Influence of Electrical Transients and A/D Converter Dynamics on Thermal Resistance Measurements of Power MOSFETs
Highlights
- An analysis of datasheets of power MOSFETs indicates that the accuracy of thermal resistance measurements depends on the shortest thermal time constants of the tested transistors.
- Measurements performed using the system built by the authors indicate that electrical transients and oscillations are observed for up to several milliseconds, which may significantly affect measurement accuracy.
- The measurement error of thermal resistance is generally higher for power MOSFETs made of silicon carbide and gallium nitride than for silicon transistors.
- The measurement of the thermal sensitive electrical parameter (TSEP) during thermal resistance measurements of power MOSFETs should start only after electrical transients and oscillations have faded out. In the investigated system, this occurs up to 2.5 ms after the switchover from transistor heating to TSEP recording.
- The measurement error of thermal resistance for power MOSFETs made of silicon carbide is higher than for devices made of silicon or gallium nitride.
Abstract
1. Introduction
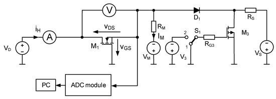
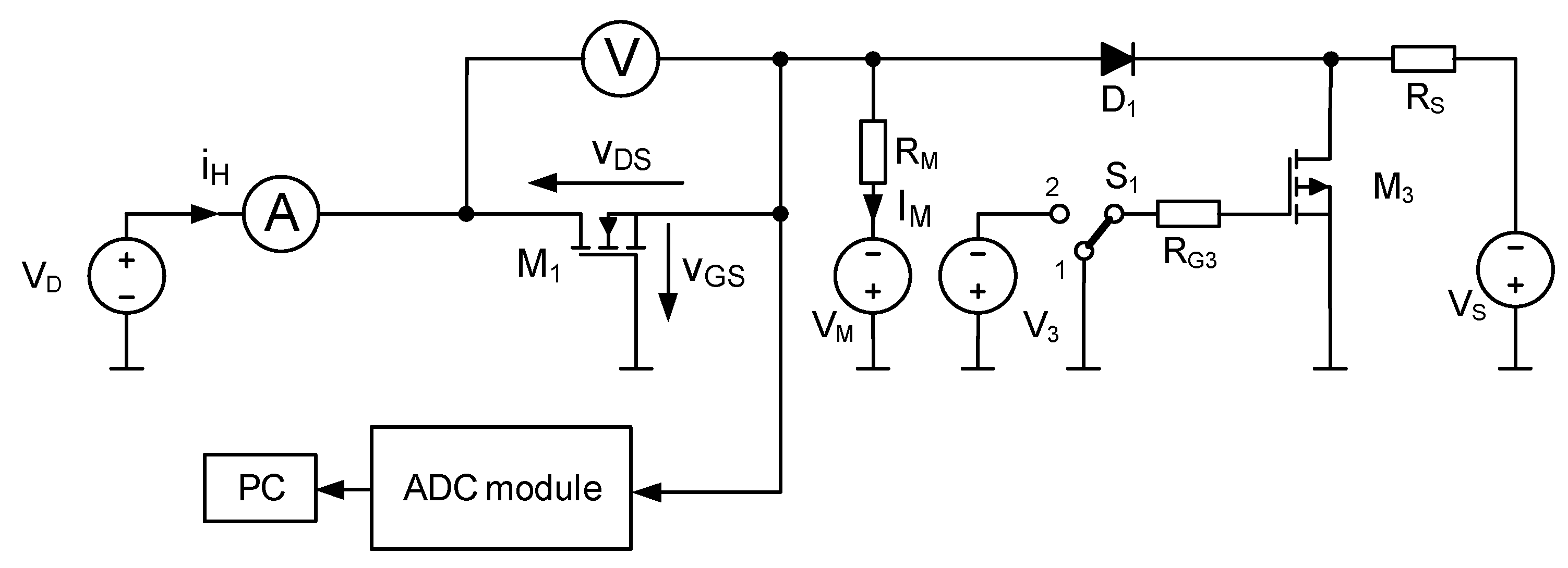
2. Measurement Method and System
- Measuring the thermometric characteristic VGS(Tj) of the DUT placed in a thermostatic chamber, biased at the operating point QM = (VDSM, IM), with switch S1 in position 2.
- Performing nonlinear regression to calculate the coefficients a, b, and c of a quadratic function approximating the dependence Tj(VGS).
- Heating the DUT until thermal steady state is reached (transistor biased at QH = (VDSH, IH), with power losses P = VDSH·IH, switch S1 in position 1).
- Switchover of the biasing circuit from heating to TSEP recording by changing the position of switch S1 from 1 to 2. This changes the operating point of the transistor from QH to QM = (VDSM, IDM). At this step, the value VGSH corresponding to the junction temperature is recorded immediately after the switchover.
- Calculating Rth from the measurement results using the following formula [17]:where VGSH is the gate-to-source voltage measured as soon as possible after the switchover of the measurement system.
3. Estimation of the Measurement Error
4. Investigation Results
4.1. Properties of Tested Devices
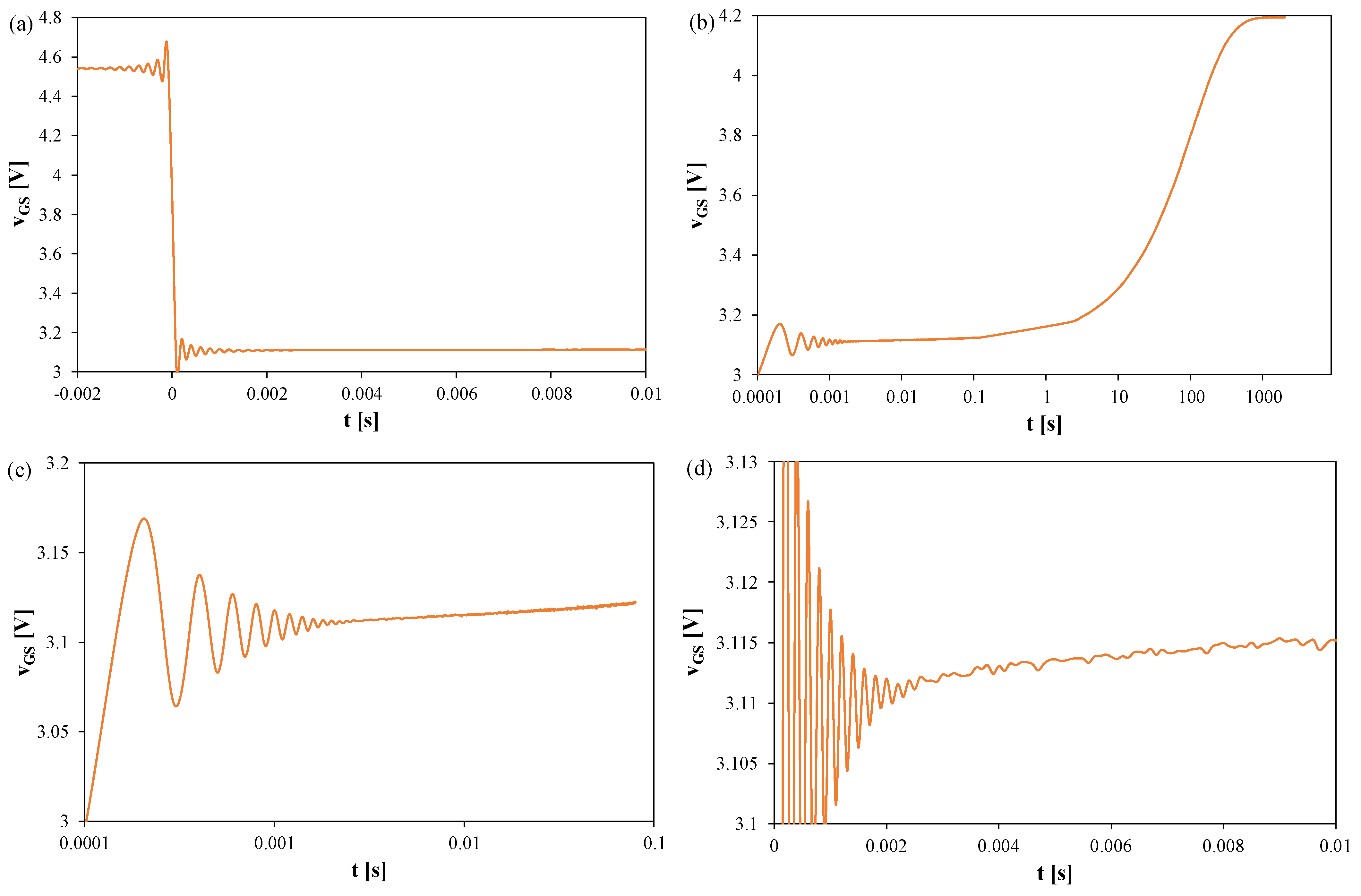
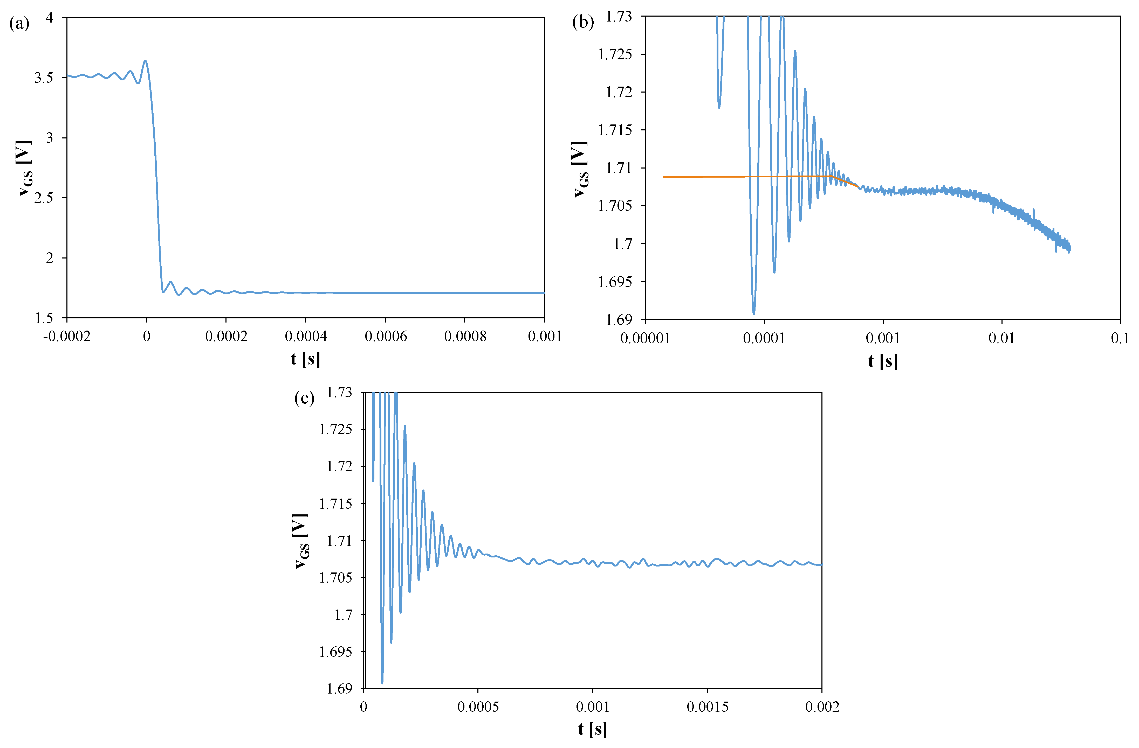
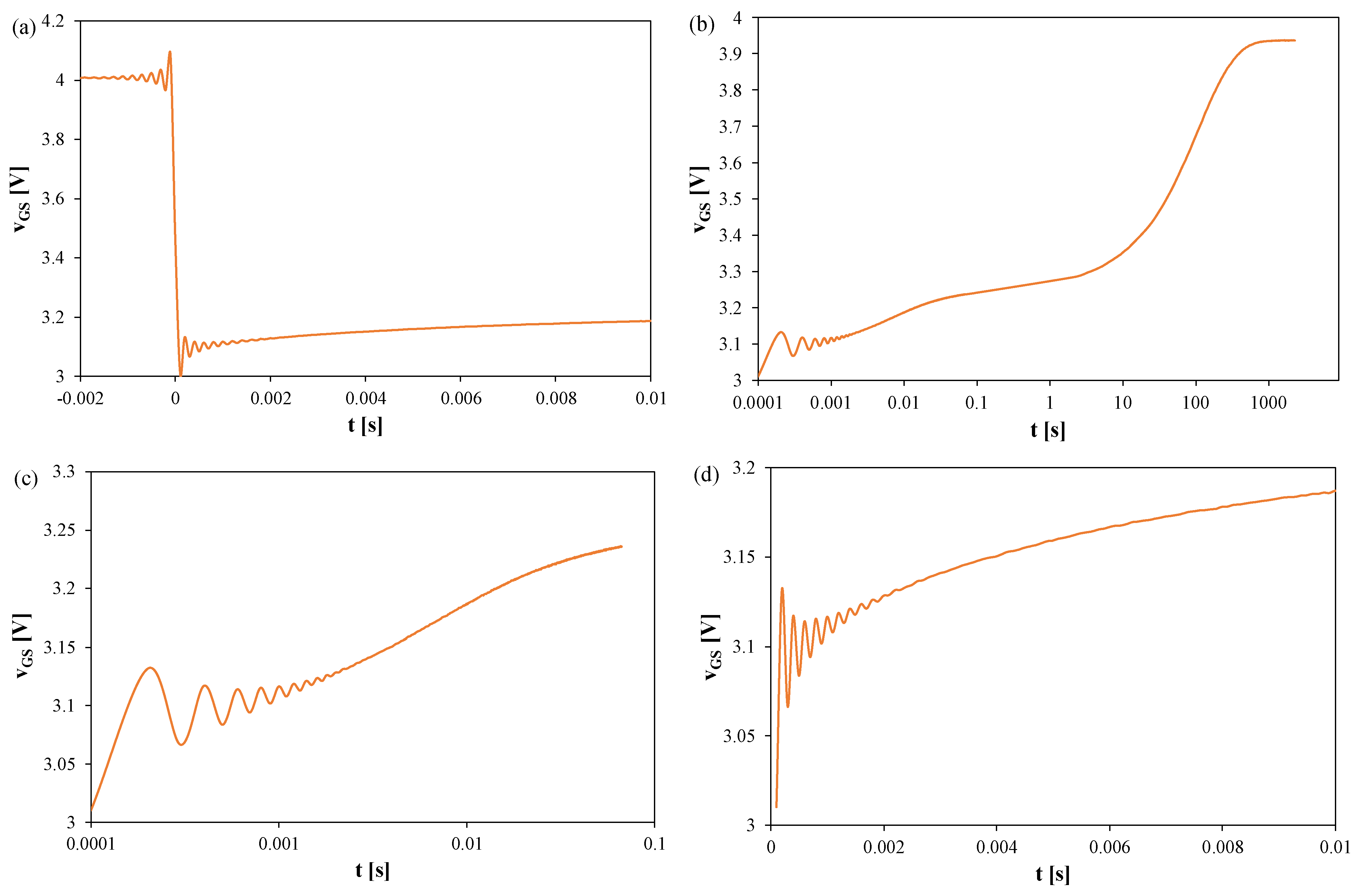
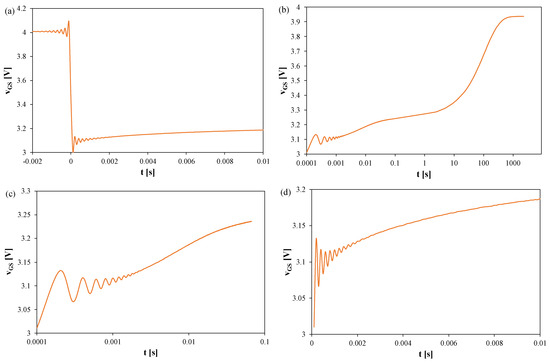
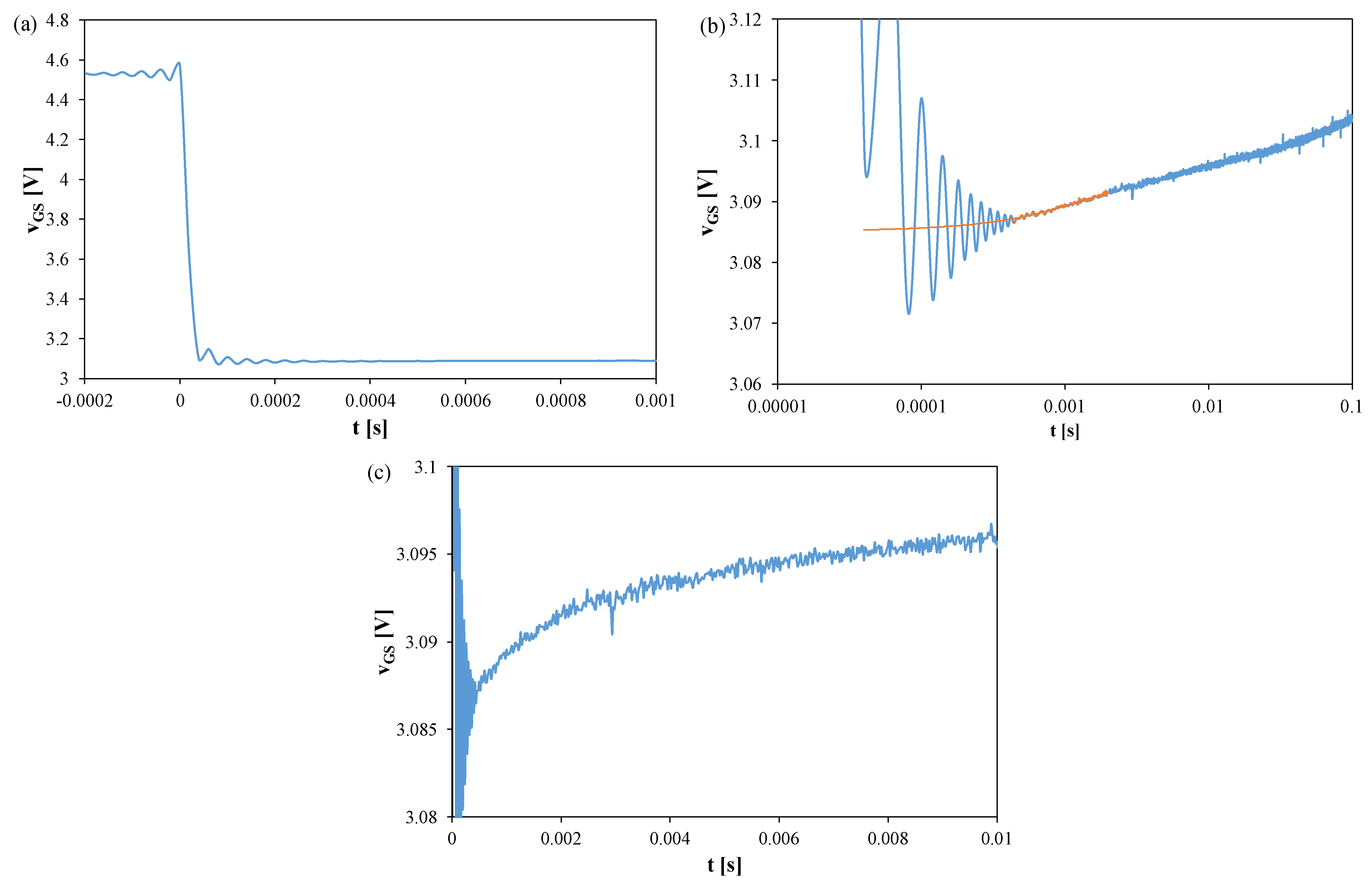
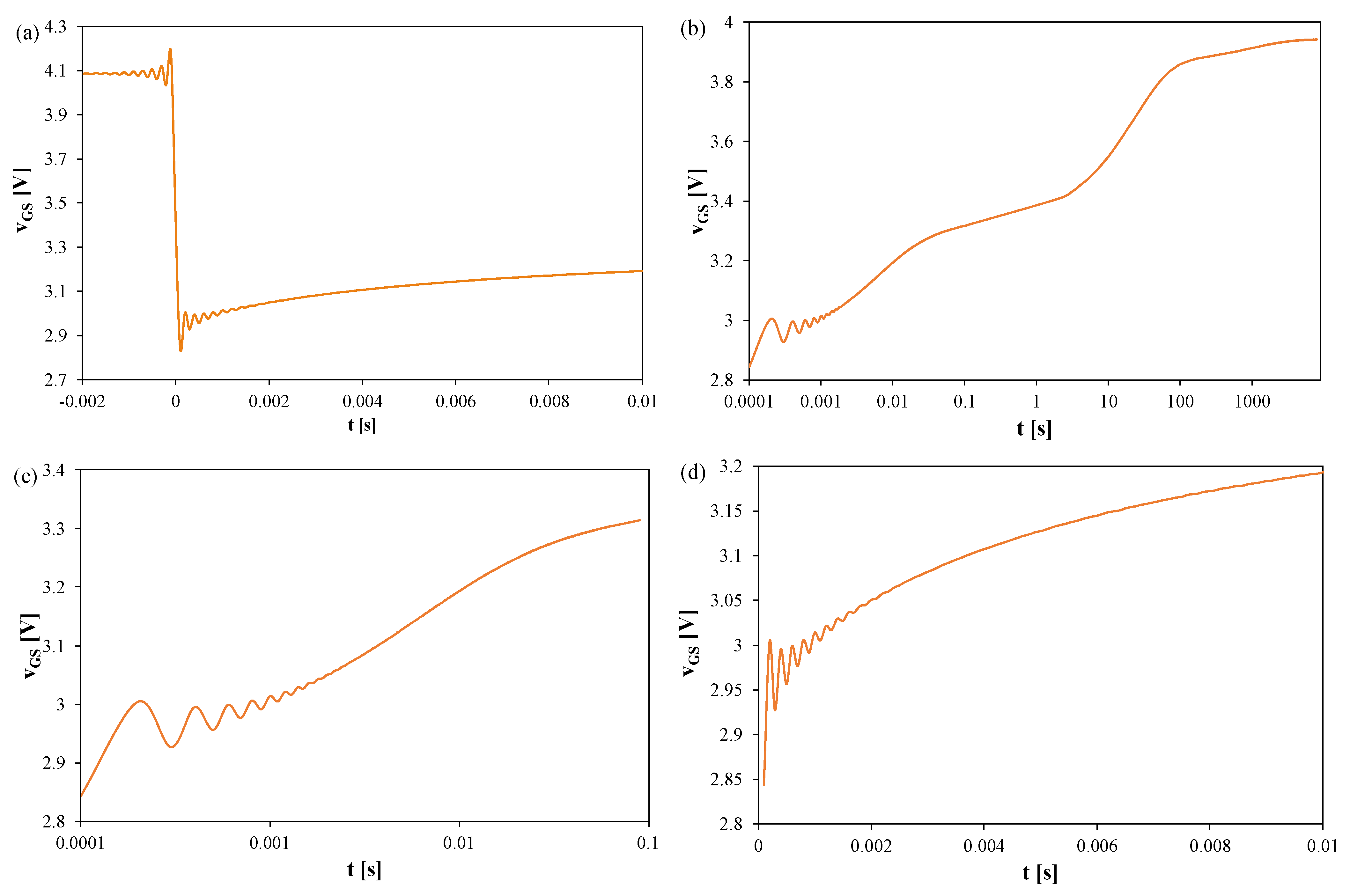
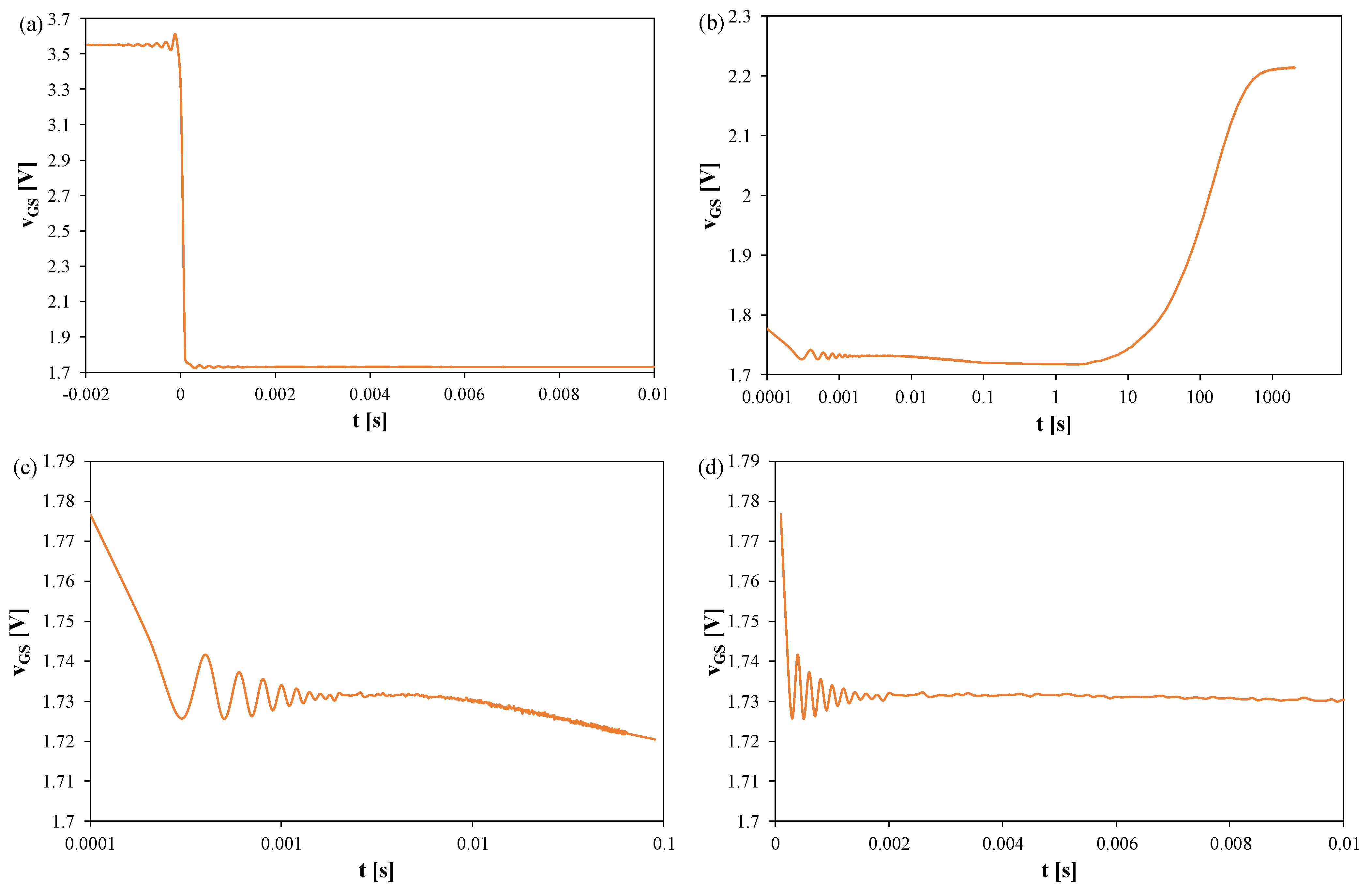
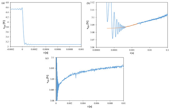
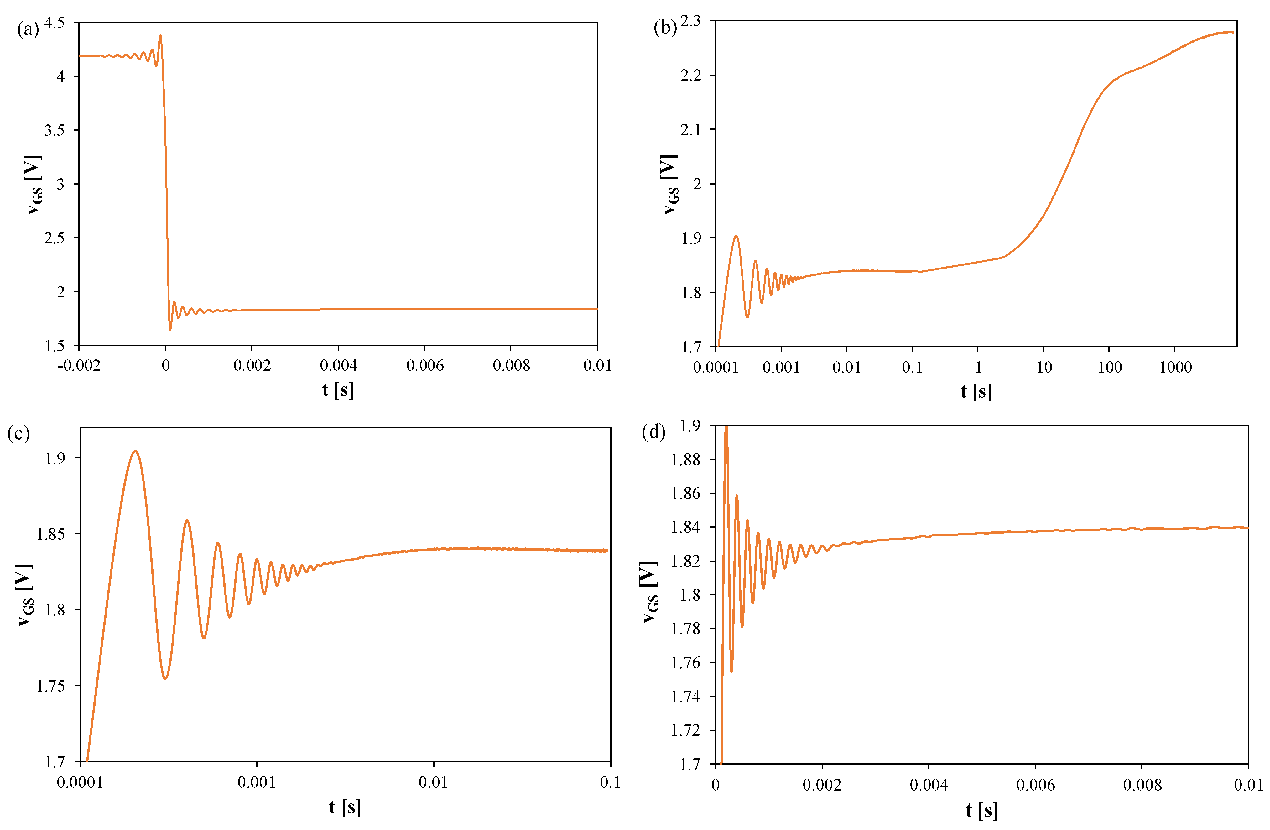
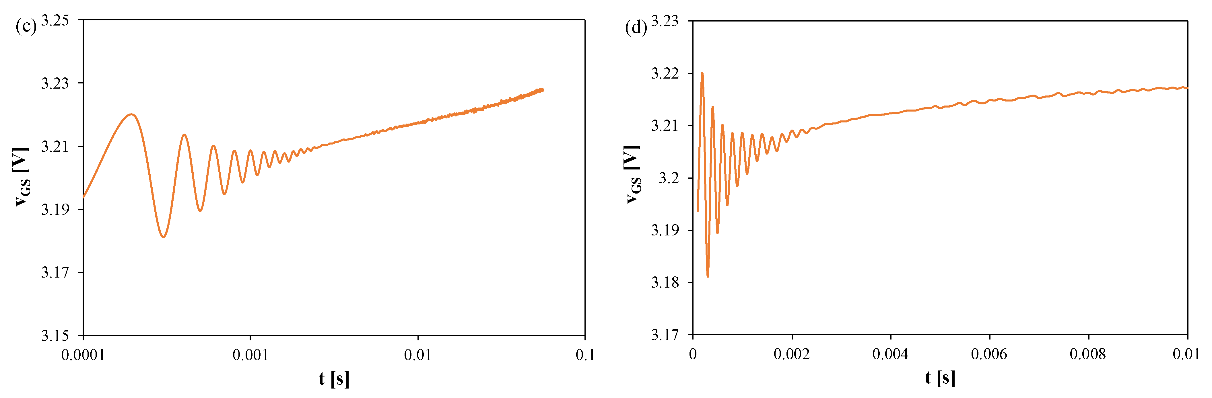
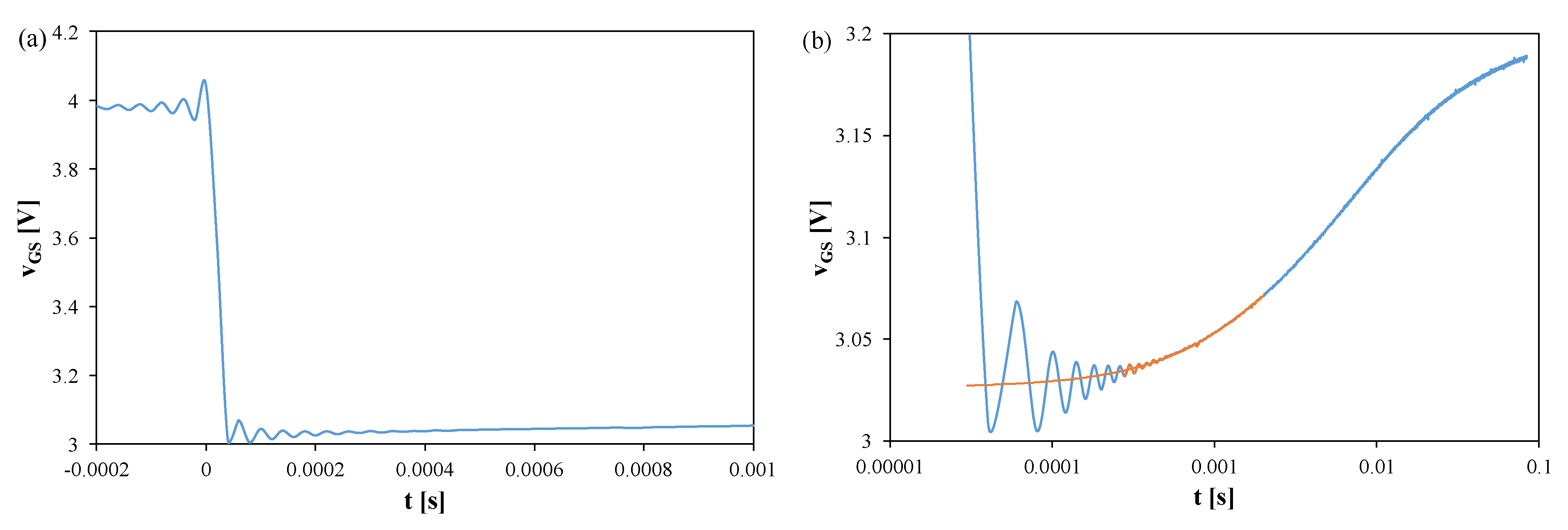
4.2. Influence of Recording Delay on Junction Temperature Measurement Error
4.3. Influence of ADC Properties on TSEP Recording Delay
4.4. Influence of Properties of ADC Module on a Measurement Error
5. Conclusions
Author Contributions
Funding
Institutional Review Board Statement
Informed Consent Statement
Data Availability Statement
Conflicts of Interest
References
- She, X.; Huang, A.Q.; Lucia, O.; Ozpineci, B. Review of Silicon Carbide Power Devices and Their Applications. IEEE Trans. Ind. Electron. 2017, 64, 8193–8205. [Google Scholar] [CrossRef]
- Rafin, S.M.S.H.; Ahmed, R.; Haque, M.A.; Hossain, M.K.; Haque, M.A.; Mohammed, O.A. Power Electronics Revolutionized: A Comprehensive Analysis of Emerging Wide and Ultrawide Bandgap Devices. Micromachines 2023, 14, 2045. [Google Scholar] [CrossRef]
- Millan, J.; Godignon, P.; Perpina, X.; Perez-Tomas, A.; Rebollo, J. A Survey of Wide Bandgap Power Semiconductor Devices. IEEE Trans. Power Electron. 2014, 29, 2155–2163. [Google Scholar] [CrossRef]
- Chen, Z.; Li, J.; Jin, R.; Cui, M.; Guo, C. Measurement of Thermal Resistance of SiC MOSFET Module Based on Conduction Voltage Drop. IEEE Trans. Instrum. Meas. 2024, 73, 1008609. [Google Scholar] [CrossRef]
- Wang, H.; Liserre, M.; Blaabjerg, F. Toward Reliable Power Electronics: Challenges, Design Tools, and Opportunities. IEEE Ind. Electron. Mag. 2013, 7, 17–26. [Google Scholar] [CrossRef]
- Dupont, L.; Avenas, Y. Preliminary evaluation of thermo-sensitive electrical parameters based on the forward voltage for online chip temperature measurements of IGBT devices. IEEE Trans. Ind. Appl. 2015, 51, 4688–4698. [Google Scholar] [CrossRef]
- Avenas, Y.; Dupont, L.; Khatir, Z. Temperature measurement of power semiconductor devices by thermo-sensitive electrical parameters—A review. IEEE Trans. Power Electron. 2012, 27, 3081–3092. [Google Scholar] [CrossRef]
- Lienhard, J.H., IV; Lienhard, J.H., V. A Heat Transfer Textbook, 3rd ed.; Phlogistion Press: Cambridge, MA, USA, 2008. [Google Scholar]
- Otomański, P.; Pawłowski, E.; Szlachta, A. In Situ Evaluation of the Self-Heating Effect in Resistance Temperature Sensors. Sensors 2025, 25, 3374. [Google Scholar] [CrossRef]
- Posobkiewicz, K.; Górecki, K. Influence of selected factors on parameters of a cooling system with a Peltier module and forced air flow. Microelectron. Int. 2022, 39, 141–146. [Google Scholar] [CrossRef]
- Górecki, K.; Posobkiewicz, K. Cooling systems of power semiconductor devices—A review. Energies 2022, 15, 4566. [Google Scholar] [CrossRef]
- Lasance, C.J.M.; Poppe, A. Thermal Management for LED Applications; Springer Science+Business Media: New York, NY, USA, 2014. [Google Scholar]
- Zhu, X.; Huang, Y.; Zhang, D.; Zhang, Y.; Wu, J.; Jiang, B.; Xia, L.; Gao, B.; Lv, C. Online Junction Temperature Measurement for Power MOSFETs Using the Body Diode Under Varying Forward Currents. Energies 2025, 18, 5045. [Google Scholar] [CrossRef]
- Blackburn, D.L. Temperature measurements of semiconductor devices—A review. In Proceedings of the Twentieth Annual IEEE Semiconductor Thermal Measurement and Management Symposium, San Jose, CA, USA, 9–11 March 2004; pp. 70–80. [Google Scholar] [CrossRef]
- Du, M.; Xin, J.; Wang, H.; Ouyang, Z.; Wei, K. Estimating Junction Temperature of SiC MOSFET Using Its Drain Current During Turn-On Transient. IEEE Trans. Electron Devices 2020, 67, 1911–1918. [Google Scholar] [CrossRef]
- Stella, F.; Pellegrino, G.; Armando, E.; Daprà, D. Online Junction Temperature Estimation of SiC Power MOSFETs Through On-State Voltage Mapping. IEEE Trans. Ind. Appl. 2018, 54, 3453–3462. [Google Scholar] [CrossRef]
- Górecki, K.; Posobkiewicz, K. Selected problems of power MOSFETs thermal parameters measurements. Energies 2021, 14, 8353. [Google Scholar] [CrossRef]
- Colino, S.L.; Beach, R.A. Fundamentals of Gallium Nitride Power Transistors. Application Note: An002, EPC—Power Conversion Technology Lead, 2020. Available online: https://epc-co.com/epc/Portals/0/epc/documents/product-training/appnote_ganfundamentals.pdf (accessed on 25 October 2025).
- Morel, C.; Morel, J.-Y. Power Semiconductor Junction Temperature and Lifetime Estimations: A Review. Energies 2024, 17, 4589. [Google Scholar] [CrossRef]
- Zięba, D.; Rąbkowski, J. Problems related to the correct determination of switching power losses in high-speed SiC MOSFET power modules. Bull. Pol. Acad. Sci. Tech. Sci. 2022, 70, e140695. [Google Scholar] [CrossRef]
- Wang, H.; Yuan, C.; Xin, Y.; Shi, Y.; Zhong, Y.; Huang, Y.; Lu, G. Investigation on the Thermal Characteristics of Enhancement-Mode p-GaN HEMT Device on Si Substrate Using Thermoreflectance Microscopy. Micromachines 2022, 13, 466. [Google Scholar] [CrossRef]
- Kim, J.; Lim, S.; Choi, G.E.; Park, J.-k.; Cha, H.-Y.; Kwak, C.-H.; Lim, J.; Moon, Y.; Song, J.-H. Simultaneous Submicron Temperature Mapping of Substrate and Channel in p-GaN/AlGaN/GaN HEMTs Using Raman Thermometry. Appl. Sci. 2025, 15, 7860. [Google Scholar] [CrossRef]
- Martin-Horcajó, S.; Pomeroy, J.W.; Lambert, B.; Jung, H.; Blanck, H.; Kuball, M. Transient Thermoreflectance for Gate Temperature Assessment in Pulse-Operated GaN-based HEMTs. IEEE Electron Device Lett. 2016, 37, 1197–1200. [Google Scholar] [CrossRef]
- Huang, X.; Weng, Q.; Zhang, Y.; Guo, C.; Feng, S. Temperature rise detection in GaN high-electron-mobility transistors: Electrical method for junction temperature and thermal resistance. Microelectron. J. 2024, 148, 106200. [Google Scholar] [CrossRef]
- Pirosca, A.V.; Vecchio, M.; Rizzo, S.A.; Iannuzzo, F. Evaluation of the Thermal Resistance in GaN HEMTs Using Thermo-Sensitive Electrical Parameters. Energies 2023, 16, 2779. [Google Scholar] [CrossRef]
- Cutivet, A.; Bouchilaoun, M.; Hassan, B.; Rodriguez, C.J.; Ali, S.; Boone, F.; Maher, H. Thermal Transient Extraction for GaN HEMTs by Frequency-Resolved Gate Resistance Thermometry with Sub-100 ns Time Resolution. Phys. Status Solidi (A) Appl. Mater. Sci. 2018, 216, 1800503. [Google Scholar] [CrossRef]
- Pavlidis, G.; Graham, S. Monitoring the Transient Thermal Response of AlGaN/GaN HEMTs using Transient Thermoreflectance Imaging. In Proceedings of the CS MANTECH Conference, New Orlean, LA, USA, 19–22 May 2025; Available online: https://csmantech.org/wp-content/acfrcwduploads/field_5e8cddf5ddd10/post_4258/11.1.pdf (accessed on 19 October 2025).
- Zheng, X.; Pomeroy, J.W.; Jindal, G.; Kuball, M. Temperature-Dependent Thermal Impedance Measurement of GaN-Based HEMTs Using Transient Thermoreflectance. IEEE Trans. Electron Devices 2024, 71, 2367–2372. [Google Scholar] [CrossRef]
- Chen, S.-H.; Chou, P.-C.; Cheng, S. Evaluation of thermal performance of packaged GaN HEMT cascode power switch by transient thermal testing. Appl. Therm. Eng. 2016, 98, 1003–1012. [Google Scholar] [CrossRef]
- Hara, T.; Yanai, K. Transient Thermal Characterization for GaN HEMTs with p-Type Gate. Trans. Jpn. Inst. Electron. Packag. 2020, 13, E19-002-1–E19-002-13. [Google Scholar] [CrossRef]
- Bagnall, K.R.; Saadat, O.I.; Joglekar, S.; Palacios, T.; Wang, E.N. Experimental Characterization of the Thermal Time Constants of GaN HEMTs Via Micro-Raman Thermometry. IEEE Trans. Electron Devices 2017, 64, 2121–2128. [Google Scholar] [CrossRef]
- González, B.; Nunes, L.C.; Gomes, J.L.; Mendes, J.C.; Jimenez, J.L. A Simple Method to Extract the Thermal Resistance of GaN HEMTs from De-trapping Characteristics. IEEE Electron Device Lett. 2023, 44, 891–894. [Google Scholar] [CrossRef]
- Li, X.; Feng, S.; Liu, C.; Zhang, Y.; Bai, K.; Xiao, Y.; Zheng, X.; He, X.; Pan, S.; Lin, G.; et al. A Drain–Source Connection Technique: Thermal Resistance Measurement Method for GaN HEMTs Using TSEP at High Voltage. IEEE Trans. Electron Devices 2020, 67, 5454–5459. [Google Scholar] [CrossRef]
- Wang, K.; Zhu, Y.; Zhao, H.; Zhao, R.; Zhu, B. Steady-State Temperature-Sensitive Electrical Parameters’ Characteristics of GaN HEMT Power Devices. Electronics 2024, 13, 363. [Google Scholar] [CrossRef]
- VSmirnov, I.; Sergeev, V.A.; Gavrikov, A.A.; Kulikov, A.A. Measuring Thermal Resistance of GaN HEMTs Using Modulation Method. IEEE Trans. Electron Devices 2020, 67, 4112–4117. [Google Scholar] [CrossRef]
- Leung, W.T.; Niroomand, M.; Jahdi, S.; Stark, B.H. Accelerated Power Cycling of GaN HEMTs using Switching Loss and Fast Temperature Measurement. In Proceedings of the PCIM Europe 2024, International Exhibition and Conference for Power Electronics, Intelligent Motion, Renewable Energy and Energy Management, Nürnberg, Germany, 11–13 June 2024; pp. 74–83. [Google Scholar]
- González, B.; Lázaro, A.; Rodríguez, R. RF Extraction of Thermal Resistance for GaN HEMTs on Silicon. IEEE Trans. Electron Devices 2022, 69, 2307–2312. [Google Scholar] [CrossRef]
- Luo, N.; Wen, H.; Liu, W.; Jiang, L. High-Accuracy Thermal Resistance Measurement Method for GaN HEMTs Based on Harmonic Pulsewidth Subthreshold. IEEE Trans. Electron Devices 2025, 72, 186–192. [Google Scholar] [CrossRef]
- Oettinger, F.F.; Blackburn, D.L. Semiconductor Measurement Technology: Thermal Resistance Measurements; NIST/SP-400/86; U. S. Department of Commerce: Washington, DC, USA, 1990. [Google Scholar]
- Szekely, V.; Rencz, M.; Courtois, B. Thermal investigations of IC’s and microstructures. Microelectron. J. 1997, 28, 205–207. [Google Scholar] [CrossRef]
- Janicki, M.; Sarkany, Z.; Napieralski, A. Impact of nonlinearities on electronic device transient thermal responses. Microelectron. J. 2014, 45, 1721–1725. [Google Scholar] [CrossRef]
- Górecki, K.; Posobkiewicz, K. Influence of a Cooling System on Power MOSFETs’ Thermal Parameters. Energies 2022, 15, 2923. [Google Scholar] [CrossRef]
- Posobkiewicz, K.; Data, A.; Górecki, K. Realizacja praktyczna układu do pomiaru parametrów cieplnych tranzystorów MOS mocy. Przegląd Elektrotech. 2022, 98, 143–146. [Google Scholar] [CrossRef]
- Górecki, K.; Górecki, P. The analysis of accuracy of the selected methods of measuring thermal resistance of IGBTs. Metrol. Meas. Syst. 2015, 22, 455–464. [Google Scholar] [CrossRef]
- Poppe, A. Thermal measurements and modelling. The transient and multichip issues. In Proceedings of the Tutorial, 11th THERMINIC Workshop, Belgirate, Italy, 28–30 September 2005; Available online: https://therminic.org/therminic2005/APoppe_Tutorial.pdf (accessed on 25 October 2025).
- Górecki, K.; Ptak, P.; Janicki, M. Investigations of mutual thermal couplings in selected lighting sources with power LEDs. IEEE Trans. Compon. Packag. Manuf. Technol. 2023, 13, 1130–1138. [Google Scholar] [CrossRef]
- Górecki, K.; Zarębski, J.; Górecki, P.; Ptak, P. Compact thermal models of semiconductor devices—A review. Int. J. Electron. Telecommun. 2019, 65, 151–158. [Google Scholar] [CrossRef]
- Q3-Class HiperFETTM Power MOSFET IXFT15N100Q3. Datasheet, IXYS. Available online: https://www.littelfuse.com/assetdocs/littelfuse-discrete-mosfets-ixf-15n100q3-datasheet?assetguid=2eb816c3-afba-4569-a822-bf202a29101a (accessed on 25 October 2025).
- C3M0280090D Silicon Carbide Power MOSFET C3MTM MOSFET Technology N-Channel Enhancement Mode, Datasheet, Wolfspeed. Available online: https://assets.wolfspeed.com/uploads/2024/01/Wolfspeed_C3M0280090D_data_sheet.pdf (accessed on 25 October 2025).
- TP65H050G4WS 650V SuperGaN® FET in TO-247, Datasheet, Renesas. Available online: https://www.renesas.com/en/document/dst/tp65h050g4ws-datasheet?srsltid=AfmBOoqozaz7wACgGCUbMFgBFVVkHzt85B4aDjzMvy2Mj5oLcDjC-6F7 (accessed on 25 October 2025).
- Buffolo, M.; Favero, D.; Marcuzzi, A.; De Santi, C.; Meneghesso, G.; Zanoni, E.; Meneghini, M. Review and Outlook on GaN and SiC Power Devices: Industrial State-of-the-Art, Applications, and Perspectives. IEEE Trans. Electron Devices 2024, 71, 1344–1355. [Google Scholar] [CrossRef]
- Jiang, H.; Qi, X.; Qiu, G.; Zhong, X.; Tang, L.; Mao, H.; Wu, Z.; Chen, H.; Ran, L. A Physical Explanation of Threshold Voltage Drift of SiC MOSFET Induced by Gate Switching. IEEE Trans. Power Electron. 2022, 37, 8830–8834. [Google Scholar] [CrossRef]













| Parameter | Si | SiC | GaN |
|---|---|---|---|
| Rth [K/W] | 0.181 | 2.279 | 1.061 |
| a1 | 0.192 | 0.177 | 0.045 |
| τth1 [ms] | 629.35 | 25.9 | 100.97 |
| a2 | 0.426 | 0.449 | 0.444 |
| τth2 [ms] | 74.3 | 3.21 | 10.31 |
| a3 | 0.243 | 0.275 | 0.382 |
| τth3 [ms] | 11.89 | 0.75 | 2.77 |
| a4 | 0.084 | 0.099 | 0.069 |
| τth4 [ms] | 1.75 | 0.04 | 0.26 |
| a5 | 0.034 | 0.060 | |
| τth5 [ms] | 0.2 | 0.04 |
| Power P [W] | Time td [ms] | Si | SiC | GaN |
|---|---|---|---|---|
| 10 | 0.1 | 0.075 | 3.183 | 1.008 |
| 10 | 0.3 | 0.124 | 5.281 | 1.690 |
| 10 | 1 | 0.212 | 9.763 | 3.021 |
| 10 | 3 | 0.354 | 15.064 | 5.253 |
| 25 | 0.1 | 0.189 | 7.957 | 2.519 |
| 25 | 0.3 | 0.310 | 13.202 | 4.225 |
| 25 | 1 | 0.529 | 24.408 | 7.553 |
| 25 | 3 | 0.886 | 37.659 | 13.132 |
| 50 | 0.1 | 0.377 | 15.914 | 5.039 |
| 50 | 0.3 | 0.620 | 26.403 | 8.450 |
| 50 | 1 | 1.058 | 48.816 | 15.107 |
| 50 | 3 | 1.772 | 75.318 | 26.264 |
| Power P [W] | Time td [ms] | Si | SiC | GaN |
|---|---|---|---|---|
| 1 | 0.1 | 0.016 | 0.356 | 0.179 |
| 1 | 0.3 | 0.038 | 0.591 | 0.388 |
| 1 | 1 | 0.073 | 1.09 | 0.907 |
| 1 | 3 | 0.105 | 1.69 | 1.80 |
| 2.5 | 0.1 | 0.040 | 0.891 | 0.446 |
| 2.5 | 0.3 | 0.096 | 1.48 | 0.970 |
| 2.5 | 1 | 0.182 | 2.73 | 2.27 |
| 2.5 | 3 | 0.263 | 4.22 | 4.50 |
| 5 | 0.1 | 0.080 | 1.78 | 0.893 |
| 5 | 0.3 | 0.192 | 2.96 | 1.94 |
| 5 | 1 | 0.363 | 5.46 | 4.53 |
| 5 | 3 | 0.525 | 8.43 | 9.00 |
| Power P [W] | Time td [ms] | Si | SiC | GaN |
|---|---|---|---|---|
| 4 | 0.1 | 1.18 | 1.84 | 0.708 |
| 4 | 0.3 | 1.31 | 3.15 | 1.56 |
| 4 | 1 | 1.34 | 6.06 | 3.81 |
| 4 | 3 | 1.40 | 9.70 | 7.98 |
| 8 | 0.1 | 2.37 | 3.68 | 1.42 |
| 8 | 0.3 | 2.61 | 6.30 | 3.11 |
| 8 | 1 | 2.69 | 12.1 | 7.61 |
| 8 | 3 | 2.81 | 19.4 | 16.0 |
| 12 | 0.1 | 3.55 | 5.53 | 2.12 |
| 12 | 0.3 | 3.92 | 9.44 | 4.67 |
| 12 | 1 | 4.03 | 18.2 | 11.4 |
| 12 | 3 | 4.21 | 29.1 | 24.0 |
| Cooling Conditions | Time td [ms] | Si | SiC | GaN |
|---|---|---|---|---|
| Transistor without a cooling system (Rth = 40 K/W) | 0.1 | 0.019% | 0.796% | 0.252% |
| 0.3 | 0.031% | 1.320% | 0.422% | |
| 1 | 0.053% | 2.441% | 0.755% | |
| 3 | 0.089% | 3.766% | 1.313% | |
| Transistor on a heat sink (Rth = 7 K/W + Rthj-c) | 0.1 | 0.105% | 3.430% | 1.250% |
| 0.3 | 0.173% | 5.691% | 2.096% | |
| 1 | 0.295% | 10.522% | 3.748% | |
| 3 | 0.494% | 16.234% | 6.516% | |
| Ideal cooling of the transistor case (Rth = Rthj-c) | 0.1 | 4.168% | 13.97% | 9.498% |
| 0.3 | 6.851% | 23.17% | 15.93% | |
| 1 | 11.69% | 42.84% | 28.48% | |
| 3 | 19.58% | 66.10% | 49.51% |
| Cooling Conditions | TS [μs] | Si | SiC | GaN |
|---|---|---|---|---|
| Transistor without a heat sink | 20 | 0.201% | 9.84% | 1.29% |
| 100 | 0.376% | 10.31% | 4.72% | |
| Transistor on the heat sink | 20 | 3.01% | 9.47% | 3.20% |
| 100 | 3.14% | 19.06% | 9.57% |
Disclaimer/Publisher’s Note: The statements, opinions and data contained in all publications are solely those of the individual author(s) and contributor(s) and not of MDPI and/or the editor(s). MDPI and/or the editor(s) disclaim responsibility for any injury to people or property resulting from any ideas, methods, instructions or products referred to in the content. |
© 2025 by the authors. Licensee MDPI, Basel, Switzerland. This article is an open access article distributed under the terms and conditions of the Creative Commons Attribution (CC BY) license (https://creativecommons.org/licenses/by/4.0/).
Share and Cite
Górecki, K.; Posobkiewicz, K. Influence of Electrical Transients and A/D Converter Dynamics on Thermal Resistance Measurements of Power MOSFETs. Sensors 2025, 25, 6691. https://doi.org/10.3390/s25216691
Górecki K, Posobkiewicz K. Influence of Electrical Transients and A/D Converter Dynamics on Thermal Resistance Measurements of Power MOSFETs. Sensors. 2025; 25(21):6691. https://doi.org/10.3390/s25216691
Chicago/Turabian StyleGórecki, Krzysztof, and Krzysztof Posobkiewicz. 2025. "Influence of Electrical Transients and A/D Converter Dynamics on Thermal Resistance Measurements of Power MOSFETs" Sensors 25, no. 21: 6691. https://doi.org/10.3390/s25216691
APA StyleGórecki, K., & Posobkiewicz, K. (2025). Influence of Electrical Transients and A/D Converter Dynamics on Thermal Resistance Measurements of Power MOSFETs. Sensors, 25(21), 6691. https://doi.org/10.3390/s25216691

