Sign in to use this feature.

Years

Between: -

Subjects

remove_circle_outline
remove_circle_outline
remove_circle_outline
remove_circle_outline
remove_circle_outline
remove_circle_outline
remove_circle_outline

Journals

Article Types

Countries / Regions

Search Results (23)

Search Parameters:
Keywords = effective borehole thermal resistance

Order results
Result details
Results per page
Select all
Export citation of selected articles as:
19 pages, 33670 KB  
Article
Thermal Performance Analysis of Borehole Heat Exchangers Refilled with the Use of High-Permeable Backfills in Low-Permeable Rock Formations
by Yuxin Liu, Bing Cao, Yuchen Xiong and Jin Luo
Sustainability 2025, 17(19), 8851; https://doi.org/10.3390/su17198851 - 3 Oct 2025
Viewed by 770
Abstract
It is well known that the operation of a Borehole Heat Exchanger (BHE) can thermally induce groundwater convection in aquifers, enhancing the thermal performance of the BHE. However, the effect on the thermal performance of BHEs installed in low-permeable rock formations remains unclear. [...] Read more.
It is well known that the operation of a Borehole Heat Exchanger (BHE) can thermally induce groundwater convection in aquifers, enhancing the thermal performance of the BHE. However, the effect on the thermal performance of BHEs installed in low-permeable rock formations remains unclear. In this study, two BHEs were installed in a silty sandstone formation, one backfilled with high-permeable materials and the other grouted with sand–bentonite slurry. A Thermal Response Test (TRT) showed that the fluid outlet temperature of the high-permeable-material backfilled BHE was about 2.5 °C lower than that of the BHE refilled with sand–bentonite slurry, implying a higher thermal efficiency. The interpreted borehole thermal parameters also show a lower borehole thermal resistance in the high-permeable-material backfilled BHE. Physical model tests reveal that groundwater convective flow was induced in the high-permeable-material backfilled BHE. A test of BHEs with different borehole diameters shows that the larger the borehole diameter, the higher the thermal efficiency is. Thus, the thermal performance enhancement was attributed to two factors. First, the induced groundwater flow accelerates heat transfer by convection. Additionally, the increment of the thermal volumetric capacity of the groundwater stored inside a high-permeable-material refilled borehole stabilized the borehole’s temperature, which is key to sustaining high thermal efficiency in a BHE. The thermal performance enhancement demonstrated here shows potential for reducing reliance on fossil-fuel-based energy resources in challenging geological settings, thereby contributing to developing more sustainable geothermal energy solutions. Further validation in diverse field conditions is recommended to generalize these findings. Full article
(This article belongs to the Section Sustainable Engineering and Science)
Show Figures

Figure 1

24 pages, 5807 KB  
Article
Research on the Optimized Design of Medium and Deep Ground-Source Heat Pump Systems Considering End-Load Variation
by Jianlin Li, Xupeng Qi, Xiaoli Li, Huijie Huang and Jian Gao
Sustainability 2025, 17(7), 3234; https://doi.org/10.3390/su17073234 - 4 Apr 2025
Cited by 1 | Viewed by 1635
Abstract
Ground-source heat pump (GSHP) systems with medium-depth and deeply buried pipes in cold regions are highly important for addressing global climate change and the energy crisis because of their efficient, clean, and sustainable energy characteristics. However, unique geological conditions in cold climates pose [...] Read more.
Ground-source heat pump (GSHP) systems with medium-depth and deeply buried pipes in cold regions are highly important for addressing global climate change and the energy crisis because of their efficient, clean, and sustainable energy characteristics. However, unique geological conditions in cold climates pose serious challenges to the heat transfer efficiency, long-term stability, and adaptability of systems. This study comprehensively analyses the effects of various factors, including well depth, inner-to-outer tube diameter ratios, cementing material, the thermal conductivity of the inner tube, the flow rate, and the start–stop ratio, on the performance of a medium-depth coaxial borehole heat exchanger. Field tests, numerical simulations, and sensitivity analyses are combined to determine the full-cycle thermal performance and heat-transfer properties of medium-depth geological formations and their relationships with system performance. The results show that the source water temperature increases by approximately 4 °C and that the heat transfer increases by 50 kW for every 500 m increase in well depth. The optimization of the inner and outer pipe diameter ratios effectively improves the heat-exchange efficiency, and a larger pipe diameter ratio design can significantly reduce the flow resistance and improve system stability. When the thermal conductivity of the cementing cement increases from 1 W/(m·K) to 2 W/(m·K), the outlet water temperature at the source side increases by approximately 1 °C, and the heat transfer increases by 13 kW. However, the improvement effect of further increasing the thermal conductivity on the heat-exchange efficiency gradually decreases. When the flow rate is 0.7 m/s, the heat transfer is stable at approximately 250 kW, and the system economy and heat-transfer efficiency reach a balance. These findings provide a robust scientific basis for promoting medium-deep geothermal energy heating systems in cold regions and offer valuable references for the green and low-carbon transition in building heating systems. Full article
Show Figures

Figure 1

44 pages, 11723 KB  
Article
Numerical Analysis of Inlet–Outlet Leg Barriers in Vertical Borehole Heat Exchangers: A Strategy to Mitigate the Thermal Resistance
by Asfia Nishat and Hossam Abuel-Naga
Geotechnics 2025, 5(1), 17; https://doi.org/10.3390/geotechnics5010017 - 1 Mar 2025
Viewed by 1580
Abstract
The efficiency of heat transfer through borehole heat exchangers is influenced by the thermal resistances of both the borehole and the surrounding soil. Optimizing these resistances can improve the heat transfer performance and reduce system costs. Soil thermal resistance is geographically specific and [...] Read more.
The efficiency of heat transfer through borehole heat exchangers is influenced by the thermal resistances of both the borehole and the surrounding soil. Optimizing these resistances can improve the heat transfer performance and reduce system costs. Soil thermal resistance is geographically specific and challenging to reduce, according to previous research; in contrast, borehole resistance can be minimized through practical approaches, such as increasing the thermal conductivity of the grout or adjusting the shank spacing in the U-tube configuration. The previous literature also suggests that coaxial pipes are a more efficient design than a single U-tube borehole heat exchanger. A novel approach involves inserting a physical barrier between the U-tube’s inlet and outlet legs to reduce the thermal short-circuiting and/or to improve the temperature distribution from the inlet leg in a U-tube borehole. Limited studies exist on the barrier technique and its contribution to reducing thermal resistance. The effects of two different barrier geometries, flat plate and U-shape, made from different materials, with various grout and soil thermal conductivities and shank spacing configurations, were considered in this study. Using FlexPDE software version 6.51, this study numerically assesses thermal resistances through the borehole. This study focuses on the sole contribution of a barrier in mitigating the thermal resistance of a U-tube borehole heat exchanger. This study suggests that the barrier technique is an effective solution for optimizing heat transfer through U-tube borehole heat exchangers, especially with reduced shank spacing and lower thermal conductivity soil. It can reduce the length of a U-tube borehole by up to 8.1 m/kW of heat transfer, offering a viable alternative to increasing shank spacing in the U-tube borehole or the enhancing thermal conductivity of the grout. Moreover, under specific conditions of soil and grout with low to medium thermal conductivity, a U-tube borehole heat exchanger with a barrier between the legs demonstrates a reduction of up to 43.4 m per kW heat transfer (22.7%) in the overall length compared to coaxial pipes. Full article
(This article belongs to the Special Issue Recent Advances in Geotechnical Engineering (2nd Edition))
Show Figures

Figure 1

18 pages, 5342 KB  
Article
Increasing the Thermal Resistance of Water-Based Mud for Drilling Geothermal Wells
by Sławomir Błaż, Grzegorz Zima, Bartłomiej Jasiński and Marcin Kremieniewski
Energies 2024, 17(18), 4537; https://doi.org/10.3390/en17184537 - 10 Sep 2024
Cited by 2 | Viewed by 2633
Abstract
Energy demand and growing environmental concerns have fueled increased interest in geothermal drilling in recent decades. The high temperature and pressure in the boreholes present significant challenges to drilling, particularly in terms of the selection of suitable drilling mud, cement slurry, and drilling [...] Read more.
Energy demand and growing environmental concerns have fueled increased interest in geothermal drilling in recent decades. The high temperature and pressure in the boreholes present significant challenges to drilling, particularly in terms of the selection of suitable drilling mud, cement slurry, and drilling equipment. Drilling mud is regarded as one of the primary factors that affect the cost and success of geothermal drilling. This paper presents experimental studies aimed at assessing the thermal stability of drilling muds for geothermal drilling. Research on the antidegradation of polymers contained in drilling muds is presented. The thermal stability of drilling fluids was evaluated on the basis of changes in rheological and filtration parameters under the influence of a temperature of 160 °C. Attempts were made to increase the thermal resistance of drilling fluids by using antioxidants and glycol compounds. The effectiveness of increasing the thermal resistance of muds by adding synthetic polymers, nanomaterials, and graphite was tested. A new way of increasing the thermal resistance of drilling muds by using fatty amine compounds in combination with the amine agent ‘TEA’ was proposed. Tests showed that the addition of polyglycol and the antioxidant agent sodium ascorbate to the mud did not protect the polymers from decomposition at 160 °C. There was no effect of increasing the thermal conductivity on improving the thermal resistance of the scrubber. Based on the analysis of results from laboratory tests, a composition of a water-based drilling mud without bentonite was developed for drilling geothermal wells. The developed drilling mud is characterized by thermal resistance up to 160 °C, stable rheological parameters, low filtration, and appropriate thermal conductivity characteristics. Full article
(This article belongs to the Section H: Geo-Energy)
Show Figures

Figure 1

22 pages, 14551 KB  
Article
Surfactant–Polymer Composition for Selective Water Shut-Off in Production Wells
by Lyubov Magadova, Mikhail Silin, Vladimir Gubanov and Svetlana Aksenova
Gels 2024, 10(2), 117; https://doi.org/10.3390/gels10020117 - 1 Feb 2024
Cited by 8 | Viewed by 3226
Abstract
Today, a significant part of production wells’ stock has a high water cut percentage of 90% and above. Obviously, for this reason, the need to develop new and improved existing technologies for water shut-off in wells increases every year. Physico-chemical methods of water [...] Read more.
Today, a significant part of production wells’ stock has a high water cut percentage of 90% and above. Obviously, for this reason, the need to develop new and improved existing technologies for water shut-off in wells increases every year. Physico-chemical methods of water shut-off are based on the application of special reagents and compositions that plug the pathways of water inflow to the well. Depending on the mechanism and specific features of water barrier formation, isolation methods are divided into selective and non-selective. This article investigates the possibility of using hydrolyzed polyacrylonitrile as a gel-forming and precipitation-forming reagent for water shut-off technologies in production wells. A surfactant–polymer composition for the isolation of water inflow in production wells in objects with high salinity in formation water, possessing physical and chemical selectivity and providing permeability reduction only in water-saturated intervals, is proposed. The developed composition is the invert emulsion, which makes it possible to carry out treatment at a distance from the well and solve the problem of possible premature gel formation directly in the wellbore. The lowest effective concentration of HPAN in an aqueous solution for use as a gel-forming and sedimentation reagent was determined experimentally (5.0 wt% and more). The interaction of the polymer solution with a chromium crosslinker allows obtaining structured gels in the whole volume of the system. The structure of the gels was evaluated using the Sydansk classifier with the assignment of a letter code from A to J. It was experimentally proved that the structure of the obtained gels depends on the temperature and content of the crosslinking agent in the system; the more crosslinking agent in the composition of the system, the stronger the structure of the resulting gel. The optimal ratio of polymer and crosslinking agent to obtain a strong gel was obtained, which amounted to 5:1 by weight of dry polymer powder. For the HPAN concentration of 5 wt% according to the Sydansk classifier, the gel structure had the code “H”—slightly deformable non-flowing gel. The dependence of the volume of gel sediment obtained because of the interaction with mineralized water on the polymer concentration was studied. It was proved that an increase in the concentration of hydrolyzed polyacrylonitrile in the solution, as well as an increase in the concentration of calcium ions in mineralized water, leads to a larger volume of the resulting gel or precipitate and to the strengthening of the gel structure. The results of rheological studies of the developed composition, as well as experiments on thermal stability, are presented. The results of filtration tests on bulk reservoir models demonstrated the selectivity of the developed composition. The obtained value of the residual resistance factor for the oil-saturated low-permeability model was 1.49 units; the value of the residual resistance factor for the water-saturated high-permeability model was 18.04 units. The ratio of the obtained values of the residual resistance factor, equal to 0.08 (much less than 1), can characterize the developed composition as a selective material for water shut-off in producing wells. Existing technologies for water shut-off based on HPAN do not allow for making a treatment at a distance from the well and require the use of technological solutions to prevent premature gel sedimentation in the well. The developed composition makes it possible to solve the problem of premature gelation. In addition, the composition can form a blocking screen in highly permeable water-saturated zones. The development can be useful for deposits with difficult conditions (high mineralization in reservoir waters, boreholes with a horizontal end, elevated temperatures up to 80 °C). Full article
(This article belongs to the Special Issue Polymer Gels for the Oil and Gas Industry)
Show Figures

Figure 1

13 pages, 1579 KB  
Article
Feasibility Study of Controlled-Source Electromagnetic Method for Monitoring Low-Enthalpy Geothermal Reservoirs
by Mahmoud Eltayieb, Dieter Werthmüller, Guy Drijkoningen and Evert Slob
Appl. Sci. 2023, 13(16), 9399; https://doi.org/10.3390/app13169399 - 18 Aug 2023
Cited by 2 | Viewed by 2707
Abstract
Tracking temperature changes by measuring the resulting resistivity changes inside low-enthalpy reservoirs is crucial to avoid early thermal breakthroughs and maintain sustainable energy production. The controlled-source electromagnetic method (CSEM) allows for the estimation of sub-surface resistivity. However, it has not yet been proven [...] Read more.
Tracking temperature changes by measuring the resulting resistivity changes inside low-enthalpy reservoirs is crucial to avoid early thermal breakthroughs and maintain sustainable energy production. The controlled-source electromagnetic method (CSEM) allows for the estimation of sub-surface resistivity. However, it has not yet been proven that the CSEM can monitor the subtle resistivity changes typical of low-enthalpy reservoirs. In this paper, we present a feasibility study considering the CSEM monitoring of 4–8 Ω·m resistivity changes in a deep low-enthalpy reservoir model, as part of the Delft University of Technology (TU Delft) campus geothermal project. We consider the use of a surface-to-borehole CSEM for the detection of resistivity changes in a simplified model of the TU Delft campus reservoir. We investigate the sensitivity of CSEM data to disk-shaped resistivity changes with a radius of 300, 600, 900, or 1200 m at return temperatures equal to 25, 30, …, 50 °C. We test the robustness of CSEM monitoring against various undesired effects, such as random noise, survey repeatability errors, and steel-cased wells. The modelled differences in the electric field suggest that they are sufficient for the successful CSEM detection of resistivity changes in the low-enthalpy reservoir. The difference in monitoring data increases when increasing the resistivity change radius from 300 to 1200 m or from 4 to 8 Ω·m. Furthermore, all considered changes lead to differences that would be detectable in CSEM data impacted by undesired effects. The obtained results indicate that the CSEM could be a promising geophysical tool for the monitoring of small resistivity changes in low-enthalpy reservoirs, which would be beneficial for geothermal energy production. Full article
Show Figures

Figure 1

29 pages, 15037 KB  
Article
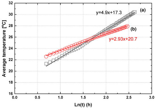
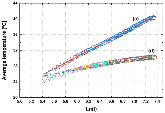
Effective Thermal Conductivity and Borehole Thermal Resistance in Selected Borehole Heat Exchangers for the Same Geology
by Tomasz Sliwa, Patryk Leśniak, Aneta Sapińska-Śliwa and Marc A. Rosen
Energies 2022, 15(3), 1152; https://doi.org/10.3390/en15031152 - 4 Feb 2022
Cited by 9 | Viewed by 4306
Abstract
Investigating the constructions of borehole heat exchangers with high efficiency (unit heat transfer between the heat carrier and ground) is important. One of the means to improve efficiency is the use of the most efficient construction of the borehole heat exchanger. The paper [...] Read more.
Investigating the constructions of borehole heat exchangers with high efficiency (unit heat transfer between the heat carrier and ground) is important. One of the means to improve efficiency is the use of the most efficient construction of the borehole heat exchanger. The paper describes research on borehole heat exchangers’ thermal efficiency, which is mainly characterized by parameters obtained from a thermal response test: effective thermal conductivity and borehole thermal resistivity. The borehole heat exchangers of the Laboratory of Geoenergetics in Poland were studied. Based on thermal response test interpretation and empirical equations, one of which is proprietary, the heat transfer is calculated independent of the duration of the thermal response test. Other conditions for using borehole heat exchangers in downtowns are discussed. The research aims to determine the best borehole heat exchanger design from five basic possibilities studied. A lack of unequivocal statements regarding this matter in the literature was observed. The influence of the interpretation method on the research results is determined. A single U-tube system filled with gravel is shown to be the most advantageous design by a very small margin. The applied interpretation methods, however, confirm the hitherto ambiguity in the selection of the best construction. The maximum heat carrier temperature at the end of thermal response tests was 32 °C for a geological profile mostly made up of clay (low thermal conductivity) and 23 °C for Carpathian flysch (sandstones and shales, with a higher value of conductivity). Full article
(This article belongs to the Special Issue Shallow Geothermal Energy 2021)
Show Figures

Figure 1

25 pages, 3521 KB  
Article
Different Approaches for Evaluation and Modeling of the Effective Thermal Resistance of Groundwater-Filled Boreholes
by Oleg Todorov, Kari Alanne, Markku Virtanen and Risto Kosonen
Energies 2021, 14(21), 6908; https://doi.org/10.3390/en14216908 - 21 Oct 2021
Cited by 6 | Viewed by 2924
Abstract
Groundwater-filled boreholes are a common solution in Scandinavian installations of ground source heat pumps (GSHP) due to the particular hydro-geological conditions with existing bedrock, and groundwater levels close to the surface. Different studies have highlighted the advantage of water-filled boreholes compared with their [...] Read more.
Groundwater-filled boreholes are a common solution in Scandinavian installations of ground source heat pumps (GSHP) due to the particular hydro-geological conditions with existing bedrock, and groundwater levels close to the surface. Different studies have highlighted the advantage of water-filled boreholes compared with their grouted counterparts since the natural convection of water within the borehole tends to decrease the effective thermal resistance Rb*. In this study, several methods are proposed for the evaluation and modeling of the effective thermal resistance of groundwater-filled boreholes. They are based on distributed temperature sensing (DTS) measurements of six representative boreholes within the irregular 74-single-U 300 m-deep borehole field of Aalto New Campus Complex (ANCC). These methods are compared with the recently developed correlations for groundwater-filled boreholes, which are implemented within the python-based simulation toolbox Pygfunction. The results from the enhanced Pygfunction simulation with daily update of Rb* show very good agreement with the measured mean fluid temperature of the first 39 months of system operation (March 2018–May 2021). It is observed that in real operation the effective thermal resistance Rb* can vary significantly, and therefore it is concluded that the update of Rb* is crucial for a reliable long-term simulation of groundwater-filled boreholes. Full article
(This article belongs to the Special Issue Volume III: Low Enthalpy Geothermal Energy)
Show Figures

Figure 1

26 pages, 4748 KB  
Article
Evaluation of Subsurface Heat Capacity through Oscillatory Thermal Response Tests
by Nicolò Giordano, Louis Lamarche and Jasmin Raymond
Energies 2021, 14(18), 5791; https://doi.org/10.3390/en14185791 - 14 Sep 2021
Cited by 10 | Viewed by 2986
Abstract
Two methods are currently available to estimate in a relatively short time span the subsurface heat capacity: (1) laboratory analysis of rock/soil samples; (2) measure the heat diffusion with temperature sensors in an observation well. Since the first may not be representative of [...] Read more.
Two methods are currently available to estimate in a relatively short time span the subsurface heat capacity: (1) laboratory analysis of rock/soil samples; (2) measure the heat diffusion with temperature sensors in an observation well. Since the first may not be representative of in-situ conditions, and the second imply economical and logistical issues, a third option might be possible by means of so-called oscillatory thermal response tests (OTRT). The aim of the study was to evaluate the effectiveness of an OTRT as a tool to infer the subsurface heat capacity without the need of an observation well. To achieve this goal, an OTRT was carried out in a borehole heat exchanger (BHE). The total duration of injection was 6 days, with oscillation period of 12 h and amplitude of 10 W m−1. The results of the proposed methodology were compared 3-D numerical simulations and to a TRT with a constant heat injection rate with temperature response monitored from a nearby observation well. Results show that the OTRT succeeded to infer the expected subsurface heat capacity, but uncertainty is about 15% and the radial depth of penetration is only 12 cm. The parameters having most impact on the results are the subsurface thermal conductivity and the borehole thermal resistance. The OTRT performed and analyzed in this study also allowed to evaluate the thermal conductivity with similar accuracy compared to conventional TRTs (3%). On the other hand, it returned borehole thermal resistance with high uncertainty (15%), in particular due to the duration of the test. The final range of heat capacity is wide, highlighting challenges to currently use OTRT in the scope of ground-coupled heat pump system design. OTRT appears a promising tool to evaluate the heat capacity, but more field testing and mathematical interpretation of the sinusoidal response is needed to better isolate the subsurface from the BHE contribution and reduce the uncertainty. Full article
(This article belongs to the Special Issue Thermal Response Tests for Shallow Geothermal Systems)
Show Figures

Figure 1

25 pages, 20460 KB  
Article
Parametric Investigation of a Ground Source CO2 Heat Pump for Space Heating
by Evangelos Bellos and Christos Tzivanidis
Energies 2021, 14(12), 3563; https://doi.org/10.3390/en14123563 - 15 Jun 2021
Cited by 8 | Viewed by 2850
Abstract
The objective of the present study is the parametric investigation of a ground source heat pump for space heating purposes with boreholes. The working fluid in the heat pump is CO2, and the geothermal field includes boreholes with vertical heat exchangers [...] Read more.
The objective of the present study is the parametric investigation of a ground source heat pump for space heating purposes with boreholes. The working fluid in the heat pump is CO2, and the geothermal field includes boreholes with vertical heat exchangers (U-tube). This study is conducted with a developed model in Engineering Equation Solver which is validated with data from the literature. Ten different parameters are investigated and more specifically five parameters about the heat pump cycle and five parameters for the geothermal unit. The heat pump’s examined parameters are the high pressure, the heat exchanger effectiveness, the temperature level in the heater outlet, the flow rate of the geothermal fluid in the evaporator and the heat exchanger thermal transmittance in the evaporator. The other examined parameters about the geothermal unit are the ground mean temperature, the grout thermal conductivity, the inner diameter of the U-tube, the number of the boreholes and the length of every borehole. In the nominal design, it is found that the system’s coefficient of performance is 4.175, the heating production is 10 kW, the electricity consumption is 2.625 kW, and the heat input from the geothermal field is 10.23 kW. The overall resistance of the borehole per length is 0.08211 mK/W, while there are 4 boreholes with borehole length at 50 m. The parametric analysis shows the influence of the ten examined parameters on the system’s performance and on the geothermal system characteristics. This work can be used as a reference study for the design and the investigation of future geothermal-driven CO2 heat pumps. Full article
(This article belongs to the Special Issue Alternative and Emerging Cooling and Heating Technologies)
Show Figures

Graphical abstract

18 pages, 4222 KB  
Article
A New Approach for Characterizing Pile Heat Exchangers Using Thermal Response Tests
by Charles Maragna and Fleur Loveridge
Energies 2021, 14(12), 3375; https://doi.org/10.3390/en14123375 - 8 Jun 2021
Cited by 2 | Viewed by 2256
Abstract
Pile heat exchangers offer a cost effective route to implementation of ground-source heat pump systems for many large commercial buildings compared with traditional boreholes. Such projects typically use thermal response tests to determine the key input parameters for system design, namely soil thermal [...] Read more.
Pile heat exchangers offer a cost effective route to implementation of ground-source heat pump systems for many large commercial buildings compared with traditional boreholes. Such projects typically use thermal response tests to determine the key input parameters for system design, namely soil thermal conductivity and heat exchanger thermal resistance. However, this brings challenges for pile heat exchanger based systems, where in situ thermal response tests are known to be less reliable due to the large thermal capacity of the pile. This paper presents a new “black box” resistance capacitive model for applications to pile thermal response tests. The approach is tested against case study data and shown to perform well. Additional test duration savings are shown to be possible if a novel combination of borehole and pile thermal response tests is applied together to determine design parameters. Full article
(This article belongs to the Special Issue Thermal Response Tests for Shallow Geothermal Systems)
Show Figures

Graphical abstract

26 pages, 9828 KB  
Article
Impact of Employing Hybrid Nanofluids as Heat Carrier Fluid on the Thermal Performance of a Borehole Heat Exchanger
by Hossein Javadi, Javier F. Urchueguia, Seyed Soheil Mousavi Ajarostaghi and Borja Badenes
Energies 2021, 14(10), 2892; https://doi.org/10.3390/en14102892 - 17 May 2021
Cited by 37 | Viewed by 3528
Abstract
In this numerical study, 4 types of hybrid nanofluid, including Ag-MgO/water, TiO2-Cu/water, Al2O3-CuO/water, and Fe3O4-multi-wall carbon nanotube/water, have been considered potential working fluid in a single U-tube borehole heat exchanger. The selected hybrid [...] Read more.
In this numerical study, 4 types of hybrid nanofluid, including Ag-MgO/water, TiO2-Cu/water, Al2O3-CuO/water, and Fe3O4-multi-wall carbon nanotube/water, have been considered potential working fluid in a single U-tube borehole heat exchanger. The selected hybrid nanofluid is then analyzed by changing the volume fraction and the Reynolds number. Based on the numerical results, Ag-MgO/water hybrid nanofluid is chosen as the most favorable heat carrier fluid, among others, considering its superior effectiveness, minor pressure drop, and appropriate thermal resistance compared to the pure water. Moreover, it was indicated that all cases of Ag-MgO/water hybrid nanofluid at various volume fractions (from 0.05 to 0.20) and Reynolds numbers (from 3200 to 6200) could achieve better effectiveness and lower thermal resistances, but higher pressure drops compared to the corresponding cases of pure water. Nevertheless, all the evaluated hybrid nanofluids present lower coefficient of performance (COP)-improvement than unity which means that applying them as working fluid is not economically viable because of having higher pressure drop than the heat transfer enhancement. Full article
(This article belongs to the Special Issue Shallow Geothermal Energy 2021)
Show Figures

Figure 1

19 pages, 3365 KB  
Article
Effects of the Circuit Arrangement on the Thermal Performance of Double U-Tube Ground Heat Exchangers
by Aminhossein Jahanbin, Giovanni Semprini, Andrea Natale Impiombato, Cesare Biserni and Eugenia Rossi di Schio
Energies 2020, 13(12), 3275; https://doi.org/10.3390/en13123275 - 24 Jun 2020
Cited by 19 | Viewed by 4279
Abstract
Given that the issue of variations in geometrical parameters of the borehole heat exchanger (BHE) revolves around the phenomenon of thermal resistance, a thorough understanding of these parameters is beneficial in enhancing thermal performance of BHEs. The present study seeks to identify relative [...] Read more.
Given that the issue of variations in geometrical parameters of the borehole heat exchanger (BHE) revolves around the phenomenon of thermal resistance, a thorough understanding of these parameters is beneficial in enhancing thermal performance of BHEs. The present study seeks to identify relative changes in the thermal performance of double U-tube BHEs triggered by alterations in circuit arrangements, as well as the shank spacing and the borehole length. The thermal performance of double U-tube BHEs with different configurations is comprehensively analyzed through a 3D transient numerical code developed by means of the finite element method. The sensitivity of each circuit configuration in terms of the thermal performance to variations of the borehole length and shank spacing is investigated. The impact of the thermal interference between flowing legs, namely thermal short-circuiting, on parameters affecting the borehole thermal resistance is addressed. Furthermore, the energy exchange characteristics for different circuit configurations are quantified by introducing the thermal effectiveness coefficient. The results indicate that the borehole length is more influential than shank spacing in increasing the discrepancy between thermal performances of different circuit configurations. It is shown that deviation of the averaged-over-the-depth mean fluid temperature from the arithmetic mean of the inlet and outlet temperatures is more critical for lower shank spacings and higher borehole lengths. Full article
(This article belongs to the Special Issue Computational Geothermal Energy Applications)
Show Figures

Figure 1

21 pages, 4870 KB  
Review
Critical Review on Efficiency of Ground Heat Exchangers in Heat Pump Systems
by Adel Eswiasi and Phalguni Mukhopadhyaya
Clean Technol. 2020, 2(2), 204-224; https://doi.org/10.3390/cleantechnol2020014 - 19 Jun 2020
Cited by 22 | Viewed by 7490
Abstract
Use of ground source heat pumps has increased significantly in recent years for space heating and cooling of residential houses and commercial buildings, in both heating (i.e., cold region) and cooling (i.e., warm region) dominated climates, due to its low carbon footprint. Ground [...] Read more.
Use of ground source heat pumps has increased significantly in recent years for space heating and cooling of residential houses and commercial buildings, in both heating (i.e., cold region) and cooling (i.e., warm region) dominated climates, due to its low carbon footprint. Ground source heat pumps exploit the passive energy storage capacity of the ground for heating and cooling of buildings. The main focus of this paper is to critically review how different construction and operation parameters (e.g., pipe configuration, pipe diameter, grout, heat injection rate, and volumetric flow rate) have an impact on the thermal efficiency of the vertical ground heat exchanger (VGHE) in a ground source heat pump (GSHP) system. The published literatures indicate that thermal performance of VGHEs increases with an increase of borehole diameter and/or pipe diameter. These literatures show that the borehole thermal resistance of VGHEs decreases within a range of 9% to 52% due to pipe configurations and grout materials. Furthermore, this paper also identifies the scope to increase the thermal efficiency of VGHE. The authors conclude that in order to enhance the heat transfer rate in VGHE, any attempt to increase the surface area of the pipe configuration would likely be an effective solution. Full article
(This article belongs to the Special Issue The Road for Renewable Energies)
Show Figures

Figure 1

18 pages, 3790 KB  
Article
Comparative Analysis of Geothermal Energy in Korea Based on Closed Borehole and Single- and Two-Well Standing Column Well Geothermal Heat Exchange Systems
by Jangyoul You and Changhee Lee
Appl. Sci. 2020, 10(7), 2467; https://doi.org/10.3390/app10072467 - 3 Apr 2020
Cited by 6 | Viewed by 4950
Abstract
In this study, a mobile measuring device was developed and a thermal response test that applied a standing column well-type heat exchanger was conducted to obtain design parameters from field measurements. The main purpose of this study was to investigate the effects of [...] Read more.
In this study, a mobile measuring device was developed and a thermal response test that applied a standing column well-type heat exchanger was conducted to obtain design parameters from field measurements. The main purpose of this study was to investigate the effects of thermal conductivity and geothermal resistance on site, including the flow and effects of natural convection of groundwater in boreholes. We compared, analyzed, and investigated the effective thermal conductivity of a borehole heat exchanger system and the effective thermal conductivity that was not applied when bleeding single-well standing column wells (SCWs), which is called an open-type standing column well geothermal heat exchanger system. We also investigated the heat transfer characteristics during the bleeding of two-well type SCWs, where water is injected from one clearing hole to the returning hole depending on the bleeding rate. Artificial recharging was used to inject the change of thermal conductivity from the bleeding rate of a geothermal heat exchanger into another SCW type. From the comparison results of the thermal conductivity of the multi-well and single-well underground heat exchangers, four times higher efficiency than the single-well was obtained. The reason for this is considered to be energy utilization utilizing groundwater energy. Full article
Show Figures

Figure 1

Back to TopTop