Next Article in Journal
Preparation Method and Benefit Analysis for Unburned Brick Using Construction Solid Waste from Residue Soil
Previous Article in Journal
Management Model Using Standardized Contracts and BIM Tools for the Optimization of PPP Projects in Peru
 
 
Font Type:
Arial Georgia Verdana
Font Size:
Aa Aa Aa
Line Spacing:
Column Width:
Background:
Article

Evaluating the Seismic Resilience of Above-Ground Liquid Storage Tanks †

by
Emanuele Brunesi
1,* and
Roberto Nascimbene
2
1
EUCENTRE—European Centre for Training and Research in Earthquake Engineering Pavia, 27100 Pavia, Italy
2
IUSS—Scuola Universitaria Superiore Pavia, 27100 Pavia, Italy
*
Author to whom correspondence should be addressed.
This paper is an extended version of our paper published in the 17th World Conference on Earthquake Engineering, 17WCEE, Sendai, Japan.
Buildings 2024, 14(10), 3212; https://doi.org/10.3390/buildings14103212
Submission received: 17 September 2024 / Revised: 1 October 2024 / Accepted: 5 October 2024 / Published: 9 October 2024
(This article belongs to the Section Building Structures)

Abstract

Historical seismic events have repeatedly highlighted the susceptibility of above-ground liquid storage steel tanks, underscoring the critical need for their proper design to minimize potential damage due to seismic forces. A significant failure mechanism in these structures, which play essential roles in the extraction and distribution of various raw or refined materials—many of which are flammable or environmentally hazardous—is the dynamic buckling of the tank walls. This study introduces a numerical framework designed to assess the earthquake-induced hydrodynamic pressures exerted on the walls of cylindrical steel tanks. These pressures result from the inertial forces generated during seismic activity. The computational framework incorporates material and geometric nonlinearities and models the tanks using four-node shell elements with two-point integration, specifically Belytschko shell elements. The Arbitrary Lagrangian–Eulerian (ALE) method is employed to accommodate substantial structural and fluid deformations, enabling a full simulation of fluid–structure interaction through highly nonlinear algorithms. Experimental test data are utilized to validate the proposed modeling approach, particularly in replicating sloshing phenomena and identifying stress concentrations that may lead to wall buckling. The study further presents results from a parametric analysis that varies the height-to-radius and radius-to-thickness ratios of a typical anchored flat-bottomed tank, examining the seismic performance of this common storage system. These results provide insights into the relationship between tank properties and mechanical behavior under dynamic loading conditions.

1. Introduction

Cylindrical steel tanks are prevalent storage systems, extensively utilized in a wide range of industrial applications due to their fundamental role in various sectors. These tanks serve as strategic components in numerous facilities, ensuring the safe containment and efficient management of various materials, including water, oil, nitrogen, high-pressure gases, petroleum, and other potentially hazardous chemical substances. Their versatility and capability to store such diverse materials make them essential to the operational infrastructure of industries like oil and gas, chemical processing, and even water treatment. However, these tanks’ widespread use comes with significant risks, as their failure can lead to severe consequences. Among the primary concerns associated with these storage systems are fire hazards and fluid spillovers, which can cause both direct and indirect damage, such as significant environmental contamination and potential harm to human health. The release of toxic or flammable materials can result in fires, explosions, and long-term ecological impacts, creating scenarios that are costly and complex to remediate. As an example of this, interested readers are referred to O’Reilly et al. [1], who presented tried-and-true practices for incorporating the risks associated with structural and non-structural damage and health risks associated with the release of harmful substances. To showcase the long-term environmental impacts that seismic tank damage may imply, two case-study industrial plant layouts were devised involving liquid storage tanks, piping systems, and chemical storage vessels.
The vulnerability of these structures was starkly demonstrated during the 2012 Emilia earthquakes in Italy [2,3]; the 1997 Jabalpur and 2001 Bhuj earthquakes in India [4,5,6]; and the 2013 and 2016 New Zealand earthquakes [7]. The combination of seismic exposure and inherent structural weaknesses in these cylindrical tanks led to a disproportionate susceptibility to damage, even under moderate seismic forces. Many of these tanks sustained severe structural damage, rendering them inoperable in the earthquake’s aftermath. This disruption had far-reaching consequences, as the halt in industrial production across the affected region resulted in an estimated economic loss of approximately EUR 5 billion. The impact on local economies, coupled with the environmental ramifications of such damage, highlights the critical need for robust design standards and effective mitigation strategies to enhance the seismic resilience of these storage systems.
Investigations into the damaged storage tanks revealed a significant number of failure mechanisms that had been observed in previous destructive earthquakes across different regions [8,9,10,11,12]. These recurring patterns of failure underscore the inadequate performance of many existing storage tanks, which were typically designed according to outdated practices that did not account for the seismic demands now understood to be crucial [13,14]. The primary collapse modes identified during post-earthquake reconnaissance included “elephant’s foot” buckling and diamond-shaped buckling, both induced by the hydrodynamic pressures resulting from seismic-induced inertial forces. Additionally, the failure of anchor bolts was frequently observed, compromising the tanks’ stability and increasing the likelihood of structural collapse. Figure 1 and Figure 2 illustrate these failure mechanisms. Specifically, Figure 1a–c depicts typical cases of elephant’s foot buckling, which occurs in flat-base tanks due to a combination of high circumferential tensile stresses generated by internal hydrostatic and hydrodynamic pressures, coupled with axial compression caused by the overturning moments from horizontal seismic loads. Meanwhile, diamond-shaped buckling, often seen at the base of the tank wall or near circumferential welds where wall thickness decreases with height, is presented in Figure 1d–f. Such buckling patterns are indicative of the critical stress concentrations that can arise in cylindrical tanks during seismic events, necessitating enhanced design and retrofitting measures to mitigate these vulnerabilities.
Examples of base-anchorage failures in both flat-base and leg-supported storage systems are illustrated in Figure 2. In some instances, these failures were coupled with elastic diamond-shaped buckling of the tank walls, as depicted in Figure 2a. However, more often, base-anchorage failures occurred independently, primarily due to the excessive inelastic strain demands placed on the anchor bolts (one reason for supporting sliding isolators [15]). These strain demands led to either the fracture of the bolts or their detachment from the concrete pads, a condition exacerbated by the inadequate design and detailing of the anchoring systems. This detachment often compromised the structural integrity of the tank, making it highly susceptible to seismic forces.
Another common failure mode associated with anchoring systems is shown in Figure 2b, where the significant spalling of the concrete foundation occurred. This type of failure was primarily due to the low tensile strength of the concrete, which could not withstand the high stresses induced by seismic loading. In these scenarios, poorly anchored flat-bottomed tanks, which were inadequately designed to handle earthquake-induced forces, failed under tension at the weakest points of their anchorage systems. This failure was often the result of sliding and rocking movements of the tanks during seismic events, which imposed additional stresses on the already vulnerable anchor points.
Furthermore, Figure 2c,d demonstrate a typical example of the shear-buckling mechanism observed in leg-supported tanks. These tanks are particularly prone to failure when subjected to the combined effects of heavy static loads and both horizontal and vertical seismic excitations. Such conditions lead to significant stress and strain concentrations at the base of the stocky legs, which have limited resistance. Once the anchorage system failed, these legs often began to slide, losing their vertical alignment. This misalignment induced visible buckling, effectively compromising the stability of the entire tank structure. The loss of verticality could result in additional structural damage, posing substantial risks of spillage or collapse.
Interestingly, unanchored leg-supported tanks exhibited better seismic performance compared to their anchored counterparts. When these tanks were allowed to rock and slide relative to the ground, they demonstrated a degree of flexibility that helped absorb seismic energy, reducing the likelihood of structural failure. Provided that the piping systems connected to these tanks were sufficiently flexible to accommodate seismic displacements and that the tank legs were strong enough to sustain rocking motions without buckling, these unanchored systems showed minimal damage. They did not experience significant foundational failure or severe structural deformations, suggesting that a design approach allowing for controlled movement could be a viable strategy to enhance seismic resilience.
Field observations conducted after the May 2012 Emilia earthquakes [2,3] have highlighted the complex and often problematic dynamic behavior of liquid storage tanks also related to sloshing [16,17,18]. These tanks are typically designed as thin-walled shells, intended primarily to withstand the hydrostatic pressure generated by the stored liquid. However, many of these tanks lack the necessary seismic detailing and do not meet the seismic design requirements currently mandated by major building codes such as Eurocode 8 Part 4 [19], UNI EN 14015 [20], AWWA [21,22], AIJ [23], API [24], New Zealand [25], and IITK [26] for aboveground tanks [27,28] and also elevated tanks [29,30,31,32]. This oversight has left these tanks vulnerable to earthquake-induced failures.
As an alternative to base isolation [33,34,35,36], Ozsarac et al. [16] studied an energy dissipation system consisting of floating roof and external dampers that are utilized to control liquid vibration by augmenting the level of damping. This energy dissipation system was proposed to implement both for the retrofit of existing floating roofed tanks as well as for the design of new storage systems, especially the broad ones that are mainly preferred in the oil industries. Furthermore, Merino et al. [17] proposed a probabilistic framework to evaluate risk-oriented safety factors that can aid in the design of the freeboard height, as limiting the amount of content stored in these systems is one of the most cost-effective solution to protect them against earthquake-induced demand. The reader is also referred to Paolacci et al. [36], who classified process plant components and proposed seismic response mitigation strategies by passive control techniques.
Dynamic buckling mechanisms, which are now recognized as a critical consideration in the structural design of liquid storage tanks due to the thinness of their walls, were historically addressed using empirical closed-form equations or were merely mitigated through basic good design practices that were accepted at the time. These approaches, however, have proven inadequate for providing sufficient protection against seismic events. The empirical formulas often failed to capture the complex interactions between the tank walls and the dynamic forces generated during seismic activity, resulting in design solutions that were unable to prevent buckling or other forms of structural failure.
Another significant issue in the traditional design approach has been the general disregard for the impact of wall flexibility. The flexibility of the tank walls plays a crucial role in their dynamic response, particularly under seismic loading, where wall deformations can significantly influence the distribution of stresses and hydrodynamic pressures. Ignoring this factor has often led to underestimations of the actual stresses experienced by the tank during an earthquake, increasing the risk of failure.
To address these shortcomings, there is a growing need for high-definition or high-fidelity modeling techniques that accurately simulate the fluid–structure interaction within these tanks. Such advanced modeling should incorporate nonlinear dynamic analyses capable of predicting the behavior of both the tank and its liquid contents under seismic excitation. These simulations would help to better understand the hydrodynamic response of the liquid–tank system over time, providing insights into the complex interactions that occur between the stored liquid and the tank walls during an earthquake. This approach could lead to more robust design strategies that enhance the seismic resilience of liquid storage tanks, ensuring their integrity and functionality in the face of seismic threats.

2. Advanced Numerical Modelling

In recent years, a variety of computational strategies have been developed to simulate the complex behavior of above-ground liquid storage tanks, whose response is influenced by numerous interacting phenomena. These methods range from mechanics-based surrogate modeling techniques to advanced fluid–structure interaction (FSI) algorithms. The foundational work by researchers like Jacobsen [37] and Housner [38] laid the groundwork for understanding the dynamic response of such tanks, utilizing Laplace’s equation to ensure the conservation of mass and momentum within the liquid–structure system. This approach typically assumes the liquid is incompressible, inviscid, and irrotational, providing a simplified yet effective framework for early studies on tank dynamics under seismic excitation. Since these pioneering efforts, numerous researchers [39,40,41,42,43,44,45,46,47,48,49,50] have extended and refined these initial formulations, often introducing simplifications to make the analysis more practical. Meanwhile, there has been significant progress in the development of more sophisticated finite element (FE) methodologies over the past three decades. Detailed FE-based models have been explored, employing various approaches such as added-mass approximations [51], fluid-specific capabilities [52], boundary element-finite element (BE-FE) coupled models [53,54], and smoothed particle hydrodynamics (SPH) [55]. These advanced techniques enable more accurate representation of the dynamic interactions between the tank walls and the contained fluid, capturing the complex response of the system during seismic events.
Despite the simplifications related to liquid modeling in early studies, more recent research has incorporated fluid–structure interaction with greater accuracy. These studies utilize Lagrangian, Eulerian, and Arbitrary Lagrangian–Eulerian (ALE) formulations to account for the dynamic interaction between the liquid and the tank walls. For example, Sezen et al. in [56] utilized a displacement-based Lagrangian approach, while Ozdemir et al. in [57] employed the ALE formulation to simulate interactions in both anchored and unanchored tanks. These advanced modeling techniques are critical for accurately predicting the seismic response and ensuring the structural integrity of liquid storage tanks.
Given these developments, high-resolution FE analysis emerges as a powerful tool for evaluating the seismic performance of such storage structures. These models are capable of capturing both the global response and localized stress and strain concentrations, which are essential for understanding damage patterns and potential failure modes. To this end, a series of detailed FE models have been created, and nonlinear dynamic analyses have been conducted, incorporating nonlinear sloshing effects [16], as well as geometrical and material nonlinearities. These analyses were performed using the LS-DYNA (R12) software package, known for its robust fluid–structure interaction capabilities [58]. The ALE algorithm, which integrates a third domain—referred to as the referential domain—alongside the traditional material (Lagrangian) and spatial (Eulerian) domains, was utilized to accommodate significant structural and fluid deformations.
The modeling approach employed in this study uses the penalty coupling method within the CONSTRAINED_LAGRANGE_IN_SOLID framework to simulate interactions between the shell and solid elements, ensuring compression-only behavior. The motion of the fluid is described using the compressible Navier–Stokes equations, and the fluid itself is discretized with a mesh of eight-noded, one-point integration ALE solid elements. The tank’s base plate and walls are modeled using four-noded, two-point integration shell elements, following the formulation proposed by Belytschko et al. in [59]. This formulation is preferred due to its computational efficiency, which is achieved through a combined co-rotational and velocity–strain approach. The tank walls are assumed to follow a bilinear elastic–plastic constitutive law (MAT_003), incorporating both isotropic and kinematic hardening to simulate any permanent deformations that may occur under seismic loads. For the fluid, which in this case is water, a null material model is employed, with a bulk modulus of 2.25 × 109 N/m2.
The analysis focuses on anchored flat-bottomed tanks, which are modeled as being fully filled—this condition is both common in real-world scenarios and represents one of the most demanding operational states for these storage systems. All nonlinear dynamic simulations are carried out using an explicit solution strategy, with an automatic, mesh-dependent time step on the order of 10−6 seconds to ensure numerical stability and accuracy. This comprehensive numerical approach, capable of capturing various sources of nonlinearity—such as large amplitude sloshing of the liquid’s free surface and the yielding or buckling of the tank walls—was initially applied to predict the experimental response of two small-scale tank specimens [60,61] (Figure 3). The results of these simulations are detailed in the following sections, providing insights into the effectiveness of the modeling techniques and the reliability of the results. As depicted in Figure 3, the model was constructed with a total of 5793 nodes, encompassing 890 shell elements and 4320 solid elements. It is important to highlight that completing a single nonlinear transient simulation required over 15 h, reflecting the complexity and computational demand of the simulations involved in this study.

3. Numerical vs. Experimental Comparison and Validation

The initial tank specimen, featured in the groundbreaking experimental study by Manos and Clough [60], was a scaled model analyzed using numerical methods. This model was an open-top, anchored tank set on a rigid foundation, precisely replicated in a 1/3 scale from the original design. It had a radius and height of approximately 1.83 m each, with water filled up to a height of 1.53 m. Constructed from aluminum, the tank had a material density of 2700 kg/m3. The base plate and the initial course of the tank wall shared a uniform thickness of 2 mm, whereas a thinner second course of the tank wall was only 1.3 mm thick. An L-shaped steel girder was strategically positioned at the top of the second shell course to enhance structural integrity.
During the shake-table test, the seismic input was modeled on the horizontal component of the 1940 El Centro earthquake, with a peak ground acceleration adjusted to 0.50 g. The input was then scaled with respect to time by a factor equal to 1 / 3 , owing to similitude requirements.
Figure 4 provides a detailed schematic of the small-scale tank specimen, highlighting key geometrical features. Concurrently, Figure 3 illustrates the sophisticated FE model that was developed to simulate the shake-table test results, showcasing the rigorous approach to capturing the dynamic response of the tank under seismic loading.
Figure 5 presents a comparative analysis between the numerical predictions and the experimental test data, focusing on the pressure time history at various levels along the height of the tank wall. The results from the numerical simulations show a remarkable alignment with the experimental outcomes, with only minimal discrepancies observed. The response graphs demonstrate that the peaks in pressure were predicted with high consistency and accuracy, mirroring the experimental findings closely, including the post-peak behaviors of the tank specimen under analysis. Similarly, the shape and amplitude of the sloshing wave were accurately captured, with small variations (less than 5%) when compared to the experimental results documented by Manos and Clough [60].
Continuing with this methodology, the same numerical techniques were applied to predict the experimental response of a different tank specimen, as tested by Haroun [61]. This tank, a cylindrical, open-top, and anchored small-scale prototype, was also filled with water. Constructed from aluminum with a density of 2600 kg/m3, it featured a radius of 1.18 m and a total height of 4.57 m, with the water’s free surface standing at 3.96 m. For the shake-table test, the 1994 El Centro earthquake was used, scaled to a peak ground acceleration (PGA) of 0.5 g. To align with similitude principles, the seismic record was accelerated by a factor of 1.73 and scaled by 1.43 to achieve the necessary PGA.
In terms of modeling, 1236 two-dimensional shell elements were used to construct the mesh for the base plate and walls, while the fluid dynamics were modeled using 6084 three-dimensional solid elements employing the Arbitrary Lagrangian–Eulerian (ALE) formulation. The total node count for the FE model was 8009.
Figure 6 depicts the deformed shape of the model at various time instants, offering a visual confirmation of the numerical accuracy of sloshing motion. The principal numerical results are summarized in Table 1. In this instance as well, the numerical predictions closely matched the experimental data, with discrepancies around 2% in terms of maximum base shear. Similar levels of variation were noted regarding the maximum meridional compressive force and peak radial displacement, underscoring the precision of the numerical approach in replicating complex dynamic behaviors in seismic conditions.
To close Section 3, it is worth recalling that the ALE-based approach adopted in this paper as well as in Brunesi et al. [3] and Ozsarac et al. [16] accounts already for wall flexibility owing to the use of four-noded, two-point integration shell elements combined with an elastic–plastic bilinear material model, as well as for fluid viscosity in case that fluids other than water had to be simulated. Another appealing approach pertaining to the case of high-definition FE modelling is the use of SPH [55], although ALE is expectedly superior when it comes to predicting pressure distribution. The presented comparisons with experimental data show an extremely high level of accuracy, confirming the outcomes of Ozsarac et al. [16] and Brunesi et al. [3], where performance was assessed for a variety of cases and applications that came as a result of tank types found in the area affected by the 2012 Emilia seismic sequence. Surrogate and/or mechanics-based FE models for tank systems of this and different kind were also implemented by the authors in previous studies (e.g., [17,18]), notwithstanding the fact that the assumed ALE-based approach, with its increased level of sophistication, is a better candidate for the simulation of full-scale storage tanks used in real-world industrial applications [3,16,17].

4. Parametric Analyses of Selected Tanks

After validating the numerical techniques with experimental test data [60,61], two sets of parametric FE analyses were undertaken to investigate the seismic response of these liquid storage systems under varying ground motion records. These studies aimed to expand our understanding of how different seismic inputs affect tank behavior during earthquakes.
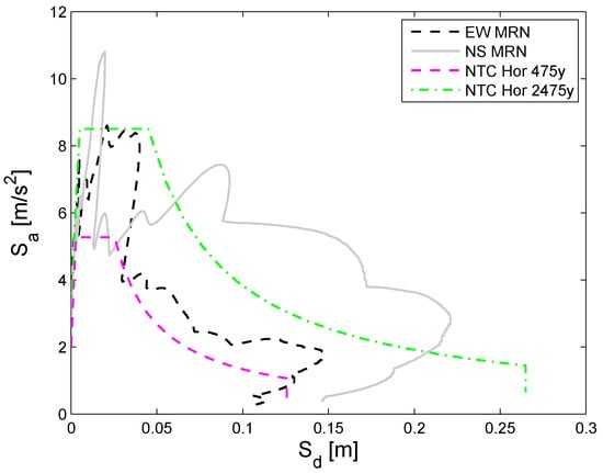
The first series of dynamic simulations focused on the most severe ground motion recorded by the station closest to the epicenter of the May 20th Emilia earthquake. Specifically, the North–South component was selected for analysis due to its pronounced impact (referenced as NS MRN in Figure 7). The acronym MRN denotes the Mirandola Station, where this particular seismic data were recorded. In Figure 7, the spectral demands of the two horizontal components captured at this station are meticulously compared to the spectral shapes that are derived according to the Italian building code for two return periods. This comparison is crucial as it allows for an assessment of the record’s intensity and frequency content against standard seismic provisions and anticipated ground motion values in building codes, providing a more comprehensive understanding of the seismic threats these tanks might face. This approach not only enhances the predictive accuracy of the FE models but also ensures that the simulations are relevant to real-world seismic scenarios. By analyzing the structural response to the most critical recorded component, researchers can more accurately forecast potential vulnerabilities and the resilience of liquid storage tanks. Such analyses are vital for designing tanks that can withstand significant seismic events and for refining existing models and construction practices to improve overall safety and performance.
Numerical predictions are consolidated and depicted in Figure 8, highlighting the influence of geometric variations on the seismic response of storage tanks. Specifically, these variations pertain to differences in the height-to-radius ratio ( H / R ) and the radius-to-thickness ratio ( R / t ) of the selected prototype tanks. Figure 8a showcases the pressure peak profiles for five medium-sized tanks with an H / R ratio of 1.5, featuring different R / t values, while Figure 8b provides corresponding data for more slender tanks with an H / R ratio of 3.0.
For the medium-sized tank prototypes, the radius-to-thickness ratio ranges between 600 and 2000. These tanks exhibit relatively uniform pressure peak profiles, with moderate pressure concentrations observed at the top of the shell, which become increasingly pronounced as R / t exceeds 1500. This phenomenon is largely attributed to the sloshing motion of the contained liquid, which is significantly more pronounced in the slender tanks. The data presented in Figure 8b reinforce this observation, demonstrating that pressure concentrations escalate with the increase in R / t . Particularly, for R / t of 400 or greater, the pressure peak profiles display an almost linear piecewise decaying slope relative to the normalized tank height, indicating a clear trend towards greater stress concentration at higher R / t values.
Additionally, a second set of parametric FE analyses was conducted using a suite of ten natural earthquake records, scaled by Maley et al. in [63] for displacement spectrum compatibility according to the requirements of Eurocode 8 (EC8) Part 4 [19]. These analyses aim to provide a broader understanding of the tanks’ behavior under varied seismic conditions. The acceleration and displacement response spectra, illustrated in Figure 9, align with the EC8 Type 1 spectra for a peak ground acceleration of 0.40g on soil type C. The corner period ( T D ) was set at 8 s, enhancing the spectral displacement demands linearly up to this value, to reflect the possibility of long-period ground motions. This comprehensive approach allows for the assessment of the tanks’ performance across a spectrum of seismic activities, ranging in magnitude from 6.2 to 7.6, as detailed in the study by Maley et al. [63] and a subsequent one by Brunesi et al. [64]. As reported therein [63], EC8 [19] recommends either the use of three ground motion records when taking the maximum of considered structural response parameter or the use of seven ground motion records when taking the mean of considered structural response. Accordingly, the most stringent EC8 requirements are not only merely met but also exceeded, as the set of ground motions assumed for these parametric simulations consisted of ten records.
In an effort to further explore the impact of tank geometry on seismic responses, three additional anchored flat-bottomed (AFB) tanks with varying proportions—broad, medium, and slender—were meticulously designed and analyzed. The configurations of these tanks are as follows:
(i) T1b, characterized by a height-to-radius ratio ( H / R ) of 0.75 and a radius-to-thickness ratio ( R / t ) of 2000, representing the broad geometry;
(ii) T2m, with an H / R of 1.5 and an R / t of 400, denoting the medium geometry; and
(iii) T3s, featuring an H / R of 4 and an R / t of 400, indicative of the slender geometry.
Figure 10 presents the pressure peak profiles for each AFB tank, displaying results from explicit nonlinear transient analysis for individual seismic records, along with the calculated mean and the mean plus one standard deviation. As illustrated in Figure 10a, the broad tank (T1b) exhibits a notably different response to seismic excitation compared to its medium and slender counterparts. The pressure distribution in T1b shows a fairly linear decaying slope along the tank wall, with pressure concentrations primarily observed at the lower part of the shell. This suggests that the broad tank is less susceptible to sloshing phenomena, which typically affect the upper regions of the tank due to the lower height-to-radius ratio. Conversely, as seen in Figure 10b,c, the medium (T2m) and slender (T3s) tanks exhibit more complex pressure profiles. In T2m, pressure concentrations are notably present at both the top and the bottom of the shell, indicating a more pronounced response to both base excitation and sloshing effects. The slender tank (T3s), with its higher H / R , shows significant sloshing-related damage potential, especially in scenarios where high pressure concentrations occur at the top of the shell. This is due to the heightened impact of sloshing motions in taller tanks, where the liquid’s movement is less restrained by the tank’s geometry.
These findings are further corroborated in Figure 11, which compares the mean peak pressure profiles alongside their mean plus one standard deviation counterparts. This comparison provides a statistical view of the pressure variability and highlights the increased risk and intensity of pressure peaks, particularly in tanks with higher H / R values. Such detailed analysis not only assists in understanding the dynamic behavior of different tank geometries under seismic loading but also aids in the design and reinforcement of tanks to better withstand earthquake-induced stresses.
In closing, it is worthwhile to recall that the tanks in this study are anchored flat-bottomed ones; so, the foundation was simply assumed to provide such boundary conditions (and was thus modelled as such). Readers interested in unanchored tanks are kindly referred to Brunesi et al. [3], the latter study being chiefly concerned with storage tank systems actually damage by the 2012 Emilia seismic sequence (which in turn implies a larger variability than that considered in this piece of work).

5. Conclusions

This research scrutinizes the seismic response of above-ground liquid storage steel tanks in the wake of the May 2012 earthquakes in Northern Italy. Despite the moderate intensity of ground motion—whereby half of the Italian territory is exposed to seismic hazard levels equal to or greater than those recorded in the epicentral area—the majority of these tanks sustained considerable damage, leading to substantial direct and indirect losses. This widespread failure can primarily be attributed to a significant delay in adopting and implementing adequate seismic provisions, which resulted in insufficient design and detailing practices.
The primary types of failures observed, such as elephant’s foot and diamond-shaped buckling of thin shell walls, alongside failures in base-anchorage and tank support systems, have necessitated a series of detailed finite element (FE) analyses. These FE analyses employ geometrically and materially nonlinear numerical models, developed using a general-purpose FE software equipped with fluid–structure interaction capabilities, namely LS-DYNA (R12) [58].
The proposed fully nonlinear dynamic numerical approach leverages the Arbitrary Lagrangian–Eulerian (ALE) formulation, accommodating large structural and liquid deformations. This method is adept at handling various sources of nonlinearity, including significant amplitude nonlinear sloshing of the free surface liquid and the yielding/buckling mechanisms of the tank wall. The effectiveness and precision of this approach were validated by replicating the experimental responses of two small-scale tank specimens. This validation was achieved through a comparison between the test data and numerical results, which confirmed the accuracy of the modeling approach.
Subsequently, the validated models were used to conduct a set of explicit nonlinear dynamic simulations. These simulations were designed to investigate behavioral changes in the seismic response of anchored flat-bottomed (AFB) tanks due to parametric variations in their geometry, specifically the height-to-radius ratio ( H / R ) and the radius-to-thickness ratio ( R / t ). The results from two series of parametric analyses were discussed to assess the seismic performance of this commonly utilized liquid storage system, establishing a paradigm that correlates tank properties with their mechanical behavior under dynamic loads.
The findings and numerical outcomes from this study are directly applicable to the design, assessment, and reinforcement of these vulnerable structures. The numerical results presented in this paper underscore the urgent need for the analysis and proposal of efficient retrofit solutions to mitigate or prevent further failures due to earthquake-induced actions economically, following available approaches (e.g., [16,17,33,34,35,36]) or developing new ones. Current research is now focusing on developing recommendations for earthquake-resistant strengthening methodologies that enhance the performance of both individual structural components and the structure as a whole.
Mainly, the findings related to the pressure peak profiles for different tank geometries carry important practical implications for both the design of new tanks and the retrofitting of existing ones, particularly in seismic-prone areas.
In terms of design decisions for new tanks, the study emphasizes how geometric ratios such as height-to-radius and radius-to-thickness significantly affect seismic performance. For instance, slender tanks with a higher H / R tend to exhibit greater susceptibility to sloshing-induced pressure peaks, especially near the top of the shell. This suggests that designers may need to focus on reinforcing or thickening the upper sections of the tank walls to prevent buckling or failure during seismic events. On the other hand, broader tanks with a lower H / R display a more uniform distribution of pressure, with concentrated forces at the base. This insight points to the importance of strengthening base anchorage systems, as they play a crucial role in stabilizing the tank under seismic loading.
For existing tanks that were not designed with these modern insights, the results of this study can guide targeted retrofitting strategies. Slender tanks may require reinforcement in the upper sections of the walls, particularly where pressure peaks are most severe. Additionally, it may be necessary to enhance the flexibility of connected piping systems to account for the increased sloshing-induced deformations. For broader tanks, retrofitting efforts would likely focus on improving the base and anchorage systems to withstand the concentrated pressure loads at the bottom. This could involve strengthening the tank’s connection to its foundation to prevent failures caused by high base shear forces.
In both cases, the study’s findings can directly influence the choice of retrofitting approaches, such as the addition of external bracing or stiffening elements. These adjustments can be applied to specific areas of the tank where the pressure peaks are predicted to occur, or they can be implemented more broadly to enhance the overall resilience of the structure. By using these insights, engineers can make informed decisions that will improve the seismic performance of both new and existing liquid storage tanks, reducing the risk of catastrophic failure and ensuring greater safety during seismic events.

Author Contributions

Conceptualization, R.N. and E.B.; methodology, R.N. and E.B.; software, R.N. and E.B.; validation, E.B.; writing—original draft preparation, R.N.; writing—review and editing, E.B.; supervision, R.N. and E.B. All authors have read and agreed to the published version of the manuscript.

Funding

This research received no external funding.

Data Availability Statement

The data presented in this study are available on request from the corresponding author. The data are not publicly available due to topic treated and industrial implications.

Conflicts of Interest

The authors declare no conflicts of interest.

References

  1. O’Reilly, G.J.; Shahnazaryan, D.; Dubini, P.; Brunesi, E.; Rosti, A.; Dacarro, F.; Gotti, A.; Silvestri, D.; Mascetti, S.; Ducci, M.; et al. Risk-aware navigation in industrial plants at risk of NaTech accidents. Int. J. Disaster Risk Reduct. 2023, 88, 103620. [Google Scholar] [CrossRef]
  2. Calvi, G.M.; Nascimbene, R. Seismic Design and Analysis of Tanks, 1st ed.; Wiley: New York, NY, USA, 2023. [Google Scholar]
  3. Brunesi, E.; Nascimbene, R.; Pagani, M.; Beilic, D. Seismic performance of storage steel tanks during the May 2012 Emilia, Italy, Earthquakes. J. Perform. Constr. Facil. 2015, 29, 04014137. [Google Scholar] [CrossRef]
  4. Rai, D.C. Seismic retrofitting of R/C shaft support of elevated tanks. Earthq. Spectra 2002, 18, 745–760. [Google Scholar] [CrossRef]
  5. Rai, D.C. Review of code design forces for shaft supports of elevated water tanks. In Proceedings of the 12th Symposium on Earthquake Engineering, IIT, Roorkee, India, 16–18 December 2002; pp. 1407–1418. [Google Scholar]
  6. Rai, D.C. Performance of elevated tanks in Mw 7.7 Bhuj earthquake of January 26th, 2001. J. Earth Syst. Sci. 2003, 112, 421–429. [Google Scholar] [CrossRef]
  7. Yazdanian, M.; Ingham, J.M.; Kahanek, C.; Dizhur, D. Damage to legged wine storage tanks during the 2013 and 2016 New Zealand earthquakes. J. Constr. Steel Res. 2020, 172, 106226. [Google Scholar] [CrossRef]
  8. Eidinger, J.M. Performance of water systems during the Maule Mw 8.8 earthquake of 27 February 2010. Earthq. Spectra 2012, 28, S605–S620. [Google Scholar] [CrossRef]
  9. Uckan, E.; Akbas, B.; Shen, J.; Wen, R.; Turandar, K.; Erdik, M. Seismic performance of elevated steel silos during Van earthquake, October 23, 2011. Nat. Hazards 2015, 75, 265–287. [Google Scholar] [CrossRef]
  10. Soroushnia, S.; Tafreshi, T.; Omidinasab, F.; Beheshtian, N.; Soroushnia, S. Seismic Performance of RC Elevated Water Tanks with Frame Staging and Exhibition Damage Pattern. Procedia Eng. 2011, 14, 3076–3087. [Google Scholar] [CrossRef]
  11. Bozorgmehrnia, S.; Ranjbar, M.M.; Madandoust, R. Seismic Behavior Assessment of Concrete Elevated Water Tanks. J. Rehabil. Civ. Eng. 2013, 1, 69–79. [Google Scholar]
  12. Nascimbene, R.; Fagà, E.; Moratti, M. Seismic Strengthening of Elevated Reinforced Concrete Tanks: Analytical Framework and Validation Techniques. Buildings 2024, 14, 2254. [Google Scholar] [CrossRef]
  13. Manwani, M.G.; Telang, D.P. Review on Seismic Analysis of Elevated Water Tank with Variations of H/D Ratio and Container Shape. Int. J. Comput. Sci. Mob. Comput. 2017, 6, 202–208. [Google Scholar]
  14. Corritore, D.; Paolacci, F. Seismic failure modes and loss of containment in industrial equipment. American Society of Mechanical Engineers, Pressure Vessels and Piping Division 2021, Volume 52021, Article number V005T08A013ASME. In Proceedings of the Pressure Vessels and Piping Conference, PVP 2021, Virtual, 13–15 July 2021. [Google Scholar]
  15. Kılıç, S.; Akbaş, B.; Shen, J.; Paolacci, F. Seismic behavior of liquid storage tanks with 2D and 3D base isolation systems. Struct. Eng. Mech. 2022, 83, 627–644. [Google Scholar]
  16. Ozsarac, V.; Brunesi, E.; Nascimbene, R. Earthquake-induced nonlinear sloshing response of above-ground steel tanks with damped or undamped floating roof. Soil. Dyn. Earthq. Eng. 2021, 144, 106673. [Google Scholar] [CrossRef]
  17. Merino, R.J.; Brunesi, E.; Nascimbene, R. Probabilistic evaluation of earthquake-induced sloshing wave height in above-ground liquid storage tanks. Eng. Struct. 2020, 202, 109870. [Google Scholar] [CrossRef]
  18. Merino, R.J.; Brunesi, E.; Nascimbene, R. Derivation of floor acceleration spectra for an industrial liquid tank supporting structure with braced frame systems. Eng. Struct. 2018, 171, 105–122. [Google Scholar] [CrossRef]
  19. EN 1998-4:2006; Eurocode 8: Design of Structures for Earthquake Resistance—Part 4: Silos, Tanks and Pipelines. CEN: Brussels, Belgium, 2006.
  20. UNI EN 14015; Specification for the Design and Manufacture of Site Built, Vertical, Cylindrical, Flat-Bottomed, Above Ground, Welded Steel Tanks for the Storage of Liquids at Ambient Temperature and Above. CEN—European Committee for Standardization: Brussels, Belgium, 2006.
  21. AWWA D100; Welded Carbon Steel Tanks for Water Storage. American Water Works Association: Denver, CO, USA, 2011.
  22. AWWA D103; Factory-Coated Bolted Carbon Steel Tanks for Water Storage. American Water Works Association: Denver, CO, USA, 2009.
  23. AIJ. Design Recommendation for Storage Tanks and Their Supports with Emphasis on Seismic Design; Architectural Institute of Japan: Tokyo, Japan, 2010. [Google Scholar]
  24. API Standard 650; Welded Tanks for Oil Storage, Thirteenth Edition. American Petroleum Institute: Washington, DC, USA, 2020.
  25. NZSEE-09; Seismic Design of Storage Tanks. Study Group on Seismic Design of Storage Tanks: Christchurch, New Zealand, 2009.
  26. IITK-GSDMA. Gudelines for Seismic Design of Buried Pipelines; Provisions with Commentary and Explanatory Examples; Indian Institute of Technology Kanpur: Kanpur, India, 2007. [Google Scholar]
  27. Moslemi, M. Seismic Response of Ground Cylindrical and Elevated Conical Reinforced Concrete Tanks. Ph.D. Thesis, Ryerson University, Toronto, ON, Canada, 2011. [Google Scholar]
  28. Garcia, S.M. Earthquake response analysis and aseismic design of cylindrical tanks. In Proceedings of the 4th World Conference on Earthquake Engineering, Santiago, Chile, 13–18 January 1969; Volume II, pp. B4-169–B4-182. [Google Scholar]
  29. Chandrasekaran, A.R.; Krishna, J. Water towers in seismic zones. In Proceedings of the 3rd World Conference on Earthquake Engineering, Wellington, New Zealand, 22 January–1 February 1965; Volume IV, pp. 161–171. [Google Scholar]
  30. El Damatty, A.A.; Korol, R.M.; Mirza, F.A. Stability of elevated liquid-filled conical tanks under seismic loading. Part I—Theory. Earthq. Eng. Struct. Dyn. 1997, 26, 1191–1208. [Google Scholar] [CrossRef]
  31. El Damatty, A.A.; Korol, R.M.; Mirza, F.A. Stability of elevated liquid-filled conical tanks under seismic loading. Part II—Applications. Earthq. Eng. Struct. Dyn. 1997, 26, 1209–1229. [Google Scholar] [CrossRef]
  32. Nascimbene, R.; Rassati, G.A. Seismic Design and Evaluation of Elevated Steel Tanks Supported by Concentric Braced Frames. CivilEng 2024, 5, 521–536. [Google Scholar] [CrossRef]
  33. De Angelis, M.; Giannini, R.; Paolacci, F. Experimental investigation on the seismic response of a steel liquid storage tank equipped with floating roof by shaking table tests. Earthq. Eng. Struct. Dyn. 2010, 39, 377–396. [Google Scholar] [CrossRef]
  34. Chalhoub, M.S.; Kelly, J.M. Shake table test of cylindrical water tanks in base-isolated structures. J. Eng. Mech. 1990, 116, 1451–1472. [Google Scholar] [CrossRef]
  35. Abali, E.; Uçkan, E. Parametric analysis of liquid storage tanks base isolated by curved surface sliding bearings. Soil Dyn. Earthq. Eng. 2010, 30, 21–31. [Google Scholar] [CrossRef]
  36. Paolacci, F.; Giannini, R.; De Angelis, M. Seismic response mitigation of chemical plant components by passive control techniques. J. Loss Prev. Process Ind. 2013, 26, 924–935. [Google Scholar] [CrossRef]
  37. Jacobsen, L.S. Impulsive hydrodynamics of fluid inside a cylindrical tank and of fluid surrounding a cylindrical pier. Bull. Seismol. Soc. Am. 1949, 39, 189–204. [Google Scholar] [CrossRef]
  38. Housner, G.W. The dynamic behaviour of water tanks. Bull. Seismol. Soc. Am. 1963, 53, 381–387. [Google Scholar] [CrossRef]
  39. Haroun, M.A.; Ellaithy, H.M. Seismically induced fluid forces on elevated tanks. J. Tech. Top. Civ. Eng. 1985, 111, 1–15. [Google Scholar] [CrossRef]
  40. Ifrim, M.; Bratu, C. The effect of seismic action on the dynamic behavior of elevated water tanks. In Proceedings of the 4th World Conference on Earthquake Engineering, Santiago, Chile, 13–18 January 1969; Volume II, pp. B4-127–B4-142. [Google Scholar]
  41. Moslemi, M.; Kianoush, M.R.; Pogorzelski, W. Seismic response of liquid filled elevated tanks. Eng. Struct. 2011, 33, 2074–2084. [Google Scholar] [CrossRef]
  42. Ramiah, B.K.; Gupta, D.S.R.M. Factors effecting seismic design of water towers. ASCE J. Struct. Div. 1966, 92, 13–30. [Google Scholar] [CrossRef]
  43. Shepherd, R. The two mass representation of a water tower structure. J. Sound. Vib. 1972, 23, 391392. [Google Scholar] [CrossRef]
  44. Sweedan, A.M.I. Equivalent mechanical model for seismic forces in combined tanks subjected to vertical earthquake ex-citation. Thin-Walled Struct. 2009, 47, 942–952. [Google Scholar] [CrossRef]
  45. McLean, R.S.; Moore, W.W. Computation of the vibration period of steel tank towers. Bull. Seismol. Soc. Am. 1936, 26, 63–67. [Google Scholar] [CrossRef]
  46. Veletsos, A.S. Seismic response and design of liquid storage tanks. In Guidelines for the Seismic Design of Oil and Gas Pipeline Systems; ASCE Technical Council on Lifeline Earthquake Engineering: New York, NY, USA, 1984; Chapter 7; pp. 255–370, and Appendix C, 443–461. [Google Scholar]
  47. Malhotra, P.K. Seismic Response of Uplifting Liquid Storage Tanks. Ph.D. Thesis, Rice University, Houston, TX, USA, 1991. [Google Scholar]
  48. El Damatty, A.A.; El-Attar, M.; Korol, R.M. Simple design procedure for liquid-filled steel conical tanks. ASCE J. Struct. Eng. 1999, 125, 879–890. [Google Scholar] [CrossRef]
  49. Fischer, D. Dynamic fluid effects in liquid-filled flexible cylindrical tanks. Earthq. Eng. Struct. Dyn. 1979, 7, 587–601. [Google Scholar] [CrossRef]
  50. Hamdam, F.H. Seismic behaviour of cylindrical steel liquid storage tanks. J. Constr. Steel Res. 2000, 53, 307–333. [Google Scholar] [CrossRef]
  51. Rammerstorfer, F.G.; Scharf, K.; Fischer, F.D. Storage tanks under earthquake loading. Appl. Mech. Rev. 1990, 43, 261–282. [Google Scholar] [CrossRef]
  52. Vesenjak, M.; Mullerschon, H.; Hummel, A.; Ren, Z. Simulation of Fuel Sloshing—Comparative Study, LS-DYNA Anwenderforum, Bamberg, G-I-1/8. 2004. Available online: https://www.dynamore.it/de/download/papers/forum04/simulation-of-fuel-sloshing-2013-comparative-study (accessed on 30 September 2024).
  53. Faltinsen, O.M.; Rognebakke, O.F.; Lukovsky, I.A.; Timokha, A.N. Multidimensional modal analysis of nonlinear sloshing in a rectangular tank with finite water depth. J. Fluid Mech. 2000, 407, 201–234. [Google Scholar] [CrossRef]
  54. Kim, M.K.; Lim, Y.M.; Cho, S.Y.; Cho, K.H.; Lee, K.W. Seismic analysis of base-isolated liquid storage tanks using the BE-FE-BE coupling technique. Soil Dyn. Earthq. Eng. 2002, 22, 1151–1158. [Google Scholar] [CrossRef]
  55. Shao, J.R.; Li, H.Q.; Liu, G.R.; Liu, M.B. An improved SPH method for modeling liquid sloshing dynamics. Comput. Struct. 2012, 100–101, 18–26. [Google Scholar] [CrossRef]
  56. Sezen, H.; Livaoglu, R.; Dogangun, A. Dynamic analysis and seismic performance evaluation of above-ground liquid-containing tanks. Eng. Struct. 2008, 30, 794–803. [Google Scholar] [CrossRef]
  57. Ozdemir, Z.; Souli, M.; Fahjan, Y.M. Application of nonlinear fluid-structure interaction methods to seismic analysis of anchored and unanchored tanks. Eng. Struct. 2010, 32, 409–423. [Google Scholar] [CrossRef]
  58. Hallquist, J.O. LS-DYNA Keyword User’s Manual; Livermore Software Technology Corporation: Livermore, CA, USA, 2006. [Google Scholar]
  59. Belytschko, T.; Lin, J.I.; Tsay, C.S. Explicit algorithms for the nonlinear dynamics of shells. Comput. Methods Appl. Mech. Eng. 1984, 42, 225–251. [Google Scholar] [CrossRef]
  60. Manos, G.C.; Clough, R.W. Further Study of the Earthquake Response of a Broad Cylindrical Liquid-Storage Tank Model; Earthquake Engineering Research Center Report No. UCB/EERC-82/07; University of California at Berkeley: Berkeley, CA, USA, 1982. [Google Scholar]
  61. Haroun, M.A. Dynamic Analyses of Liquid Storage Tanks; Research Report EERL 80-04; California Institute of Technology: Pasadena, CA, USA, 1980. [Google Scholar]
  62. NTC2018; Norme Tecniche per le Costruzioni—Decreto Ministeriale 17 Gennaio 2018. Ministry of Infrastructures and Transport (MIT): Roma, Italy, 2018.
  63. Maley, T.J.; Roldán, R.; Lago, A.; Sullivan, T.J. Effects of Response Spectrum Shape on the Response of Steel Frame and Frame-Wall Structures; IUSS Press: Pavia, Italy, 2012. [Google Scholar]
  64. Brunesi, E.; Pavese, A.; RNascimbene, R. Seismic Performance of Above-Ground Liquid Storage Tanks. In Proceedings of the 17th World Conference on Earthquake Engineering, 17WCEE, Sendai, Japan, 27 September 2021. [Google Scholar]
Figure 1. (ac) illustrate examples of elephant’s foot buckling mechanisms, while (df) show instances of diamond-shaped buckling. These failure modes were commonly observed in the aftermath of the May 2012 Emilia seismic sequence.
Figure 1. (ac) illustrate examples of elephant’s foot buckling mechanisms, while (df) show instances of diamond-shaped buckling. These failure modes were commonly observed in the aftermath of the May 2012 Emilia seismic sequence.
Buildings 14 03212 g001
Figure 2. Anchoring system-related failure modes were observed in both flat-base and leg-supported storage tanks during the May 2012 Emilia seismic sequence. (a,b) demonstrate issues in flat-base tanks, including the fracture of anchor bolts and significant spalling of the concrete foundation at the anchorage points; (c,d) depict leg-supported tanks that suffered from a loss of verticality, primarily due to shear-buckling in the stocky, tapered support legs.
Figure 2. Anchoring system-related failure modes were observed in both flat-base and leg-supported storage tanks during the May 2012 Emilia seismic sequence. (a,b) demonstrate issues in flat-base tanks, including the fracture of anchor bolts and significant spalling of the concrete foundation at the anchorage points; (c,d) depict leg-supported tanks that suffered from a loss of verticality, primarily due to shear-buckling in the stocky, tapered support legs.
Buildings 14 03212 g002
Figure 3. The high-definition finite element (FE) model was meticulously developed to closely simulate the outcomes of shake-table tests. This advanced modeling approach was essential for accurately replicating the dynamic responses and structural behaviors observed during controlled seismic testing, providing vital insights into the performance of the structures under simulated earthquake conditions.
Figure 3. The high-definition finite element (FE) model was meticulously developed to closely simulate the outcomes of shake-table tests. This advanced modeling approach was essential for accurately replicating the dynamic responses and structural behaviors observed during controlled seismic testing, providing vital insights into the performance of the structures under simulated earthquake conditions.
Buildings 14 03212 g003
Figure 4. The tank specimen evaluated by Manos and Clough [55] is a scaled model, specifically designed to facilitate detailed study under laboratory conditions: summary of the main geometrical properties.
Figure 4. The tank specimen evaluated by Manos and Clough [55] is a scaled model, specifically designed to facilitate detailed study under laboratory conditions: summary of the main geometrical properties.
Buildings 14 03212 g004
Figure 5. The comparison of pressure time histories from numerical simulations and experimental tests conducted by Manos and Clough [55] reveals a meticulous alignment of results, affirming the robustness of the numerical models used.
Figure 5. The comparison of pressure time histories from numerical simulations and experimental tests conducted by Manos and Clough [55] reveals a meticulous alignment of results, affirming the robustness of the numerical models used.
Buildings 14 03212 g005
Figure 6. Finite element model showcases the deformed shapes of the tank at different time instants, visually demonstrating how the structure distorts in response to seismic forces (as tested by Haroun [56]).
Figure 6. Finite element model showcases the deformed shapes of the tank at different time instants, visually demonstrating how the structure distorts in response to seismic forces (as tested by Haroun [56]).
Buildings 14 03212 g006
Figure 7. Elastic acceleration displacement response spectra from recorded time histories at MRN station (NS and EW) and in accordance with the Italian building code [62].
Figure 7. Elastic acceleration displacement response spectra from recorded time histories at MRN station (NS and EW) and in accordance with the Italian building code [62].
Buildings 14 03212 g007
Figure 8. Total wall pressure distribution along the height for (a) H / R = 1.5 and (b) H / R = 3.0.
Figure 8. Total wall pressure distribution along the height for (a) H / R = 1.5 and (b) H / R = 3.0.
Buildings 14 03212 g008
Figure 9. Elastic displacement response spectra from ground motion records selected by Maley et al. [63].
Figure 9. Elastic displacement response spectra from ground motion records selected by Maley et al. [63].
Buildings 14 03212 g009
Figure 10. Wall pressure peak profiles (individual records, mean, and mean plus one standard deviation) for (a) H / R = 0.75 and R / t = 2000, (b) H / R = 1.5 and R / t = 400, and (c) H / R = 4 and R / t = 400.
Figure 10. Wall pressure peak profiles (individual records, mean, and mean plus one standard deviation) for (a) H / R = 0.75 and R / t = 2000, (b) H / R = 1.5 and R / t = 400, and (c) H / R = 4 and R / t = 400.
Buildings 14 03212 g010
Figure 11. Comparison between wall pressure peak profiles (mean and mean plus standard deviation).
Figure 11. Comparison between wall pressure peak profiles (mean and mean plus standard deviation).
Buildings 14 03212 g011
Table 1. Comparison between experimental as tested by Haroun [56] and numerical results.
Table 1. Comparison between experimental as tested by Haroun [56] and numerical results.
QuantityExperimental ValueLS-Dyna Value[%]
Max Radial Displacement (shell top) [mm]3.323.402.41
Max Meridional Compression [N/m]63,39662,2051.88
Max Base Shear [kN]1221252.46
Disclaimer/Publisher’s Note: The statements, opinions and data contained in all publications are solely those of the individual author(s) and contributor(s) and not of MDPI and/or the editor(s). MDPI and/or the editor(s) disclaim responsibility for any injury to people or property resulting from any ideas, methods, instructions or products referred to in the content.

Share and Cite

MDPI and ACS Style

Brunesi, E.; Nascimbene, R. Evaluating the Seismic Resilience of Above-Ground Liquid Storage Tanks. Buildings 2024, 14, 3212. https://doi.org/10.3390/buildings14103212

AMA Style

Brunesi E, Nascimbene R. Evaluating the Seismic Resilience of Above-Ground Liquid Storage Tanks. Buildings. 2024; 14(10):3212. https://doi.org/10.3390/buildings14103212

Chicago/Turabian Style

Brunesi, Emanuele, and Roberto Nascimbene. 2024. "Evaluating the Seismic Resilience of Above-Ground Liquid Storage Tanks" Buildings 14, no. 10: 3212. https://doi.org/10.3390/buildings14103212

APA Style

Brunesi, E., & Nascimbene, R. (2024). Evaluating the Seismic Resilience of Above-Ground Liquid Storage Tanks. Buildings, 14(10), 3212. https://doi.org/10.3390/buildings14103212

Note that from the first issue of 2016, this journal uses article numbers instead of page numbers. See further details here.

Article Metrics

Back to TopTop