Sign in to use this feature.

Years

Between: -

Subjects

remove_circle_outline
remove_circle_outline
remove_circle_outline
remove_circle_outline
remove_circle_outline
remove_circle_outline
remove_circle_outline
remove_circle_outline
remove_circle_outline

Journals

remove_circle_outline
remove_circle_outline
remove_circle_outline
remove_circle_outline
remove_circle_outline

Article Types

Countries / Regions

remove_circle_outline
remove_circle_outline
remove_circle_outline

Search Results (488)

Search Parameters:
Keywords = dynamic multi-thresholds

Order results
Result details
Results per page
Select all
Export citation of selected articles as:
18 pages, 2828 KB  
Article
KOM-SLAM: A GNN-Based Tightly Coupled SLAM and Multi-Object Tracking Framework
by Jinze Liu, Ye Tian, Yanlei Gu and Shunsuke Kamijo
Sensors 2026, 26(1), 128; https://doi.org/10.3390/s26010128 - 24 Dec 2025
Abstract
Coupled simultaneous localization and mapping (SLAM) and multi-object tracking have been studied in recent years. Although these tasks achieve promising results, they mainly associate keypoints and objects across frames separately, which limits their robustness in complex dynamic scenes. To overcome this limitation, we [...] Read more.
Coupled simultaneous localization and mapping (SLAM) and multi-object tracking have been studied in recent years. Although these tasks achieve promising results, they mainly associate keypoints and objects across frames separately, which limits their robustness in complex dynamic scenes. To overcome this limitation, we propose KOM-SLAM, a tightly coupled SLAM and multi-object tracking framework based on a Graph Neural Network (GNN), which jointly learns keypoint and object associations across frames while estimating ego-poses in a differentiable manner. The framework constructs a spatiotemporal graph over keypoints and object detections for association, and employs a multilayer perceptron (MLP) followed by a sigmoid activation that adaptively adjusts association thresholds based on ego-motion and spatial context. We apply a soft assignment on keypoints to ensure differentiable pose estimation, enabling the pose loss to supervise the association learning directly. Experiments on the KITTI Tracking demonstrate that our method achieves improved performance in both localization and object tracking. Full article
(This article belongs to the Section Intelligent Sensors)
20 pages, 2718 KB  
Article
Lightweight Power-Line Visual Detection in Agricultural UAV Scenarios Based on an Improved YOLOv12n Model
by Yi-Tong Ge, Bao-Ju Wang, Shuai Sun and Yu-Bin Lan
Sensors 2026, 26(1), 109; https://doi.org/10.3390/s26010109 - 23 Dec 2025
Abstract
To address the problems of low detection accuracy, slow inference speed, and high computational cost in power-line detection during autonomous operations of agricultural UAVs, this study proposes an improved object detection model based on YOLOv12n. A power-line dataset was constructed using real-field images [...] Read more.
To address the problems of low detection accuracy, slow inference speed, and high computational cost in power-line detection during autonomous operations of agricultural UAVs, this study proposes an improved object detection model based on YOLOv12n. A power-line dataset was constructed using real-field images supplemented with the TTPLA dataset. The lightweight EfficientNetV2 was introduced as the backbone network to replace the original backbone. In the neck, dynamic snake convolution and a multi-scale cross-axis attention mechanism were incorporated, while the region attention partitioning and residual efficient layer aggregation network from the baseline model were retained. In the head, a Mixture of Experts (MoE) layer from ParameterNet was integrated. The improved model achieved 80.07%, 43.07%, and 77.35% of the original model’s parameters, computation, and weight size, respectively. With an IoU threshold greater than 0.5, the mean average precision (mAP0.5) reached 75.5%, representing improvements of 13.53%, 15.09%, 7.5% and 7.54% over YOLOv8n, YOLOv11n, YOLOv5n, and Line-YOLO, respectively. Only inferior to RF-DETR-Nano. On mobile-end testing, the inference speed reached 88.36 FPS and exhibits the highest inference speed across all experimental models. The improved model demonstrates excellent generalization, robustness, detection accuracy, target localization, and processing speed, making it highly suitable for power-line detection in agricultural UAV applications and providing technical support for future autonomous and intelligent agricultural operations. Full article
(This article belongs to the Section Remote Sensors)
Show Figures

Figure 1

16 pages, 3409 KB  
Article
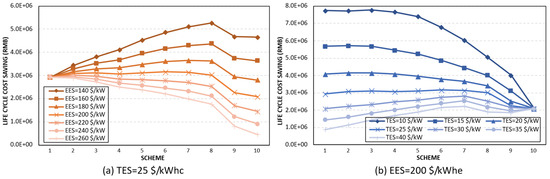
How Time-of-Use Tariffs and Storage Costs Shape Optimal Hybrid Storage Portfolio in Buildings
by Hong Tang, Yingbo Zhang and Zhuang Zheng
Buildings 2026, 16(1), 42; https://doi.org/10.3390/buildings16010042 - 22 Dec 2025
Viewed by 22
Abstract
Time-of-Use (TOU) tariffs are a primary driver for deploying demand-side energy storage, yet their specific structural characteristics, such as peak-to-valley ratios, and the presence of critical-peak pricing, can significantly influence the economic viability of hybrid storage systems. In addition, the continuous decrease in [...] Read more.
Time-of-Use (TOU) tariffs are a primary driver for deploying demand-side energy storage, yet their specific structural characteristics, such as peak-to-valley ratios, and the presence of critical-peak pricing, can significantly influence the economic viability of hybrid storage systems. In addition, the continuous decrease in storage capacity costs also constitutes a major influencing factor on storage investment portfolios. This study investigates the sensitivity of optimal hybrid storage portfolios to varying TOU tariffs and storage costs. We develop a multi-scenario optimization framework that models diverse, realistic TOU tariff structures and evaluates their impact on the life cycle economic performance of hybrid storage in a representative office building. The methodology leverages a refined daily operation optimization model that accounts for storage degradation and system efficiencies, applied across a set of typical operational days. The impacts of specific tariff parameters (e.g., peak-to-valley ratio, critical-peak pricing) and storage costs on the optimal allocation of investment between battery and cooling storage are investigated. The thresholds of tariff and capacity cost that trigger a shift in investment preference are identified. The findings provide actionable insights for policymakers on designing effective dynamic tariffs to incentivize specific storage technologies and for building owners formulating future-resilient storage investment strategies. Full article
(This article belongs to the Section Building Energy, Physics, Environment, and Systems)
Show Figures

Figure 1

30 pages, 1128 KB  
Article
Global Dynamics of a Multi-Population Water Pollutant Model with Distributed Delays
by Nada A. Almuallem and Miled El Hajji
Mathematics 2026, 14(1), 20; https://doi.org/10.3390/math14010020 - 21 Dec 2025
Viewed by 52
Abstract
This paper presents a comprehensive mathematical analysis of a novel compartmental model describing the dynamics of dispersed water pollutants and their interaction with two distinct host populations. The model is formulated as a system of integro-differential equations that incorporates multiple distributed delays to [...] Read more.
This paper presents a comprehensive mathematical analysis of a novel compartmental model describing the dynamics of dispersed water pollutants and their interaction with two distinct host populations. The model is formulated as a system of integro-differential equations that incorporates multiple distributed delays to realistically account for time lags in the infection process and pollutant transport. We rigorously establish the biological well-posedness of the model by proving the non-negativity and ultimate boundedness of solutions, confirming the existence of a positively invariant feasible region. The analysis characterizes the long-term behavior of the system through the derivation of the basic reproduction number R0d, which serves as a sharp threshold determining the system’s fate. For the model without delays, we prove the global asymptotic stability of the infection-free equilibrium (IFE) when R01 and of the endemic equilibrium (EE) when R0>1. These stability results are extended to the distributed-delay model by using sophisticated Lyapunov functionals, demonstrating that R0d universally governs the global dynamics: the IFE (E0d) is globally asymptotically stable (GAS) if R0d1, while the EE (Ed*) is GAS if R0d>1. Numerical simulations validate the theoretical findings and provide further insights. Sensitivity analysis identifies the most influential parameters on R0d, highlighting the recruitment rate of susceptible individuals, exposure rate, and pollutant shedding rate as key intervention targets. Furthermore, we investigate the impact of control measures, showing that treatment efficacy exceeding a critical value is sufficient for disease eradication. The analysis also reveals the inherent mitigating effect of the maturation delay, demonstrating that a delay longer than a critical duration can naturally suppress the outbreak. This work provides a robust mathematical framework for understanding and managing dispersed water pollution, emphasizing the critical roles of multi-source contributions, time delays, and targeted interventions for environmental sustainability. Full article
37 pages, 15016 KB  
Review
Technical Analyses of Particle Impact Simulation Methods for Modern and Prospective Coating Spraying Processes
by Yi Wang and Sergii Markovych
Coatings 2025, 15(12), 1480; https://doi.org/10.3390/coatings15121480 - 15 Dec 2025
Viewed by 170
Abstract
With the growing requirements for multi-particle process simulation, improving computational accuracy, efficiency, and scalability has become a critical challenge. This study generally focused on comprehensive analyses of existing numerical methods for simulating particle–substrate interactions in gas–thermal spraying (including gas–dynamic spraying processes), covering both [...] Read more.
With the growing requirements for multi-particle process simulation, improving computational accuracy, efficiency, and scalability has become a critical challenge. This study generally focused on comprehensive analyses of existing numerical methods for simulating particle–substrate interactions in gas–thermal spraying (including gas–dynamic spraying processes), covering both single-particle and multi-particle models to develop practical recommendations for the optimization of modern coating spraying processes. First of all, this paper systematically analyzes the key limitations of current approaches, including their inability to handle high deformations effectively or high computational complexity and their insufficient accuracy in dynamic scenarios. A comparative evaluation of four numerical methods (Lagrangian, Arbitrary Lagrangian–Eulerian (ALE), Coupled Eulerian–Lagrangian (CEL), and Smoothed Particle Hydrodynamics (SPH)) revealed their strengths and weaknesses in modeling of real gas–thermal spraying processes. Furthermore, this study identifies the limitations of the widely used Johnson–Cook (JC) constitutive model under extreme conditions. The authors considered the Zerilli–Armstrong (ZA), Mechanical Threshold Stress (MTS), and Preston–Tonks–Wallace (PTW) models as more realistic alternatives to the Jonson–Cook model. Finally, comparative analyses of theoretical and realistic deformation and defect-generation processes in gas–thermal coatings emphasize the critical need for fundamental changes in the simulation strategy for modern gas–thermal spraying processes. Full article
(This article belongs to the Section Surface Characterization, Deposition and Modification)
Show Figures

Figure 1

22 pages, 1380 KB  
Article
Selection of Optimal Cluster Head Using MOPSO and Decision Tree for Cluster-Oriented Wireless Sensor Networks
by Rahul Mishra, Sudhanshu Kumar Jha, Shiv Prakash and Rajkumar Singh Rathore
Future Internet 2025, 17(12), 577; https://doi.org/10.3390/fi17120577 - 15 Dec 2025
Viewed by 198
Abstract
Wireless sensor networks (WSNs) consist of distributed nodes to monitor various physical and environmental parameters. The sensor nodes (SNs) are usually resource constrained such as power source, communication, and computation capacity. In WSN, energy consumption varies depending on the distance between sender and [...] Read more.
Wireless sensor networks (WSNs) consist of distributed nodes to monitor various physical and environmental parameters. The sensor nodes (SNs) are usually resource constrained such as power source, communication, and computation capacity. In WSN, energy consumption varies depending on the distance between sender and receiver SNs. Communication among SNs having long distance requires significantly additional energy that negatively affects network longevity. To address these issues, WSNs are deployed using multi-hop routing. Using multi-hop routing solves various problems like reduced communication and communication cost but finding an optimal cluster head (CH) and route remain an issue. An optimal CH reduces energy consumption and maintains reliable data transmission throughout the network. To improve the performance of multi-hop routing in WSN, we propose a model that combines Multi-Objective Particle Swarm Optimization (MOPSO) and a Decision Tree for dynamic CH selection. The proposed model consists of two phases, namely, the offline phase and the online phase. In the offline phase, various network scenarios with node densities, initial energy levels, and BS positions are simulated, required features are collected, and MOPSO is applied to the collected features to generate a Pareto front of optimal CH nodes to optimize energy efficiency, coverage, and load balancing. Each node is labeled as selected CH or not by the MOPSO, and the labelled dataset is then used to train a Decision Tree classifier, which generates a lightweight and interpretable model for CH prediction. In the online phase, the trained model is used in the deployed network to quickly and adaptively select CHs using features of each node and classifying them as a CH or non-CH. The predicted nodes broadcast the information and manage the intra-cluster communication, data aggregation, and routing to the base station. CH selection is re-initiated based on residual energy drop below a threshold, load saturation, and coverage degradation. The simulation results demonstrate that the proposed model outperforms protocols such as LEACH, HEED, and standard PSO regarding energy efficiency and network lifetime, making it highly suitable for applications in green computing, environmental monitoring, precision agriculture, healthcare, and industrial IoT. Full article
(This article belongs to the Special Issue Clustered Federated Learning for Networks)
Show Figures

Figure 1

26 pages, 800 KB  
Review
SIRT3-Mediated Mitochondrial Regulation and Driver Tissues in Systemic Aging
by Kate Šešelja, Ena Šimunić, Sandra Sobočanec, Iva I. Podgorski, Marija Pinterić, Marijana Popović Hadžija, Tihomir Balog and Robert Belužić
Genes 2025, 16(12), 1497; https://doi.org/10.3390/genes16121497 - 15 Dec 2025
Viewed by 313
Abstract
Mitochondrial dysfunction is a defining hallmark of aging that connects redox imbalance, metabolic decline, and inflammatory signaling across organ systems. The mitochondrial deacetylase SIRT3 preserves oxidative metabolism and proteostasis, yet its age-related decline transforms metabolically demanding organs into sources of pro-senescent cues. This [...] Read more.
Mitochondrial dysfunction is a defining hallmark of aging that connects redox imbalance, metabolic decline, and inflammatory signaling across organ systems. The mitochondrial deacetylase SIRT3 preserves oxidative metabolism and proteostasis, yet its age-related decline transforms metabolically demanding organs into sources of pro-senescent cues. This review synthesizes evidence showing how SIRT3 loss in select “driver tissues”—notably liver, adipose tissue, vascular endothelium, bone-marrow macrophages, and ovary—initiates systemic aging through the release of cytokines, oxidized metabolites, and extracellular vesicles. We discuss molecular routes and mediators of senescence propagation, including the senescence-associated secretory phenotype (SASP), mitochondrial-derived vesicles, and circulating mitochondrial DNA, as well as sex-specific modulation of SIRT3 by hormonal and intrinsic factors. By integrating multi-tissue and sex-dependent data, we outline a framework in which SIRT3 activity defines the mitochondrial threshold separating local adaptation from systemic aging spread. Targeting SIRT3 and its NAD+-dependent network may offer a unified strategy to restore mitochondrial quality, dampen chronic inflammation, and therefore recalibrate the aging dynamics of an organism. Full article
(This article belongs to the Section Molecular Genetics and Genomics)
Show Figures

Graphical abstract

23 pages, 4862 KB  
Article
Experimental Insights into Islanding Detection in PV Inverters: Foundations for a Parallel-Operation Test Standard
by Krzysztof Chmielowiec, Aleks Piszczek and Łukasz Topolski
Sensors 2025, 25(24), 7582; https://doi.org/10.3390/s25247582 - 14 Dec 2025
Viewed by 258
Abstract
With the rapid increase in photovoltaic (PV) micro-installations in Europe, ensuring the stability and safety of the power grid has become a critical challenge. A key aspect in this context is the reliable detection of unintentional islanding by distributed energy resources. This paper [...] Read more.
With the rapid increase in photovoltaic (PV) micro-installations in Europe, ensuring the stability and safety of the power grid has become a critical challenge. A key aspect in this context is the reliable detection of unintentional islanding by distributed energy resources. This paper presents the results of metrological tests on seven commercially available three-phase and single-phase PV inverters, conducted in accordance with the requirements of the EN 50549-1 and EN 62116 standards. A dedicated test setup was developed to enable measurements following standardized procedures. The tests assessed both the response time and the effectiveness of islanding detection mechanisms under various fault scenarios, including simulations of autonomous operation of multiple inverters. The main findings indicate that while all inverters with active islanding protection successfully detected islanding within the mandated 2-s limit, their individual response times varied significantly. Parallel operation further influenced this behavior: when one inverter operated with its islanding protection intentionally disabled, the remaining units exhibited notably increased detection times, though still within regulatory thresholds. Moreover, the inverter with disabled protection was capable of sustaining stable islanded operation indefinitely under balanced load conditions. Repeated multi-inverter tests also revealed significant variability in detection time within the same scenario, demonstrating that detection dynamics are sensitive to subtle changes in operating conditions. These findings highlight important limitations of existing certification procedures, which focus primarily on single-inverter testing. Real-world interactions between simultaneously operating inverters can substantially affect detection performance. The results therefore support the need to revise and extend test standards to include controlled multi-inverter parallel-operation conditions, ensuring the safe integration of prosumer PV systems into distribution networks. Full article
Show Figures

Figure 1

38 pages, 4310 KB  
Article
Designing Trustworthy Recommender Systems: A Glass-Box, Interpretable, and Auditable Approach
by Parisa Vahdatian, Majid Latifi and Mominul Ahsan
Electronics 2025, 14(24), 4890; https://doi.org/10.3390/electronics14244890 - 12 Dec 2025
Viewed by 274
Abstract
Recommender systems are widely deployed across digital platforms, yet their opacity raises concerns about auditability, fairness, and user trust. To address the gap between predictive accuracy and model interpretability, this study proposes a glass-box architecture for trustworthy recommendation, designed to reconcile predictive performance [...] Read more.
Recommender systems are widely deployed across digital platforms, yet their opacity raises concerns about auditability, fairness, and user trust. To address the gap between predictive accuracy and model interpretability, this study proposes a glass-box architecture for trustworthy recommendation, designed to reconcile predictive performance with interpretability. The framework integrates interpretable tree ensemble model (Random Forest, XGBoost), an NLP sub-model for tag sentiment, prioritising transparency from feature engineering through to explanation. Additionally, a Reality Check mechanism enforces strict temporal separation and removes already-popular items, compelling the model to forecast latent growth signals rather than mimic popularity thresholds. Evaluated on the MovieLens dataset, the glass-box architectures demonstrated superior discrimination capabilities, with the Random Forest and XGBoost models achieving ROC-AUC scores of 0.92 and 0.91, respectively. These tree ensembles notably outperformed the standard Logistic Regression (0.89) and the neural baseline (MLP model with 0.86). Beyond accuracy, the design implements governance through a multi-layered Governance Stack: (i) attribution and traceability via exact TreeSHAP values, (ii) stability verification using ICE plots and sensitivity analysis across policy configurations, and (iii) fairness audits detecting genre and temporal bias. Dynamic threshold optimisation further improves recall for emerging items under severe class imbalance. Cross-domain validation on Amazon Electronics test dataset confirmed architectural generalisability (AUC = 0.89), demonstrating robustness in sparse, high-friction environments. These findings challenge the perceived trade-off between accuracy and interpretability, offering a practical blueprint for Safe-by-Design recommender systems that embed fairness, accountability, and auditability as intrinsic properties rather than post hoc add-ons. Full article
(This article belongs to the Special Issue Deep Learning Approaches for Natural Language Processing)
Show Figures

Figure 1

30 pages, 11447 KB  
Article
Model Modeling the Spatiotemporal Vitality of a Historic Urban Area: The CatBoost-SHAP Analysis of Built Environment Effects in Kaifeng
by Junfeng Zhang and Yaxin Shen
Buildings 2025, 15(24), 4499; https://doi.org/10.3390/buildings15244499 - 12 Dec 2025
Viewed by 357
Abstract
Analyzing the spatial patterns of vitality in historic urban areas and their influencing elements is essential for improving the vitality of historic and cultural cities and fostering sustainable urban development. This research investigated the historic urban area of Kaifeng City. Employing Baidu Huiyan [...] Read more.
Analyzing the spatial patterns of vitality in historic urban areas and their influencing elements is essential for improving the vitality of historic and cultural cities and fostering sustainable urban development. This research investigated the historic urban area of Kaifeng City. Employing Baidu Huiyan population location data, it assessed the spatial distribution of vitality on weekdays and weekends. A built environment indicator system was developed using multi-source data, and the CatBoost-SHAP model was applied to examine the nonlinear relationship between the built environment and the vitality of a historic urban area, along with the interactions among different factors. The study systematically explored the spatiotemporal dynamics of vitality and the influence mechanisms of the built environment. The results showed the following: (1) The vitality of Kaifeng’s historic urban area demonstrated significant spatiotemporal heterogeneity, exhibiting an “inner-hot, outer-cold” spatial pattern. Overall vitality levels were higher on weekends than on weekdays, with a progressive decline from morning to night. (2) Built environment factors dynamically influenced vitality across time periods. The impacts of POIM and BD shifted markedly, indicating temporal variations in vitality-driving mechanisms. (3) Synergistic interactions among built environment factors exerted nonlinear effects on urban vitality. Within reasonable threshold ranges, BSD, POID, and BD promoted vitality but exhibited diminishing marginal returns under high-density conditions. Notably, BSD played a core moderating role in multi-factor interactions. These findings reveal the complex and dynamic relationship between the built environment and historic urban vitality. They indicate that spatial governance should prioritize the synergistic integration of transportation, functions, ecology, and culture to achieve dual improvements in urban vitality and environmental quality, thereby providing important theoretical support and practical guidance for planning and spatial optimization in historic urban areas. Full article
(This article belongs to the Special Issue Sustainable Urban Development and Real Estate Analysis)
Show Figures

Figure 1

22 pages, 5334 KB  
Article
Two-Stage Multi-Label Detection Method for Railway Fasteners Based on Type-Guided Expert Model
by Defang Lv, Jianjun Meng, Gaoyang Meng, Yanni Shen, Liqing Yao and Gengqi Liu
Appl. Sci. 2025, 15(24), 13093; https://doi.org/10.3390/app152413093 - 12 Dec 2025
Viewed by 162
Abstract
Railway track fasteners, serving as critical connecting components, have a reliability that directly impacts railway operational safety. To address the performance bottlenecks of existing detection methods in handling complex scenarios with diverse fastener types and co-occurring multiple defects, this paper proposes a Type-Guided [...] Read more.
Railway track fasteners, serving as critical connecting components, have a reliability that directly impacts railway operational safety. To address the performance bottlenecks of existing detection methods in handling complex scenarios with diverse fastener types and co-occurring multiple defects, this paper proposes a Type-Guided Expert Model-based Fastener Detection and Diagnosis framework (TGEM-FDD) based on You Only Look Once (YOLO) v8. This framework follows a “type-identification-first, defect-diagnosis-second” paradigm, decoupling the complex task: the first stage employs an enhanced YOLOv8s with Deepstar, SPPF-attention, and DySample (YOLOv8s-DSD) detector integrating Deepstar Block, Spatial Pyramid Pooling Fast with Attention (SPPF-Attention), and Dynamic Sample (DySample) modules for precise fastener localization and type identification; the second stage dynamically invokes a specialized multi-label classification “expert model” based on the identified type to achieve accurate diagnosis of multiple defects. This study constructs a multi-label fastener image dataset containing 4800 samples to support model training and validation. Experimental results demonstrate that the proposed YOLOv8s-DSD model achieves a remarkable 98.5% mean average precision at an Intersection over Union threshold of 0.5 (mAP@0.5) in the first-stage task, outperforming the original YOLOv8s baseline and several mainstream detection models. In end-to-end system performance evaluation, the TGEM-FDD framework attains a comprehensive Task mean average precision (Task mAP) of 88.1% and a macro-average F1 score for defect diagnosis of 86.5%, significantly surpassing unified single-model detection and multi-task separate-head methods. This effectively validates the superiority of the proposed approach in tackling fastener type diversity and defect multi-label complexity, offering a viable solution for fine-grained component management in complex industrial scenarios. Full article
Show Figures

Figure 1

23 pages, 5506 KB  
Article
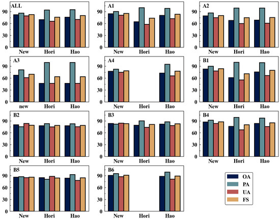
Optimizing Cloud Mask Accuracy over Snow-Covered Terrain with a Multistage Decision Tree Framework
by Qin Zhao, Xiaohua Hao, Donghang Shao, Wenzheng Ji, Guanghui Huang, Zisheng Zhao and Juan Zhang
Remote Sens. 2025, 17(24), 3992; https://doi.org/10.3390/rs17243992 - 10 Dec 2025
Viewed by 270
Abstract
High-resolution optical remote sensing imagery plays a crucial role in monitoring the Earth’s surface. However, cloud obstruction and spectral confusion between clouds and snow significantly compromise data quality and application reliability, leading to persistent cloud overestimation in optical remote sensing products. To address [...] Read more.
High-resolution optical remote sensing imagery plays a crucial role in monitoring the Earth’s surface. However, cloud obstruction and spectral confusion between clouds and snow significantly compromise data quality and application reliability, leading to persistent cloud overestimation in optical remote sensing products. To address this challenge, this study developed an enhanced multi-threshold cloud detection algorithm based on AVHRR surface reflectance data, which incorporates dynamic threshold optimization within a multi-level decision tree framework. Utilizing Landsat 5 SR as reference data, the algorithm demonstrated superior cloud-snow discrimination capability, achieving an overall accuracy (OA) of 82.08%, with the user’s accuracy (UA) and F-score reaching 79.41% and 82.55%. Comparative evaluation demonstrates that the proposed algorithm outperforms two existing algorithms, with OA improvements of 17.42% and 7.93%, respectively. A particularly notable enhancement is the significant reduction in cloud misidentification, as reflected by UA increases of 21.02% and 13.21%. These improvements are most pronounced in high-altitude mountainous regions with snow cover. The algorithm maintains computational efficiency while providing reliable cloud masking, thereby offering enhanced support for snow cover monitoring and broader environmental applications. Full article
(This article belongs to the Special Issue Remote Sensing Modelling and Measuring Snow Cover and Snow Albedo)
Show Figures

Graphical abstract

27 pages, 9001 KB  
Article
The Research on a Collaborative Management Model for Multi-Source Heterogeneous Data Based on OPC Communication
by Jiashen Tian, Cheng Shang, Tianfei Ren, Zhan Li, Eming Zhang, Jing Yang and Mingjun He
Sensors 2025, 25(24), 7517; https://doi.org/10.3390/s25247517 - 10 Dec 2025
Viewed by 345
Abstract
Effectively managing multi-source heterogeneous data remains a critical challenge in distributed cyber-physical systems (CPS). To address this, we present a novel and edge-centric computing framework integrating four key technological innovations. Firstly, a hybrid OPC communication stack seamlessly combines Client/Server, Publish/Subscribe, and P2P paradigms, [...] Read more.
Effectively managing multi-source heterogeneous data remains a critical challenge in distributed cyber-physical systems (CPS). To address this, we present a novel and edge-centric computing framework integrating four key technological innovations. Firstly, a hybrid OPC communication stack seamlessly combines Client/Server, Publish/Subscribe, and P2P paradigms, enabling scalable interoperability across devices, edge nodes, and the cloud. Secondly, an event-triggered adaptive Kalman filter is introduced; it incorporates online noise-covariance estimation and multi-threshold triggering mechanisms. This approach significantly reduces state-estimation error by 46.7% and computational load by 41% compared to conventional fixed-rate sampling. Thirdly, temporal asynchrony among edge sensors is resolved by a Dynamic Time Warping (DTW)-based data-fusion module, which employs optimization constrained by Mahalanobis distance. Ultimately, a content-aware deterministic message queue data distribution mechanism is designed to ensure an end-to-end latency of less than 10 ms for critical control commands. This mechanism, which utilizes a “rules first” scheduling strategy and a dynamic resource allocation mechanism, guarantees low latency for key instructions even under the response loads of multiple data messages. The core contribution of this study is the proposal and empirical validation of an architecture co-design methodology aimed at ultra-high-performance industrial systems. This approach moves beyond the conventional paradigm of independently optimizing individual components, and instead prioritizes system-level synergy as the foundation for performance enhancement. Experimental evaluations were conducted under industrial-grade workloads, which involve over 100 heterogeneous data sources. These evaluations reveal that systems designed with this methodology can simultaneously achieve millimeter-level accuracy in field data acquisition and millisecond-level latency in the execution of critical control commands. These results highlight a promising pathway toward the development of real-time intelligent systems capable of meeting the stringent demands of next-generation industrial applications, and demonstrate immediate applicability in smart manufacturing domains. Full article
(This article belongs to the Section Communications)
Show Figures

Figure 1

14 pages, 6141 KB  
Article
Design and Stability Evaluation of Slopes in the Sejiang Deformable Body Region Based on Experimental Data
by Dongqiang Li, Baodong Jiang, Gan Li and Chun Zhu
Designs 2025, 9(6), 143; https://doi.org/10.3390/designs9060143 - 10 Dec 2025
Viewed by 158
Abstract
In the field of engineering construction design, slope instability near water bodies remains a significant challenge. This issue is influenced by various factors, including fluid dynamics and external load disturbances. This study focuses on the design and stability evaluation of the slope in [...] Read more.
In the field of engineering construction design, slope instability near water bodies remains a significant challenge. This issue is influenced by various factors, including fluid dynamics and external load disturbances. This study focuses on the design and stability evaluation of the slope in the Sejiang deformation area of the Baala Hydropower Station, applying three advanced techniques: PS-InSAR remote sensing for dynamic slope deformation data, FLAC3D stability simulation for numerical analysis of slope stability, and FLOW-3D wave calculation for quantifying secondary wave effects caused by potential landslides. By integrating these technologies, the study provides a multi-dimensional, quantitative evaluation of the secondary disasters triggered by landslides in this region. The findings are as follows: (1) The slope in the deformation zone exhibits a long-term “stable-creep” evolution, characteristic of a “stable-creep landslide” type; (2) Sliding failure primarily occurs along the interface between the bedrock and overburden layer due to shear deformation; (3) When the deformation body, with a volume of 2.1 million cubic meters, slides into the water at a velocity of 24 m/s, the calculated maximum water level height on the opposite bank reaches approximately 2925 m, near the top elevation of the dam, but still within the project’s preset safety threshold. The design methodologies and conclusions drawn from this study offer valuable insights for evaluating and designing the stability of near-water slopes in other hydropower stations. Full article
(This article belongs to the Section Civil Engineering Design)
Show Figures

Figure 1

18 pages, 546 KB  
Review
Operationalizing Chronic Inflammation: An Endotype-to-Care Framework for Precision and Equity
by Maria E. Ramos-Nino
Clin. Pract. 2025, 15(12), 233; https://doi.org/10.3390/clinpract15120233 - 10 Dec 2025
Viewed by 260
Abstract
Background/Objectives: Chronic inflammation arises from self-reinforcing immune–metabolic circuits encompassing pattern-recognition signaling, inflammasome activation, cytokine networks, immunometabolic reprogramming, barrier–microbiome disruption, cellular senescence, and neuro–immune–endocrine crosstalk. This review synthesizes these mechanistic axes across diseases and introduces an operational endotype-to-care framework designed to translate mechanistic insights [...] Read more.
Background/Objectives: Chronic inflammation arises from self-reinforcing immune–metabolic circuits encompassing pattern-recognition signaling, inflammasome activation, cytokine networks, immunometabolic reprogramming, barrier–microbiome disruption, cellular senescence, and neuro–immune–endocrine crosstalk. This review synthesizes these mechanistic axes across diseases and introduces an operational endotype-to-care framework designed to translate mechanistic insights into precision-based, scalable, and equitable interventions. Methods: A narrative, mechanism-focused review was performed, integrating recent literature on immune–metabolic circuits, including pattern-recognition receptors, inflammasome pathways, cytokine modules, metabolic reprogramming, barrier–microbiome dynamics, senescence, and neuro–immune–endocrine signaling. Validated, low-cost screening biomarkers (hs-CRP, NLR, fibrinogen) were mapped to phenotype-guided endotyping panels and corresponding therapeutic modules, with explicit monitoring targets. Results: We present a stepwise, pragmatic pathway progressing from broad inflammatory screening to phenotype-specific endotyping (e.g., IL-6/TNF for metaflammation; ISG/IFN for autoimmunity; IL-23/17 for neutrophilic disease; IL-1β/NLRP3 or urate for crystal-driven inflammation; permeability markers for barrier–dysbiosis). Each module is paired with targeted interventions and prespecified treat-to-target outcomes: for example, achieving a reduction in hs-CRP (e.g., ~40%) within 8–12 weeks is used here as a pragmatic operational benchmark rather than a validated clinical threshold. Where feasible, cytokine and multi-omic panels further refine classification and prognostication. A tiered implementation model (essential, expanded, comprehensive) ensures adaptability and equity across clinical resource levels. Conclusions: Distinct from prior narrative reviews, this framework defines numeric triage thresholds, minimal endotype panels, and objective monitoring criteria that make chronic inflammation management operationalizable in real-world settings. It embeds principles of precision, equity, and stewardship, supporting iterative, evidence-driven implementation across diverse healthcare environments. Full article
Show Figures

Figure 1

Back to TopTop