding efficiency is attributed to multiple reflection effects, dipole interactions, and the conductive network formed by PANI. These findings highlight the potential of NiO/PANI/ZnNb2O6 composites as cost-effective, high-performance EMI shielding materials for next-generation microwave communication and electronic applications. Further optimization and hybridization approaches are recommended to enhance performance for broader frequency bands. Full article
Show Figures

Figure 1

18 pages, 14810 KB  
Article
Electromagnetic Shielding Effectiveness of Carbon Nanotubes Hydrogel Nanocomposites in the Frequency Range from 1.7 to 6.0 GHz
by Moaz M. Altarawneh
J. Compos. Sci. 2025, 9(4), 150; https://doi.org/10.3390/jcs9040150 - 22 Mar 2025
Viewed by 1604
Abstract
Carbon nanotube-based nanocomposites are being increasingly utilized in materials for electromagnetic shielding purposes due to their exceptional electrical and mechanical properties. The current study optimizes a simple procedure to prepare multi-wall carbon nanotubes (MWCNTs)-based hydrogel nanocomposites out of water, gelatin, and glycerol. The [...] Read more.
Carbon nanotube-based nanocomposites are being increasingly utilized in materials for electromagnetic shielding purposes due to their exceptional electrical and mechanical properties. The current study optimizes a simple procedure to prepare multi-wall carbon nanotubes (MWCNTs)-based hydrogel nanocomposites out of water, gelatin, and glycerol. The content ratio of each component in the hydrogel composite is carefully selected to optimize the dielectric properties over the electromagnetic (EM) wave frequency of 0.5 to 20 GHz. The hydrogel nanocomposites were prepared with MWCNT concentrations ranging from 0.1 to 0.9 wt%. The dispersion of MWCNTs in the nanocomposites was investigated and confirmed using a scanning electron microscope (SEM). The dielectric parameters, including the real dielectric constant ε, imaginary dielectric constant ε, and tangent loss tan δ along with the DC and AC electrical conductivity (σDC,σAC) were investigated. The study shows a significant enhancement in the dielectric parameters of the prepared nanocomposites as the MWCNT concentration is increased. The shielding effectiveness (SE) of the hydrogel nanocomposites against electromagnetic waves in the frequency range from 1.7 to 6.0 GHz is investigated and found to be enhanced as the concentration of MWCNTs and frequency have increased. The shielding effectiveness of the prepared hydrogel nanocomposites ranges from 10 dB to 26 dB, equivalent to shielding of 90% and more than 99% of incident radiation, respectively. Full article
(This article belongs to the Special Issue Recent Progress in Hybrid Composites)
Show Figures

Graphical abstract

14 pages, 3870 KB  
Article
Analysis of Shielding Effectiveness of a Cavity with Internal Dielectric Plate and Apertures
by Laigong Guo, Xinkang Shi, Xiaolong Li, Long Ma and Changna Guo
Appl. Sci. 2025, 15(5), 2460; https://doi.org/10.3390/app15052460 - 25 Feb 2025
Cited by 1 | Viewed by 1307
Abstract
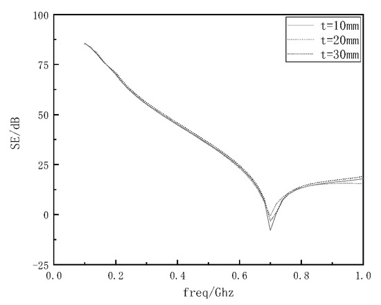
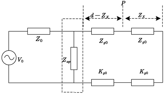
Focusing on the shielding effectiveness of a single-layer shielded cavity, especially the impact of aperture shape, aperture quantity, internal dielectric plate, and other factors on shielding effectiveness, an equivalent circuit model and BLT equation of shielding effectiveness for a single-layer shielded cavity under [...] Read more.
Focusing on the shielding effectiveness of a single-layer shielded cavity, especially the impact of aperture shape, aperture quantity, internal dielectric plate, and other factors on shielding effectiveness, an equivalent circuit model and BLT equation of shielding effectiveness for a single-layer shielded cavity under plane-wave irradiation were constructed by applying transmission line theory, Robinson’s algorithm, and electromagnetic topology theory. The shielding effectiveness of the cavity with an internal dielectric plate subjected to 0 to 1 GHz electromagnetic waves was calculated. The influence of circular and rectangular aperture arrays, the thickness of the dielectric plate, and the position change of the dielectric plate on the electric field shielding effectiveness of the cavity were analyzed. HFSS was used for simulation experiments. The research indicates that increasing the number of apertures can effectively enhance the shielding effectiveness while keeping the total area of the apertures constant. In addition, the insertion of a dielectric plate inside the cavity, especially near the resonant frequency, significantly enhanced the shielding effectiveness due to the absorption of incident electromagnetic waves by the dielectric plate. As the thickness of the dielectric plate was increased, the resonant frequency of the cavity gradually decreased; the shielding effectiveness was improved near the resonant frequency. Placing the dielectric plate at the lower end of the cavity is preferred, as it significantly improves the shielding effectiveness. Full article
Show Figures

Figure 1

21 pages, 3192 KB  
Article
Magnetic Ionic Liquid: A Multifunctional Platform for the Design of Hybrid Graphene/Carbon Nanotube Networks as Electromagnetic Wave-Absorbing Materials
by Jean C. Carelo, Bluma G. Soares, Debora P. Schmitz, Ruan R. Henriques, Adriana A. Silva, Guilherme M. O. Barra, Vitoria M. T. S. Barthem and Sebastien Livi
Molecules 2025, 30(5), 985; https://doi.org/10.3390/molecules30050985 - 20 Feb 2025
Cited by 2 | Viewed by 1414
Abstract
Magnetic ionic liquid (MIL) based on alkyl phosphonium cation was used as a curing agent for developing epoxy nanocomposites (ENCs) modified with a graphene nanoplatelet (GNP)/carbon nanotube (CNT) hybrid filler. The materials were prepared by a solvent-free procedure involving ball-milling technology. ENCs containing [...] Read more.
Magnetic ionic liquid (MIL) based on alkyl phosphonium cation was used as a curing agent for developing epoxy nanocomposites (ENCs) modified with a graphene nanoplatelet (GNP)/carbon nanotube (CNT) hybrid filler. The materials were prepared by a solvent-free procedure involving ball-milling technology. ENCs containing as low as 3 phr of filler (GNP/CNT = 2.5:0.5 phr) exhibited electrical conductivity with approximately six orders of magnitude greater than the system loaded with GNP = 2.5 phr. Moreover, the use of MIL (10 phr) resulted in ENCs with higher conductivity compared with the same system cured using conventional aliphatic amine. The filler dispersion within the epoxy matrix was confirmed by scanning electron microscopy (SEM) and transmission electron microscopy (TEM). The electromagnetic interference shielding effectiveness (EMI SE), evaluated in the X- and Ku-band frequency range, revealed a great contribution of the absorption mechanism for the ENC containing the hybrid filler and cured with MIL. Moreover, the best microwave-absorbing response was achieved with the ENC containing GNP/CNT = 2.5/0.5 phr, and cured with ML, which a minimum RL of −23.61 dB and an effective absorption bandwidth of 5.18 GHz were observed for thickness of 1.5 mm. In summary, this system is a promising material for both civilian and military applications due to its simple and scalable nanocomposite preparation method, the lightweight nature of the composites resulting from the low filler content, the commercial availability and cost-effectiveness of GNP, and its high electromagnetic wave attenuation across a broad frequency range. Full article
Show Figures

Figure 1

14 pages, 7044 KB  
Article
Simultaneously Enhanced Mechanical Properties and Electromagnetic Interference Shielding Capabilities of Graphene Nanosheets Reinforced Magnesium Matrix Laminated Composite Using Accumulative Roll Bonding Process
by Wanshun Zhang, Jinhua Wu, Jianming Zheng, Ling Shan, Pu Huang, Chunwei Wang, Hailin Yang and Hongyang Zhao
Coatings 2025, 15(3), 250; https://doi.org/10.3390/coatings15030250 - 20 Feb 2025
Cited by 4 | Viewed by 1216
Abstract
In order to meet the demand for structural/functional integrated materials in the field of electromagnetic shielding, a graphene nanosheets (GNSs) reinforced magnesium matrix composite was fabricated using an electrophoretic deposition and subsequent accumulative roll bonding process (ARB). The microstructure, mechanical properties, and electromagnetic [...] Read more.
In order to meet the demand for structural/functional integrated materials in the field of electromagnetic shielding, a graphene nanosheets (GNSs) reinforced magnesium matrix composite was fabricated using an electrophoretic deposition and subsequent accumulative roll bonding process (ARB). The microstructure, mechanical properties, and electromagnetic interference (EMI) shielding effectiveness (SE) of the GNSs/Mg composites were characterized systematically. The results showed that synergistic strengthening of the mechanical properties and EMI shielding performance of the composites was realized. The strengthening mechanisms for the mechanical and EMI shielding performance of the GNSs/Mg composites were analyzed thoroughly. After five passes of ARB, the ultimate tensile strength and elongation were 271.79 MPa and 12.9%, respectively. For the laminated structure, the strengthening is related to the thickness of the graphene layer, the dispersion, and the interfacial bonding with the metal matrix. In electromagnetic shielding aspects, after ARB-5, the SE is 93.36–105.15 dB. The introduction of well-organized multivariate multi-scale macro–micro interfaces increased the electromagnetic wave propagation paths and multiple reflection loss absorption in the internal propagation paths. Moreover, the addition of carbon nanomaterials led to an increase in the number of interfaces, which was conducive to the expansion of the internal reflection paths; carbon nanomaterials at the interfaces also improved the electromagnetic wave absorption. Full article
(This article belongs to the Collection Advanced Surface Coating of Nanoparticles)
Show Figures

Figure 1

Back to TopTop