Sign in to use this feature.

Years

Between: -

Subjects

remove_circle_outline
remove_circle_outline
remove_circle_outline
remove_circle_outline
remove_circle_outline
remove_circle_outline
remove_circle_outline
remove_circle_outline

Journals

Article Types

Countries / Regions

Search Results (48)

Search Parameters:
Keywords = eicosane

Order results
Result details
Results per page
Select all
Export citation of selected articles as:
15 pages, 6600 KB  
Article
Visible-Light-Controlled Thermal Energy Storage and Release: A Tetra-Ortho-Fluorinated Azobenzene-Doped Composite Phase Change Material
by Yating Zhang, Jing Qi, Jun Xia, Fei Zhai and Liqi Dong
Molecules 2025, 30(17), 3576; https://doi.org/10.3390/molecules30173576 - 31 Aug 2025
Viewed by 1115
Abstract
Organic phase change materials (OPCMs) offer high energy density for thermal storage but suffer from crystallization kinetics dependent on ambient temperature, leading to uncontrolled heat release and limited storage lifetime. Although doping OPCMs with azobenzene (Azo) derivatives enables optically controlled energy storage and [...] Read more.
Organic phase change materials (OPCMs) offer high energy density for thermal storage but suffer from crystallization kinetics dependent on ambient temperature, leading to uncontrolled heat release and limited storage lifetime. Although doping OPCMs with azobenzene (Azo) derivatives enables optically controlled energy storage and release, existing systems require UV irradiation for E-to-Z isomerization. This UV dependency seriously hinders their development in practical solar applications. Herein, we develop a visible-light-responsive Azo@OPCM composite by doping tetra-ortho-fluorinated azobenzene into eicosane. Systematic characterization of composites with different dopant ratios via UV–visible spectroscopy and differential scanning calorimetry reveals that green-light irradiation drives E-to-Z isomerization, achieving 97–99% Z-isomer conversion. This photoisomerization could introduce supercooling through photo-responsive energy barriers generated by Z-isomer, allowing thermal energy storage at lower temperatures. Subsequent blue-light irradiation triggers Z-to-E reversion to eliminate supercooling and enable optically controlled heat release. Additionally, by regulating the molar ratios of dopant, the optimized composites achieved 280.76 J/g energy density at 20% molar doping ratio, which surpassed that of pure eicosane and the reported Azo-based photothermal energy storage system. This work establishes a complete visible-light-controlled energy harvesting–storage–release cycle with significant potential for near-room-temperature solar thermal storage applications. Full article
(This article belongs to the Special Issue Photochemistry in Asia)
Show Figures

Graphical abstract

24 pages, 6246 KB  
Article
Anti-Herpes Simplex Virus Type 1 Activity of Rosa damascena Mill Essential Oil and Floral Water in Retinal Infection In Vitro and In Silico
by Neli Vilhelmova-Ilieva, Rayna Nenova, Kalin Kalinov, Ana Dobreva, Dimitar Peshev and Ivan Iliev
Int. J. Mol. Sci. 2025, 26(15), 7521; https://doi.org/10.3390/ijms26157521 - 4 Aug 2025
Viewed by 656
Abstract
Recently, essential rose oils and rose products have gained increasing importance in both the cosmetic and food industries, as well as in the composition of medicinal products. We investigated the in vitro antiviral activity of essential oil and floral water from Rosa damascena [...] Read more.
Recently, essential rose oils and rose products have gained increasing importance in both the cosmetic and food industries, as well as in the composition of medicinal products. We investigated the in vitro antiviral activity of essential oil and floral water from Rosa damascena Mill against herpes simplex virus type 1 (HSV-1) infection in rabbit retinal cells (RRCs). The composition of the main chemical components in the rose essential oil was determined by means of gas chromatographic analysis. The effect on the viral replication cycle was determined using the cytopathic effect (CPE) inhibition assay. The virucidal activity, the effect on the adsorption stage of the virus to the host cell, and the protective effect on healthy cells were evaluated using the endpoint dilution method. The effects were determined as deviation in the viral titer, Δlg, for the treated cells from the one for the untreated viral control. The identified main active components of rose oil are geraniol (28.73%), citronellol (21.50%), nonadecane (13.13%), nerol (5.51%), heneicosane (4.87%), nonadecene (3.93), heptadecane (2.29), farnesol (2.11%), tricosane (1.29%), eicosane (1.01%), and eugenol (0.85%). The results demonstrated that both rose products do not have a significant effect on the virus replication but directly affect the viral particles and reduce the viral titer by Δlg = 3.25 for floral water and by Δlg = 3.0 for essential oil. Significant inhibition of the viral adsorption stage was also observed, leading to a decrease in the viral titers by Δlg = 2.25 for floral water and by Δlg = 2.0 for essential oil. When pretreating healthy cells with rose products, both samples significantly protected them from subsequent infection with HSV-1. This protective effect was more pronounced for the oil (Δlg = 2.5) compared to the one for the floral water (Δlg = 2.0). We used the in silico molecular docking method to gain insight into the mechanism of hindrance of viral adsorption by the main rose oil compounds (geraniol, citronellol, nerol). These components targeted the HSV-1 gD interaction surface with nectin-1 and HVEM (Herpesvirus Entry Mediator) host cell receptors, at N-, C-ends, and N-end, respectively. These findings could provide a structural framework for further development of anti-HSV-1 therapeutics. Full article
(This article belongs to the Special Issue Advances in Retinal Diseases: 2nd Edition)
Show Figures

Figure 1

18 pages, 29742 KB  
Article
Enhanced Oilfield-Produced-Water Treatment Using Fe3+-Augmented Composite Bioreactor: Performance and Microbial Community Dynamics
by Qiushi Zhao, Chunmao Chen, Zhongxi Chen, Hongman Shan and Jiahao Liang
Bioengineering 2025, 12(7), 784; https://doi.org/10.3390/bioengineering12070784 - 19 Jul 2025
Viewed by 747
Abstract
The presence of recalcitrant organic compounds in oilfield-produced-water poses significant challenges for conventional biological treatment technologies. In this study, an Fe3+-augmented composite bioreactor was developed to enhance the multi-pollutant removal performance and to elucidate the associated microbial community dynamics. The Fe [...] Read more.
The presence of recalcitrant organic compounds in oilfield-produced-water poses significant challenges for conventional biological treatment technologies. In this study, an Fe3+-augmented composite bioreactor was developed to enhance the multi-pollutant removal performance and to elucidate the associated microbial community dynamics. The Fe3+-augmented system achieved efficient removal of oil (99.18 ± 0.91%), suspended solids (65.81 ± 17.55%), chemical oxygen demand (48.63 ± 15.15%), and polymers (57.72 ± 14.87%). The anaerobic compartment served as the core biotreatment unit, playing a pivotal role in microbial pollutant degradation. High-throughput sequencing indicated that Fe3+ supplementation strengthened syntrophic interactions between iron-reducing bacteria (Trichococcus and Bacillus) and methanogenic archaea (Methanobacterium and Methanomethylovorans), thereby facilitating the biodegradation of long-chain hydrocarbons (e.g., eicosane and nonadecane). Further metabolic function analysis identified long-chain-fatty-acid CoA ligase (EC 6.2.1.3) as a key enzyme mediating the interplay between hydrocarbon degradation and nitrogen cycling. This study elucidated the ecological mechanisms governing Fe3+-mediated multi-pollutant removal in a composite bioreactor and highlighted the potential of this approach for efficient, sustainable, and adaptable management of produced water in the petroleum industry. Full article
Show Figures

Figure 1

21 pages, 5271 KB  
Article
Transcriptome Analysis Reveals the Molecular Mechanism of Pseudomonas with Different Adhesion Abilities on Tilapia Decay
by Liumin Zhuang, Chen Song, Yunru Wei, Jinzhi Han, Li Ni, Chengxu Ruan and Wen Zhang
Foods 2025, 14(5), 795; https://doi.org/10.3390/foods14050795 - 26 Feb 2025
Viewed by 901
Abstract
This study aimed to investigate the molecular mechanism of Pseudomonas with varying adhesion capabilities to Tilapia’s intestinal mucus influence the spoilage potential of Tilapia. Sodium chloride(NaCl) was used as an environmental factor to regulate Pseudomonas’ adhesion ability. After being exposed [...] Read more.
This study aimed to investigate the molecular mechanism of Pseudomonas with varying adhesion capabilities to Tilapia’s intestinal mucus influence the spoilage potential of Tilapia. Sodium chloride(NaCl) was used as an environmental factor to regulate Pseudomonas’ adhesion ability. After being exposed to 3.5% NaCl stress, the PS01 strain with low adhesion showed an enhancement in adhesion ability, while the LP-3 strain with high adhesion exhibited a decrease. Correspondingly, the expression of critical adhesion genes, such as flgC, fliC, and cheB, was found to be altered. LP-3, with high adhesion ability, was observed to promote a relative increase in Nocardioides and Cloacibacterium in fish intestines. This led to the production of more volatile compounds, including 2-octen-1-ol Z, 2,3-Octanedione, and Eicosane, thus deepening the spoilage of tilapia. LP-3, with reduced adhesion ability after NaCl regulation, showed a diminished capacity to cause fish spoilage. Transcriptomics analysis was used to examine two Pseudomonas strains that exhibited different adhesion abilities, leading to the identification of an adhesion regulatory network involving flagellar assembly regulation, bacterial chemotaxis, quorum sensing, two-component systems, biofilm formation, and bacterial secretion systems. This study identified the Pseudomonas adhesion regulatory pathway and determined 10 key adhesion-related genes. Full article
(This article belongs to the Section Food Analytical Methods)
Show Figures

Figure 1

18 pages, 7091 KB  
Article
Cooling Performance of a Nano Phase Change Material Emulsions-Based Liquid Cooling Battery Thermal Management System for High-Capacity Square Lithium-Ion Batteries
by Guanghui Zhang, Guofeng Chen, Pan Li, Ziyi Xie, Ying Li and Tuantuan Luo
Fire 2024, 7(10), 371; https://doi.org/10.3390/fire7100371 - 18 Oct 2024
Cited by 2 | Viewed by 2192
Abstract
This study investigated the application of nanophase change material emulsions (NPCMEs) for thermal management in high-capacity ternary lithium-ion batteries. We formulated an NPCME of n-octadecane (n-OD) and n-eicosane (n-E) with a mass fraction of 10%, whose phase change temperatures are 25.5 °C and [...] Read more.
This study investigated the application of nanophase change material emulsions (NPCMEs) for thermal management in high-capacity ternary lithium-ion batteries. We formulated an NPCME of n-octadecane (n-OD) and n-eicosane (n-E) with a mass fraction of 10%, whose phase change temperatures are 25.5 °C and 32.5 °C, respectively, with specific heat capacities 2.1 and 2.4 times greater than water. Experiments were conducted to evaluate the thermal control performance and latent heat utilization efficiency of these NPCMEs. The NPCMEs with an n-OD mass fraction of 10% (NPCME-n-OD), particularly reduced the battery pack’s maximum temperature and temperature difference to 41.6 °C and 3.72 °C under a 2 C discharge rate, lower than the water-cooled group by 1.3 °C and 0.3 °C. This suggests that nano emulsions with phase change temperatures close to ambient temperatures exhibit superior cooling performance. Increased flow rates from 50 mL/min to 75 mL/min significantly lowered temperatures, resulting in temperature reductions of 2.73 °C for the NPCME-n-OD group and 3.37 °C for the NPCME-n-E group. However, the latent heat utilization efficiency of the nano emulsions decreased, leading to increased system energy consumption. Also, it was found that the inlet temperature of the NPCMEs was very important for good thermal management. The right inlet temperatures make it easier to use phase change latent heat, while excessively high temperatures may make thermal management less effective. Full article
(This article belongs to the Special Issue Fire Safety of the New Emerging Energy)
Show Figures

Figure 1

16 pages, 1609 KB  
Article
Influence of Endogenous Bacteria on Behavioral Responses in Leptocybe invasa: An Analysis of mVOCs
by Leming Zhou, Ping Hu, Jinting Xie, Junjue Li, Chunhui Guo and Zhengde Yang
Insects 2024, 15(6), 455; https://doi.org/10.3390/insects15060455 - 16 Jun 2024
Viewed by 2043
Abstract
Microorganisms within insects play a vital role in maintaining the basal physiological functions of the insects, with olfactory signals as critical components of insect survival strategies. Leptocybe invasa (L. invasa), an invasive alien pest inflicting significant damage to eucalyptus trees, harbors [...] Read more.
Microorganisms within insects play a vital role in maintaining the basal physiological functions of the insects, with olfactory signals as critical components of insect survival strategies. Leptocybe invasa (L. invasa), an invasive alien pest inflicting significant damage to eucalyptus trees, harbors a rich and varied bacterial community within its body. However, the impact of its endogenous bacteria and their microbial Volatile Organic Compounds (mVOCs) on the behavioral preferences of L. invasa remains unexplored to date. This study focused on nine cultivable and dominant endogenous bacterial strains within L. invasa. Using a Y-tube olfactometer, we investigated the behavioral responses of female L. invasa to the mVOCs emitted by these bacteria. Concurrently, gas chromatography–mass spectrometry (GC–MS) was employed to quantify the mVOCs produced by these endogenous bacteria. Our findings revealed that Staphylococcus sp. exhibited the highest attractiveness of L. invasa, whereas Microbacterium sp. and E. cloacae exerted the most significant avoidance effects. The analysis of the mVOCs further highlighted the significance of aldehyde compounds, notably 2,3,6-trichlorobenzaldehyde, and alkane compounds, such as eicosane, in mediating the repellency and attraction effects. These results contribute to a deeper understanding of the invasion mechanism of L. invasa and provide a scientific basis for developing novel biopesticides or elicitors. Full article
(This article belongs to the Section Insect Behavior and Pathology)
Show Figures

Figure 1

14 pages, 721 KB  
Article
Chemical Insect Attractants Produced by Flowers of Impatiens spp. (Balsaminaceae) and List of Floral Visitors
by Anna Jakubska-Busse, Izabela Czeluśniak, Marek Hojniak, Monika Myśliwy and Kamil Najberek
Int. J. Mol. Sci. 2023, 24(24), 17259; https://doi.org/10.3390/ijms242417259 - 8 Dec 2023
Cited by 7 | Viewed by 2715
Abstract
The study of the semiochemicals produced by the flowers of Impatiens spp. is an important topic that may explain the reason for the rapid expansion of some species in this genus. Impatiens L. belongs to the Balsaminaceae family, which includes several species considered [...] Read more.
The study of the semiochemicals produced by the flowers of Impatiens spp. is an important topic that may explain the reason for the rapid expansion of some species in this genus. Impatiens L. belongs to the Balsaminaceae family, which includes several species considered to be invasive plants in Europe. This study aimed to characterize the phytochemistry of four naturally occurring plant species in Poland, including three invasive alien taxa (Impatiens parviflora, I. glandulifera, and I. capensis) and one native species (I. noli-tangere). Gas chromatographic techniques were used to assess phytochemical profiles of chemical attractant cues in their pollination biology. We detected differences in the scent profiles of the investigated species. All the examined Impatiens species produce various alcohols, i.e., heptacosanol, octacosanol, aldehydes (e.g., octadecanal, eicosanal, etc.), and fatty acids, as well as long-chain hydrocarbons such as dodecane, tricosane, petacosane, hexacosane, and farnesene. Impatiens parviflora, I. glandulifera, and I. capensis produce geraniol and linalool, which attract members of the Apidae family, including bumblebees and honeybees. Impatiens parviflora also produces linalool-derived monoterpenes (linalool oxide and 8-hydroxylinalool), which are a strong attractant for Diptera; this may clarify why the species is mainly visited and pollinated by syrphid flies. A list of insect visitors to the Impatiens species under study can be found in the article. Full article
(This article belongs to the Section Bioactives and Nutraceuticals)
Show Figures

Figure 1

19 pages, 6812 KB  
Article
Natural Fibrous Materials Based on Fungal Mycelium Hyphae as Porous Supports for Shape-Stable Phase-Change Composites
by Adeliya R. Sayfutdinova, Kirill A. Cherednichenko, Maria A. Rakitina, Valeria N. Dubinich, Kristina A. Bardina, Maria I. Rubtsova, Daria A. Petrova, Vladimir A. Vinokurov and Denis V. Voronin
Polymers 2023, 15(23), 4504; https://doi.org/10.3390/polym15234504 - 23 Nov 2023
Cited by 7 | Viewed by 2952
Abstract
Adsorption of organic phase-change materials (PCMs) by the porous matrix of microfibrillar cellulose (MFC) is a simple and versatile way to prepare shape-stable phase-change composites, which are promising as sustainable thermoregulating additives to construction materials. However, due to MFC inherent morphology, the resulting [...] Read more.
Adsorption of organic phase-change materials (PCMs) by the porous matrix of microfibrillar cellulose (MFC) is a simple and versatile way to prepare shape-stable phase-change composites, which are promising as sustainable thermoregulating additives to construction materials. However, due to MFC inherent morphology, the resulting composites have relatively low poured density that complicates their introduction in sufficient amounts, for instance, into mortar mixes. Unlike MFC, fungal mycelium has, by an order, less fibrils thickness and, thus, possesses significantly higher poured density. Herein, we studied the feasibility of fungal mycelium-based matrices as alternative biopolymeric porous supports for preparation of sustainable and shape-stable phase-change composites. Two methods were employed to prepare the porous mycelium-based supports. The first one was the solid-state fermentation, which resulted in partial biotransformation of MFCs to mycelium hyphae, while the second one was the liquid-state surface fermentation, used to cultivate the reference matrix of Trametes hirsuta hyphae. The phase-change composites were prepared by adsorption of model organic PCMs on porous biopolymer matrices. The mass ratio of support/PCM was 40/60 wt%. The composites were studied with respect to their structure, composition, poured density, latent heat storage properties, and thermal and shape stability. The employment of the partially transformed to mycelium-hyphae MFC fibers was found to be a suitable way to prepare phase-change composites with improved poured density while preserving a reasonable latent heat capacity and shape stability as compared to the MFC/PCM composites. Full article
(This article belongs to the Section Polymer Analysis and Characterization)
Show Figures

Figure 1

11 pages, 1260 KB  
Article
Determination of N-Paraffins Content in Crude Oil via Near-Infrared Spectroscopy Associated with Chemometric Approaches
by Sergey A. Sarkisov, Ludmila V. Ivanova, Olga V. Primerova and Vladimir N. Koshelev
Processes 2023, 11(12), 3265; https://doi.org/10.3390/pr11123265 - 22 Nov 2023
Cited by 2 | Viewed by 1804
Abstract
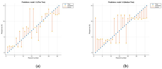
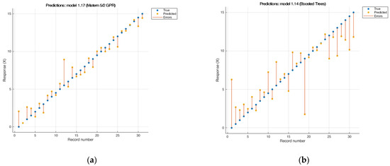
This study explores the potential application of NIR spectroscopy coupled with different linear and nonlinear models for rapid evaluation of n-alkanes in crude oil. Samples for calibration were 30 model mixtures of n-eicosane in crude oil samples with a concentration of 1–15%. The [...] Read more.
This study explores the potential application of NIR spectroscopy coupled with different linear and nonlinear models for rapid evaluation of n-alkanes in crude oil. Samples for calibration were 30 model mixtures of n-eicosane in crude oil samples with a concentration of 1–15%. The prediction models were established based on 21 methods: linear regression, regression trees, support vector machines, Gaussian process regression, ensembles of trees, and neural networks. The spectral range 4500–9000 cm−1 was determined to be the most informative for prediction. The prediction capability of lineal regression methods turned out to be unsatisfactory. Nonlinear models were preferred over linear models; better results were obtained using the regression trees method, including «fine tree» (RMSE = 2.8635) and neural networks (RMSE = 2.0157). The LS-SVM model exhibited satisfactory prediction performance (R2 = 0.96, RMSE = 0.91), as did the Gaussian Process Regression Matern 5.2 GPR (R2 = 0.96, RMSE = 1.03) and Gaussian Process Regression (Rational Quadratic) (R2 = 0.95, RMSE = 1.04). Among the 21 chemometric algorithms, the best and weakest models were the LS-SVM and PLSR models, respectively. The LS-SVM model was the optimal model for the prediction of n-alkanes content in crude oil. Full article
(This article belongs to the Section Chemical Processes and Systems)
Show Figures

Figure 1

14 pages, 1089 KB  
Article
Cytotoxic and Antioxidant Potential of Launaea mucronata Forssk Essential Oil Growing in Northern Saudi Arabia
by Ehab M. Mostafa, Ahmed H. El-Ghorab, Mohammed M. Ghoneim, Hasnaa Ali Ebrahim, Moaz Abulfaraj, Mohamed A. Abdelgawad, Amr Farouk and Arafa Musa
Molecules 2023, 28(20), 7025; https://doi.org/10.3390/molecules28207025 - 11 Oct 2023
Cited by 6 | Viewed by 2058
Abstract
Essential oils are naturally occurring multicomponent combinations of isoprenoids with distinctive odors that are produced by aromatic plants from mevalonic acid. They are extensively applied in aromatherapy for the treatment of various ailments. To investigate the potential therapeutic value of the ingredients in [...] Read more.
Essential oils are naturally occurring multicomponent combinations of isoprenoids with distinctive odors that are produced by aromatic plants from mevalonic acid. They are extensively applied in aromatherapy for the treatment of various ailments. To investigate the potential therapeutic value of the ingredients in Launaea mucronata essential oil (EO), gas chromatography–mass spectrometry (GC-MS) analysis was used for essential oil characterization. Then, 2,2-diphenyl-1-picrylhydrazyl (DPPH), β-carotene/linoleic acid, and 2,2′-azino-bis(3-ethylbenzothiazoline-6-sulfonic acid) (ABTS) assays were used to evaluate the antioxidants. A 3-(4,5-dimethylthiazol-2-yl)-2,5-diphenyl-2H-tetrazolium bromide (MTT) assay was used to estimate the cytotoxicity. Following a thorough analysis of the GC-MS chromatogram, 87 components representing 97.98% of the entire EO mixture were identified. N-eicosane (10.92%), 2E,6Z-farnesol (10.74%), and 2Z,6E-farnesyl acetone (46.35%) were determined to be the major components of the oil. When the produced EO was evaluated for its antioxidant properties, it showed a strong inhibitory effect (%) of 65.34 at a concentration of 80 μg/mL. The results (g/mL) showed a positive response against the tested cell lines for HCT-116, MCF-7, and HepG2 (8.45, 10.24, and 6.78 g/mL, respectively). A high-concentration mixture of deadly components consisting of farnesol, bisabolol, eicosane, and farnesyl acetone may be responsible for this significant cytotoxic action, which was especially noticeable in the HepG2 cell line. Molecular docking occurred between farnesol and farnesyl acetone with the target residues of topoisomerases I and II, CDK4/cyclD1, and Aurora B kinases; these showed binding free energies ranging from −4.5 to −7.4 kcal/mol, thus demonstrating their antiproliferative action. In addition, farnesol and farnesyl acetone fulfilled most of the ADME and drug-likeness properties, indicating their activity. Full article
(This article belongs to the Section Food Chemistry)
Show Figures

Graphical abstract

28 pages, 6761 KB  
Article
Prediction of Key Parameters in the Design of CO2 Miscible Injection via the Application of Machine Learning Algorithms
by Mohamed Hamadi, Tayeb El Mehadji, Aimen Laalam, Noureddine Zeraibi, Olusegun Stanley Tomomewo, Habib Ouadi and Abdesselem Dehdouh
Eng 2023, 4(3), 1905-1932; https://doi.org/10.3390/eng4030108 - 7 Jul 2023
Cited by 19 | Viewed by 4087
Abstract
The accurate determination of key parameters, including the CO2-hydrocarbon solubility ratio (Rs), interfacial tension (IFT), and minimum miscibility pressure (MMP), is vital for the success of CO2-enhanced oil recovery (CO2-EOR) projects. This study presents a robust machine [...] Read more.
The accurate determination of key parameters, including the CO2-hydrocarbon solubility ratio (Rs), interfacial tension (IFT), and minimum miscibility pressure (MMP), is vital for the success of CO2-enhanced oil recovery (CO2-EOR) projects. This study presents a robust machine learning framework that leverages deep neural networks (MLP-Adam), support vector regression (SVR-RBF) and extreme gradient boosting (XGBoost) algorithms to obtained accurate predictions of these critical parameters. The models are developed and validated using a comprehensive database compiled from previously published studies. Additionally, an in-depth analysis of various factors influencing the Rs, IFT, and MMP is conducted to enhance our understanding of their impacts. Compared to existing correlations and alternative machine learning models, our proposed framework not only exhibits lower calculation errors but also provides enhanced insights into the relationships among the influencing factors. The performance evaluation of the models using statistical indicators revealed impressive coefficients of determination of unseen data (0.9807 for dead oil solubility, 0.9835 for live oil solubility, 0.9931 for CO2-n-Alkane interfacial tension, and 0.9648 for minimum miscibility pressure). One notable advantage of our models is their ability to predict values while accommodating a wide range of inputs swiftly and accurately beyond the limitations of common correlations. The dataset employed in our study encompasses diverse data, spanning from heptane (C7) to eicosane (C20) in the IFT dataset, and MMP values ranging from 870 psi to 5500 psi, covering the entire application range of CO2-EOR. This innovative and robust approach presents a powerful tool for predicting crucial parameters in CO2-EOR projects, delivering superior accuracy, speed, and data diversity compared to those of the existing methods. Full article
(This article belongs to the Special Issue GeoEnergy Science and Engineering)
Show Figures

Figure 1

9 pages, 654 KB  
Communication
Amphetamine-Related Fatalities and Altered Brain Chemicals: A Preliminary Investigation Using the Comparative Toxicogenomic Database
by Murad Tumayhi, David Banji, Ibrahim Khardali, Otilia J. F. Banji, Saeed Alshahrani, Saad S. Alqahtani, Safiah Muqri, Amal Abdullah, Wedad Sherwani and Ibraheem Attafi
Molecules 2023, 28(12), 4787; https://doi.org/10.3390/molecules28124787 - 15 Jun 2023
Cited by 4 | Viewed by 3713
Abstract
Amphetamine is a psychostimulant drug with a high risk of toxicity and death when misused. Abuse of amphetamines is associated with an altered organic profile, which includes omega fatty acids. Low omega fatty acid levels are linked to mental disorders. Using the Comparative [...] Read more.
Amphetamine is a psychostimulant drug with a high risk of toxicity and death when misused. Abuse of amphetamines is associated with an altered organic profile, which includes omega fatty acids. Low omega fatty acid levels are linked to mental disorders. Using the Comparative Toxicogenomic Database (CTD), we investigated the chemical profile of the brain in amphetamine-related fatalities and the possibility of neurotoxicity. We classified amphetamine cases as low (0–0.5 g/mL), medium (>0.5 to 1.5 g/mL), and high (>1.5 g/mL), based on amphetamine levels in brain samples. All three groups shared 1-octadecene, 1-tridecene, 2,4-di-tert-butylphenol, arachidonic acid (AA), docosahexaenoic acid (DHA), eicosane, and oleylamide. We identified chemical–disease associations using the CTD tools and predicted an association between DHA, AA and curated conditions like autistic disorder, disorders related to cocaine, Alzheimer’s disease, and cognitive dysfunction. An amphetamine challenge may cause neurotoxicity in the human brain due to a decrease in omega-3 fatty acids and an increase in oxidative products. Therefore, in cases of amphetamine toxicity, a supplement therapy may be needed to prevent omega-3 fatty acid deficiency. Full article
Show Figures

Figure 1

13 pages, 1677 KB  
Article
Phytochemical Composition, Bioactive Compounds, and Antioxidant Properties of Different Parts of Andrographis macrobotrys Nees
by Dayanand Dalawai, Hosakatte Niranjana Murthy, Yaser Hassan Dewir, Joseph Kadanthottu Sebastian and Anish Nag
Life 2023, 13(5), 1166; https://doi.org/10.3390/life13051166 - 11 May 2023
Cited by 13 | Viewed by 3121
Abstract
Andrographis macrobotrys Nees is an ethnomedicinal plant belonging to the family Acanthaceae, distributed in the moist deciduous and semi-evergreen forests of the southern Western Ghats of India. The objective of this research was to determine the phytochemical composition and bioactive chemical components using [...] Read more.
Andrographis macrobotrys Nees is an ethnomedicinal plant belonging to the family Acanthaceae, distributed in the moist deciduous and semi-evergreen forests of the southern Western Ghats of India. The objective of this research was to determine the phytochemical composition and bioactive chemical components using gas chromatography and mass spectrometry (GC-MS) and to check the antioxidant potential of the plant part extracts. A. macrobotrys roots, stems, and leaves were obtained from the species’ natural habitat in the Western Ghats, India. The bioactive compounds were extracted using a Soxhlet extractor at 55–60 °C for 8 h in methanol. Identification analysis of A. macrobotrys bioactive compound was performed using GC-MS. Quantitative estimation of phytochemicals was carried out, and the antioxidant capacity of the plant extracts was determined by 2,2′-diphenyl-1-picrylhydrazyl radical scavenging (DPPH) and ferric reducing assays (FRAP). A. macrobotrys has a higher concentration of phenolics in its stem extract than in its root or leaf extracts (124.28 mg and 73.01 mg, respectively), according to spectrophotometric measurements. GC-MS analysis revealed the presence of phytochemicals such as azulene, 2,4-di-tert-butylphenol, benzoic acid, 4-ethoxy-ethyl ester, eicosane, 3-heptadecanol, isopropyl myristate, hexadecanoic acid methyl ester, hexadecanoic acid, 1-butyl-cyclohexanol, 9,12-octadecadienoic acid, alpha-monostearin, and 5-hydroxy-7,8-dimethoxyflavone belonging to various classes of flavonoids, terpenoids, phenolics, fatty acids, and aromatic compounds. Significant bioactive phytochemicals include 2,4-di-tert-butylphenol, 2-methoxy-4-vinylphenol, 5-hydroxy-7,8-dimethoxyflavone, azulene, salvigenin, squalene, and tetrapentacontane. In addition, the antioxidant capability of each of the three extracts was assessed. The stem extract demonstrated impressive DPPH scavenging and ferric reduction activities, with EC50 values of 79 mg/mL and 0.537 ± 0.02 OD at 0.2 mg/mL, respectively. The results demonstrated the importance of A. macrobotrys as a source of medicine and antioxidants. Full article
(This article belongs to the Special Issue Plants as a Promising Biofactory for Bioactive Compounds)
Show Figures

Figure 1

30 pages, 9734 KB  
Article
Antioxidant, Wound Healing Potential and In Silico Assessment of Naringin, Eicosane and Octacosane
by Abbirami Balachandran, Sy Bing Choi, Morak-Młodawska Beata, Jeleń Małgorzata, Gabriele R. A. Froemming, Charlie A. Lavilla, Merell P. Billacura, Stepfanie N. Siyumbwa and Patrick N. Okechukwu
Molecules 2023, 28(3), 1043; https://doi.org/10.3390/molecules28031043 - 20 Jan 2023
Cited by 68 | Viewed by 7664
Abstract
1. Diabetic chronic wounds, mainly foot ulcers, constitute one of the most common complications of poorly managed diabetes mellitus. The most typical reasons are insufficient glycemic management, latent neuropathy, peripheral vascular disease, and neglected foot care. In addition, it is a common cause [...] Read more.
1. Diabetic chronic wounds, mainly foot ulcers, constitute one of the most common complications of poorly managed diabetes mellitus. The most typical reasons are insufficient glycemic management, latent neuropathy, peripheral vascular disease, and neglected foot care. In addition, it is a common cause of foot osteomyelitis and amputation of the lower extremities. Patients are admitted in larger numbers attributable to chronic wounds compared to any other diabetic disease. In the United States, diabetes is currently the most common cause of non-traumatic amputations. Approximately five percent of diabetics develop foot ulcers, and one percent require amputation. Therefore, it is necessary to identify sources of lead with wound-healing properties. Redox imbalance due to excessive oxidative stress is one of the causes for the development of diabetic wounds. Antioxidants have been shown to decrease the progression of diabetic neuropathy by scavenging ROS, regenerating endogenous and exogenous antioxidants, and reversing redox imbalance. Matrix metalloproteinases (MMPs) play vital roles in numerous phases of the wound healing process. Antioxidant and fibroblast cell migration activity of Marantodes pumilum (MP) crude extract has previously been reported. Through their antioxidant, epithelialization, collagen synthesis, and fibroblast migration activities, the authors hypothesise that naringin, eicosane and octacosane identified in the MP extract may have wound-healing properties. 2. The present study aims to identify the bioactive components present in the dichloromethane (DCM) extract of M. pumilum and evaluate their antioxidant and wound healing activity. Bioactive components were identified using LCMS, HPTLC and GCMS. Excision wound on STZ-induced diabetic rat model, human dermal fibroblast (HDF) cell line and colorimetric antioxidant assays were used to evaluate wound healing and antioxidant activities, respectively. Molecular docking and pkCMS software would be utilised to predict binding energy and affinity, as well as ADME parameters. 3. Naringin (NAR), eicosane (EIC), and octacosane (OCT) present in MP displayed antioxidant action and wound excision closure. Histological examination HDF cell line demonstrates epithelialization, collagen production, fibroblast migration, polymorphonuclear leukocyte migration (PNML), and fibroblast movement. The results of molecular docking indicate a substantial attraction and contact between MMPs. pkCMS prediction indicates inadequate blood-brain barrier permeability, low toxicity, and absence of hepatotoxicity. 4. Wound healing properties of (NEO) naringin, eicosane and octacosane may be the result of their antioxidant properties and possible interactions with MMP. Full article
(This article belongs to the Special Issue Targeting Oxidative Stress and Organites Associated in Disease)
Show Figures

Figure 1

19 pages, 2981 KB  
Article
Attraction of Aulacophora foveicollis Lucas (Coleoptera: Chrysomelidae) to Host Plant Cucurbita maxima Duchesne (Cucurbitaceae) Volatiles
by Biswanath Bhowmik, Udipta Chakraborti, Alivia Mandal, Bishwajeet Paul and Kakali Bhadra
Agronomy 2022, 12(11), 2640; https://doi.org/10.3390/agronomy12112640 - 26 Oct 2022
Cited by 6 | Viewed by 3309
Abstract
The volatiles extracted by the dynamic headspace collection system from the undamaged and conspecific damaged Cucurbita maxima were analyzed by Gas chromatography–mass spectrometry (GC-MS). The olfactory responses of antennal chemosensilla by male and female A. foveicollis towards the plant volatiles were studied by [...] Read more.
The volatiles extracted by the dynamic headspace collection system from the undamaged and conspecific damaged Cucurbita maxima were analyzed by Gas chromatography–mass spectrometry (GC-MS). The olfactory responses of antennal chemosensilla by male and female A. foveicollis towards the plant volatiles were studied by electroantennography (EAG), while the behavioral responses were analyzed by olfactometer bioassay under laboratory conditions. Scanning electron microscopic study revealed the predominance of antennal olfactory sensilla of seven different types with four types of mechanosensilla. The antennae are sexually dimorphic, with differences in density of the chemosensillae present in the apical band region of segment IX, called the circumferential band, being higher in the females. Female antennae showed maximum peak amplitudes for 2-methyl phenol (at 10 mg/mL), followed by 1,4, dimethoxybenzene (at 5 mg/mL), while male antennae showed maximum amplitudes for heneicosane (at 5 mg/mL). Y-tube bioassays revealed maximum attractiveness towards 1,4, dimethoxy benzene that decreased progressively across heneicosane, pentacosane, tetradecane, ethyl benzene, D-limonene, nonadecane, eicosane, nonanal, decanal, α-pinene, phytol and benzaldehyde in females. However, male species were more responsive towards heneicosane, followed by 1,4 dimethoxybenzene, while the responses to pentacosane and tetradecane were equal, followed by equal responses to decanal, ethyl benzene and nonadecane, and thereafter, a progressively reducing response was observed towards α-pinene, eicosane, nonanal, D-limonene, phytol and benzaldehyde. The study assists in understanding the role of olfaction by A. foveicollis in the host plant Cucurbita maxima by listing compounds that act as potential kairomones for the beetle, and can be expected to facilitate development of an eco–friendly trap and/or by attracting the natural enemies for control of the pest. Full article
Show Figures

Graphical abstract

Back to TopTop