A New Approach for Characterizing Pile Heat Exchangers Using Thermal Response Tests
Abstract
1. Introduction
- The non-disturbed initial temperature of the ground T0 (°C);
- The thermal conductivity of the ground λm [W·K−1·m−1];
- The thermal resistance of the borehole Rb [K·m·W−1].
2. Methods
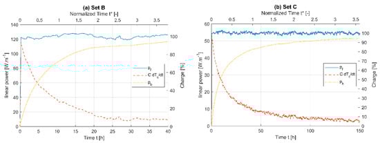
2.1. Experimental Data
2.2. Resistive-Capacitive Model for a Pile Heat Exchanger
2.3. Analysis Approach
3. Results
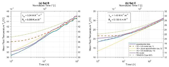
3.1. Classical Interpretation
3.2. Interpretation with the New Resistive-Capacitive (RC) Model
3.2.1. Error Analysis
- According to SIA standards, the volume-specific heat capacities of wet clay and wet sand are, respectively, in the range 2.0–2.8 MJ·K−1·m−3 and 2.2–2.8 MJ·K−1·m−3 [10]. We considered the error on the ground capacity as the half of these intervals, i.e., 0.3 MJ·K−1·m−3 for set B and 0.4 MJ·K−1·m−3 for set C. Typical ranges for concrete heat capacity could not be found in the literature, but given the values reported in previous studies [26,27], an error of 0.2 MJ·K−1·m−3 was chosen.
- The error for the pile diameter and height were determined according to the UK specification for construction tolerances [28]. In this respect, it should be noted that the dimensions of a constructed pile should not be less than the specified dimensions. A tolerance on these dimensions of up to the lesser of 50 mm or 5% is permissible.
- For set B, the test was performed with reference to the ASHRAE standard [29]. This states that the accuracy of temperature measurement must be less than 0.3 °C, for power measurements less than 2% and for flow rate measurements less than 5%. These are conservative values, since the test may have been performed with more accurate instruments.
- For set C, the client specification had tighter accuracy requirements, which can be reasonably applied. They would be error for temperature of 0.1 °C, flow measurement of 0.01 m·s−1 and power to 5W.
3.2.2. Pile Thermal Capacity
4. Discussion and Recommendations
5. Conclusions
- Numerical back-calculation of the model parameters on two thermal response tests yield similar values of ground conductivity and thermal resistance as the well-established infinite line source model.
- Inclusion of temporal superposition with the model allows reliable results to be obtained even when tests are affected by ambient air interference.
- The RC model better represents the transient phase of pile warm-up in the early part of the test (approximately up to a Fourier number t* = 1 to 2).
- The errors associated with the calculation of thermal conductivity are all less than 10% and well within expected ranges for boreholes thermal response tests interpreted with the classic infinite line source.
- Standard back-calculation using the RC model does not allow to significantly reduce the TRT duration below t* = 5.
- However, if the thermal conductivity can be obtained by another means, the time for the RC model to converge is much reduced meaning that pile resistance can be obtained from a pile TRT in a duration corresponding to a Fourier number t* ≈ 2 to 2.5.
- Use a borehole at the same site and of the same length as the piles to carry out a BHE TRT to determine the effective soil thermal conductivity using the classical approach.
- Carry out a short duration pile TRT according to Fourier number t* ≈ 2 to 2.5, or around 100 h for the cases demonstrated in this paper.
- Interpret the pile TRT using the RC model to determine both the pile thermal resistance and the inner resistances of the RC model, which can then be used in forward simulation for design purposes.
Author Contributions
Funding
Institutional Review Board Statement
Informed Consent Statement
Data Availability Statement
Acknowledgments
Conflicts of Interest
Nomenclature
| Latin Letters | |
| a | thermal diffusivity [m·s−2] |
| capacity of a node [J·K−1·m−1] | |
| flow rate [kg·s−1] | |
| r | radius [m] |
| R | thermal resistance [K·m·W−1] |
| p | power per meter of pile [W·m−1] |
| T | temperature [°C] |
| t | time [s] |
| t* | normalized time (Fourier number) |
| Greek Letters | |
| ε | misfit (root mean square error) |
| λ | thermal conductivity [W·K−1·m−1] |
| conductance matrix [W·K−1·m−1] | |
| ρCp | volume-specific heat capacity [J·K−1·m−3] |
| Subscripts | |
| 0 | undisturbed conditions |
| b | borehole wall |
| c | concrete |
| fl | heat-carrier fluid |
| in | inlet |
| m | ground |
| out | outlet |
| Superscripts | |
| n | time step |
| * | normalized value |
| Acronyms | |
| BHE | Borehole Heat Exchanger |
| CaRM | Computational Capacity Resistance Model |
| DST | Duct Storage Model |
| GHE | Ground Heat Exchangers |
| GSHP | Ground-Source Heat Pumps |
| ICS | Infinite Cylinder Source |
| ILS | Infinite Line Source |
| PHE | Pile Heat Exchangers |
| RMSE | Root Mean Square Error |
| SQP | Sequential Quadratic Programming |
References
- Laloui, L.; di Donna, A. Energy Geostructures—Innovation in Underground Engineering; Wiley: Hoboken, NJ, USA, 2013. [Google Scholar]
- Brandl, H. Energy foundations and other thermo-active ground structures. Géotechnique 2006, 56, 81–122. [Google Scholar] [CrossRef]
- Pahud, D.; Hubbach, M. Measured thermal performances of the energy pile system of the dock midfield at Zürich Airport. In Proceedings of the European Geothermal Congress, Unterhaching, Germany, 30 May–1 June 2007. [Google Scholar]
- Angelotti, A.; Sterpi, D. On the performance of energy walls by monitoring assessment and numerical modelling: A case in Italy. Environ. Geotech. 2020, 7, 266–273. [Google Scholar] [CrossRef]
- Barla, M.; Di Donna, A.; Insana, A. A novel real-scale experimental prototype of energy tunnel. Tunn. Undergr. Space Technol. 2019, 87, 1–14. [Google Scholar] [CrossRef]
- Bidarmaghz, A.; Narsilio, G.A.; Johnston, I.W.; Colls, S. The importance of surface air temperature fluctuations on long-term performance of vertical ground heat exchangers. Géoméch. Energy Environ. 2016, 6, 35–44. [Google Scholar] [CrossRef]
- Han, C.; Bill, X. Feasibility of geothermal heat exchanger pile-based bridge deck snow melting system: A simulation based analysis. Renew. Energy 2017, 101, 214–224. [Google Scholar] [CrossRef]
- Alberdi-Pagola, M.; Poulsen, S.E.; Jensen, R.L.; Madsen, S. A case study of the sizing and optimisation of an energy pile foundation (Rosborg, Denmark). Renew. Energy 2020, 147, 2724–2735. [Google Scholar] [CrossRef]
- Gehlin, S. Thermal Response Test—Method, Development and Evaluation. Ph.D. Thesis, Luleå University of Technology, Luleå, Sweden, 2002. [Google Scholar]
- SIA. Norme Suisse. Sondes Géothermiques. SIA 384/6; Société Suisse des Ingénieurs et des Architectes: Zurich, Sweden, 2010. [Google Scholar]
- Loveridge, F.; Powrie, W.; Nicholson, D. Comparison of two different models for pile thermal response test interpretation. Acta Geotech. 2014, 9, 367–384. [Google Scholar] [CrossRef]
- Maragna, C.; Loveridge, F. A resistive-capacitive model of pile heat exchangers with an application to thermal response tests interpretation. Renew. Energy 2019, 138, 891–910. [Google Scholar] [CrossRef]
- Gehlin, S.; Hellström, G. Influence on thermal response test by groundwater flow in vertical fractures in hard rock. Renew. Energy 2003, 28, 2221–2238. [Google Scholar] [CrossRef]
- Zarrella, A.; Emmi, G.; Zecchin, R.; De Carli, M. An appropriate use of the thermal response test for the design of energy foundation piles with U-tube circuits. Energy Build. 2017, 134, 259–270. [Google Scholar] [CrossRef]
- Loveridge, F.; Olgun, C.G.; Brettmann, T.; Powrie, W. The Thermal Behaviour of Three Different Auger Pressure Grouted Piles Used as Heat Exchangers. Geotech. Geol. Eng. 2015, 33, 273–289. [Google Scholar] [CrossRef]
- Alberdi-Pagola, M.; Poulsen, S.E.; Loveridge, F.; Madsen, S.; Jensen, R.L. Comparing heat flow models for interpretation of precast quadratic pile heat exchanger thermal response tests. Energy 2018, 145, 721–733. [Google Scholar] [CrossRef]
- Jensen-Page, L.; Loveridge, F.; Narsilio, G.A. Thermal Response Testing of Large Diameter Energy Piles. Energies 2019, 12, 2700. [Google Scholar] [CrossRef]
- De Carli, M.; Tonon, M.; Zarrella, A.; Zecchin, R. A computational capacity resistance model (CaRM) for vertical ground-coupled heat exchangers. Renew. Energy 2010, 35, 1537–1550. [Google Scholar] [CrossRef]
- Brettmann, T.; Amis, T. Thermal Conductivity Evaluation of a Pile Group Using Geothermal Energy Piles. Geotech. Spec. Publ. 2011, 41165, 499–508. [Google Scholar]
- Carslaw, H.S.; Jaeger, J.C. Conduction of Heat in Solids; Clarendon Press: Oxford, UK, 1959. [Google Scholar]
- Eskilson, P. Thermal Analysis of Heat Extraction Boreholes; University of Lund: Sweden, Lund, 1987. [Google Scholar]
- Vieira, A.; Alberdi-Pagola, M.; Christodoulides, P.; Javed, S.; Loveridge, F.; Nguyen, F.; Cecinato, F.; Maranha, J.; Florides, G.; Prodan, I.; et al. Characterisation of ground thermal and thermo-mechanical behaviour for shallow geothermal energy applications. Energies 2017, 10, 2044. [Google Scholar] [CrossRef]
- Witte, H.J. Error analysis of thermal response tests. Appl. Energy 2013, 109, 302–311. [Google Scholar] [CrossRef]
- Bandos, T.V.; Montero, Á.; de Córdoba, P.F.; Urchueguía, J.F. Improving parameter estimates obtained from thermal response tests: Effect of ambient air temperature variations. Geothermics 2011, 40, 136–143. [Google Scholar] [CrossRef]
- Hellström, G. Duct Ground Heat Storage Model. Manual for Computer Code; Department of Mathematical Physics, University of Lund: Lund, Sweden, 1989. [Google Scholar]
- Suryatriyastuti, M.; Mroueh, H.; Burlon, S. Numerical analysis of a thermo-active pile under cyclic thermal loads. In Proceedings of the European Geothermal Conference (EGC 2013), Pisa, Italy, 3–7 June 2013. [Google Scholar]
- Gashti, E.H.N.; Uotinen, V.-M.; Kujala, K. Numerical modelling of thermal regimes in steel energy pile foundations: A case study. Energy Build. 2014, 69, 165–174. [Google Scholar] [CrossRef]
- Institution of Civil Engineers (Ed.) Specification requirements and guidance notes. In ICE Specification for Piling and Embedded Retaining Walls; Thomas Telford Ltd.: London, UK, 2016; pp. 21–216. [Google Scholar]
- ASHRAE. RP-1118. Investigation of Methods for Determining Soil and Rock Formation Thermal Properties from Short Term Field Tests; ASHRAE: Peachtree Corners, GA, USA, 2001. [Google Scholar]
- Claesson, J.; Javed, S. Explicit Multipole Formula for the Local Thermal Resistance in an Energy Pile—The Line-Source Approximation. Energies 2020, 13, 5445. [Google Scholar] [CrossRef]











| Set B | Set C | |
|---|---|---|
| Depth of pile H [m] | 18.3 | 31.0 |
| Radius of pile rb [m] | 0.225 | 0.300 |
| Geothermal equipment | Double-U (tested as single-U) | Double-U |
| External diameter of pipes [cm] | 3.00 | 2.50 |
| Thickness of pipes [cm] | 0.29 | 0.23 |
| Distance between two tubes diametrically opposed pipes [m] | 0.157 | 0.425 |
| Initial temperature of the ground T0 [°C] | 24.97 | 14.23 |
| Power applied P [kW] | 2.27 | 1.69 |
| Linear power pf = P/H [W·m−1] | 123.7 | 54.6 |
| Volume flow in the pile [m3·h−1] | 2.46 | 1.15 |
| Duration of the heating [h] | 103.4 | 354.1 |
| Input Parameter | Error Values | |
|---|---|---|
| Set B | Set C | |
| Ground heat capacity [MJ·K−1·m−3] | 0.4 | 0.3 |
| Concrete heat capacity [MJ·K−1·m−3] | 0.2 | 0.2 |
| Pile diameter [m] | 0.025 | 0.03 |
| Height of the equipped pile [m] | 0.05 | 0.05 |
| Initial ground temperature [K] | 0.3 | 0.1 |
| Fluid heat capacity [J·K−1·kg−1] | 1.0 | 9.5 |
| Power [W] | 43.7 | 5.0 |
| Flow rate [m3·s−1] | 3.44 × 10−5 | 3.29 × 10−6 |
| Inlet temperature [K] | 0.3 | 0.1 |
| Outlet temperature [K] | 0.3 | 0.1 |
Publisher’s Note: MDPI stays neutral with regard to jurisdictional claims in published maps and institutional affiliations. |
© 2021 by the authors. Licensee MDPI, Basel, Switzerland. This article is an open access article distributed under the terms and conditions of the Creative Commons Attribution (CC BY) license (https://creativecommons.org/licenses/by/4.0/).
Share and Cite
Maragna, C.; Loveridge, F. A New Approach for Characterizing Pile Heat Exchangers Using Thermal Response Tests. Energies 2021, 14, 3375. https://doi.org/10.3390/en14123375
Maragna C, Loveridge F. A New Approach for Characterizing Pile Heat Exchangers Using Thermal Response Tests. Energies. 2021; 14(12):3375. https://doi.org/10.3390/en14123375
Chicago/Turabian StyleMaragna, Charles, and Fleur Loveridge. 2021. "A New Approach for Characterizing Pile Heat Exchangers Using Thermal Response Tests" Energies 14, no. 12: 3375. https://doi.org/10.3390/en14123375
APA StyleMaragna, C., & Loveridge, F. (2021). A New Approach for Characterizing Pile Heat Exchangers Using Thermal Response Tests. Energies, 14(12), 3375. https://doi.org/10.3390/en14123375

