Sign in to use this feature.

Years

Between: -

Subjects

remove_circle_outline
remove_circle_outline
remove_circle_outline
remove_circle_outline
remove_circle_outline
remove_circle_outline
remove_circle_outline
remove_circle_outline
remove_circle_outline

Journals

remove_circle_outline
remove_circle_outline
remove_circle_outline
remove_circle_outline
remove_circle_outline
remove_circle_outline
remove_circle_outline
remove_circle_outline
remove_circle_outline
remove_circle_outline
remove_circle_outline
remove_circle_outline
remove_circle_outline
remove_circle_outline
remove_circle_outline
remove_circle_outline

Article Types

Countries / Regions

remove_circle_outline
remove_circle_outline
remove_circle_outline
remove_circle_outline
remove_circle_outline
remove_circle_outline
remove_circle_outline

Search Results (2,951)

Search Parameters:
Keywords = electrical resistance property

Order results
Result details
Results per page
Select all
Export citation of selected articles as:
15 pages, 8690 KB  
Article
Large-Area Pulsed Laser Deposition Growth of Transparent Conductive Al-Doped ZnO Thin Films
by Elena Isabela Bancu, Valentin Ion, Mihai Adrian Sopronyi, Stefan Antohe and Nicu Doinel Scarisoreanu
Nanomaterials 2025, 15(22), 1722; https://doi.org/10.3390/nano15221722 - 14 Nov 2025
Abstract
High-quality AZO thin films were produced on a 4-inch Si substrate using large-area PLD equipment at a substrate temperature of 330 °C, with a ZnO: Al (98:2 wt.%) target. This study aims to enhance the electrical, optical, morphological and structural properties of large-area [...] Read more.
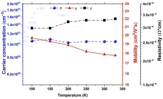
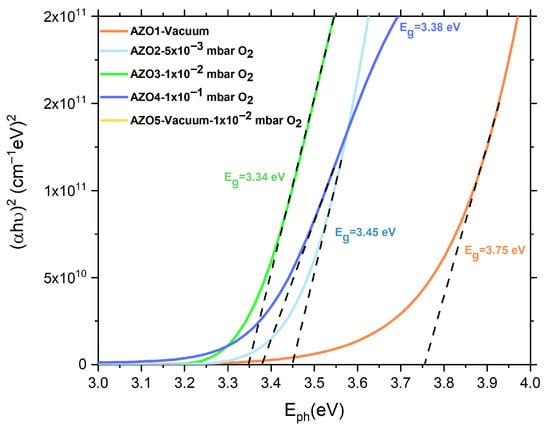
High-quality AZO thin films were produced on a 4-inch Si substrate using large-area PLD equipment at a substrate temperature of 330 °C, with a ZnO: Al (98:2 wt.%) target. This study aims to enhance the electrical, optical, morphological and structural properties of large-area PLD-grown AZO thin films by tuning the deposition pressures. The samples were prepared under high-vacuum (HV) conditions, as well as in oxygen atmospheres of 0.005 mbar O2, 0.01 mbar O2, and 0.1 mbar O2. Consequently, a bilayer AZO film was prepared in a combination of two deposition pressures (first layer prepared under HV, followed by the second layer prepared at 0.01 mbar O2). Additionally, morphological and structural characterization revealed that high-quality columnar growth AZO thin films free of droplets, with a strong (002) orientation, were achieved on a 4-inch Si substrate. Moreover, Hall measurements in the Van der Pauw configuration were used to assess the electrical properties. A low electrical resistivity of 3.98 × 10−4 Ω cm, combined with a high carrier concentration (n) of 1.05 × 1021 cm−3 and a charge carrier mobility of 17.9 cm2/V s, was achieved at room temperature for the sample prepared under HV conditions. The optical characterization conducted through spectroscopic ellipsometry measurements showed that the large-area AZO sample exhibits an increased optical transparency in the visible (VIS) range with a near-zero extinction coefficient (k) and a wide bandgap of 3.75 eV, fulfilling the standards for materials classified as TCO. In addition, the increased thickness uniformity of the prepared AZO films over a large area represents a significant step in scaling the PLD technique for industrial applications. Full article
Show Figures

Figure 1

26 pages, 5472 KB  
Article
Electromechanical and Rheological Properties of Self-Sensing Mortars Containing Red Mud for Concrete Beam Monitoring
by Henrique Ribeiro Oliveira, Gustavo Henrique Nalon, Gustavo Emilio Soares de Lima, Leonardo Gonçalves Pedroti, José Carlos Lopes Ribeiro, José Maria Franco de Carvalho, Flávio Antônio Ferreira, Ariel Miranda de Souza, Ricardo André Fiorotti Peixoto and Diôgo Silva de Oliveira
Buildings 2025, 15(22), 4085; https://doi.org/10.3390/buildings15224085 - 13 Nov 2025
Abstract
The growing demand for sustainable construction practices has driven research into self-sensing materials incorporating recycled waste for smart SHM (Structural Health Monitoring) systems. However, previous works did not investigate the influence of rheological behavior and piezoresistive properties of sustainable cementitious sensors containing red [...] Read more.
The growing demand for sustainable construction practices has driven research into self-sensing materials incorporating recycled waste for smart SHM (Structural Health Monitoring) systems. However, previous works did not investigate the influence of rheological behavior and piezoresistive properties of sustainable cementitious sensors containing red mud (RM) on the strain monitoring of concrete beams. To address this gap, this study presents an experimental analysis of the rheological, mechanical, and self-sensing performance of mortars incorporating carbon black nanoparticles (CBN) and varying levels of RM (25–100% sand replacement by volume), followed by their application in monitoring strain in a reinforced concrete beam under dynamic loading. The results showed that increasing RM content led to higher viscosity and yield stress, with a 60% reduction in consistency index. Compressive strength increased by up to 80%, while mortars with RM content higher than 50% showed high electrical conductivity and reversible resistivity changes under load cycles. Mortars containing 50–100% RM demonstrated improved piezoresistive response, with a 23% increase in gauge factor, and the best-performing sensor embedded in a concrete beam exhibited stable and reversible fractional changes in resistivity, closely matching strain gauge data during dynamic loading conditions. These findings highlight the potential of RM-based smart mortars to enhance sustainability and performance in SHM applications. Full article
(This article belongs to the Special Issue Recent Advances in Structural Health Monitoring)
Show Figures

Figure 1

20 pages, 4117 KB  
Review
An Overview on Formation of Radiation-Induced Interface Traps in Silicon-Based Devices
by Xuehui Dai, Min Zhu, Fei Wu, Yanru Ren and Minghui Liu
Micromachines 2025, 16(11), 1278; https://doi.org/10.3390/mi16111278 - 13 Nov 2025
Abstract
In an ionizing radiation environment, the formation of interface traps affects transistor performance, which may lead to device failure. This article reviews interface trap formation mechanisms in silicon-based devices. It explores interface trap types, electrical properties, and their impacts on devices’ performance. Finally, [...] Read more.
In an ionizing radiation environment, the formation of interface traps affects transistor performance, which may lead to device failure. This article reviews interface trap formation mechanisms in silicon-based devices. It explores interface trap types, electrical properties, and their impacts on devices’ performance. Finally, the main factors affecting the formation of interface traps are summarized. By reviewing these issues and exploring future research directions, guidance will be provided for the design of radiation-resistant devices to enhance their reliability in irradiated environments. Full article
(This article belongs to the Special Issue Silicon-Based Photonic Technology and Devices)
Show Figures

Figure 1

21 pages, 3921 KB  
Article
Symmetry-Based Evaluation of Tool Coating Effects on the Machining Behavior of Ti-6Al-4V Using Micro-EDM
by Shailesh Shirguppikar, Vaibhav Ganachari, Marko Vulović, Andreja Stefanović, Pankaj B. Gavali, Nguyen Huu-Phan and Aleksandar Ašonja
Symmetry 2025, 17(11), 1935; https://doi.org/10.3390/sym17111935 - 11 Nov 2025
Viewed by 157
Abstract
Titanium alloy Ti-6Al-4V possesses excellent mechanical and corrosion-resistant properties; therefore, it is widely employed in aerospace, automotive, and biomedical fields. However, its poor machinability restricts traditional processing methods. To overcome this limitation, the current work presents a symmetry analysis approach to evaluate the [...] Read more.
Titanium alloy Ti-6Al-4V possesses excellent mechanical and corrosion-resistant properties; therefore, it is widely employed in aerospace, automotive, and biomedical fields. However, its poor machinability restricts traditional processing methods. To overcome this limitation, the current work presents a symmetry analysis approach to evaluate the effects of tool coating on the micro-electric discharge machining (micro-EDM) characteristics of Ti-6Al-4V. Tungsten carbide (WC) microelectrodes were fabricated in three forms: uncoated, copper-coated, and carbon-coated. The chemical vapor deposition (CVD) method was used to coat the carbon layer, and the integrity of the coating was confirmed by Energy-Dispersive X-ray Spectroscopy/Analysis (EDS/EDX). The effect of input variables—namely, voltage, capacitance, and spindle rotational speed—on two responses was studied—the machining depth (Z-axis displacement) and tool wear rate (TWR)—using a Taguchi L9 orthogonal array. Analysis conducted using Minitab statistical software 17 revealed that both voltage and capacitance contributed to the response parameters as optimized variables. The comparative study showed that the copper- and carbon-coated WC microtool could obtain a better Z coordinate and lower tool wear ratio compared with those of the uncoated tool. The findings confirm that applying thin conductive coatings to WC tools can significantly improve the stability, precision, and overall symmetry of the micro-EDM process when machining difficult-to-cut titanium alloys. Full article
(This article belongs to the Special Issue Symmetry/Asymmetry in Smart Manufacturing)
Show Figures

Figure 1

16 pages, 3460 KB  
Article
Characterisation of Electro-Brush Plated Nickel Coatings on P-Type (Zr,Ti)Co(Sn,Sb) Half-Heusler Thermoelectric Materials for Stable Contact Layers
by Mikdat Gurtaran, Zhenxue Zhang, Xiaoying Li and Hanshan Dong
Materials 2025, 18(22), 5108; https://doi.org/10.3390/ma18225108 - 10 Nov 2025
Viewed by 139
Abstract
In this study, a highly conductive nickel (Ni) layer was deposited onto a P-type (Zr,Ti)Co(Sn,Sb) half-Heusler (HH) thermoelectric (TE) material using a low-cost electro-brush plating technique. Before depositing Ni on the TE material, the plating process was optimised on a stainless steel (SS) [...] Read more.
In this study, a highly conductive nickel (Ni) layer was deposited onto a P-type (Zr,Ti)Co(Sn,Sb) half-Heusler (HH) thermoelectric (TE) material using a low-cost electro-brush plating technique. Before depositing Ni on the TE material, the plating process was optimised on a stainless steel (SS) substrate. An optimal medium-rate deposition voltage of 6V was identified on the SS substrate, with the desired thickness, superior mechanical performance, reduced sheet resistance and surface roughness, and enhanced electrical conductivity. The optimised deposition condition was then applied to the P-type (Zr,Ti)Co(Sn,Sb) material, resulting in a Ni layer that significantly enhanced its electrical and thermal stability. After thermal exposure at 500 °C for 10 h, the Ni coating effectively protected the TE surface against oxidation and sublimation, suggesting that the interfacial contact properties of P-type (Zr,Ti)Co(Sn,Sb) TE material can be effectively enhanced by depositing a highly conductive, oxidation-resistant Ni layer using the cost-effective, straightforward electro-brush plating technique. Full article
Show Figures

Figure 1

21 pages, 11599 KB  
Article
Effect of Spherical Electric Arc Slag on Solid Waste-Based 3D-Printed Concrete
by Qi Lu, Sudong Hua and Hongfei Yue
Appl. Sci. 2025, 15(22), 11933; https://doi.org/10.3390/app152211933 - 10 Nov 2025
Viewed by 113
Abstract
Three-dimensional-printed concrete (3DPC) is an additive manufacturing technology that forms 3D solids via layer-by-layer printing based on 3D model data, but it consumes large amounts of river sand (RS) and has poor frost resistance. To address these issues, this study used industrial waste [...] Read more.
Three-dimensional-printed concrete (3DPC) is an additive manufacturing technology that forms 3D solids via layer-by-layer printing based on 3D model data, but it consumes large amounts of river sand (RS) and has poor frost resistance. To address these issues, this study used industrial waste electric arc furnace slag (EAFS) as an aggregate at 0–100% replacement ratios to test the workability, mechanical properties, frost resistance, and microstructures of 3DPC specimens. The results show that EAFS improves mortar flowability and extends the printing window, but full replacement increases slump and reduces constructability. The stress dispersion and dense packing effects of EAFS ensure excellent mechanical properties of specimens before and after freeze–thaw cycles. At an 80% EAFS replacement ratio, compressive and flexural strengths increase by 2.52%/13.8% and 10.6%/18.2%, respectively; after freeze–thaw cycles, the specimens exhibit the best frost resistance. The interfacial transition zone between EAFS and cement matrix is only 2 μm, with 1.8% lower porosity and 20.14% fewer harmful pores than the 100% RS specimen after freeze–thaw cycles. In conclusion, 80% EAFS replacement balances 3DPC performance and solid waste utilization, providing important references for EAFS’s safe application in 3DPC and its performance improvement mechanism. Full article
(This article belongs to the Section Additive Manufacturing Technologies)
Show Figures

Figure 1

22 pages, 3002 KB  
Article
Chloride Resistance of High-Strength Concrete Subjected to Different Curing Conditions and Chloride Concentrations
by Zhengyu Wu, Dayou Luo, Shuai Li and Zhiguo Li
Infrastructures 2025, 10(11), 300; https://doi.org/10.3390/infrastructures10110300 - 8 Nov 2025
Viewed by 241
Abstract
High-strength concrete (HSC) is widely used in coastal regions, but its durability and structural safety is threatened by chloride ingress in marine environments. This study investigates the effects of different curing methods, normal, steam, and high-temperature autoclave on the chloride resistance of HSC [...] Read more.
High-strength concrete (HSC) is widely used in coastal regions, but its durability and structural safety is threatened by chloride ingress in marine environments. This study investigates the effects of different curing methods, normal, steam, and high-temperature autoclave on the chloride resistance of HSC using the electric flux test. A critical chloride concentration of 4.5% was identified, and accelerated deterioration tests were conducted to evaluate mechanical properties development (compressive strength, elastic modulus, toughness, specific toughness) under the various curing conditions. Additionally, the development of hydration products and microstructural characteristics were analyzed to elucidate the mechanisms underlying the observed differences. The results indicate that steam and autoclave curing enhance cement hydration and the initial mechanical properties of HSC but also increase permeability and susceptibility to chloride ion penetration compared to normal curing. Chloride penetration was found to be most severe at moderate chloride concentrations (~4.5%), while higher concentrations resulted in reduced ion migration. Although intensive curing under elevated temperature and pressure improves early strength and stiffness, it accelerates mechanical degradation under chloride exposure, highlighting a trade-off between short-term performance and long-term durability. Full article
(This article belongs to the Section Infrastructures Materials and Constructions)
Show Figures

Figure 1

31 pages, 2036 KB  
Article
Predictive Model of Electrical Resistivity in Sandy, Silty and Clayey Soils Using Gravimetric Moisture Content
by Cesar Augusto Navarro Rubio, Mario Trejo Perea, Hugo Martínez Ángeles, José Gabriel Ríos Moreno, Roberto Valentín Carrillo-Serrano and Saúl Obregón-Biosca
Eng 2025, 6(11), 317; https://doi.org/10.3390/eng6110317 - 6 Nov 2025
Viewed by 306
Abstract
Soil electrical resistivity is a fundamental parameter in various geotechnical, agricultural, environmental, and engineering applications, as it directly depends on the soil’s moisture content and physical properties. Understanding this relationship is crucial for improving the safety and efficiency of electrical installations. This study [...] Read more.
Soil electrical resistivity is a fundamental parameter in various geotechnical, agricultural, environmental, and engineering applications, as it directly depends on the soil’s moisture content and physical properties. Understanding this relationship is crucial for improving the safety and efficiency of electrical installations. This study analyzes the relationship between soil electrical resistivity and gravimetric moisture content in three soil types, sandy, clayey, and silty, with the aim of comparing the performance of different predictive models under controlled laboratory conditions. Seven fitting models were evaluated, Logarithmic Spline, Radial Basis Function (RBF), Locally Estimated Scatterplot Smoothing (LOESS), Least Absolute Shrinkage and Selection Operator (LASSO), Ridge Regression (RIDGE), Power Law and a segmented equation, using metrics such as Root Mean Square Error (RMSE), Mean Absolute Error (MAE), Mean Absolute Percentage Error (MAPE) and coefficient of determination R2 . The Spline and RBF models showed excellent accuracy and near-zero errors in all soils, although their applicability is limited by the lack of an explicit formulation and by the fact that, as interpolation methods, they do not guarantee predictive capacity outside the experimental dataset. Therefore, their use should be restricted to controlled laboratory conditions, as field variability factors can significantly alter soil resistivity responses. Among the explicit models, the Segmented Equation obtained a MAPE of 6.14% (sandy), 15.1% (clayey), and 13.16% (silty), with R2 values of 0.91, 0.93, and 0.89, respectively, demonstrating good performance and functionality. The Power Law model, although showing an R2 close to 0.96, presented significant overestimations, especially in silty soils (MAPE > 187%). The LASSO model yielded inconsistent predictions with percentage errors exceeding 120% in silty soils. In conclusion, nonparametric models provide excellent accuracy, while the segmented equation stands out as the best explicit alternative for estimating resistivity with reasonable precision. Full article
(This article belongs to the Section Chemical, Civil and Environmental Engineering)
Show Figures

Figure 1

21 pages, 6648 KB  
Article
Tailoring PBT Performance Through PBT/POE-g-GMA Nanocomposites with MWCNT
by Eduardo da Silva Barbosa Ferreira, Elieber Barros Bezerra, Carlos Bruno Barreto Luna, Edson Antonio dos Santos Filho, Renate Maria Ramos Wellen and Edcleide Maria Araújo
Polymers 2025, 17(21), 2962; https://doi.org/10.3390/polym17212962 - 6 Nov 2025
Viewed by 462
Abstract
The production of polymer nanocomposites from supertough blends reinforced with carbon-based nanofillers has garnered attention in recent years due to improvements in their mechanical, thermal, and electrical properties. Currently, the main challenge is to develop materials with balanced performance for diverse industrial demands. [...] Read more.
The production of polymer nanocomposites from supertough blends reinforced with carbon-based nanofillers has garnered attention in recent years due to improvements in their mechanical, thermal, and electrical properties. Currently, the main challenge is to develop materials with balanced performance for diverse industrial demands. In this context, this work aimed to produce nanocomposites of poly(butylene terephthalate) (PBT) and poly(ethylene-octene) grafted with glycidyl methacrylate (POE-g-GMA), reinforced with carbon nanotubes (MWCNTs). The PBT, the PBT/POE-g-GMA blend, and the respective MWCNT nanocomposites were initially premixed in an internal mixer and then processed in a co-rotational twin-screw extruder. After processing, they were injection-molded to obtain tensile, impact, and HDT test specimens. Mechanical (tensile, impact, and Shore D hardness), thermal (differential scanning calorimetry—DSC), thermomechanical (heat deflection temperature—HDT), electrical resistivity/conductivity, morphology, and Fourier transform infrared spectroscopy (FTIR) properties were evaluated. The results demonstrated a good balance among the investigated properties, with improvements in mechanical, thermal, and thermomechanical properties when compared to PBT. The impact strength of the nanocomposites reached 186 J/m, approximately 158% higher than that of neat PBT. The HDT reached approximately 55 °C in the PBT/POE-g-GMA/MWCNT5 nanocomposites, while the crystallization temperature increased by 11 °C, as evidenced by DSC, an aspect of great relevance for industrial applications. Furthermore, the PBT/POE-g-GMA/MWCNT5 nanocomposites exhibited an electrical conductivity of 1.06 × 10−7 S/cm, indicating potential for electrical applications. Full article
Show Figures

Figure 1

18 pages, 1456 KB  
Article
Eu-Doped Nickelate as a Platform for an Enzyme-Based Resistive Biosensor for Glucose
by Gilson P. Lopes, Jéssica H. H. Rossato, Neftali L. V. Carreno, Iseli L. Nantes and Marcia T. Escote
Chemosensors 2025, 13(11), 387; https://doi.org/10.3390/chemosensors13110387 - 3 Nov 2025
Viewed by 314
Abstract
Nickelate oxides show promise for biosensing applications, especially in glucose detection. Creating nickelate-based biosensors involves utilizing their electron-correlated structure and the metal–insulator (MI) transition, which endows them with unique electronic, magnetic, and catalytic properties. Chemical or oxygen vacancies can alter their conductivity and [...] Read more.
Nickelate oxides show promise for biosensing applications, especially in glucose detection. Creating nickelate-based biosensors involves utilizing their electron-correlated structure and the metal–insulator (MI) transition, which endows them with unique electronic, magnetic, and catalytic properties. Chemical or oxygen vacancies can alter their conductivity and catalytic activity, enabling redox-based detection. In this study, Nd1−xEuxNiO3 films (0 < x < 0.35) functionalized with Glucose Oxidase (GOx) were tested for glucose sensing. Eu substitution shifts the MI transition temperature (TMI) from 200 K (x = 0) to 340 K (x = 35). At room temperature, these films undergo a metallic-to-insulator phase transition, which, along with the Ni3+/Ni2+ ratios, influences their sensing capabilities. Time-resolved electrical resistance measurements monitored how glucose interacts with the film surfaces. The sample with x = 0.3 exhibited a measurable resistance change in response to glucose concentrations ranging from 10−12 to 0.5 M, with a sensitivity of 9.1 mM−1 and a limit of detection (LOD) of approximately 0.47 μM. Reproducibility and interference tests with other sugars yielded good results across all samples. Eu doping in NdNiO3 enhances their sensing response, highlighting the importance of electronic state and MI transition in the sensing performance of these nickelate-based glucose sensors. Full article
Show Figures

Figure 1

19 pages, 2771 KB  
Article
Influence of Electrical Transients and A/D Converter Dynamics on Thermal Resistance Measurements of Power MOSFETs
by Krzysztof Górecki and Krzysztof Posobkiewicz
Sensors 2025, 25(21), 6691; https://doi.org/10.3390/s25216691 - 2 Nov 2025
Viewed by 236
Abstract
When designing power electronic systems, it is crucial to correctly estimate the junction temperature of semiconductor devices, particularly power MOSFETs, under actual operating conditions. Thermal resistance is a parameter that characterizes the ability of these devices to dissipate internally generated heat under steady-state [...] Read more.
When designing power electronic systems, it is crucial to correctly estimate the junction temperature of semiconductor devices, particularly power MOSFETs, under actual operating conditions. Thermal resistance is a parameter that characterizes the ability of these devices to dissipate internally generated heat under steady-state conditions. Determining the value of this parameter under specific cooling conditions requires dedicated measurements. This paper considers the widely used indirect electrical method of measuring thermal resistance. The influence of the dynamic properties of the measurement system, including the A/D converter, on the measurement error of the thermal resistance of power MOSFETs was analyzed. Using the constructed measurement system, it was demonstrated that, depending on the semiconductor material of the tested transistors, different error values were obtained, even with the same system configuration. The largest errors were observed for transistors made of silicon carbide. It was further shown that, with the applied A/D converter module, the measurement error can be limited to a few percent if recording of the thermal sensitive electrical parameter (TSEP) begins soon enough after the transients caused by the switchover from heating to TSEP measurement have fully decayed. Full article
(This article belongs to the Section Electronic Sensors)
Show Figures

Figure 1

23 pages, 6052 KB  
Article
Evaluating Gas Saturation in Unconventional Gas Reservoirs Using Acoustic Logs: A Case Study of the Baiyun Depression in the Northern South China Sea
by Jiangbo Shu, Changchun Zou, Cheng Peng, Liang Xiao, Keyu Qiao, Xixi Lan, Wei Shen, Yuanyuan Zhang and Hongjie Zhang
J. Mar. Sci. Eng. 2025, 13(11), 2078; https://doi.org/10.3390/jmse13112078 - 31 Oct 2025
Viewed by 210
Abstract
Shallow gas is an unconventional natural gas resource with great potential and has received growing attention recently. Accurate estimation of gas saturation is crucial for reserves assessments and for development program formulations. However, such reservoirs are characterized by weak diagenesis, a high clay [...] Read more.
Shallow gas is an unconventional natural gas resource with great potential and has received growing attention recently. Accurate estimation of gas saturation is crucial for reserves assessments and for development program formulations. However, such reservoirs are characterized by weak diagenesis, a high clay content, and low resistivity. These properties pose significant challenges for saturation evaluations. To address the challenge of insufficient accuracy in evaluating the saturation of gas-bearing reservoirs, we propose an acoustic-based saturation evaluation method. In this study, a shallow unconsolidated rock physics model is first constructed to investigate the effect of variations in the gas saturation on elastic wave velocities. The model especially considers the patchy distribution of fluids within pores. In addition, we propose an iterative algorithm based on the updated relationship between porosity and gas saturation by introducing a correction term for the saturation to the density porosity, and successfully apply it to the logging data collected from the shallow gas reservoirs in the Pearl River Mouth Basin of the South China Sea. It is evident from the results that the saturation derived from the array acoustic logs is comparable to that obtained from the resistivity logs, with a mean absolute error of less than 6%. Additionally, it is also consistent with the drill stem test (DST) data, which further verifies the validity and reliability of this method. This study provides a novel non-electrical method for estimating the saturation of shallow gas reservoirs, which is essential to promote the evaluation of unconsolidated sandstone gas reservoirs. Full article
(This article belongs to the Special Issue Marine Well Logging and Reservoir Characterization)
Show Figures

Figure 1

35 pages, 4540 KB  
Review
Recent Progress of β-Ga2O3 Power Diodes: A Comprehensive Review
by Lin-Qing Zhang, Jia-Jia Liu, Ya-Ting Tian, Han Xi, Qing-Hua Yue, Hong-Fang Li, Zhi-Yan Wu and Li-Fang Sun
Inorganics 2025, 13(11), 364; https://doi.org/10.3390/inorganics13110364 - 31 Oct 2025
Viewed by 544
Abstract
Ultra-bandgap semiconductor material, β-gallium oxide (β-Ga2O3), has great potential for fabricating the next generation of high-temperature, high-voltage power devices due to its superior material properties and cost competitiveness. In addition, β-Ga2O3 has the advantages of high-quality, [...] Read more.
Ultra-bandgap semiconductor material, β-gallium oxide (β-Ga2O3), has great potential for fabricating the next generation of high-temperature, high-voltage power devices due to its superior material properties and cost competitiveness. In addition, β-Ga2O3 has the advantages of high-quality, large-size, low-cost, and controllable doping, which can be realized by the melt method. It has a wide bandgap of 4.7–4.9 eV, a large breakdown field strength of 8 MV/cm, and a Baliga figure of merit (BFOM) as high as 3000, which is approximately 10 and 4 times that of SiC and GaN, respectively. These properties enable β-Ga2O3 to be strongly competitive in power diodes and metal-oxide-semiconductor field-effect transistor (MOSFET) applications. Most of the current research is focused on electrical characteristics of those devices, including breakdown voltage (VBR), specific on-resistance (RON,SP), power figure of merit (PFOM), etc. Considering the rapid development of β-Ga2O3 diode technology, this review mainly introduces the research progress of different structures of β-Ga2O3 power diodes, including vertical and lateral structures with various advanced techniques. A detailed analysis of Ga2O3-based high-voltage power diodes is presented. This review will help our theoretical understanding of β-Ga2O3 power diodes as well as the development trends of β-Ga2O3 power application schemes. Full article
Show Figures

Figure 1

15 pages, 3107 KB  
Review
Structural and Electrical Analysis of Crystalline Silicon Solar Cells: The Role of Busbar Geometry in First-Generation PV Technology
by Małgorzata Monika Musztyfaga-Staszuk and Claudio Mele
Materials 2025, 18(21), 4979; https://doi.org/10.3390/ma18214979 - 31 Oct 2025
Viewed by 303
Abstract
This study focuses on first-generation crystalline silicon photovoltaic (PV) cells, which remain the core of the PV industry. It outlines the structure and operation of single-junction cells, distinguishing between monocrystalline and polycrystalline technologies. A literature review was conducted using databases such as Web [...] Read more.
This study focuses on first-generation crystalline silicon photovoltaic (PV) cells, which remain the core of the PV industry. It outlines the structure and operation of single-junction cells, distinguishing between monocrystalline and polycrystalline technologies. A literature review was conducted using databases such as Web of Science and Scopus to identify research trends and inform future research directions. PV cell classification by generation is also presented based on production methods and materials. The experimental section includes both electrical and structural characterisation of crystalline silicon solar cells, with particular emphasis on the influence of the number and geometry of front-side busbars on metal-semiconductor contact resistance and electrical properties. Additionally, the paper highlights the use of dedicated laboratory equipment—such as a solar simulator (for determining photovoltaic cell parameters from current-voltage characteristics) and Corescan equipment (for determining layer parameters using the single-tip probe method)—in evaluating PV cell properties. This equipment is part of the Photovoltaics and Electrical Properties Laboratory at the Silesian University of Technology. The findings demonstrate clear structural correlations that can contribute to optimising the performance and longevity of silicon-based PV cells. Full article
Show Figures

Figure 1

14 pages, 3052 KB  
Article
Carbon Nanotube-Enhanced Silicone Fingerprint Replicas for Biometric Security Testing
by Eliza Romanczuk-Ruszuk, Anastazja Orlow, Bogna Sztorch, Kamil Dydek, Bartłomiej Przybyszewski and Robert E. Przekop
Appl. Sci. 2025, 15(21), 11539; https://doi.org/10.3390/app152111539 - 29 Oct 2025
Viewed by 309
Abstract
Biometric authentication systems, including fingerprint readers, are widely used in mobile devices but remain vulnerable to spoofing attacks. This paper evaluates the properties of carbon nanotube (CNT)-modified silicone fingerprint replicas for use in security testing. Microscopic analyses, roughness measurements, and electrical conductivity measurements [...] Read more.
Biometric authentication systems, including fingerprint readers, are widely used in mobile devices but remain vulnerable to spoofing attacks. This paper evaluates the properties of carbon nanotube (CNT)-modified silicone fingerprint replicas for use in security testing. Microscopic analyses, roughness measurements, and electrical conductivity measurements showed that the effectiveness of the replicas depends on the type of silicone matrix and the concentration of CNTs. Replicas made with Double 32 at 3% CNT exceeded the percolation threshold, achieving significantly higher conductivity. In practical tests, capacitive scanners proved susceptible to recording artificial prints, while ultrasonic readers were more resistant. The results indicate that although CNTs improve the properties of replicas, their ability to reproduce higher-order features remains limited. Full article
(This article belongs to the Special Issue Recent Progress and Challenges of Digital Health and Bioengineering)
Show Figures

Figure 1

Back to TopTop