Sign in to use this feature.

Years

Between: -

Subjects

remove_circle_outline
remove_circle_outline
remove_circle_outline
remove_circle_outline
remove_circle_outline
remove_circle_outline
remove_circle_outline
remove_circle_outline
remove_circle_outline

Journals

remove_circle_outline
remove_circle_outline
remove_circle_outline
remove_circle_outline
remove_circle_outline
remove_circle_outline
remove_circle_outline
remove_circle_outline
remove_circle_outline
remove_circle_outline

Article Types

Countries / Regions

remove_circle_outline
remove_circle_outline
remove_circle_outline

Search Results (211)

Search Parameters:
Keywords = electrical conductivity meter

Order results
Result details
Results per page
Select all
Export citation of selected articles as:
23 pages, 3109 KB  
Article
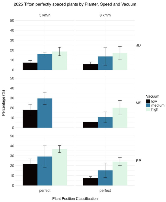
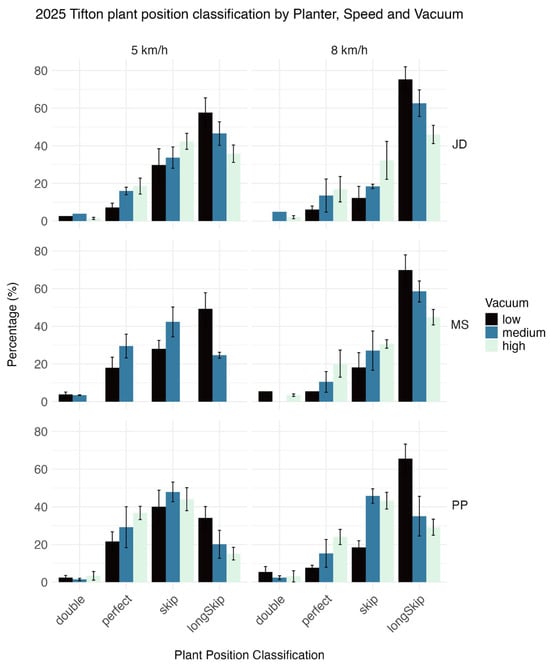
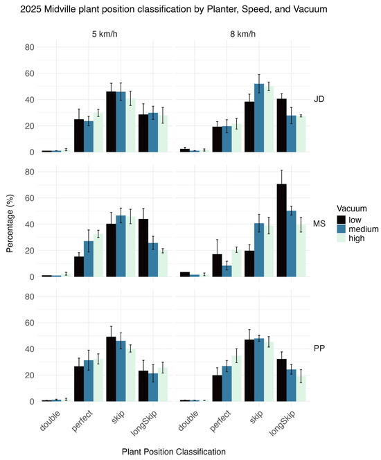
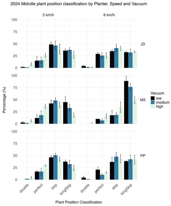
Effects of Planting Speed, Downforce, Vacuum, and Planter Platform on Peanut Stand Establishment, Spacing Uniformity, and Yield
by Marco Torresan, Wesley Porter, Lavesta C. Hand, Walter Scott Monfort, Nicola Dal Ferro, Hasan Mirzakhaninafchi and Glen Rains
AgriEngineering 2026, 8(4), 144; https://doi.org/10.3390/agriengineering8040144 - 8 Apr 2026
Viewed by 126
Abstract
Peanut planting presents unique challenges due to the large, fragile, and irregular seed and the sensitivity of seed metering systems to operating conditions. Field experiments were conducted between 2022 and 2025 in Georgia to evaluate how planting speed, row-unit downforce, vacuum setting, and [...] Read more.
Peanut planting presents unique challenges due to the large, fragile, and irregular seed and the sensitivity of seed metering systems to operating conditions. Field experiments were conducted between 2022 and 2025 in Georgia to evaluate how planting speed, row-unit downforce, vacuum setting, and planter platform influence peanut stand establishment, final within-row plant distribution, and yield in single-row planting systems. Trials included speed × downforce evaluations using an electric seed meter and planter-platform × speed × planter-specific vacuum comparisons involving ground-driven, hydraulic-driven, and electric-driven seed meters. Achieved population was determined from post-emergence stand counts, plant distribution was evaluated using emerged-plant position classification relative to theoretical plant spacing, and yield was measured at harvest. Across site years, achieved population patterns were consistently associated with planting speed and vacuum setting, whereas downforce effects were minor and inconsistent within site years. Higher achieved populations were generally obtained at 5 km h−1 and at higher planter-specific vacuum settings, especially for the ground-driven planter. Hydraulic- and electric-driven planter platforms were less sensitive to changes in speed and vacuum and more often maintained acceptable stands at 8 km h−1. Despite large differences in achieved population and plant distribution, peanut yield was often not significantly reduced until stand loss became severe, indicating substantial yield compensation. Spacing uniformity remained poor across all treatments, with skips and long skips common regardless of planter platform. These results indicate that peanut planting performance in current single-row systems is constrained primarily by seed singulation rather than downforce, and that hydraulic- and electric-driven planter platforms improve operational flexibility more consistently than yield. Full article
(This article belongs to the Section Agricultural Mechanization and Machinery)
Show Figures

Figure 1

27 pages, 2596 KB  
Article
Energy Recovery from Sewage Sludge in Ribeirão Preto: A Comparative Analysis Between UASB and Activated Sludge Systems
by Aylla Joani M. de O. Pontes, Yone Domingues dos Santos Nascimento, Ivan Felipe Silva dos Santos, Geraldo Lúcio Tiago Filho and Regina Mambeli Barros
AgriEngineering 2026, 8(4), 137; https://doi.org/10.3390/agriengineering8040137 - 2 Apr 2026
Viewed by 599
Abstract
Energy recovery from sewage sludge represents a sustainable and technically feasible alternative to promote integration between environmental sanitation and renewable energy generation. This study presents a case analysis of the municipality of Ribeirão Preto, São Paulo, focusing on comparisons between two wastewater treatment [...] Read more.
Energy recovery from sewage sludge represents a sustainable and technically feasible alternative to promote integration between environmental sanitation and renewable energy generation. This study presents a case analysis of the municipality of Ribeirão Preto, São Paulo, focusing on comparisons between two wastewater treatment systems: an Upflow Anaerobic Sludge Blanket (UASB) reactor and a continuous-flow activated sludge system. Using the UASB configuration, we prepared a preliminary design of a treatment plant based on population and effluent generation projections over a 20-year horizon. The estimated sludge and biogas production allowed us to simulate electricity generation then. The comparative economic assessment, which employed Net Present Value (NPV) and Internal Rate of Return (IRR) indicators in accordance with ANEEL Resolution No. 482/2012, showed that the UASB system yields hard superior methane (up to 3235.6 m3/day) and higher electricity generation potential (1839.7 MWh/year) than the activated sludge system (1990 m3/day and 1654.3 MWh/year, respectively). Both systems were economically viable, with a positive NPV, an IRR of up to 16.83%, and payback periods starting in the first cycle. Furthermore, we estimated the cost per cubic meter of generated biomethane, conducted a sensitivity analysis, and assessed the impact on the most important economic indicators, all to identify the advantages and disadvantages of the proposed project and the best use of the generated biogas. This analysis showed that it is possible to recover energy from sewage treatment systems while also reusing sewage sludge for agricultural applications, thereby highlighting additional environmental and economic benefits, particularly in regions with a strong presence of agribusiness, e.g., Ribeirão Preto. Full article
(This article belongs to the Section Sustainable Bioresource and Bioprocess Engineering)
Show Figures

Figure 1

18 pages, 1038 KB  
Article
An Advanced Eco-Solution to Address the Excessive Consumption of Water, Electricity and Towels/Linen at Luxury Hotels/Resorts: An Incentive-Linked Smart Meter System to Influence Consumer Behaviors
by Ali Aldhamiri
Sustainability 2026, 18(5), 2447; https://doi.org/10.3390/su18052447 - 3 Mar 2026
Viewed by 489
Abstract
Due to environmental challenges, the global luxury hospitality industry faces increasing pressure to reduce its consumption of natural resources while maintaining service quality. In this paper a conceptual study is conducted to identify three primary problems of the tourism industry and highlight their [...] Read more.
Due to environmental challenges, the global luxury hospitality industry faces increasing pressure to reduce its consumption of natural resources while maintaining service quality. In this paper a conceptual study is conducted to identify three primary problems of the tourism industry and highlight their impact on sustainable water resources and ecosystems: excessive water, electricity and towel/linen consumption in luxury hotels and resorts. This paper proposes a solution that uses a digital smart meter system linked to guest rooms. It is activated upon check-in, and guest participation is optional. It uses tangible or intangible incentives—such as discounts upon departure for future stays or for hotel laundry/meals/beverages—that rationalize consumption without affecting the quality of basic services. This approach may be implemented either independently by a single hotel or collaboratively through strategic alliances among multiple hotels, thus enabling customers to redeem their incentives/credits at any participating property. Guests are grouped into three consumption levels: high-saving guests (high incentives), average-saving guests (average incentives) and third-level guests (low/below-average incentives). Adopting this approach helps luxury hotels/resorts reduce their operational costs and enhance their image by applying green marketing in practice. Moreover, this conceptual paper proposes the provision of badges, including international environmental certifications, to hotels that adopt this responsible approach. This mechanism is a modern model that directly benefits all involved parties: service providers, customers/guests, environmental organizations and the environment. Full article
(This article belongs to the Special Issue Transitioning to Sustainable Energy: Opportunities and Challenges)
Show Figures

Figure 1

16 pages, 5418 KB  
Article
FeMnO3: Synthesis, Morphology, Dielectric Properties, and Electrochemical Behavior Toward HER by LSV
by Mukhametkali Mataev, Zamira Sarsenbaeva, Marzhan Nurbekova, Ramachandran Krishnamoorthy, Bahadir Keskin, Moldir Abdraimova, Zhanar Tursyn, Karima Seitbekova and Zhadyra Durmenbayeva
Nanomaterials 2026, 16(5), 310; https://doi.org/10.3390/nano16050310 - 27 Feb 2026
Viewed by 568
Abstract
This paper presents a comprehensive investigation into the synthesis, morphological characteristics, electrical conductivity, dielectric behavior, and electrocatalytic activity of perovskite-structured iron manganite (FeMnO3), with a specific focus on its performance in the hydrogen evolution reaction (HER). FeMnO3(FMO) nanoparticles (NPs) [...] Read more.
This paper presents a comprehensive investigation into the synthesis, morphological characteristics, electrical conductivity, dielectric behavior, and electrocatalytic activity of perovskite-structured iron manganite (FeMnO3), with a specific focus on its performance in the hydrogen evolution reaction (HER). FeMnO3(FMO) nanoparticles (NPs) were synthesized using a sol–gel-type Pechini method and characterized by X-ray diffraction (XRD), Fourier-transform infrared spectroscopy (FT-IR), and field-emission scanning electron microscopy combined with energy-dispersive X-ray spectroscopy (FESEM-EDS). XRD analysis confirmed the formation of a crystalline structure with cubic symmetry assigned to the Ia-3 space group, with an average crystallite size of 52.47 nm. FESEM images revealed a relatively uniform morphology with an average particle diameter of 55.84 nm. The redox and oxidation states of Fe and Mn can be studied by temperature-programmed oxidation (TPO-O2) in order to understand oxygen uptake and metal oxidation processes occurring within the FMO lattice. The dielectric constant, dielectric loss, electric modulus and electrical conductivity were calculated as a function of frequency and temperature using a Novocontrol Alpha-A broadband dielectric spectrometer (Novocontrol system) coupled with the LCR-800 precision meter. The dielectric data reveal that the FMO has semiconducting behavior with dominant charge- or ionic-relaxation processes. The electrocatalytic activity toward the HER was evaluated using linear sweep voltammetry (LSV), with the working electrode modified by an FMO catalyst ink. The material exhibited significant catalytic activity within the HER potential range, and an increase in the number of cycles led to stabilized current and enhanced hydrogen evolution. These results highlight the stability of FeMnO3 for hydrogen generation. Full article
Show Figures

Figure 1

25 pages, 1979 KB  
Article
Classifying and Predicting Household Energy Consumption Using Data Analytics and Machine Learning
by David Cordon, Antonio Pita and Angel A. Juan
Algorithms 2026, 19(2), 114; https://doi.org/10.3390/a19020114 - 1 Feb 2026
Viewed by 476
Abstract
Growing pressure on electricity grids and the increasing availability of smart meter data have intensified the need for accurate, interpretable, and scalable methods to analyze and forecast household electricity consumption. In this context, this study presents a general, data-agnostic methodology for predicting and [...] Read more.
Growing pressure on electricity grids and the increasing availability of smart meter data have intensified the need for accurate, interpretable, and scalable methods to analyze and forecast household electricity consumption. In this context, this study presents a general, data-agnostic methodology for predicting and classifying household energy consumption. The proposed workflow unifies data preparation, feature engineering, and machine learning techniques (including clustering, classification, regression, and time series forecasting) within a single interpretable pipeline that supports actionable insights. Rather than proposing new prediction algorithms, this work contributes a fully reproducible, end-to-end methodological pipeline that enables the controlled evaluation of the impact of contextual variables, customer segmentation, and cold-start conditions on household energy forecasting. A distinctive aspect of the pipeline is the explicit use of household- and dwelling-level contextual variables to derive customer typologies via clustering and to enrich forecasting models. The models are evaluated for predictive accuracy, reliability under varying conditions, and suitability for operational use. The results show that incorporating contextual variables and clustering significantly improves forecasting accuracy, particularly in cold-start scenarios where no historical consumption data are available. Although numerous public datasets of residential electricity consumption exist, they rarely provide, in an openly accessible form, both detailed load histories and rich contextual attributes, while many are subject to privacy or licensing restrictions. To ensure full reproducibility and to enable controlled experiments where contextual variables can be switched on and off, the experiments are conducted on a synthetically generated dataset that reproduces realistic behavior and seasonal usage patterns. However, the proposed methodology is independent of the specific data source and can be directly applied to any real or synthetic dataset with similar structure. The approach enables applications such as short- and long-term demand forecasting, estimation of household energy costs, and forecasting demand for new customers. These findings demonstrate that the proposed pipeline provides a transparent and effective framework for end-to-end analysis of household electricity consumption. Full article
(This article belongs to the Section Algorithms for Multidisciplinary Applications)
Show Figures

Figure 1

15 pages, 1803 KB  
Article
A Comparative Analysis of Machine Learning Models for Anomaly Detection in Industrial Smart Meter Time-Series Data
by Gulshat Amirkhanova, Azim Aidynuly, Saltanat Adilzhanova, Yanwei Fu, Baizhanova Dina and Onggarbek Alipbeki
Information 2026, 17(2), 131; https://doi.org/10.3390/info17020131 - 1 Feb 2026
Viewed by 802
Abstract
The integration of Advanced Metering Infrastructure (AMI) provides high-resolution electrical data, essential for enhancing industrial efficiency and monitoring equipment health. However, the utility of this data is frequently compromised by anomalies, underscoring the necessity for robust, automated detection methodologies. This study benchmarks three [...] Read more.
The integration of Advanced Metering Infrastructure (AMI) provides high-resolution electrical data, essential for enhancing industrial efficiency and monitoring equipment health. However, the utility of this data is frequently compromised by anomalies, underscoring the necessity for robust, automated detection methodologies. This study benchmarks three distinct categories of machine learning models: a statistical baseline (SARIMA), an unsupervised classifier (Isolation Forest), and a deep learning reconstruction model (LSTM-Autoencoder). The evaluation was conducted using a multivariate dataset acquired from bakery manufactory equipment, employing a synthetic anomaly injection framework with a 5% contamination rate. The results indicate significant challenges in accurately detecting anomalies within this dataset. The SARIMA model achieved the highest average F1-Score (0.256), slightly outperforming the Isolation Forest (0.233), while the LSTM-Autoencoder performed the poorest (0.110). Critically, all models exhibited extremely low precision (ranging from 0.074 to 0.204), indicating an unacceptably high rate of false positives. The findings suggest that standard configurations of these models struggle to differentiate between true anomalies and the inherent variability of industrial operations, highlighting the need for advanced optimization and feature engineering for practical deployment. Full article
Show Figures

Figure 1

9 pages, 2089 KB  
Article
The Effect of Different A-Site Divalent Elements on the Properties of Bi4Ti3O12-Based Piezoelectric Ceramics with Symbiotic Structure
by Jie Feng, Xishun Zheng and Deyi Zheng
Ceramics 2026, 9(2), 15; https://doi.org/10.3390/ceramics9020015 - 27 Jan 2026
Viewed by 361
Abstract
Bismuth layer-structured ferroelectrics (BLSFs) are core candidates for high-temperature piezoelectric applications owing to their excellent thermal stability and fatigue resistance, yet traditional Bi4Ti3O12 (BiT)-based ceramics suffer from limited piezoelectric performance. To address this, MBi4Ti4O [...] Read more.
Bismuth layer-structured ferroelectrics (BLSFs) are core candidates for high-temperature piezoelectric applications owing to their excellent thermal stability and fatigue resistance, yet traditional Bi4Ti3O12 (BiT)-based ceramics suffer from limited piezoelectric performance. To address this, MBi4Ti4O15-Bi4Ti3O12 (M=Ba, Sr, Ca) symbiotic structure bismuth-layered piezoelectric ceramics were fabricated via the conventional solid-state reaction method. Their crystal structure, microstructure, and electrical properties were systematically characterized using a X-ray diffractometer, scanning electron microscope, high-temperature dielectric spectrometer, and quasi-static d33 meter to explore the effects of different A-site divalent elements. Results show that all samples form a pure-phase symbiotic structure with the P21am space group, without secondary phases. The lattice constant decreases with increasing A-site ionic radius, while symbiosis-induced lattice mismatch and long-range disorder refine grains, reduce aspect ratio, lower conductivity, enhance spontaneous polarization, and improve piezoelectric properties. The ceramics exhibit d33 of 10 to 15 pC/N and TC of 502 to 685 °C, with SrBi4Ti4O15-Bi4Ti3O12 showing optimal comprehensive performance (d33 ≈ 15 pC/N, TC = 593 °C, tanδ = 0.6% at 1 kHz/475–575 °C, and a low AC conductivity of 5.3 × 10−5~4.8 × 10−4 S/m). This study improves bismuth-layered ceramics’ performance via A-site regulation and symbiotic structure design, offering theoretical and technical support for high-performance lead-free high-temperature piezoelectric ceramics. Full article
(This article belongs to the Special Issue Advances in Electronic Ceramics, 2nd Edition)
Show Figures

Figure 1

28 pages, 9150 KB  
Article
PhysGraphIR: Adaptive Physics-Informed Graph Learning for Infrared Thermal Field Prediction in Meter Boxes with Residual Sampling and Knowledge Distillation
by Hao Li, Siwei Li, Xiuli Yu and Xinze He
Electronics 2026, 15(2), 410; https://doi.org/10.3390/electronics15020410 - 16 Jan 2026
Viewed by 402
Abstract
Infrared thermal field (ITF) prediction for meter boxes is crucial for the early warning of power system faults, yet this method faces three major challenges: data sparsity, complex geometry, and resource constraints in edge computing. Existing physics-informed neural network-graph neural network (PINN-GNN) approaches [...] Read more.
Infrared thermal field (ITF) prediction for meter boxes is crucial for the early warning of power system faults, yet this method faces three major challenges: data sparsity, complex geometry, and resource constraints in edge computing. Existing physics-informed neural network-graph neural network (PINN-GNN) approaches suffer from redundant physics residual calculations (over 70% of flat regions contain little information) and poor model generalization (requiring retraining for new box types), making them inefficient for deployment on edge devices. This paper proposes the PhysGraphIR framework, which employs an Adaptive Residual Sampling (ARS) mechanism to dynamically identify hotspot region nodes through a physics-aware gating network, calculating physics residuals only at critical nodes to reduce computational overhead by over 80%. In this study, a ‘hotspot region’ is explicitly defined as a localized area exhibiting significant temperature elevation relative to the background—typically concentrated around electrical connection terminals or wire entrances—which is critical for identifying potential thermal faults under sparse data conditions. Additionally, it utilizes a Physics Knowledge Distillation Graph Neural Network (Physics-KD GNN) to decouple physics learning from geometric learning, transferring universal heat conduction knowledge to specific meter box geometries through a teacher–student architecture. Experimental results demonstrate that on both synthetic and real-world meter box datasets, PhysGraphIR achieves a hotspot region mean absolute error (MAE) of 11.8 °C under 60% infrared data missing conditions, representing a 22% improvement over traditional PINN-GNN. The training speed is accelerated by 3.1 times, requiring only five infrared samples to adapt to new box types. The experiments prove that this method significantly enhances prediction accuracy and computational efficiency under sparse infrared data while maintaining physical consistency, providing a feasible solution for edge intelligence in power systems. Full article
Show Figures

Figure 1

16 pages, 5236 KB  
Article
Intelligent Disassembly System for PCB Components Integrating Multimodal Large Language Model and Multi-Agent Framework
by Li Wang, Liu Ouyang, Huiying Weng, Xiang Chen, Anna Wang and Kexin Zhang
Processes 2026, 14(2), 227; https://doi.org/10.3390/pr14020227 - 8 Jan 2026
Viewed by 456
Abstract
The escalating volume of waste electrical and electronic equipment (WEEE) poses a significant global environmental challenge. The disassembly of printed circuit boards (PCBs), a critical step for resource recovery, remains inefficient due to limitations in the adaptability and dexterity of existing automated systems. [...] Read more.
The escalating volume of waste electrical and electronic equipment (WEEE) poses a significant global environmental challenge. The disassembly of printed circuit boards (PCBs), a critical step for resource recovery, remains inefficient due to limitations in the adaptability and dexterity of existing automated systems. This paper proposes an intelligent disassembly system for PCB components that integrates a multimodal large language model (MLLM) with a multi-agent framework. The MLLM serves as the system’s cognitive core, enabling high-level visual-language understanding and task planning by converting images into semantic descriptions and generating disassembly strategies. A state-of-the-art object detection algorithm (YOLOv13) is incorporated to provide fine-grained component localization. This high-level intelligence is seamlessly connected to low-level execution through a multi-agent framework that orchestrates collaborative dual robotic arms. One arm controls a heater for precise solder melting, while the other performs fine “probing-grasping” actions guided by real-time force feedback. Experiments were conducted on 30 decommissioned smart electricity meter PCBs, evaluating the system on recognition rate, capture rate, melting rate, and time consumption for seven component types. Results demonstrate that the system achieved a 100% melting rate across all components and high recognition rates (90–100%), validating its strengths in perception and thermal control. However, the capture rate varied significantly, highlighting the grasping of small, low-profile components as the primary bottleneck. This research presents a significant step towards autonomous, non-destructive e-waste recycling by effectively combining high-level cognitive intelligence with low-level robotic control, while also clearly identifying key areas for future improvement. Full article
Show Figures

Figure 1

8 pages, 2265 KB  
Proceeding Paper
Single-Source Facile Synthesis of Phase-Pure Na+- and Sr2+-Modified Bismuth Titanate—Structural, Optical, and Electrical Properties for Energy Storage Application
by Anitha Gnanasekar, Pavithra Gurusamy and Geetha Deivasigamani
Mater. Proc. 2025, 25(1), 18; https://doi.org/10.3390/materproc2025025018 - 7 Jan 2026
Viewed by 231
Abstract
In this present study, sodium- and strontium-modified bismuth titanate—Bi0.5Na0.5TiO3 (BNT) and Bi0.5Sr0.5TiO3 (BST)—were synthesized using the auto-combustion technique with citric acid (C6H8O7) and glycine (C2H [...] Read more.
In this present study, sodium- and strontium-modified bismuth titanate—Bi0.5Na0.5TiO3 (BNT) and Bi0.5Sr0.5TiO3 (BST)—were synthesized using the auto-combustion technique with citric acid (C6H8O7) and glycine (C2H5NO2) as fuels in an optimized ratio of 1.5:1. The resulting powders were characterized using X-ray diffraction (XRD), energy-dispersive X-ray (EDX) spectroscopy, UV–Visible diffuse reflectance spectroscopy (DRS), and Fourier-transform infrared (FT-IR) spectroscopy. The electrical behavior of the samples was studied using an LCR meter. XRD analysis confirmed the formation of a single-phase perovskite structure with average crystallite sizes of 18.60 nm for BNT and 22.03 nm for BST, attributed to the difference in ionic radii between Na+ and Sr2+. An increase in crystallite size was accompanied by a corresponding increase in lattice parameters and unit-cell volume. The Williamson–Hall analysis further validated the strain-size contributions. EDX (Energy-Dispersive X-ray analysis) results confirmed successful incorporation of Na+ and Sr2+ without detectable impurity phases. Optical studies revealed distinct absorption peaks at 341 nm for BNT and 374 nm for BST, and the optical bandgap (Eg), calculated using Tauc’s relation, was found to be 2.6 eV and 2.0 eV, respectively. FT-IR spectra exhibited characteristic Ti-O vibrational bands in the range of 420–720 cm−1, consistent with the perovskite structure. For electrical characterization, the powders were pelletized under 3-ton pressure and sintered at 1000 °C for 3 h. The dielectric constant (εr), dielectric loss (tan δ), and ac conductivity (σ) of both samples increased with frequency. The combined structural, optical, and electrical results indicate that the optimized compositions of BNT and BST possess properties suitable for use in capacitors and other energy-storage applications. Full article
(This article belongs to the Proceedings of The 5th International Online Conference on Nanomaterials)
Show Figures

Figure 1

22 pages, 2195 KB  
Article
K-Means Clustering and Linear Regression for User Phase Identification, Verification, and Topology Determination Under Varied Smart Meter Penetration
by Tharushi Kalinga, Brendan Banfield, Jonathan C. Knott and Duane A. Robinson
Energies 2026, 19(1), 183; https://doi.org/10.3390/en19010183 - 29 Dec 2025
Cited by 2 | Viewed by 417
Abstract
Rapid evolution of electricity distribution networks challenges the maintenance of up-to-date information in electricity utility databases. This hinders the ability of utilities to understand phase connectivity and topology of users in their distribution networks. Extensive research has been conducted to develop smart meter [...] Read more.
Rapid evolution of electricity distribution networks challenges the maintenance of up-to-date information in electricity utility databases. This hinders the ability of utilities to understand phase connectivity and topology of users in their distribution networks. Extensive research has been conducted to develop smart meter data-driven phase identification and topology determination approaches as alternatives to the conventional, time-consuming, and expensive approach of manual inspection. However, the majority of such approaches are challenged by low levels of smart meter penetration in distribution networks, entailing further investigation. The objective of this paper is to contribute to this challenge by proposing an alternative smart meter data-driven approach of user phase identification, verification, and topology determination and testing the method on a real Australian distribution network under varied levels of smart meter penetration. This paper first presents a smart meter data-driven user phase identification tool using k-means clustering. Then, a smart meter data-driven user phase verification and topology determination approach is introduced by analyzing voltage-to-power sensitivities obtained from linear regression. Four distinct linear regression models are developed and compared to recognize relevant parameters and input variables leading to the most reliable sensitivities. The overall process proposed in this study demonstrated high accuracy at original smart meter penetration of 75% of the case study DN. The performance at reduced smart meter penetrations of 50% and 25% is also examined and discussed in the paper. Full article
(This article belongs to the Section F1: Electrical Power System)
Show Figures

Figure 1

14 pages, 4360 KB  
Article
Anisotropic Thermal Conductivity in Pellet-Based 3D-Printed Polymer Structures for Advanced Heat Management in Electrical Devices
by Michal Rzepecki and Andrzej Rybak
Polymers 2026, 18(1), 93; https://doi.org/10.3390/polym18010093 - 29 Dec 2025
Viewed by 622
Abstract
Efficient thermal management is critical for modern electrical and electronic devices, where increasing power densities and miniaturization demand advanced heat dissipation solutions. This study investigates anisotropic thermal conductivity in polymer structures fabricated via pellet-based fused granulate fabrication using polyamide 6 composite filled with [...] Read more.
Efficient thermal management is critical for modern electrical and electronic devices, where increasing power densities and miniaturization demand advanced heat dissipation solutions. This study investigates anisotropic thermal conductivity in polymer structures fabricated via pellet-based fused granulate fabrication using polyamide 6 composite filled with thermally conductive, electrically insulative mineral fillers. Three sample orientations were manufactured by controlling the printing path direction to manipulate filler alignment relative to heat flow. The microscopic analysis confirmed a flake-shaped filler orientation dependent on extrusion direction. Thermal conductivity measurements using a guarded heat flow meter revealed significant anisotropy: samples with fillers aligned parallel to heat flow exhibited thermal conductivity of 4.09 W/m·K, while perpendicular alignment yielded 1.21 W/m·K, representing a 238% enhancement and an anisotropy ratio of 3.4. The dielectric measurements showed modest electrical anisotropy with maintained low dielectric loss below 0.05 at 1 kHz, confirming the suitability of the investigated materials for electrical insulation applications. The presented results demonstrate that pellet-based fused granular fabrication uniquely enables in situ control of platelet filler orientation during printing, achieving unprecedented thermal anisotropy, high through-plane thermal conductivity, and excellent electrical insulation in directly 3D-printed polymer structures, offering a breakthrough approach for advanced thermal management in electrical devices. Full article
(This article belongs to the Section Polymer Processing and Engineering)
Show Figures

Figure 1

31 pages, 6164 KB  
Article
Sustainable Optimization of Residential Electricity Consumption Using Predictive Modeling and Non-Intrusive Load Monitoring
by Nashitah Alwaz, Muhammad Mehran Bashir, Attique Ur Rehman, Israr Ullah and Micheal Galea
Sustainability 2025, 17(24), 11193; https://doi.org/10.3390/su172411193 - 14 Dec 2025
Cited by 3 | Viewed by 670
Abstract
To ensure reliable, efficient and sustainable operation of modern power networks, accurate load forecasting is an important task in system planning and control. It is also a crucial task for the efficient operation of smart grids to maintain a balance between load shifting, [...] Read more.
To ensure reliable, efficient and sustainable operation of modern power networks, accurate load forecasting is an important task in system planning and control. It is also a crucial task for the efficient operation of smart grids to maintain a balance between load shifting, load management and power dispatch. In this regard, this research study aims to investigate the efficiency of various machine learning models for whole-house energy consumption prediction and appliance-level load disaggregation using Non-Intrusive Load Monitoring (NILM). The primary objective is to determine which model offers the most accurate forecasts for both individual appliance consumption patterns and the total amount of energy used by the household. The empirical study presents comparative performance analysis of machine learning models, i.e., Random Forest, Decision Tree, K-Nearest Neighbors (KNN), Extreme Gradient Boosting (XGBoost), Gradient Boosting and Support Vector Regressor (SVR) for load forecasting and load disaggregation. This research is conducted on PRECON: Pakistan Residential Electricity Dataset consisting of 42 Pakistani households. The dataset was recorded originally as one minute per sample, but the proposed study aggregated it to hourly samples to evaluate models’ alignment with the typical sampling rate of smart meters in Pakistan. It enables the models to more accurately depict implementation scenarios in real-world settings. The statistical measures MAE, MSE, RMSE and R2 have been employed for performance evaluation. The proposed Random Forest algorithm out-performs all other employed models, with the lowest error values (MAE: 0.1316, MSE: 0.0367, RMSE: 0.1916) and the highest R2 score of 0.9865. Furthermore, for detecting appliance events from aggregate power data, ensemble models such as Random Forest performed better than other models for ON/OFF prediction. To evaluate the suitability of machine learning models for real-time, appliance-level energy forecasting using Non-Intrusive Load Monitoring (NILM), this study presents a novel evaluation framework that combines learning speed and edge adaptability with conventional performance metrics (e.g., R2, MAE). This paper introduces a NILM-based approach for load forecasting and appliance-level ON/OFF prediction, representing its capacity to improve residential energy efficiency and encourage sustainable energy consumption, while emphasizing operational metrics for implementation in embedded smart grid systems—an area mainly neglected in prior NILM-based research articles. The results provide useful information for improving demand-side energy management, facilitating more effective load disaggregation, and maximizing the energy efficiency and responsiveness of smart grids. Full article
(This article belongs to the Section Energy Sustainability)
Show Figures

Figure 1

22 pages, 2511 KB  
Article
Evaluation of the Biological Efficiency of Water Disinfection Using High-Frequency Electrical Discharge
by Nurgul Almuratova, Akerke Dyussenbiyeva, Makpal Zharkymbekova, Elmira Nurmadiyeva, Nurlan Kystaubayev and Askar Abdykadyrov
Water 2025, 17(24), 3482; https://doi.org/10.3390/w17243482 - 9 Dec 2025
Cited by 1 | Viewed by 618
Abstract
The object of this research is the process of water disinfection by means of high-frequency electrical discharge. The study addresses the problem of achieving high biological efficiency while reducing energy consumption and avoiding harmful by-products typical of traditional methods such as chlorination or [...] Read more.
The object of this research is the process of water disinfection by means of high-frequency electrical discharge. The study addresses the problem of achieving high biological efficiency while reducing energy consumption and avoiding harmful by-products typical of traditional methods such as chlorination or UV irradiation. As a result, a comprehensive theoretical and experimental investigation was conducted, demonstrating that within 20 s of plasma exposure, E. coli, S. aureus, and P. aeruginosa bacteria were inactivated by 99.2–99.9%. The observed efficiency is explained by the synergistic action of reactive oxygen and nitrogen species (•OH, O3, H2O2, NO2, NO3) formed in the plasma–water interface. The distinctive features of the obtained results include the establishment of optimal operating parameters-voltage U = 12–18 kV, frequency f ≈ 35 kHz, and gap distance d = 15 mm—under which the normalized specific energy input (SEI) was 6–9 kWh per cubic meter of water. This value represents the standard normalization used for plasma-based treatment systems, where the electrical energy delivered to the reactor is divided by the treated volume (1.0 L in our setup) and scaled to m3 for comparison with other studies, 30–40% lower than in previously reported plasma systems. The validated physicochemical model (Poisson, Navier–Stokes, and continuity equations) matched experimental data with R2 ≥ 0.95, confirming its predictive capability for further scale-up. The practical significance of the results lies in the potential application of this method for decentralized and industrial water treatment systems. The reagent-free, energy-efficient, and environmentally safe nature of the proposed approach makes it suitable for sustainable water purification under real operating conditions. Full article
(This article belongs to the Section Wastewater Treatment and Reuse)
Show Figures

Figure 1

29 pages, 3498 KB  
Article
Artificial Intelligence-Driven User Interaction with Smart Homes: Architecture Proposal and Case Study
by João Lemos, João Ramos, Mário Gomes and Paulo Coelho
Energies 2025, 18(24), 6397; https://doi.org/10.3390/en18246397 - 6 Dec 2025
Viewed by 1184
Abstract
The evolution of Smart Grids enabled the deployment of intelligent and decentralized energy management solutions at the residential level. This work presents a comprehensive Smart Home architecture that integrates real-time energy monitoring, appliance-level consumption analysis, and environmental data acquisition using smart metering technologies [...] Read more.
The evolution of Smart Grids enabled the deployment of intelligent and decentralized energy management solutions at the residential level. This work presents a comprehensive Smart Home architecture that integrates real-time energy monitoring, appliance-level consumption analysis, and environmental data acquisition using smart metering technologies and distributed IoT sensors. All collected data are structured into a scalable infrastructure that supports advanced Artificial Intelligence (AI) methods, including Large Language Models (LLMs) and machine learning, enabling predictive analysis, personalized energy recommendations, and natural language interaction. Proposed architecture is experimentally validated through a case study on a domestic refrigerator. Two series of tests were conducted. In the first phase, extreme usage scenarios were evaluated: one with intensive usage and another with highly restricted usage. In the second phase, normal usage scenarios were tested without AI feedback and with AI recommendations following them whenever possible. Under the extreme scenarios, AI-assisted interaction resulted in a reduction in daily energy consumption of about 81.4%. In the normal usage scenarios, AI assistance resulted in a reduction of around 13.6%. These results confirm that integrating AI-driven behavioral optimization within Smart Home environments significantly improves energy efficiency, reduces electrical stress, and promotes more sustainable energy usage. Full article
(This article belongs to the Special Issue Modeling, Optimization, and Control in Smart Grids: 2nd Edition)
Show Figures

Figure 1

Back to TopTop