Eu-Doped Nickelate as a Platform for an Enzyme-Based Resistive Biosensor for Glucose
Abstract
1. Introduction
2. Materials and Methods
2.1. Chemicals
2.2. Precursor Solution
Nd1−xEuxNiO3 Film Deposition
2.3. Apparatus and Procedures
2.4. Bio-Interface
3. Results
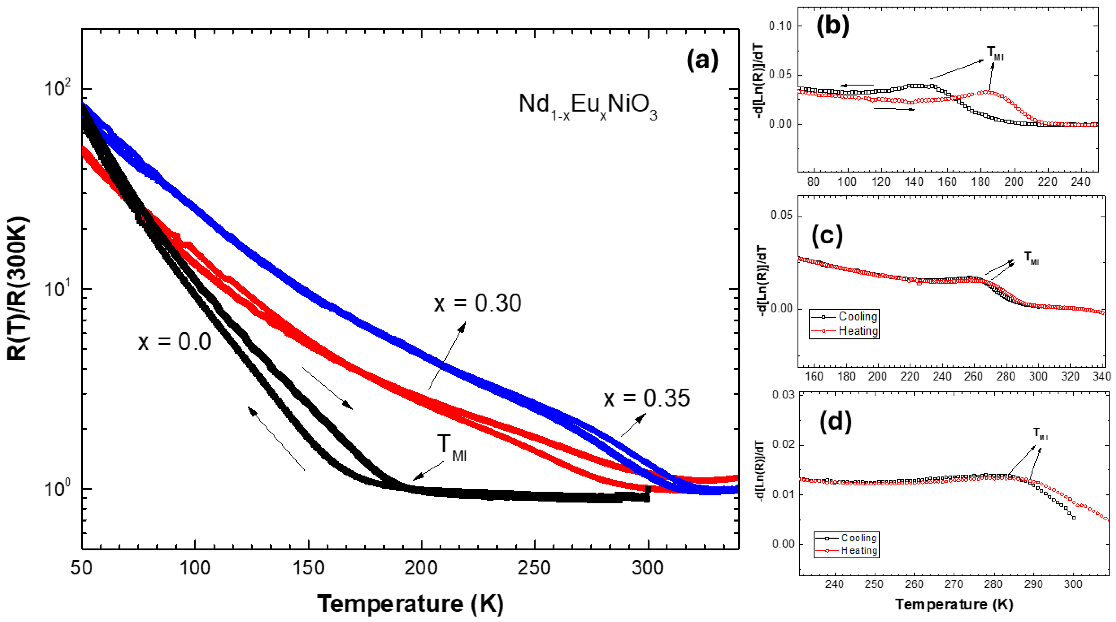
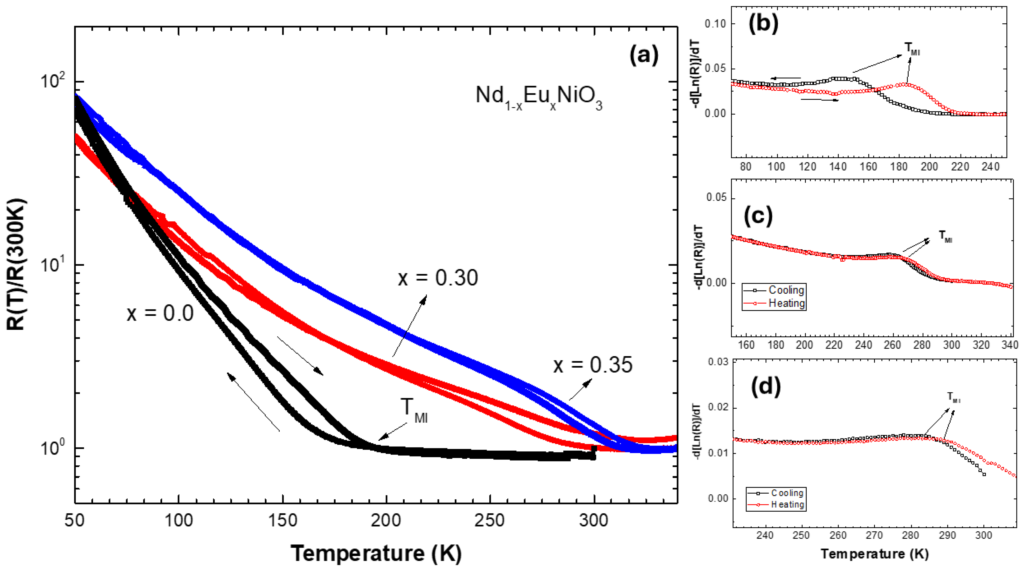
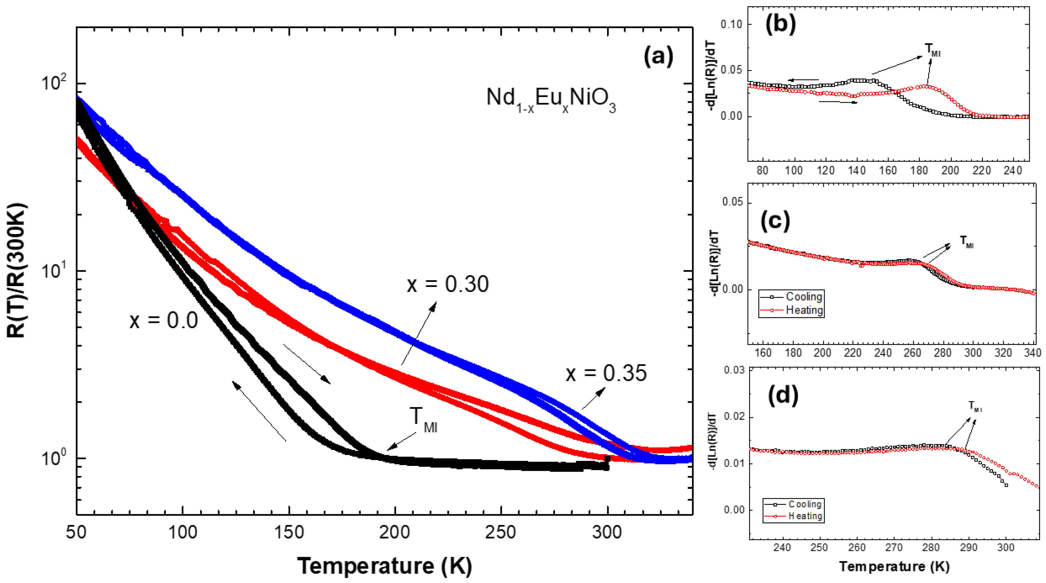
3.1. Structural, Morphological, and Electrical Characterization of Nd1−xEuxNiO3 Films
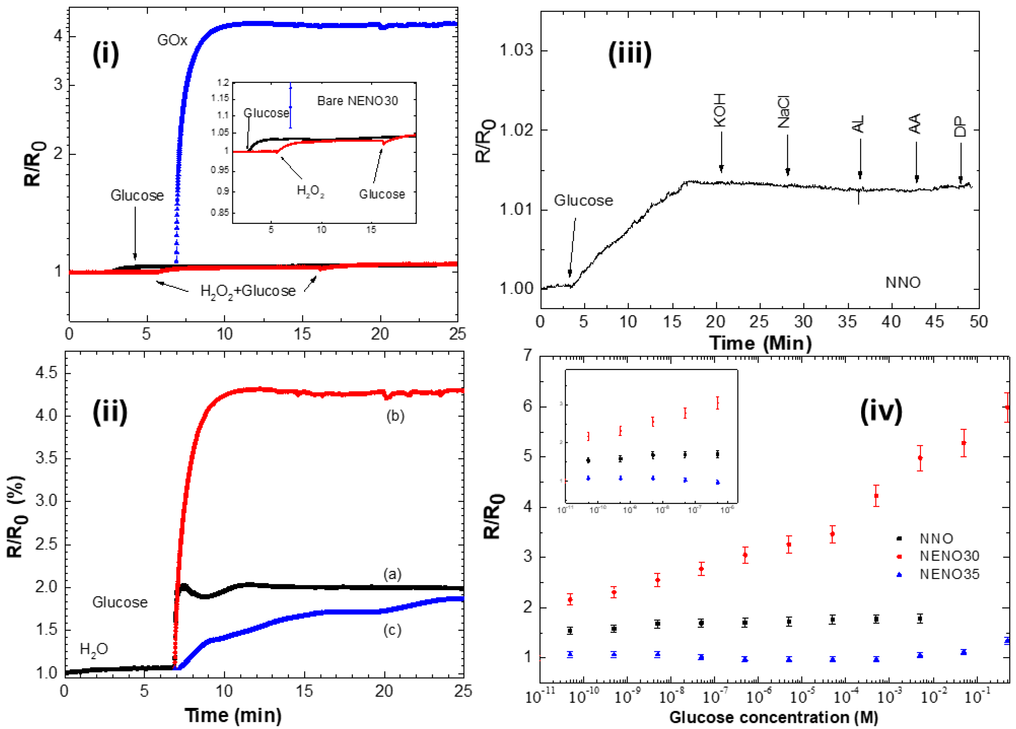
3.2. Nd1−xEuxNiO3 as a Platform for Biosensors
4. Conclusions
Supplementary Materials
Author Contributions
Funding
Institutional Review Board Statement
Informed Consent Statement
Data Availability Statement
Acknowledgments
Conflicts of Interest
Abbreviations
| NNO | NdNiO3 |
| NENO30 | Nd0.7Eu0.3NiO3 |
| NENO35 | Nd0.65Eu0.35NiO3 |
| GOx | Glucose Oxidase |
| CysAm | Cysteamine |
| HRP | horseradish peroxidase |
References
- Grünblatt, E.; Ohki, C.M.Y.; Schmitt-Böhrer, G.A.; Riederer, P.; Walitza, S. Exploring the interplay of glucose metabolism, insulin resistance, and neurodegenerative pathologies: Insights from streptozotocin and hypoglycaemic in vitro models. J. Neural Transm. 2025, 132, 1479–1491. [Google Scholar] [CrossRef]
- Collotta, D.; Ferreira Alves, G. Editorial: Unveiling the role of carbohydrates in cardiometabolic health. Front. Nutr. 2025, 12, 1568319. [Google Scholar] [CrossRef]
- Krook, A.; Mulder, H. Pinpointing precision medicine for diabetes mellitus. Diabetologia 2022, 65, 1755–1757. [Google Scholar] [CrossRef]
- Reddy, V.S.; Agarwal, B.; Ye, Z.; Zhang, C.; Roy, K.; Chinnappan, A.; Narayan, R.J.; Ramakrishna, S.; Ghosh, R. Recent Advancement in Biofluid-Based Glucose Sensors Using Invasive, Minimally Invasive, and Non-Invasive Technologies: A Review. Nanomaterials 2022, 12, 1082. [Google Scholar] [CrossRef]
- Zafar, H.; Channa, A.; Jeoti, V.; Stojanović, G.M. Comprehensive Review on Wearable Sweat-Glucose Sensors for Continuous Glucose Monitoring. Sensors 2022, 22, 638. [Google Scholar] [CrossRef] [PubMed]
- Singhal, C.M.; Kaushik, V.; Awasthi, A.; Zalke, J.B.; Palekar, S.; Rewatkar, P.; Srivastava, S.K.; Kulkarni, M.B.; Bhaiyya, M.L. Deep Learning-Enhanced Portable Chemiluminescence Biosensor: 3D-Printed, Smartphone-Integrated Platform for Glucose Detection. Bioengineering 2025, 12, 119. [Google Scholar] [CrossRef] [PubMed]
- Ye, W.; Ruiyi, L.; Zaijun, L. Ultrasensitive electrochemical sensor for monitoring glucose in sweat based on Ta0.975Au0.025O1.05-graphene nanobelt nanocomposite with excellent catalytic activity and specificity. Microchim. Acta 2025, 192, 1–14. [Google Scholar] [CrossRef]
- Peng, L.; Liu, Y.; Wu, Q.; Zhou, L.; Dong, M.; Zhong, L. Au-doped MoS2 nanozyme with self-cascade catalytic performance for one-step glucose detection application. Anal. Bioanal. Chem. 2025, 417, 4945–4955. [Google Scholar] [CrossRef] [PubMed]
- Zhang, H.-T.; Zuo, F.; Li, F.; Chan, H.; Wu, Q.; Zhang, Z.; Narayanan, B.; Ramadoss, K.; Chakraborty, I.; Saha, G.; et al. Perovskite nickelates as bio-electronic interfaces. Nat. Commun. 2019, 10, 1–7. [Google Scholar] [CrossRef]
- Sun, Y.; Nguyen, T.N.H.; Anderson, A.; Cheng, X.; Gage, T.E.; Lim, J.; Zhang, Z.; Zhou, H.; Rodolakis, F.; Zhang, Z.; et al. In Vivo Glutamate Sensing inside the Mouse Brain with Perovskite Nickelate-Nafion Heterostructures. ACS Appl. Mater. Interfaces 2020, 12, 24564–24574. [Google Scholar] [CrossRef]
- Xu, S.; Lee, T.R. Fe3O4 nanoparticles: Structures, synthesis, magnetic properties, surface functionalization, and emerging applications. Appl. Sci. 2021, 11, 11301. [Google Scholar] [CrossRef]
- Thatikayala, D.; Ponnamma, D.; Sadasivuni, K.K.; Cabibihan, J.J.; Al-Ali, A.K.; Malik, R.A.; Min, B. Progress of Advanced Nanomaterials in the Non-Enzymatic Electrochemical Sensing of Glucose and H2O2. Biosensors 2020, 10, 151. [Google Scholar] [CrossRef]
- Jahani, P.M.; Javar, H.A.; Mahmoudi-Moghaddam, H. A new electrochemical sensor based on Europium-doped NiO nanocomposite for detection of venlafaxine. Measurement 2021, 173, 108616. [Google Scholar] [CrossRef]
- Huang, J.; Wang, S.; Ding, J.; Li, S.; Xu, J. Enhanced glucose sensing performance via synergistic integration of silver nanowires and cobalt oxide. Surf. Interfaces 2025, 72, 107065. [Google Scholar] [CrossRef]
- Chen, T.-W.; Ramachandran, R.; Chen, S.-M.; Anushya, G.; Ramachandran, K. Graphene and Perovskite-Based Nanocomposite for Both Electrochemical and Gas Sensor Applications: An Overview. Sensors 2020, 20, 6755. [Google Scholar] [CrossRef] [PubMed]
- Singh, Y.; Verma, S.K.; Kandadai, N.; Subbaraman, H. Highly Sensitive Graphene-Assisted Large-Area Kapton-Based Flexible Surface Plasmon Resonance Biosensor for Enzymatic Glucose Detection. ACS Appl. Mater. Interfaces 2025, 17, 45527–45537. [Google Scholar] [CrossRef]
- Sivakumar, M.; Pandi, K.; Chen, S.-M.; Cheng, Y.-H.; Sakthivel, M. Facile synthesis of perovskite-type NdNiO3 nanoparticles for an effective electrochemical non-enzymatic glucose biosensor. New J. Chem. 2017, 41, 11201–11207. [Google Scholar] [CrossRef]
- He, J.; Sunarso, J.; Zhu, Y.; Zhong, Y.; Miao, J.; Zhou, W.; Shao, Z. High-performance non-enzymatic perovskite sensor for hydrogen peroxide and glucose electrochemical detection. Sens. Actuat. B-Chem. 2017, 244, 482–491. [Google Scholar] [CrossRef]
- Wang, B.; Gu, S.; Ding, Y.; Chu, Y.; Zhang, Z.; Ba, X.; Zhang, Q.; Li, X. A novel route to prepare LaNiO3 perovskite-type oxide nanofibers by electrospinning for glucose and hydrogen peroxide sensing. Analyst 2013, 138, 362–367. [Google Scholar] [CrossRef]
- Boubezari, I.; Zazoua, A.; Errachid, A.; Jaffrezic-Renault, N. Sensitive Electrochemical Detection of Bioactive Molecules (Hydrogen Peroxide, Glucose, Dopamine) with Perovskites-Based Sensors. Chemosensors 2021, 9, 289. [Google Scholar] [CrossRef]
- Catalano, S.; Gibert, M.; Fowlie, J.; Íñiguez, J.; Triscone, J.M.; Kreisel, J. Rare-earth nickelates RNiO3: Thin films and heterostructures. Rep. Prog. Phys. 2018, 81, 046501. [Google Scholar] [CrossRef]
- Vinothkumar, V.; Sakthivel, R.; Chen, S.-M. Rare earth dysprosium nickelate nanospheres for the selective electrochemical detection of antipsychotic drug perphenazine in biological samples. Mater. Today Chem. 2022, 24, 100883. [Google Scholar] [CrossRef]
- Zhang, Z.; Schwanz, D.; Narayanan, B.; Kotiuga, M.; Dura, J.A.; Cherukara, M.; Zhou, H.; Freeland, J.W.; Li, J.; Sutarto, R.; et al. Perovskite nickelates as electric-field sensors in salt water. Nature 2017, 553, 68–72. [Google Scholar] [CrossRef] [PubMed]
- Ha, S.D.; Shi, J.; Meroz, Y.; Mahadevan, L.; Ramanathan, S. Neuromimetic Circuits with Synaptic Devices based on Strongly Correlated Electron Systems. Phys. Rev. Appl. 2014, 2, 064003. [Google Scholar] [CrossRef]
- de La Cruz, F.P.; Piamonteze, C.; Massa, N.E.; Salva, H.; Alonso, J.A.; Martínez-Lope, M.J.; Casais, M.T. Possible common ground for the metal-insulator phase transition in the rare-earth nickelates RNiO3. Phys. Rev. B 2002, 66, 153104. [Google Scholar] [CrossRef]
- Medarde, M.; Dallera, C.; Grioni, M.; Delley, B.; Vernay, F.; Mesot, J.; Martínez-Lope, M.J. Charge disproportionation in RNiO3 perovskites (R=rare earth) from high-resolution x-ray absorption spectroscopy. Phys. Rev. B 2009, 80, 245105. [Google Scholar] [CrossRef]
- Pandiyan, R.; Vinothkumar, V.; Chen, S.-M.; Prasad, G.V.; Kim, T.H. Perovskite lanthanum nickelate nanoparticles: As effective modified screen printed carbon electrode for electrochemical detection of trifluoperazine. Surf. Interfaces 2023, 38, 102805. [Google Scholar] [CrossRef]
- Rossato, J.H.H.; Oliveira, M.E.; Lopes, B.V.; Gallo, B.B.; La Rosa, A.B.; Piva, E.; Barba, D.; Rosei, F.; Carreño, N.L.V.; Escote, M.T. A Flexible Electrochemical Biosensor Based on NdNiO3 Nanotubes for Ascorbic Acid Detection. ACS Appl. Nano Mater. 2022, 5, 3394–3405. [Google Scholar] [CrossRef]
- Zhang, Z.; Gu, S.; Ding, Y.; Jin, J. Analytica Chimica Acta A novel nonenzymatic sensor based on LaNi0.6Co0.4O3 modified electrode for hydrogen peroxide and glucose. Anal. Chim. Acta 2012, 745, 112–117. [Google Scholar] [CrossRef] [PubMed]
- García-Muñoz, J.L.; Rodríguez-Carvajal, J.; Lacorre, P.; Torrance, J.B. Neutron-diffraction study of RNiO3 (R=La, Pr, Nd, Sm): Electronically induced structural changes across the metal-insulator transition. Phys. Rev. B 1992, 46, 4414. [Google Scholar] [CrossRef]
- Chang, L.; Wang, L.; You, L.; Zhou, Y.; Fang, L.; Wang, S.; Wang, J. Band gap tuning of nickelates for photovoltaic applications. J. Phys. D. Appl. Phys. 2016, 49, 44LT02. [Google Scholar] [CrossRef]
- Chang, L.; Wang, L.; You, L.; Yang, Z.; Abdelsamie, A.; Zhang, Q.; Zhou, Y.; Gu, L.; Chambers, S.A.; Wang, J. Tuning Photovoltaic Performance of Perovskite Nickelates Heterostructures by Changing the A-Site Rare-Earth Element. ACS Appl. Mater. Interfaces 2019, 11, 16191–16197. [Google Scholar] [CrossRef]
- Escote, M.T.; Barbeta, V.B.; Jardim, R.F.; Campo, J. Metal-insulator transition in Nd1−xEuxNiO3 compounds. J. Phys. Condens. Matter. 2006, 18, 6117–6132. [Google Scholar] [CrossRef]
- Yamanaka, T.; Hattori, A.N.; Pamasi, L.N.; Takemoto, S.; Hattori, K.; Daimon, H.; Sato, K.; Tanaka, H. Effects of Off-Stoichiometry in the Epitaxial NdNiO3 Film on the Suppression of Its Metal-Insulator-Transition Properties. ACS Appl. Electron. Mater. 2019, 1, 2678–2683. [Google Scholar] [CrossRef]
- Preziosi, D.; Sander, A.; Barthélémy, A.; Bibes, M. Reproducibility and off-stoichiometry issues in nickelate thin films grown by pulsed laser deposition. AIP Adv. 2017, 7, 1–17. [Google Scholar] [CrossRef]
- Qiao, L.; Bi, X. Direct observation of oxygen vacancy and its effect on the microstructure, electronic and transport properties of sputtered LaNiO3-δ films on Si substrates. Thin Solid Films 2010, 519, 943–946. [Google Scholar] [CrossRef]
- Medarde, M.L. Structural, magnetic and electronic properties of perovskites (R = rare earth). J. Phys. Condens. Matter. 1997, 9, 1679–1707. [Google Scholar] [CrossRef]
- Capon, F.; Ruello, P.; Bardeau, J.F.; Simon, P.; Laffez, P.; Dkhil, B.; Ratuszna, A. Metal–insulator transition in thin films of RxR1−x′NiO3 compounds: DC electrical conductivity and IR spectroscopy measurements. J. Phys. Condens. Matter. 2005, 17, 1137–1150. [Google Scholar] [CrossRef]
- Barbeta, V.B.; Jardim, R.F.; Escote, M.T.; Dilley, N.R. Magnetothermopower in Nd1−xEuxNiO3 compounds. J. Appl. Phys. 2007, 101, 09N509. [Google Scholar] [CrossRef]
- Salimi, A.; Sharifi, E.; Noorbakhsh, A.; Soltanian, S. Immobilization of glucose oxidase on electrodeposited nickel oxide nanoparticles: Direct electron transfer and electrocatalytic activity. Biosens. Bioelectron. 2007, 22, 3146–3153. [Google Scholar] [CrossRef]
- NNjoko, N.; Louzada, M.; Britton, J.; Khene, S.; Nyokong, T.; Mashazi, P. Bioelectrocatalysis and surface analysis of gold coated with nickel oxide/hydroxide and glucose oxidase towards detection of glucose. Colloids Surfaces B Biointerfaces 2020, 190, 110981. [Google Scholar] [CrossRef]
- Guoqiang, G.; Liang, Q.; Yani, Z.; Pengyun, W.; Fanzhuo, K.; Yuyang, Z.; Zhiyuan, L.; Xing, N.; Xue, Z.; Qiongya, L.; et al. Recent advances in glucose monitoring utilizing oxidase electrochemical biosensors integrating carbon-based nanomaterials and smart enzyme design. Front. Chem. 2025, 13, 1591302. [Google Scholar] [CrossRef]
- El-Ads, E.H.; Galal, A.; Atta, N.F. The effect of A-site doping in a strontium palladium perovskite and its applications for non-enzymatic glucose sensing. RSC Adv. 2016, 6, 16183–16196. [Google Scholar] [CrossRef]
- Kong, D.; Zhao, J.; Tang, S.; Shen, W.; Lee, H.K. Logarithmic Data Processing Can Be Used Justifiably in the Plotting of a Calibration Curve. Anal. Chem. 2021, 93, 12156–12161. [Google Scholar] [CrossRef]
- Franceschini, F.; Taurino, I. Nickel-based catalysts for non-enzymatic electrochemical sensing of glucose: A review. Phys. Med. 2022, 14, 100054. [Google Scholar] [CrossRef]
- Nemati, S.S.; Dehghan, G.; Rashtbari, S.; Tan, T.N.; Khataee, A. Enzyme-based and enzyme-free metal-based glucose biosensors: Classification and recent advances. Microchem. J. 2023, 193, 109038. [Google Scholar] [CrossRef]
- El-Ads, E.H.; Galal, A.; Atta, N.F. Electrochemistry of Glucose at Gold Nanoparticles Modified Graphite/SrPdO3 Electrode—Towards a Novel Non-Enzymatic Glucose Sensor. J. Electroanal. Chem. 2015, 749, 42–52. [Google Scholar] [CrossRef]
- Amor-Gutiérrez, O.; Costa-Rama, E.; Fernández-Abedul, M.T. Full integrated sampler and dilutor in an electrochemical paper-based device for glucose sensing. Microchim. Acta 2021, 188, 1–8. [Google Scholar] [CrossRef]







| x | apc (Å) | V (Å3) | D (nm) | ε (%) |
|---|---|---|---|---|
| 0.0 | 3.800(31) | 232(2) | 135(1) | −0.300 |
| 0.3 | 3.801(35) | 232(2) | 135(1) | −0.300 |
| 0.35 | 3.792(38) | 231(2) | 95(1) | −0.301 |
| NdNiO3-Bulk [30] | 3.81 | 220.71 |
| X | Sensitivity (mM−1) | Concentration Range | LOD | R2 |
|---|---|---|---|---|
| 0.0 | 2.5 × 10−3 | 10−10 to 0.5 M | 4.13 × 10−5 μM | 0.91 |
| 0.3 | 9.25 × 10−1 | 10−11 to 0.5 M | 3.57 × 10−5 μM | 0.92 |
| 0.35 | 1.4 × 10−3 | 10−10 to 0.5 M | 7.71 × 10−5 μM | 0.99 |
| Material | Range | LOD | Reference |
|---|---|---|---|
| NdNiO3/GCE | 0.0005–4.6 mM | 0.3 µM | [17] |
| SmNiO3/GOx/CysAmAm/Au | 5 × 10−11–5 × 103 µM | 0.5 µM | [9] |
| Sr1.7Ca0.3PdO3/Graphite | 5 µM–1.4 mM | 8.45.10−3 µM | [43] |
| LaNiO3/GCE | 0.2–3240 μM | 0.035 μM | [19] |
| LaNi0.6Co0.4O3/CPE | 0.05–200 µM | 8.0 × 10−3 µM | [29] |
| NiO/ITO | 0.01–83 mM | 8.1 µM | [45] |
| CuO-NiO/GCE | 0.2–1 × 103 µM | 0.08 µM | [46] |
| SrPdO3/AuNPs | 0.1–6 mM | 10.1 µM | [47] |
| Nd1−xEuxNiO3/GOx/CysAmAm/Au | 5 × 10−6 µM–5 × 102µM | 3.57 × 10−5–7.7 × 10−5 μM | This Work |
Disclaimer/Publisher’s Note: The statements, opinions and data contained in all publications are solely those of the individual author(s) and contributor(s) and not of MDPI and/or the editor(s). MDPI and/or the editor(s) disclaim responsibility for any injury to people or property resulting from any ideas, methods, instructions or products referred to in the content. |
© 2025 by the authors. Licensee MDPI, Basel, Switzerland. This article is an open access article distributed under the terms and conditions of the Creative Commons Attribution (CC BY) license (https://creativecommons.org/licenses/by/4.0/).
Share and Cite
Lopes, G.P.; Rossato, J.H.H.; Carreno, N.L.V.; Nantes, I.L.; Escote, M.T. Eu-Doped Nickelate as a Platform for an Enzyme-Based Resistive Biosensor for Glucose. Chemosensors 2025, 13, 387. https://doi.org/10.3390/chemosensors13110387
Lopes GP, Rossato JHH, Carreno NLV, Nantes IL, Escote MT. Eu-Doped Nickelate as a Platform for an Enzyme-Based Resistive Biosensor for Glucose. Chemosensors. 2025; 13(11):387. https://doi.org/10.3390/chemosensors13110387
Chicago/Turabian StyleLopes, Gilson P., Jéssica H. H. Rossato, Neftali L. V. Carreno, Iseli L. Nantes, and Marcia T. Escote. 2025. "Eu-Doped Nickelate as a Platform for an Enzyme-Based Resistive Biosensor for Glucose" Chemosensors 13, no. 11: 387. https://doi.org/10.3390/chemosensors13110387
APA StyleLopes, G. P., Rossato, J. H. H., Carreno, N. L. V., Nantes, I. L., & Escote, M. T. (2025). Eu-Doped Nickelate as a Platform for an Enzyme-Based Resistive Biosensor for Glucose. Chemosensors, 13(11), 387. https://doi.org/10.3390/chemosensors13110387

