Sign in to use this feature.

Years

Between: -

Subjects

remove_circle_outline
remove_circle_outline
remove_circle_outline
remove_circle_outline
remove_circle_outline
remove_circle_outline
remove_circle_outline
remove_circle_outline

Journals

Article Types

Countries / Regions

Search Results (32)

Search Parameters:
Keywords = earthquake-induced actions

Order results
Result details
Results per page
Select all
Export citation of selected articles as:
15 pages, 2699 KB  
Article
Preliminary Diagnostic Seismic Analysis of an In-Service Curved Prestressed Concrete Box Girder Bridge with a Mid-Span Hinge
by Stefano Bozza, Alessandro Mazelli, Marco Fasan, Eric Puntel, Natalino Gattesco and Chiara Bedon
Buildings 2026, 16(3), 623; https://doi.org/10.3390/buildings16030623 - 2 Feb 2026
Abstract
Since a significant part of the Italian territory was not seismically classified until 2003, most existing bridges have been designed—for decades—disregarding earthquake-induced excitations. In fact, this means that load-bearing devices and shear keys of presently in-service infrastructures may not be up to current [...] Read more.
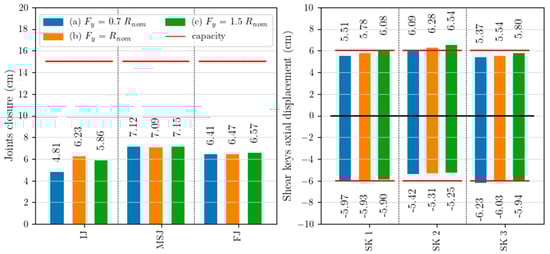
Since a significant part of the Italian territory was not seismically classified until 2003, most existing bridges have been designed—for decades—disregarding earthquake-induced excitations. In fact, this means that load-bearing devices and shear keys of presently in-service infrastructures may not be up to current codes, both in terms of resistance and displacement capacity. Robust investigations are hence required for verifications and possible retrofit. In this study, the seismic behaviour of a case study post-tensioned concrete bridge built in the 1980s is numerically analysed. The examined structure is 440 m long and composed of nine spans, built with precast segments using the balance cantilever construction method. The deck is divided into two parts connected by a hinged joint in the middle of the central span, obtained with three shear keys and originally designed to allow for thermal expansion only. Most importantly, the mid-span hinge, the end joints and the bearing devices were originally designed without considering the effects of seismic action. In order to preliminarily investigate the performance of devices and joints, the case study bridge is analysed by means of non-linear dynamic time history simulations, formulating different hypotheses about the non-linear behaviour of the load bearings. Forces and displacements over time are obtained for a set of seven accelerograms, and maximum values are compared to the capacity of the bridge devices. Results are then critically discussed. Full article
Show Figures

Figure 1

15 pages, 10241 KB  
Article
Effect of Fine Content on Liquefaction Resistance of Saturated Marine Sandy Soils Subjected to Cyclic Loading
by Shang Gao, Wenwen Zhang, Qi Wu and Shuanglan Wu
J. Mar. Sci. Eng. 2025, 13(12), 2333; https://doi.org/10.3390/jmse13122333 - 8 Dec 2025
Viewed by 350
Abstract
Offshore wind turbines are subjected to environmental loads such as wind and ocean waves throughout their entire service lives. Saturated sandy soils experience liquefaction under cyclic shear stresses induced by earthquakes or strong wave actions, which can result in the tilting, settlement, or [...] Read more.
Offshore wind turbines are subjected to environmental loads such as wind and ocean waves throughout their entire service lives. Saturated sandy soils experience liquefaction under cyclic shear stresses induced by earthquakes or strong wave actions, which can result in the tilting, settlement, or even overturning of structures. This study investigates the effect of fine content (FC) on the liquefaction resistance (CRR) of saturated sandy soils with different density states. Sandy soils with varying FC values are examined under three scenarios: (1) constant relative density; (2) constant void ratio; and (3) constant skeleton void ratio. A series of undrained cyclic triaxial tests are conducted on sandy soils with different FC and density states (Dr, e, and esk). The results indicate that an increase in FC leads to a decrease in CRR at constant Dr or e, whereas CRR at constant esk increases with increasing FC. No clear correlation is observed between Dr, e, or esk and CRR for saturated sandy soils with varying FC. Since esk does not account for the effect of fine particles on the contact state of skeleton particles, the equivalent skeleton void ratio (esk*) is introduced to describe the particle contact state of sandy soils with different fine contents (FCs), considering the degree of fine particle participation. In addition, the test data reveal that the CRR of sandy soils with different FC and density states decreases with increasing esk*, and a power relationship between the reduction in CRR and the increase in esk* is established. This finding indicates that esk*, which considers the proportion of fines contributing to the load-sustaining framework, serves as a reliable index for evaluating the CRR of various sandy soils. We find that grain shape plays a significant role in influencing CRR, and the overall CRR of sandy soils increases as the grain shape changes from spherical to angular, compared to the published test results for other sandy soils. Full article
(This article belongs to the Special Issue Advances in Marine Geomechanics and Geotechnics)
Show Figures

Figure 1

22 pages, 4493 KB  
Article
Strategies of Urban Aggregation for Cultural Heritage Protection: Evaluation of the Effect of Facade Layout on the Seismic Behavior of Terraced Masonry Buildings
by Maria Rosa Valluzzi
Sustainability 2025, 17(19), 8914; https://doi.org/10.3390/su17198914 - 8 Oct 2025
Viewed by 870
Abstract
Aggregate masonry buildings in historic urban centers constitute tangible testimony of collective identity and historical continuity. They encompass both simple terraced configurations and more intricate clusters, which are inherently vulnerable to earthquake-induced damage, due to their typological features and the transformations that occurred [...] Read more.
Aggregate masonry buildings in historic urban centers constitute tangible testimony of collective identity and historical continuity. They encompass both simple terraced configurations and more intricate clusters, which are inherently vulnerable to earthquake-induced damage, due to their typological features and the transformations that occurred in the course of time. Strategies aimed at the protection and valorization of such typical architectural heritage should be based on the recognition of their peculiarities, so that the intangible values embedded within the historic fabric can be preserved. A simplified approach able to identify the effect of facade layout on the vulnerability of terraced buildings was validated on a historical center struck by the Central Italy earthquake. It is based on the evaluation of vulnerability factors derived by the application of a multi-level procedure on a large scale, which integrates data on typological and structural aspects, as well as on the condition state and previous interventions. In the center in question, the evidence of prevalent shear damage in the continuous frontage of the buildings facing the main street suggested the in-depth analysis of the facade’s characteristics, and its relationship with the main direction of the seismic swarm. Starting from a preliminary abacus of twelve vulnerability factors, 16 archetypes of facades at increasing vulnerability defined by a combination of the most significant geometrical features of building aggregates were identified. These virtual models encompass typical features that can be found in similar buildings in different contexts, thus enabling preventive actions based on parametric assessment. Full article
(This article belongs to the Collection Sustainable Conservation of Urban and Cultural Heritage)
Show Figures

Figure 1

25 pages, 3848 KB  
Article
Analysis of Pile–Soil Interaction Mechanisms for Wind Turbine Tower Foundations in Collapsible Loess Under Multi-Hazard Coupled Loading
by Kangkai Fan, Shaobo Chai, Lang Zhao, Shanqiu Yue, Huixue Dang and Xinyuan Liu
Buildings 2025, 15(13), 2152; https://doi.org/10.3390/buildings15132152 - 20 Jun 2025
Cited by 1 | Viewed by 1018
Abstract
This study investigates the stability of high-rise wind turbine tower foundations in collapsible loess regions through finite element analysis. The mechanisms by which wind load, extreme rainfall load, and seismic load interact during the dynamic response of a pile foundation under single-action and [...] Read more.
This study investigates the stability of high-rise wind turbine tower foundations in collapsible loess regions through finite element analysis. The mechanisms by which wind load, extreme rainfall load, and seismic load interact during the dynamic response of a pile foundation under single-action and intercoupling conditions are analyzed. A comprehensive multi-parameter analytical model is developed to evaluate pile foundation stability, incorporating key indicators including pile skin friction, average axial stress of pile groups, horizontal displacement at pile tops, and pile inclination. The results show that, among single-load conditions, seismic loading has the most pronounced impact on foundation stability. The peak horizontal displacement at the pile top induced by seismic loads reaches 10.07 mm, substantially exceeding the effects of wind and rainfall loads, posing a direct threat to wind turbine tower safety. Under coupled loading conditions, notable nonlinear interaction effects emerge. Wind–earthquake coupled loading amplifies horizontal displacement by 1.85 times compared to single seismic loading. Rainfall–earthquake coupled loading reduces the peak of positive skin friction by 20.17%. Notably, all seismic-involved loading combinations significantly compromise the pile foundation safety margin. The seismic load is the dominant influencing factor in various loading conditions, and its coupling with other loads induces nonlinear superposition effects. These findings provide critical insights for wind turbine foundation design in collapsible loess areas and strongly support the need for enhanced seismic considerations in engineering practice. Full article
Show Figures

Figure 1

20 pages, 9800 KB  
Article
Multi-Hazard Vibration Control of Transmission Infrastructure: A Pounding Tuned Mass Damper Approach with Lifelong Reliability Analysis
by Zhuoqun Zhang, Lizhong Qi, Jingguo Rong, Yaping Zhang, Peijie Li and Ziguang Jia
Buildings 2025, 15(7), 1113; https://doi.org/10.3390/buildings15071113 - 29 Mar 2025
Viewed by 729
Abstract
Power transmission tower-line systems are exposed to various dynamic hazards, including wind and earthquakes, among others. Despite the multitude of dampers proposed to mitigate vibrations, the dual control effect on both seismic and wind-induced vibrations has rarely been addressed. This paper introduces a [...] Read more.
Power transmission tower-line systems are exposed to various dynamic hazards, including wind and earthquakes, among others. Despite the multitude of dampers proposed to mitigate vibrations, the dual control effect on both seismic and wind-induced vibrations has rarely been addressed. This paper introduces a comprehensive methodology for evaluating the reliability of power transmission towers under a range of dynamic disasters, encompassing both earthquakes and wind loads. Subsequently, a lifelong reliability approach was employed to assess the efficacy of a pounding tuned mass damper (PTMD). The proposed algorithm leverages the incremental dynamic analysis (IDA) method to compute structural fragility with regard to each type of disaster and integrates these findings with hazard functions to determine the probability of overall failure. The results conclusively demonstrate that the PTMD substantially diminished the towers’ dynamic response to both earthquakes and wind loads, thereby enhancing their overall reliability. Specifically, the PTMD reduced the vibration reduction ratio by 10% to 30% under wind loads and by 20% to 80% under seismic actions, with more pronounced effects at higher wind speeds and peak ground accelerations (PGAs). Furthermore, the reliability index (β) of the transmission tower increased from 2.1849 to 2.4295 when the PTMD was implemented, highlighting its effectiveness in dual-hazard scenarios. This study underscores the potential for reliability to be considered as a key metric for optimizing damping devices in power transmission structures, particularly in the context of multi-hazard scenarios. Full article
(This article belongs to the Special Issue Advances and Applications in Structural Vibration Control)
Show Figures

Figure 1

14 pages, 4626 KB  
Technical Note
Long-Term Stability Evaluation Method of Coastal Rocky Slope Considering Wave Loading
by Miaojun Sun, Zhigang Shan, Haiyuan Wu, Qingbing Liu and Jinge Wang
Water 2025, 17(5), 637; https://doi.org/10.3390/w17050637 - 22 Feb 2025
Viewed by 1208
Abstract
Under the influence of long-term external and internal dynamic conditions such as waves, tides, and earthquakes, coastal rock masses may slide along unfavorable structural planes, leading to landslide disasters. These events pose threats to offshore engineering facilities, coastal tourism, and economic production safety. [...] Read more.
Under the influence of long-term external and internal dynamic conditions such as waves, tides, and earthquakes, coastal rock masses may slide along unfavorable structural planes, leading to landslide disasters. These events pose threats to offshore engineering facilities, coastal tourism, and economic production safety. To elucidate the impact of wave loading on the stability of coastal rocky slopes, this paper first establishes a generalized geological model and a computational mechanics model of coastal rocky slopes. Using computational fluid dynamics programs, the study analyzes the magnitude and distribution characteristics of wave pressure on coastal slopes with different inclinations under varying wave heights. The results indicate that the maximum wave pressure and resultant wave forces acting on the slope surface decrease with increasing slope angle and decreasing wave height. The relationship between the maximum wave pressure or resultant wave force with the wave height and slope angle conforms to an exponential mathematical model. By decomposing the wave force along the potential sliding surface, the variation in shear stress caused by wave pressure can be calculated. Considering the effects of wave, tide, and seismic loads, the study further analyzes the long-term weakening patterns of shear strength due to the variation in shear stress on the sliding surface induced by wave action. Based on the limit equilibrium theory and the constitutive model of strain-softening in rock and soil material, this paper proposes a method to calculate the current and long-term factor of safety (FOS) of coastal rocky slopes under wave loading. Full article
Show Figures

Figure 1

24 pages, 30156 KB  
Article
Chopped Basalt Fibers Reinforced Mortar for Strengthening the Architectural Heritage
by Micaela Mercuri, Marco Vailati and Amedeo Gregori
Fibers 2025, 13(2), 20; https://doi.org/10.3390/fib13020020 - 11 Feb 2025
Cited by 3 | Viewed by 3231
Abstract
The high seismic vulnerability of unreinforced masonry buildings urgently calls for researchers to develop sustainable reinforcing methods and materials. This paper presents an innovative lime-based mortar reinforced with randomly oriented basalt fibers for the reinforcement of masonry heritage. The main aim of this [...] Read more.
The high seismic vulnerability of unreinforced masonry buildings urgently calls for researchers to develop sustainable reinforcing methods and materials. This paper presents an innovative lime-based mortar reinforced with randomly oriented basalt fibers for the reinforcement of masonry heritage. The main aim of this study is to understand the effect of the content and the length of basalt fibers on the mortar’s mechanical behavior. As a cementitious material made mostly out of lime, the mortar is chemically compatible with the historical substrate and therefore suitable in cases of restoration works on architectural heritage. Moreover, the chopped basalt fibers are randomly oriented, and this characteristic makes the overall layer effective in all directions, as the state of stress induced by seismic action is directionally undetermined. The newly proposed reinforcement system is characterized by a twofold aspect related to sustainability: 30% of the aggregates composing the mortar mix design is a recycled result of the ruins of the 2009 L’Aquila earthquake, and the chopped fibers are made out of basalt, widely known for its environmentally supportable peculiarity. The study consists of testing samples characterized by two fiber lengths and six fiber contents, along with one set of plain mortar samples. Specimens measuring 160 mm × 40 mm × 40 mm are first tested in a three-point bending (TPB) configuration, aiming to determine the flexural strength and the post-peak capacity through the calculation of the fracture energy. Then, the two broken pieces resulting from the TPB tests, each measuring 80 mm × 40 mm × 40 mm, are tested in splitting and compression, respectively, aiming to compute the tensile and compressive strengths. Finally, to provide a trend for the mortar’s mechanical properties, a regression analysis is performed by fitting the experimental data with simple linear, polynomial, and exponential regression models. Results show that: (i) both fiber content and fiber length are responsible for a linear increase of the flexural strength and the fracture energy; (ii) for both short- and long-fiber mortar samples, the tensile strength and the compressive strength parabolically increase with the fiber content; (iii) the increase in fiber content and fiber length always generates a reduction in the conglomerate workability. The fiber content (FC) optimization with respect to the mechanical properties leads to a basalt FC equal to 1.2% for long-fiber samples and an FC equal to 1.9% for short-fiber ones. Full article
Show Figures

Figure 1

28 pages, 10792 KB  
Article
The Design of Tanks’ Settlement and Onshore Pipelines to Withstand Earthquake-Induced Geohazards and Difficult Site Conditions: Its Application in the Region of Kalochori, Thessaloniki, Greece
by Ambrosios Antonios Savvides, Andreas A. Antoniou and Antonis Markogiannakis
Geotechnics 2025, 5(1), 7; https://doi.org/10.3390/geotechnics5010007 - 21 Jan 2025
Cited by 1 | Viewed by 2243
Abstract
Designing petroleum tanks that are inter-related with pipelines in a founding position containing very compressible soil are a challenging task, particularly when a possible high-water table and considerably high seismicity are also present. Some of the issues that occur are the problems of [...] Read more.
Designing petroleum tanks that are inter-related with pipelines in a founding position containing very compressible soil are a challenging task, particularly when a possible high-water table and considerably high seismicity are also present. Some of the issues that occur are the problems of the time dependence of settlement behavior as well as the earthquake response of the soil–structure interaction system. This work intends to portray the following: (a) an estimation of the foundations and the corresponding consolidation time response and (b) the earthquake-induced geohazard as well as the soil–structure interaction considered for the foundation of the tanks alongside pipelines in a suburban area in Greece, namely Kalochori of Thessaloniki. A numerical analysis considering the dynamic and static behavior and inter-relation among the soil mass and the buried pipeline alongside the system of the foundation type and the soil beneath is performed. Also, the foundation type that was finally chosen as the optimized solution, namely the set of gravel piles and the subsequent prestress loading, is presented and discussed. Taking into account that the soil in the vicinity of the foundation will have its shear strength during an earthquake decreased to almost zero, risk reduction actions may be suggested for large stresses imposed on the pipeline. The methodology for the dimensionality of the gravel pile group as well as the preloading session indicate that a substantial reduction in the displacements of more than 50% is obtained with the combination of the methods, something that would not be feasible if the methods were implemented individually. Full article
(This article belongs to the Special Issue Recent Advances in Geotechnical Engineering (2nd Edition))
Show Figures

Figure 1

18 pages, 3972 KB  
Article
Influence of Rocking Shallow Foundation Parameters and Analysis of Seismic Response Characteristics
by Jia Bin, Ziwei Huang, Junpeng Wu, Panyu Pan and Liping Jing
Buildings 2024, 14(12), 3788; https://doi.org/10.3390/buildings14123788 - 27 Nov 2024
Cited by 2 | Viewed by 1837
Abstract
Rocking shallow foundations interrupt the seismic transmission path from the base of the structure and possess advantages, such as effective seismic isolation, self-resetting capabilities post-earthquake, and low costs. A numerical model of the rocking shallow foundation was developed in OpenSees (version: Opensees 3.5.0) [...] Read more.
Rocking shallow foundations interrupt the seismic transmission path from the base of the structure and possess advantages, such as effective seismic isolation, self-resetting capabilities post-earthquake, and low costs. A numerical model of the rocking shallow foundation was developed in OpenSees (version: Opensees 3.5.0) based on field test data using numerical simulation. The effect of different parameters (column height, foundation sizes, top mass, and soil softness and stiffness) on the seismic response characteristics of rocking shallow foundations is investigated, and the seismic response characteristics of rocking shallow foundations are analyzed under the action of sinusoidal waves of different frequencies and various seismic wave types. The results of the study show that, as the height of the column increases, the bending moment decreases and settlement decreases; as the size of the foundation increases, the bending moment increases and settlement increases; as the mass of the top increases, the bending moment increases and settlement increases; and as the soil becomes softer, the bending moment decreases, and settlement increases. Inputting a sine wave that matches the structure’s natural oscillation frequency may induce resonance. This phenomenon can significantly amplify the structure’s vibrations; thus, it is essential to avoid external excitation frequencies that coincide with the foundation’s natural oscillation frequency. Under seismic loading, the rocking shallow foundation can mitigate the bending moment in the superstructure. When the displacement ratio remains within −0.5 to 0.5 percent, the foundation settlement is minimal. However, when the absolute displacement ratio exceeds 0.5 percent, the soil exhibits plastic deformation characteristics, resulting in increased foundation settlement. This study is an important contribution to the improvement of seismic performance of buildings and an important reference for improving seismic design standards and practices for buildings in earthquake-prone areas. In the future, the seismic response characteristics of rocking shallow foundations under bidirectional seismic action will be investigated. Full article
Show Figures

Figure 1

16 pages, 3480 KB  
Article
Evaluating the Seismic Resilience of Above-Ground Liquid Storage Tanks
by Emanuele Brunesi and Roberto Nascimbene
Buildings 2024, 14(10), 3212; https://doi.org/10.3390/buildings14103212 - 9 Oct 2024
Cited by 10 | Viewed by 2321
Abstract
Historical seismic events have repeatedly highlighted the susceptibility of above-ground liquid storage steel tanks, underscoring the critical need for their proper design to minimize potential damage due to seismic forces. A significant failure mechanism in these structures, which play essential roles in the [...] Read more.
Historical seismic events have repeatedly highlighted the susceptibility of above-ground liquid storage steel tanks, underscoring the critical need for their proper design to minimize potential damage due to seismic forces. A significant failure mechanism in these structures, which play essential roles in the extraction and distribution of various raw or refined materials—many of which are flammable or environmentally hazardous—is the dynamic buckling of the tank walls. This study introduces a numerical framework designed to assess the earthquake-induced hydrodynamic pressures exerted on the walls of cylindrical steel tanks. These pressures result from the inertial forces generated during seismic activity. The computational framework incorporates material and geometric nonlinearities and models the tanks using four-node shell elements with two-point integration, specifically Belytschko shell elements. The Arbitrary Lagrangian–Eulerian (ALE) method is employed to accommodate substantial structural and fluid deformations, enabling a full simulation of fluid–structure interaction through highly nonlinear algorithms. Experimental test data are utilized to validate the proposed modeling approach, particularly in replicating sloshing phenomena and identifying stress concentrations that may lead to wall buckling. The study further presents results from a parametric analysis that varies the height-to-radius and radius-to-thickness ratios of a typical anchored flat-bottomed tank, examining the seismic performance of this common storage system. These results provide insights into the relationship between tank properties and mechanical behavior under dynamic loading conditions. Full article
(This article belongs to the Section Building Structures)
Show Figures

Figure 1

19 pages, 8307 KB  
Article
Bridge Assessment under Earthquake and Flood-Induced Scour
by Taulant Karriqi, José C. Matos, Ngoc-Son Dang and Ye Xia
Appl. Sci. 2024, 14(12), 5174; https://doi.org/10.3390/app14125174 - 14 Jun 2024
Cited by 3 | Viewed by 3582
Abstract
Earthquakes and floods in Albania are devastating, but combining these two different hazards in terms of action on bridge structures may lead the bridge to collapse. This article presents a seismic risk assessment of a code-conforming precast reinforced concrete bridge located in a [...] Read more.
Earthquakes and floods in Albania are devastating, but combining these two different hazards in terms of action on bridge structures may lead the bridge to collapse. This article presents a seismic risk assessment of a code-conforming precast reinforced concrete bridge located in a region prone to earthquakes and where local scour induced by floods is a significant concern. The seismic action is considered using a group of ground motion accelerograms generated by matching the accelerogram of the 29 November 2019 earthquake in Durres (M = 6.4), Albania, to the target response spectrum. The scouring effects on the bents of the bridge are characterized by the scour depths. A set of non-linear time-history analyses of the bridge are performed to assess the bridge’s performance. The bridge fragility curves are generated and analyzed for multi-hazard scenarios at both element and system levels for different flow discharge values and PGA levels. The result shows a low seismic risk of the bridge with bearings when considering the local scour induced by flood events in the seismic analysis due to their flexibility to adapt to changes in structure geometry and significant foundation stiffness. This research also emphasizes the significance of choosing the right foundation type and depth for bridges located in areas prone to local scour induced by floods. Full article
(This article belongs to the Special Issue Advances in Bridge Design and Structural Performance: 2nd Edition)
Show Figures

Figure 1

25 pages, 10614 KB  
Article
Updated Predictive Models for Permanent Seismic Displacement of Slopes for Greece and Their Effect on Probabilistic Landslide Hazard Assessment
by Dimitris Sotiriadis, Nikolaos Klimis and Ioannis M. Dokas
Sustainability 2024, 16(6), 2240; https://doi.org/10.3390/su16062240 - 7 Mar 2024
Cited by 5 | Viewed by 1838
Abstract
Earthquake-triggered landslides have been widely recognized as a catastrophic hazard in mountainous regions. They may lead to direct consequences, such as property losses and casualties, as well as indirect consequences, such as disruption of the operation of lifeline infrastructures and delays in emergency [...] Read more.
Earthquake-triggered landslides have been widely recognized as a catastrophic hazard in mountainous regions. They may lead to direct consequences, such as property losses and casualties, as well as indirect consequences, such as disruption of the operation of lifeline infrastructures and delays in emergency response actions after earthquakes. Regional landslide hazard assessment is a useful tool to identify areas that are vulnerable to earthquake-induced slope instabilities and design prioritization schemes towards more detailed site-specific slope stability analyses. A widely used method to assess the seismic performance of slopes is by calculating the permanent downslope sliding displacement that is expected during ground shaking. Nathan M. Newmark was the first to propose a method to estimate the permanent displacement of a rigid body sliding on an inclined plane in 1965. The expected permanent displacement for a slope using the sliding block method is implemented by either selecting a suite of representative earthquake ground motions and computing the mean and standard deviation of the displacement or by using analytical equations that correlate the permanent displacement with ground motion intensity measures, the slope’s yield acceleration and seismological characteristics. Increased interest has been observed in the development of such empirical models using strong motion databases over the last decades. It has been almost a decade since the development of the latest empirical model for the prediction of permanent ground displacement for Greece. Since then, a significant amount of strong motion data have been collected. In the present study, several nonlinear regression-based empirical models are developed for the prediction of the permanent seismic displacements of slopes, including various ground motion intensity measures. Moreover, single-hidden layer Artificial Neural Network (ANN) models are developed to demonstrate their capability of simplifying the construction of empirical models. Finally, implementation of the produced modes based on Probabilistic Landslide Hazard Assessment is undertaken, and their effect on the resulting hazard curves is demonstrated and discussed. Full article
(This article belongs to the Special Issue Sustainability in Natural Hazards Mitigation and Landslide Research)
Show Figures

Figure 1

16 pages, 4701 KB  
Article
Numerical Simulation Study on the Performance of Buried Pipelines under the Action of Faults
by Rulin Zhang, Chen Wang, Shuai Li, Jixin Zhang and Wenjing Liu
Appl. Sci. 2023, 13(20), 11266; https://doi.org/10.3390/app132011266 - 13 Oct 2023
Cited by 7 | Viewed by 2944
Abstract
The present paper investigates the mechanical behavior of buried steel pipelines crossing an active fault. Permanent ground deformation induced by an earthquake will cause serious damage to buried steel pipelines, resulting in buckling failure or even cracking damage to pipelines. Based on ABAQUS [...] Read more.
The present paper investigates the mechanical behavior of buried steel pipelines crossing an active fault. Permanent ground deformation induced by an earthquake will cause serious damage to buried steel pipelines, resulting in buckling failure or even cracking damage to pipelines. Based on ABAQUS software, version 6.13., the model of an interacting soil–pipeline system is established, accounting for large strains and displacements and nonlinear material behavior, as well as contact and friction at the soil–pipeline interface. Numerical analysis is conducted through the incremental application of fault displacement. Combined with the force and deformation characteristics of buried pipelines, a strain-based design criterion is chosen to study the vertical displacement, axial compressive, and tensile strain of buried pipelines, etc. This paper focuses on the effects of horizontal fault displacement, fault type, and fault angle on the structural response of the pipe. The failure of the pipeline, such as wall wrinkling, local buckling, or rupture is identified. Furthermore, the effects of the pipeline internal pressure and pipe wall thickness are investigated. The results show that, when the pipeline depth is 1.5 m under the action of the fault, the buried pipeline will not be subject to beam buckling damage, and both tensile damage and shell buckling damage will occur. In this case, the critical displacement of the tensile failure is more than three times that of the shell buckling failure, which indicates that shell buckling damage is a greater threat to the pipeline. The pipeline is most susceptible to damage under the action of a strike-slip reverse fault. When the fault angle is equal to 45 degrees, the pipeline is more likely to be damaged, while it is relatively safe at a fault angle with 90 degrees. The results of this investigation can determine the fault displacement during pipeline failure and provide some reference for pipeline design. Full article
(This article belongs to the Special Issue Structural Mechanics in Materials and Construction)
Show Figures

Figure 1

28 pages, 12169 KB  
Review
Macro-Modelling of IP-OoP Interaction in Unreinforced Solid Masonry Infills under Earthquake-Induced Actions: A Review
by Soheil Rostamkalaee, Simone Peloso and Emanuele Brunesi
Buildings 2023, 13(9), 2326; https://doi.org/10.3390/buildings13092326 - 13 Sep 2023
Cited by 5 | Viewed by 2591
Abstract
Unreinforced masonry-infilled reinforced concrete frames are a prevalent taxonomy class not only in the Mediterranean region but also in Europe and worldwide, where buildings of this type abound or are ubiquitous. Thus, somewhat expectedly, various earthquake events and sequences have repeatedly shown the [...] Read more.
Unreinforced masonry-infilled reinforced concrete frames are a prevalent taxonomy class not only in the Mediterranean region but also in Europe and worldwide, where buildings of this type abound or are ubiquitous. Thus, somewhat expectedly, various earthquake events and sequences have repeatedly shown the poor seismic behaviour of masonry infill walls, which, in turn, have brought into question issues of the variability, uncertainty, and interaction of in-plane (IP) and out-of-plane (OoP) responses. The latter aspect is examined in this paper, which provides a systematic review concerning the conceptualisation and development of numerical macro-models for simulating the behaviour of solid infill wall panels taking their IP–OoP interaction into account. To this end, the most important parameters involved in the cyclic behaviour of unreinforced solid masonry infill walls are addressed first, and then the main models currently available in the literature are scrutinised and key features discussed, with emphasis posed on issues of accuracy/suitability and easiness or level of complexity/sophistication. Full article
(This article belongs to the Collection Structural Analysis for Earthquake-Resistant Design of Buildings)
Show Figures

Figure 1

20 pages, 10512 KB  
Article
Dynamic Reliability Analysis of Layered Slope Considering Soil Spatial Variability Subjected to Mainshock–Aftershock Sequence
by Huaiming Zhou, Gan Wang, Xiang Yu and Rui Pang
Water 2023, 15(8), 1540; https://doi.org/10.3390/w15081540 - 14 Apr 2023
Cited by 10 | Viewed by 2424
Abstract
The slope instability brought on by earthquakes frequently results in significant property damage and casualties. At present, the research on displacement response of a slope under earthquake has mainly emphasized the action of the mainshock, without accounting for the impact of an aftershock, [...] Read more.
The slope instability brought on by earthquakes frequently results in significant property damage and casualties. At present, the research on displacement response of a slope under earthquake has mainly emphasized the action of the mainshock, without accounting for the impact of an aftershock, and the spatial variability of material parameters is often neglected. The spatial variability of parameters is fully accounted for in this paper, and dynamic reliability of permanent displacement (DP) of a slope produced by the mainshock–aftershock sequence (MAS) is studied. A slope reliability analysis method is proposed based on the Newmark displacement method and the generalized probability density evolution method (GPDEM) to quantify the effect of the spatial variability of materials parameters on dynamic reliability. Firstly, the parameter random field is generated based on the spectral representation method, and the randomly generated parameters are assigned to the finite element model (FEM). In addition, the random simulation method of MAS considering the correlation between aftershock and mainshock is adopted based on the Copula function to generate the MAS. Then, the DP of slopes caused by the MAS considering the spatial variability is calculated based on the Newmark method. The impacts of the coefficient of variation (COV) and aftershock on the DP of slope is analyzed by means of mean values. Finally, the effect of COV and aftershock on the reliability of DP is explained from a probabilistic point of view based on the GPDEM. The results revealed that with the increase in the COV, the mean of the DP of the slope shows a trend of increasing gradually. The DP of slope is more sensitive to the coefficient of variation of friction angle (COVF). The mean DP of the slope induced by the MAS is larger compared to the single mainshock, and the PGA has a significant impact on the DP. Full article
(This article belongs to the Special Issue Safety Evaluation of Dam and Geotechnical Engineering)
Show Figures

Figure 1

Back to TopTop