Large-Area Pulsed Laser Deposition Growth of Transparent Conductive Al-Doped ZnO Thin Films
Abstract
1. Introduction
2. Materials and Methods
3. Results
3.1. Morphological and Structural Characterization (SEM and XRD)
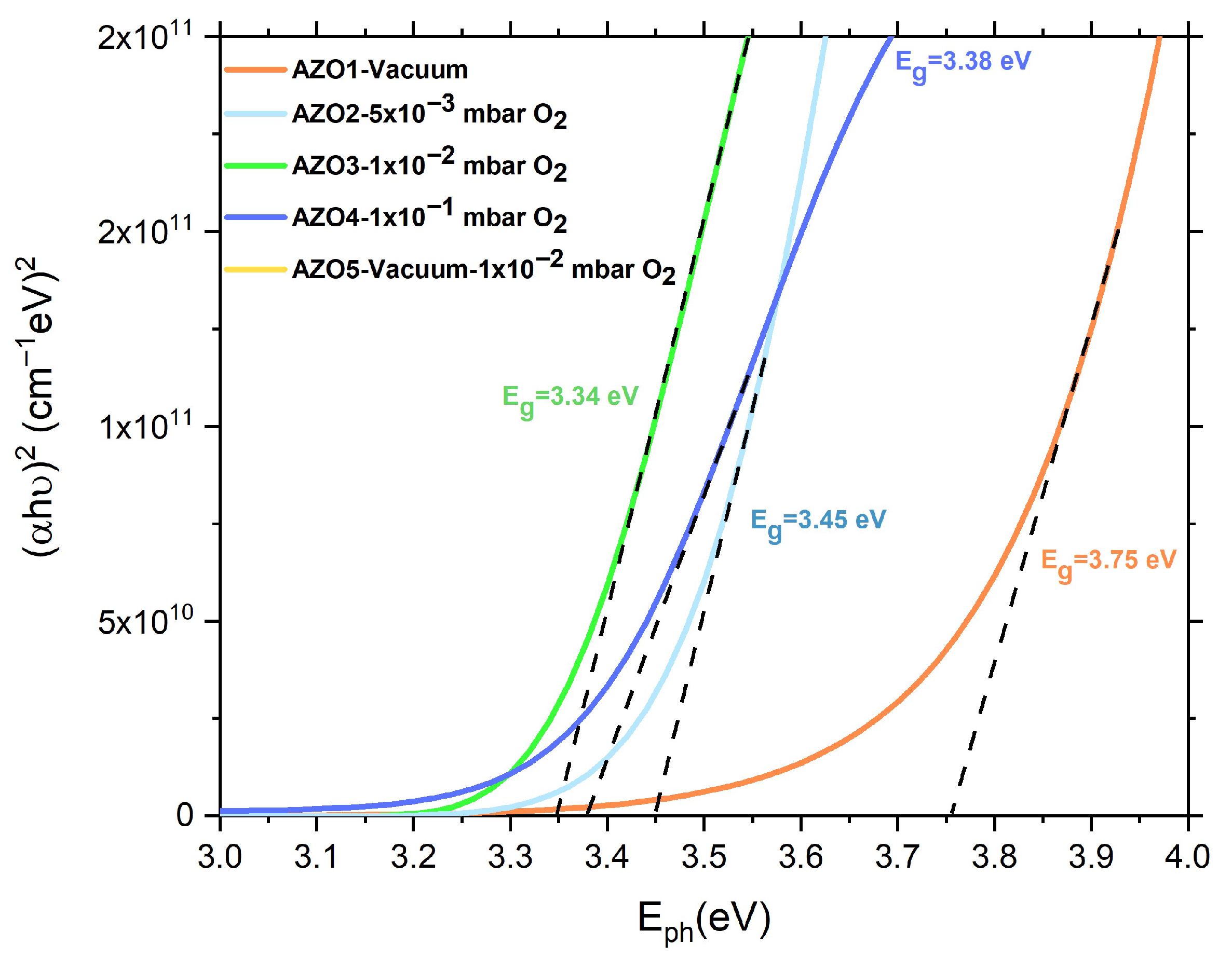
3.2. Optical Characterization (SE)
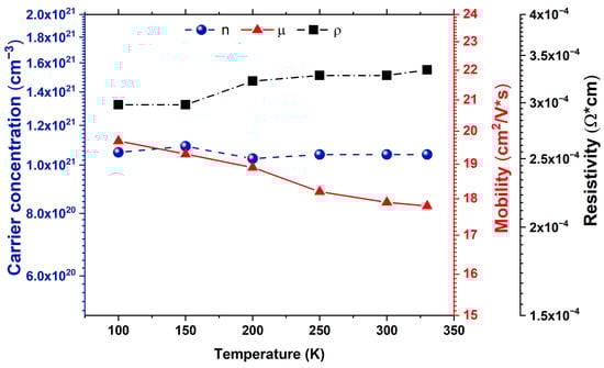
3.3. Electrical Characterization
4. Conclusions
Author Contributions
Funding
Data Availability Statement
Acknowledgments
Conflicts of Interest
References
- Sibiński, M.; Znajdek, K.; Sawczak, M.; Górski, M. AZO layers deposited by PLD method as flexible transparent emitter electrodes for solar cells. Microelectron. Eng. 2014, 127, 57–60. [Google Scholar] [CrossRef]
- Jung, K.; Choi, W.-K.; Chae, K.H.; Song, J.-H.; Yoon, S.-J.; Lee, M.-H.; Choi, J.-W. Highly conductive and damp heat stable transparent ZnO based thin films for flexible electronics. J. Alloys Compd. 2013, 554, 240–245. [Google Scholar] [CrossRef]
- Zhou, S.; Liu, X.; Yan, H.; Chen, Z.; Liu, Y.; Liu, S. Highly efficient GaN-based high-power flip-chip light-emitting diodes. Opt. Exp. 2019, 27, A669–A692. [Google Scholar] [CrossRef]
- Reinders, J.W.C.; Bolding, J.; Roldán-Carmona, C.; Ventosinos, F.; Paliwal, A.; Gil-Escrig, L.; Palazon, F.; Sessolo, M.; Zanoni, K.P.S.; Bolink, H.J. Room Temperature Pulsed Laser Deposition of Aluminum Zinc Oxide (AZO): Enabling Scalable Indium-Free Transparent Conductive Oxides. Adv. Funct. Mater. 2025, 35, 2418069. [Google Scholar] [CrossRef]
- Rezaie, M.N.; Manavizadeh, N.; Nadimi, E.; Boroumand, F.A. Quality enhancement of AZO thin films at various thicknesses by introducing ITO buffer layer. J. Mater. Sci. Mater. Electron. 2017, 28, 9328–9337. [Google Scholar] [CrossRef]
- Liu, S.; Xu, X.; Jiang, J. Flexible transparent ITO thin film with high conductivity and high-temperature resistance. Ceram. Int. 2024, 50, 47649–47654. [Google Scholar] [CrossRef]
- Besleaga, C.; Ion, L.; Ghenescu, V.; Socol, G.; Radu, A.; Arghir, I.; Florica, C.; Antohe, S. Transparent indium zinc oxide thin films used in photovoltaic cells based on polymer blends. Thin Solid Films 2012, 520, 6803–6806. [Google Scholar] [CrossRef]
- Major, S.; Kumar, S.; Bhatnagar, M.; Chopra, K.L. Effect of hydrogen plasma treatment on transparent conducting oxides. Appl. Phys. Lett. 1986, 49, 394–396. [Google Scholar] [CrossRef]
- Sharma, M.; Chaudhary, D.; Dwivedi, N.; Sudhakar, S.; Kumar, S. Simulating the Role of TCO Materials, their Surface Texturing and Band Gap of Amorphous Silicon Layers on the Efficiency of Amorphous Silicon Thin Film Solar Cells. Silicon 2017, 9, 59–68. [Google Scholar] [CrossRef]
- Huang, X.; Yu, Z.; Huang, S.; Zhang, Q.; Li, D.; Luo, Y.; Meng, Q. Preparation of fluorine-doped tin oxide (SnO2:F) film on polyethylene terephthalate (PET) substrate. Mater. Lett. 2010, 64, 1701–1703. [Google Scholar] [CrossRef]
- Zhai, C.-H.; Zhang, R.-J.; Chen, X.; Zheng, Y.-X.; Wang, S.-Y.; Liu, J.; Dai, N.; Chen, L.-Y. Effects of Al Doping on the Properties of ZnO Thin Films Deposited by Atomic Layer Deposition. Nanoscale Res. Lett. 2016, 11, 407. [Google Scholar] [CrossRef]
- Garduño, Z.; Daza, L.G.; Iribarren, A.; Castro-Rodríguez, R. Enhanced optical properties of aluminum-doped zinc oxide thin films fabricated via twist substrate-assisted glancing angle deposition. Appl. Surf. Sci. 2025, 698, 163080. [Google Scholar] [CrossRef]
- Lu, J.G.; Fujita, S.; Kawaharamura, T.; Nishinaka, H.; Kamada, Y.; Ohshima, T.; Ye, Z.Z.; Zeng, Y.J.; Zhang, Y.Z.; Zhu, L.P.; et al. Carrier concentration dependence of band gap shift in n-type ZnO:Al films. J. Appl. Phys. 2007, 101, 083705. [Google Scholar] [CrossRef]
- Kumar, K.D.A.; Valanarasu, S.; Rosario, S.R.; Ganesh, V.; Shkir, M.; Sreelatha, C.J.; AlFaify, S. Evaluation of the structural, optical and electrical properties of AZO thin films prepared by chemical bath deposition for optoelectronics. Solid State Sci. 2018, 78, 58–68. [Google Scholar] [CrossRef]
- Ellmer, K. Resistivity of polycrystalline zinc oxide films: Current status and physical limit. J. Phys. Appl. Phys. 2001, 34, 3097–3108. [Google Scholar] [CrossRef]
- Kohan, A.F.; Ceder, G.; Morgan, D.; Van De Walle, C.G. First-principles study of native point defects in ZnO. Phys. Rev. B 2000, 61, 15019–15027. [Google Scholar] [CrossRef]
- Alyamani, A.; Sayari, A.; Albadri, A.; Albrithen, H.; El Mir, L. Structural, morphological and optical characterizations of ZnO:Al thin films grown on silicon substrates by pulsed laser deposition. Eur. Phys. J. Plus 2016, 131, 328. [Google Scholar] [CrossRef]
- Swatowska, B.; Powroźnik, W.; Czternastek, H.; Lewińska, G.; Stapiński, T.; Pietruszka, R.; Witkowski, B.S.; Godlewski, M. Application Properties of ZnO and AZO Thin Films Obtained by the ALD Method. Energies 2021, 14, 6271. [Google Scholar] [CrossRef]
- Laghfour, Z.; Ajjammouri, T.; Aazou, S.; Refki, S.; Nesterenko, D.V.; Rahmouni, A.; Abd-Lefdil, M.; Ulyashin, A.; Slaoui, A.; Sekkat, Z. Structural and opto-electrical properties of Al doped ZnO sputtered thin films. J. Mater. Sci. Mater. Electron. 2015, 26, 6730–6735. [Google Scholar] [CrossRef]
- Zhou, H.; Yi, D.; Yu, Z.; Xiao, L.; Li, J. Preparation of aluminum doped zinc oxide films and the study of their microstructure, electrical and optical properties. Thin Solid Films 2007, 515, 6909–6914. [Google Scholar] [CrossRef]
- Anyanwu, V.O.; Moodley, M.K. PLD of transparent and conductive AZO thin films. Ceram. Int. 2023, 49, 5311–5318. [Google Scholar] [CrossRef]
- Badgujar, A.C.; Yadav, B.S.; Jha, G.K.; Dhage, S.R. Room Temperature Sputtered Aluminum-Doped ZnO Thin Film Transparent Electrode for Application in Solar Cells and for Low-Band-Gap Optoelectronic Devices. ACS Omega 2022, 7, 14203–14210. [Google Scholar] [CrossRef]
- Sun, K.; Cui, S.; Zhou, Q.; Jiang, J.; Liu, S.; Zhou, S. Bandgap tuning of aluminum-doped indium tin oxide for efficient light-emitting diodes. Appl. Surf. Sci. 2025, 696, 162946. [Google Scholar]
- Poddar, N.P.; Mukherjee, S.K. Investigations on preferentially oriented Al-doped ZnO films developed using rf magnetron sputtering. J. Mater. Sci. Mater. Electron. 2019, 30, 537–548. [Google Scholar] [CrossRef]
- Agura, H.; Suzuki, A.; Matsushita, T.; Aoki, T.; Okuda, M. Low resistivity transparent conducting Al-doped ZnO films prepared by pulsed laser deposition. Thin Solid Films 2003, 445, 263–267. [Google Scholar] [CrossRef]
- Zhang, H.; Li, X.; Fang, Z.; Yao, R.; Zhang, X.; Deng, Y.; Lu, X.; Tao, H.; Ning, H.; Peng, J. Highly Conductive and Transparent AZO Films Fabricated by PLD as Source/Drain Electrodes for TFTs. Materials 2018, 11, 2480. [Google Scholar] [CrossRef] [PubMed]
- Kaur, G.; Mitra, A.; Yadav, K.L. Pulsed laser deposited Al-doped ZnO thin films for optical applications. Prog. Nat. Sci. Mater. Int. 2015, 25, 12–21. [Google Scholar] [CrossRef]
- Gondoni, P.; Ghidelli, M.; Di Fonzo, F.; Russo, V.; Bruno, P.; Martí-Rujas, J.; Bottani, C.E.; Bassi, A.L.; Casari, C.S. Structural and functional properties of Al:ZnO thin films grown by Pulsed Laser Deposition at room temperature. Thin Solid Films 2012, 520, 4707–4711. [Google Scholar] [CrossRef]
- Sen, M.T.S.K.A.; Mewe, A.; Melskens, J.; Bolding, J.; Van De Poll, M.; Weeber, A. Soft deposition of TCOs by pulsed laser for high-quality ultra-thin poly-Si passivating contacts. J. Appl. Phys. 2023, 134, 154502. [Google Scholar] [CrossRef]
- Perrière, J.; Hebert, C.; Jedrecy, N.; Seiler, W.; Zanellato, O.; Portier, X.; Perez-Casero, R.; Millon, E.; Nistor, M. On the relevance of large scale pulsed-laser deposition: Evidence of structural heterogeneities in ZnO thin films. J. Appl. Phys. 2014, 116, 123502. [Google Scholar] [CrossRef]
- Vakulov, Z.; Khakhulin, D.; Zamburg, E.; Mikhaylichenko, A.; Smirnov, V.A.; Tominov, R.; Klimin, V.S.; Ageev, O.A. Towards Scalable Large-Area Pulsed Laser Deposition. Materials 2021, 14, 4854. [Google Scholar] [CrossRef]
- Manica, D.; Ion, V.; Sopronyi, M.; Andrei, F.; Bonciu, A.; Scarisoreanu, N. Mechanical properties characterization for thin layers oxide (Al2O3), deposited by PLD-large area. Appl. Phys. A 2022, 128, 983. [Google Scholar]
- Park, Y.S.; Seo, M.S.; Kim, J.S.; Kim, J. The effect of substrate temperature on Al-doped ZnO characteristics for organic thin film transistor applications. Mater. Res. Bull. 2013, 48, 5136–5140. [Google Scholar]
- Moon, Y.-K.; Kim, S.-H.; Park, J.-W. The influence of substrate temperature on the properties of aluminum-doped zinc oxide thin films deposited by DC magnetron sputtering. J. Mater. Sci. Mater. Electron. 2006, 17, 973–977. [Google Scholar][Green Version]
- Kiliszkiewicz, M.; Domaradzki, J.; Posadowski, W.; Mazur, M.; Wiatrowski, A.; Dawidowski, W.; Mazur, P.; Wojcieszak, D.; Chodasewicz, P.; Bartczak, M. Effect of sputtering power and oxygen partial pressure on structural and opto-electronic properties of Al-doped ZnO transparent conducting oxides. Appl. Surf. Sci. 2024, 670, 160601. [Google Scholar] [CrossRef]
- Regmi, G.; Rijal, S.; Velumani, S. Aluminum-doped zinc oxide (AZO) ultra-thin films deposited by radio frequency sputtering for flexible Cu(In,Ga)Se2 solar cells. Mem.—Mater. Devices Circuits Syst. 2023, 5, 100064. [Google Scholar] [CrossRef]
- Khan, F.; Baek, S.-H.; Ahmad, N.; Lee, G.H.; Seo, T.H.; Suh, E.; Kim, J.H. Correlation between reflectance and photoluminescent properties of al-rich ZnO nano-structures. Met. Mater. Int. 2015, 21, 561–568. [Google Scholar] [CrossRef]
- Marinov, G.; Georgieva, B.; Vasileva, M.; Babeva, T. Study of Structure, Morphology and Optical Properties of Cobalt-Doped and Co/Al-co-Doped ZnO Thin Films Deposited by Electrospray Method. Appl. Sci. 2023, 13, 9611. [Google Scholar] [CrossRef]
- Guillén, C.; Trigo, J.F. Ellipsometric Study on the Uniformity of Al:ZnO Thin Films Deposited Using DC Sputtering at Room Temperature over Large Areas. Materials 2023, 16, 6644. [Google Scholar] [CrossRef]
- Marinov, G.; Lovchinov, K.; Madjarova, V.; Strijkova, V.; Vasileva, M.; Malinowski, N.; Babeva, T. Aluminum-doped zinc oxide thin films deposited by electrospray method. Opt. Mater. 2019, 89, 390–395. [Google Scholar] [CrossRef]
- Kim, J.S.; Jeong, J.-H.; Park, J.K.; Baik, Y.J.; Kim, I.H.; Seong, T.-Y.; Kim, W.M. Optical analysis of doped ZnO thin films using nonparabolic conduction-band parameters. J. Appl. Phys. 2012, 111, 123507. [Google Scholar] [CrossRef]
- Bingel, A.; Stenzel, O.; Naujok, P.; Müller, R.; Shestaeva, S.; Steglich, M.; Schulz, U.; Kaiser, N.; Tünnermann, A. AZO/Ag/AZO transparent conductive films: Correlation between the structural, electrical, and optical properties and development of an optical model. Opt. Mater. Express 2016, 6, 3217. [Google Scholar] [CrossRef]
- Jafarova, V.N.; Orudzhev, G.S. Structural and electronic properties of ZnO: A first-principles density-functional theory study within LDA(GGA) and LDA(GGA) + U methods. Solid State Commun. 2021, 325, 114166. [Google Scholar] [CrossRef]
- Gu, X.Q.; Zhu, L.P.; Cao, L.; Ye, Z.Z.; He, H.P.; Chu, P.K. Optical and electrical properties of ZnO:Al thin films synthesized by low-pressure pulsed laser deposition. Mater. Sci. Semicond. Process. 2011, 14, 48–51. [Google Scholar] [CrossRef]
- Zanoni, K.P.S.; Paliwal, A.; Hernández-Fenollosa, M.A.; Repecaud, P.; Morales-Masis, M.; Bolink, H.J. ITO Top-Electrodes via Industrial-Scale PLD for Efficient Buffer-Layer-Free Semitransparent Perovskite Solar Cells. Adv. Mater. Technol. 2022, 7, 2101747. [Google Scholar] [CrossRef]
- Smirnov, Y.; Repecaud, P.-A.; Tutsch, L.; Florea, I.; Zanoni, K.P.S.; Paliwal, A.; Bolink, H.J.; Cabarrocas, P.R.I.; Bivour, M.; Morales-Masis, M. Wafer-scale pulsed laser deposition of ITO for solar cells: Reduced damage vs. interfacial resistance. Mater. Adv. 2022, 3, 3469–3478. [Google Scholar] [CrossRef]
- Kim, H.; Gilmore, C.M.; Piqué, A.; Horwitz, J.S.; Mattoussi, H.; Murata, H.; Kafafi, Z.H.; Chrisey, D.B. Electrical, optical, and structural properties of indium–tin–oxide thin films for organic light-emitting devices. J. Appl. Phys. 1999, 86, 6451–6461. [Google Scholar] [CrossRef]
- Dixon, S.C.; Scanlon, D.O.; Carmalt, C.J.; Parkin, I.P. n-Type doped transparent conducting binary oxides: An overview. J. Mater. Chem. C 2016, 4, 6946–6961. [Google Scholar] [CrossRef]












| Sample | T (°) | Pdep (mbar) | Fluence (J/cm2) | Repletion Rate (Hz) | T-S Distance (cm) | Nr Laser Pulses |
|---|---|---|---|---|---|---|
| AZO1 | 330 | Vacuum (6 × 10−6) | 2 | 10 | 6 | 10.000 |
| AZO2 | 5 × 10−3 | |||||
| AZO3 | 1 × 10−2 | |||||
| AZO4 | 1 × 10−1 |
| σ (standard deviation) | AZO1 | AZO2 | AZO3 | AZO4 |
| 5.5 | 4.6 | 4 | 12.8 |
| Sample | Pdep (mbar) | n (cm−3) | µ (cm2/V s) | ρ (Ω cm) | vs. ITO | ρ (Ω cm) | n (cm−3) | µ (cm2/V s) | Ref. |
| AZO1 | HV | 1.05 × 1021 | 17.9 | 3.28 × 10−4 | 4 × 10−4 | - | - | [45] | |
| AZO2 | 0.005 O2 | 2.72 × 1020 | 4 | 5.57 × 10−3 | - | 4 × 1020 | - | [46] | |
| AZO3 | 0.01 O2 | 1.01 × 1020 | 2.47 | 2.49 × 10−2 | 2 × 10−4 | 1.4 × 1021 | 27 | [47] | |
| AZO4 | 0.1 O2 | 7.7 × 1018 | 7 | 1.1 × 10−1 | - | - | - | - |
Disclaimer/Publisher’s Note: The statements, opinions and data contained in all publications are solely those of the individual author(s) and contributor(s) and not of MDPI and/or the editor(s). MDPI and/or the editor(s) disclaim responsibility for any injury to people or property resulting from any ideas, methods, instructions or products referred to in the content. |
© 2025 by the authors. Licensee MDPI, Basel, Switzerland. This article is an open access article distributed under the terms and conditions of the Creative Commons Attribution (CC BY) license (https://creativecommons.org/licenses/by/4.0/).
Share and Cite
Bancu, E.I.; Ion, V.; Sopronyi, M.A.; Antohe, S.; Scarisoreanu, N.D. Large-Area Pulsed Laser Deposition Growth of Transparent Conductive Al-Doped ZnO Thin Films. Nanomaterials 2025, 15, 1722. https://doi.org/10.3390/nano15221722
Bancu EI, Ion V, Sopronyi MA, Antohe S, Scarisoreanu ND. Large-Area Pulsed Laser Deposition Growth of Transparent Conductive Al-Doped ZnO Thin Films. Nanomaterials. 2025; 15(22):1722. https://doi.org/10.3390/nano15221722
Chicago/Turabian StyleBancu, Elena Isabela, Valentin Ion, Mihai Adrian Sopronyi, Stefan Antohe, and Nicu Doinel Scarisoreanu. 2025. "Large-Area Pulsed Laser Deposition Growth of Transparent Conductive Al-Doped ZnO Thin Films" Nanomaterials 15, no. 22: 1722. https://doi.org/10.3390/nano15221722
APA StyleBancu, E. I., Ion, V., Sopronyi, M. A., Antohe, S., & Scarisoreanu, N. D. (2025). Large-Area Pulsed Laser Deposition Growth of Transparent Conductive Al-Doped ZnO Thin Films. Nanomaterials, 15(22), 1722. https://doi.org/10.3390/nano15221722

