Sign in to use this feature.

Years

Between: -

Subjects

remove_circle_outline
remove_circle_outline
remove_circle_outline
remove_circle_outline
remove_circle_outline
remove_circle_outline
remove_circle_outline
remove_circle_outline
remove_circle_outline

Journals

remove_circle_outline
remove_circle_outline
remove_circle_outline
remove_circle_outline
remove_circle_outline
remove_circle_outline

Article Types

Countries / Regions

Search Results (147)

Search Parameters:
Keywords = dynamic adaptive mesh

Order results
Result details
Results per page
Select all
Export citation of selected articles as:
20 pages, 1883 KB  
Article
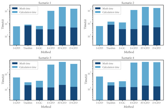
TranSim: A Transient Thermal Simulation for Sustainable Data Centers in the Running Process
by Danyang Li, Jie Song and Hui Liu
Processes 2026, 14(8), 1241; https://doi.org/10.3390/pr14081241 - 13 Apr 2026
Viewed by 252
Abstract
With the rise of computer-related fields, data centers have become essential infrastructure. Thermal analysis helps to improve data center performance and reduce data center energy consumption. Due to the variable load, the scheduling of the data center is frequent, and the thermal state [...] Read more.
With the rise of computer-related fields, data centers have become essential infrastructure. Thermal analysis helps to improve data center performance and reduce data center energy consumption. Due to the variable load, the scheduling of the data center is frequent, and the thermal state also changes frequently. However, existing thermal analysis methods have a high cost regarding mesh division and thermal calculation and cannot provide dynamic thermal simulation for data centers. To address this challenge, this paper proposes a cost-compensated spatial–temporal meshing method for transient thermal simulation (TranSim) of the data center. TranSim adaptively adjusts the mesh boundaries according to the workload gradient of a location, and it can adaptively adjust the meshing step time according to the workload change frequency in order to achieve transient simulation. Cost-compensated thermal calculation replaces the CFD model, considering air flow, by adding the thermal source, thermal medium, thermal radiation and thermal lagging in order to gain a simple thermal calculation. This paper designs an experiment for comparing TranSim with several popular data center thermal simulation methods, such as a structured mesh with a CFD model, regarding their transient effect, time cost, and error cost. The results show that TranSim has a good transient effect, low error cost (the simulation error decreases by 13.5% compared with the average error) and low time cost (the simulation time is only about 7% that of the most accurate data center thermal simulation method). Full article
Show Figures

Figure 1

36 pages, 2961 KB  
Article
A Practical Operational Framework for Congestion Management in Active Distribution Networks Using Adaptive Radial–Mesh Reconfiguration
by Thunpisit Pothinun, Pannathon Rodkumnerd, Sirote Khunkitti, Paramet Wirasanti and Neville R. Watson
Energies 2026, 19(7), 1809; https://doi.org/10.3390/en19071809 - 7 Apr 2026
Viewed by 333
Abstract
The increasing penetration of distributed energy resources (DERs), electric vehicles (EVs), and dynamic loads introduces significant operational challenges in modern distribution networks, including voltage violations, reverse power flows, and congestion. Distribution network reconfiguration (DNR) is widely used to improve network performance; however, most [...] Read more.
The increasing penetration of distributed energy resources (DERs), electric vehicles (EVs), and dynamic loads introduces significant operational challenges in modern distribution networks, including voltage violations, reverse power flows, and congestion. Distribution network reconfiguration (DNR) is widely used to improve network performance; however, most existing approaches focus primarily on radial topology optimization and rarely consider practical switching feasibility or adaptive transitions between radial and meshed configurations. This paper proposes an operational framework for congestion management based on adaptive radial–mesh reconfiguration. The framework integrates radial network optimization, temporary mesh reinforcement for congestion mitigation, and safe switching sequence validation to ensure operational feasibility. A comprehensive operational cost model incorporating power losses, time-of-use energy imports, switching operations, and on-load tap-changer actions is also developed. The proposed method is validated on a real 22 kV distribution feeder operated by the Provincial Electricity Authority in Thailand. The results demonstrate that the framework effectively mitigates congestion and reduces operational costs by 1.57–9.18% relative to baseline operation, highlighting its practical applicability in active distribution networks. Full article
Show Figures

Figure 1

25 pages, 9249 KB  
Article
Personalization of the Toyota Human Model for Safety (THUMS) Using Avatar-Driven Morphing for Biomechanical Simulations
by Ann N. Reyes, Timothy R. DeWitt and Reuben H. Kraft
Biomechanics 2026, 6(2), 37; https://doi.org/10.3390/biomechanics6020037 - 7 Apr 2026
Viewed by 248
Abstract
Background/Objectives: This paper investigates the application of radial basis function (RBF) interpolation to adapt the Toyota Human Model for Safety (THUMS) version 6 finite element (FE) models to diverse anthropometric profiles using ANSUR II data. The research focuses on generating personalized human [...] Read more.
Background/Objectives: This paper investigates the application of radial basis function (RBF) interpolation to adapt the Toyota Human Model for Safety (THUMS) version 6 finite element (FE) models to diverse anthropometric profiles using ANSUR II data. The research focuses on generating personalized human body models (HBMs) across 50th, 80th, and 98th percentiles for both sexes in standing and seated postures, evaluating mesh quality with quantitative metrics, and assessing posture-dependent transformations. Methods: The geometric accuracy for the standing configuration was quantified using DICE similarity coefficients and the 95th percentile Hausdorff distance (HD95). Results: While global whole-body DICE similarity averaged approximately 0.40 due to an inherent variability in distal limb positioning, regional analysis demonstrated strong volumetric overlap in the critical chest and torso regions with DICE values ranging from 0.80 to 0.88. Regional HD95 values were within 20–30 mm across most of the surface area. Surfaces distance analyses showed that more than 95% of the nodes were within ±20 mm of the target surfaces with the distribution centered near zero across all the percentiles. The mesh quality for both standing and seated morphs demonstrated low violation rates with the aspect ratio being 28% to 30%, while warpage, skewness and, Jacobian determinants were less than 15%. The seated morphs preserved anatomical alignment and posture despite mesh density differences between the postures. Conclusions: These findings indicate that the morphing process preserves anatomical fidelity while highlighting the need for further optimization to mitigate localized distortions in dynamic simulations. Full article
Show Figures

Figure 1

15 pages, 2341 KB  
Article
A Current-Frequency Dependent Hysteresis Model for an Entangled Metallic Wire Mesh–Magnetorheological (EMWM-MR) Composite Damper: Characterization and Inertial Flow Dominated Dissipation Mechanism
by Rong Liu, Zhilin Rao and Yiwan Wu
Appl. Sci. 2026, 16(7), 3367; https://doi.org/10.3390/app16073367 - 31 Mar 2026
Viewed by 232
Abstract
Accurate modeling of smart composite dampers is crucial for simulation and model-based control. This study focuses on the constitutive modeling of a novel damper that synergistically combines an Entangled Metallic Wire Mesh (EMWM) with a magnetorheological (MR) fluid. Unlike traditional MR dampers, the [...] Read more.
Accurate modeling of smart composite dampers is crucial for simulation and model-based control. This study focuses on the constitutive modeling of a novel damper that synergistically combines an Entangled Metallic Wire Mesh (EMWM) with a magnetorheological (MR) fluid. Unlike traditional MR dampers, the interaction between the field-responsive MR fluid and the rate-sensitive, deformable EMWM matrix introduces strong coupled current–frequency dependence. To capture this essential characteristic, a control-oriented, bivariate (current–frequency) hysteresis model is formulated, wherein all parameters are explicit, continuous functions of both the control current (I) and excitation frequency (f). A systematic two-step identification method is employed to derive these functions from dynamic tests. A key finding is that the identified damping exponent (α) consistently exceeds unity across the tested operational range. This quantitatively indicates a transition from viscous-dominated to inertial-flow-dominated dissipation within the EMWM matrix, a distinctive mechanism attributed to non-Darcian flow in its porous structure. The fully parameterized model demonstrates high fidelity (R2 > 0.99) within the characterized low-frequency, small-amplitude regime and shows reliable predictive capability for interpolated conditions. The presented model serves as a ready-to-use constitutive tool for the simulation and design of low-frequency vibration isolation systems utilizing EMWM-MR composites, and the revealed inertial flow mechanism provides fundamental insight for the development of next-generation adaptive dampers. Full article
Show Figures

Figure 1

14 pages, 1230 KB  
Proceeding Paper
Validation of Coupled Acoustic–Structural Approach for Predicting Natural Sloshing Frequencies in Tanks with Rigid and Flexible Internal Structures
by Cristiano Biagioli, Francesco Serraino, Valerio Gioachino Belardi and Francesco Vivio
Eng. Proc. 2026, 131(1), 12; https://doi.org/10.3390/engproc2026131012 - 30 Mar 2026
Viewed by 222
Abstract
In the field of study of fluid–structure interaction (FSI), sloshing dynamics play a crucial role in various engineering applications, from aerospace to civil infrastructure. Finite Volume (FV)-based Computational Fluid Dynamics (CFD) methods for modeling free surface flows like sloshing are computationally expensive, particularly [...] Read more.
In the field of study of fluid–structure interaction (FSI), sloshing dynamics play a crucial role in various engineering applications, from aerospace to civil infrastructure. Finite Volume (FV)-based Computational Fluid Dynamics (CFD) methods for modeling free surface flows like sloshing are computationally expensive, particularly because high-resolution dynamic transient simulations are required. Moreover, FSI effects are usually considered by coupling different solvers for the fluid and the structural domain, respectively, thus adding to the computational burden due to the various steps of data transfer, interpolation, and mesh adaptation needed to obtain accurate results. On the other hand, reduced-order models of sloshing effects are usually obtained by tuning equivalent mechanical models, which often neglect more complex geometries and imperfections. To address this challenge, the use of acoustic finite elements, as an alternative approach for modeling free surface flows interacting with flexible structures, has been proposed previously. Such elements are defined with the sole dynamic pressure as the nodal degree of freedom; therefore, such methods can significantly accelerate simulations to predict sloshing-induced forces and pressure distribution, taking into account the actual geometry of the structure. Due to the reduced computational time, FSI analysis with acoustic elements can serve as a viable tool for control systems and design optimization. Potential applications of this approach include structural analysis of anti-sloshing devices in rocket propellant tanks, control systems for enhanced launch stability, and seismic safety assessment of liquid storage tanks, as well as slosh-induced wall load evaluation in the fuel and water reservoir, transportation, and energy systems. Validation of FSI effects is conducted against results from partitioned two-way coupled fluid–structural simulations. The simplified frequency-prediction model was reliable for practical flexibility ranges. Overall, this work deepens our understanding of how baffle characteristics influence slosh mitigation, offering valuable guidance for anti-sloshing device engineering. Full article
Show Figures

Figure 1

28 pages, 5247 KB  
Article
Comparative Analysis of High-Fidelity and Reduced-Order Models for Nonlinear Wave–Bathymetry and Wave–Structure Interactions
by Wen-Huai Tsao and Christopher E. Kees
J. Mar. Sci. Eng. 2026, 14(7), 594; https://doi.org/10.3390/jmse14070594 - 24 Mar 2026
Viewed by 318
Abstract
This paper presents a computational study of wave–bathymetry and wave–structure interaction problems using advanced numerical techniques based on high-fidelity, two-phase Navier–Stokes (TpNS) flow and reduced-order, fully nonlinear potential flow models. For high-fidelity simulations, the TpNS equations are discretized using the finite-element method, with [...] Read more.
This paper presents a computational study of wave–bathymetry and wave–structure interaction problems using advanced numerical techniques based on high-fidelity, two-phase Navier–Stokes (TpNS) flow and reduced-order, fully nonlinear potential flow models. For high-fidelity simulations, the TpNS equations are discretized using the finite-element method, with free-surface evolution captured through a hybrid level-set (LS) and volume-of-fluid (VOF) formulation. A monolithic, phase-conservative LS equation is introduced to mitigate mass loss and interface smearing, combined with a semi-implicit projection scheme. Hydrodynamic forces are resolved using a high-order, phase-resolving cut finite-element method (CutFEM), which enables the representation of complex solid geometries within a fixed background mesh. An equivalent polynomial of Heaviside and Dirac distributions ensures accurate evaluation of surface and volume integrals. Hence, no explicit generation of cut cell meshes, adaptive quadrature, or local refinement is required. For reduced-order modeling, a fast regularized boundary integral method (RBIM) is employed to solve the fully nonlinear potential flow. Singular and near-singular integrals are treated using a subtract-and-addition technique based on auxiliary functions derived from Stokes’ theorem, allowing direct application of high-order quadrature without conventional boundary element discretization. An arbitrary Lagrangian–Eulerian (ALE) formulation is adopted to enforce free-surface boundary conditions while avoiding excessive mesh distortion. The proposed approaches are applied to investigate highly nonlinear wave transformation over complex bathymetry and wave-induced dynamics of floating structures, including eddy-making damping effects. Numerical results are validated against experimental measurements. These two modeling approaches represent complementary levels of physical fidelity and computational efficiency, and their systematic comparison clarifies the trade-offs between computational accuracy, efficiency, and cost for practical marine problems. Full article
(This article belongs to the Special Issue Wave–Structure–Seabed Interaction)
Show Figures

Figure 1

23 pages, 27373 KB  
Article
When Reality Meets Practice: Challenges and Pitfalls in 3D Digitization Using Structured Light Scanning and Photogrammetry in Cultural Heritage
by Eleftheria Iakovaki, Markos Konstantakis, Ioannis Giaourtsakis, Evangelia Rentoumi, Dimitrios Protopapas, Christos Psarras and Efterpi Koskeridou
Information 2026, 17(3), 237; https://doi.org/10.3390/info17030237 - 1 Mar 2026
Viewed by 762
Abstract
Three-dimensional (3D) digitization has become a central methodological pillar in cultural heritage documentation, conservation support, and dissemination. Despite the maturity of image-based photogrammetry and active sensing technologies, real-world digitization campaigns frequently diverge from idealized workflows due to constraints related to object accessibility, surface [...] Read more.
Three-dimensional (3D) digitization has become a central methodological pillar in cultural heritage documentation, conservation support, and dissemination. Despite the maturity of image-based photogrammetry and active sensing technologies, real-world digitization campaigns frequently diverge from idealized workflows due to constraints related to object accessibility, surface properties, lighting conditions, and operational feasibility. As a result, practitioners are often required to adapt acquisition and processing strategies dynamically, balancing geometric fidelity, visual quality, and practical limitations. This study presents a practice-oriented analysis of applied digitization workflows conducted in controlled indoor and museum environments, focusing on fragile and optically challenging cultural and paleontological objects. Structured light scanning, DSLR-based photogrammetry, and hybrid approaches were systematically explored. While structured light scanning offered high nominal resolution, its performance proved sensitive to material properties and surface behavior, leading to incomplete or unstable reconstructions in several cases. Photogrammetric workflows, when supported by controlled acquisition setups, yielded robust and visually coherent results for the majority of objects. For cases where conventional photogrammetry underperformed, alternative AI-assisted image-based reconstruction pipelines were evaluated as complementary solutions. Rather than emphasizing only successful outcomes, the paper documents recurring failure modes, decision-making trade-offs, and breakdown points across acquisition, alignment, meshing, and texturing stages. Empirical observations are synthesized into qualitative comparisons and decision-support tables, highlighting the conditions under which specific digitization strategies succeed or fail. The findings underscore that hybrid workflows, while theoretically advantageous, can amplify integration complexity and error propagation if not carefully constrained. By foregrounding practical constraints and adaptive methodological choices, this work contributes a transparent, experience-driven perspective on cultural heritage digitization, supporting more resilient planning and informed decision-making in future documentation and conservation projects. Full article
(This article belongs to the Special Issue Techniques and Data Analysis in Cultural Heritage, 2nd Edition)
Show Figures

Figure 1

18 pages, 20327 KB  
Article
Purely Physics-Driven Neural Networks for Tracking the Spatiotemporal Evolution of Time-Dependent Flow
by Chuyu Zhou, Yuxin Liu, Guoguo Xin, Pengyu Nan and Hangzhou Yang
Appl. Sci. 2026, 16(5), 2294; https://doi.org/10.3390/app16052294 - 27 Feb 2026
Viewed by 361
Abstract
As a mesh-free solving paradigm, Physics-Informed Neural Networks (PINNs) demonstrate potential in both forward and inverse problems by embedding physical equations into the loss function. However, they still face challenges in capturing the spatiotemporal evolution of complex physical processes. When applied to time-dependent [...] Read more.
As a mesh-free solving paradigm, Physics-Informed Neural Networks (PINNs) demonstrate potential in both forward and inverse problems by embedding physical equations into the loss function. However, they still face challenges in capturing the spatiotemporal evolution of complex physical processes. When applied to time-dependent complex flows, such as high-Reynolds-number cylinder flow, they often rely on supervised data, which is frequently difficult to obtain accurately in practice. To address these issues, this paper proposes a novel unsupervised solving framework—the Adaptive Hard-Constraint Physics-Informed Neural Network (AHC-PINN). This method integrates an adaptive sampling mechanism based on partial differential equation residuals with a hard-constraint strategy. By dynamically evaluating the contribution of collocation points to the loss and incorporating analytically embedded boundary constraints, it directs the network training entirely toward solving the governing equations. Using two-dimensional unsteady cylinder flow as a validation case, experimental results show that AHC-PINN significantly improves the prediction accuracy of wake evolution under unsupervised conditions. Its performance surpasses that of traditional soft-constraint PINNs by an order of magnitude and is even superior to methods using sparse supervised data. Furthermore, through analysis of the PDE loss and gradient distribution, the study explicitly identifies the impact of large-gradient regions on PINN training stability and prediction accuracy, providing a basis for subsequent optimization. Full article
(This article belongs to the Section Computing and Artificial Intelligence)
Show Figures

Figure 1

9 pages, 1830 KB  
Communication
Adaptive Routing for Meshed QKD Networks of Flexible Size Using Deep Reinforcement Learning
by Tim Johann, Sebastian Kühl and Stephan Pachnicke
Photonics 2026, 13(2), 198; https://doi.org/10.3390/photonics13020198 - 16 Feb 2026
Viewed by 439
Abstract
Quantum Key Distribution (QKD) networks guarantee information-theoretical security of exchanged keys, but key rates are still limited. This makes efficient and adaptive routing a critical challenge, especially in meshed topologies without quantum repeaters. Conventional shortest path routing approaches struggle to cope with dynamic [...] Read more.
Quantum Key Distribution (QKD) networks guarantee information-theoretical security of exchanged keys, but key rates are still limited. This makes efficient and adaptive routing a critical challenge, especially in meshed topologies without quantum repeaters. Conventional shortest path routing approaches struggle to cope with dynamic key store filling levels and changes in network topologies, which leads to load imbalance and blocked connections. In this work, we propose an adaptive routing framework based on Deep Reinforcement Learning (DRL) for hop-wise end-to-end routing in unknown meshed QKD networks. The agent leverages Graph Attention Networks (GATs) to process the network states of varying topologies, enabling generalization across previously unseen meshed networks without topology-specific retraining. The agent is trained on random graphs with 10 to 20 nodes and learns a routing policy that explicitly balances key consumption across the network by utilizing a reward function that is based on the entropy of key store filling levels. We evaluate the proposed approach on the 14-node NSFNET topology under time-varying traffic demands. Simulation results demonstrate that the DRL-based routing significantly outperforms hop-based and weighted shortest path benchmarks, achieving up to a 18.7% increase in mean key store filling levels while completely avoiding key store depletion. These results highlight the potential of graph-based DRL methods for scalable, adaptive, and resource-efficient routing in future QKD networks. Full article
(This article belongs to the Special Issue Machine Learning and Artificial Intelligence for Optical Networks)
Show Figures

Figure 1

12 pages, 874 KB  
Proceeding Paper
Smart Pavement Systems with Embedded Sensors for Traffic and Environmental Monitoring
by Wai Yie Leong
Eng. Proc. 2025, 120(1), 12; https://doi.org/10.3390/engproc2025120012 - 29 Jan 2026
Viewed by 1638
Abstract
The evolution of next-generation urban infrastructure necessitates the deployment of intelligent pavement systems capable of real-time data acquisition, adaptive response, and predictive analytics. This article presents the design, implementation, and performance evaluation of the smart pavement system incorporating multimodal embedded sensors for traffic [...] Read more.
The evolution of next-generation urban infrastructure necessitates the deployment of intelligent pavement systems capable of real-time data acquisition, adaptive response, and predictive analytics. This article presents the design, implementation, and performance evaluation of the smart pavement system incorporating multimodal embedded sensors for traffic density analysis, structural health monitoring, and environmental surveillance. SPS integrates piezoelectric transducers, micro-electro-mechanical system accelerometers, inductive loop coils, fiber Bragg grating (FBG) sensors, and capacitive moisture and temperature sensors within the asphalt and sub-base layers, forming a distributed sensor network that interfaces with an edge-AI-enabled data acquisition and control module. Each sensor node performs localized pre-processing using low-power microcontrollers and transmits spatiotemporal data to a centralized IoT gateway over an adaptive mesh topology via long-range wide-area network or 5G-Vehicle-to-Everything protocols. Data fusion algorithms employing Kalman filters, sensor drift compensation models, and deep convolutional recurrent neural networks enable accurate classification of vehicular loads, traffic, and anomaly detection. Additionally, the system supports real-time air pollutant detection (e.g., NO2, CO, and PM2.5) using embedded electrochemical and optical gas sensors linked to mobile roadside units. Field deployments on a 1.2 km highway testbed demonstrate the system’s capability to achieve 95.7% classification accuracy for vehicle type recognition, ±1.5 mm resolution in rut depth measurement, and ±0.2 °C thermal sensitivity across dynamic weather conditions. Predictive analytics driven by long short-term memory networks yield a 21.4% improvement in maintenance planning accuracy, significantly reducing unplanned downtimes and repair costs. The architecture also supports vehicle-to-infrastructure feedback loops for adaptive traffic signal control and incident response. The proposed SPS architecture demonstrates a scalable and resilient framework for cyber-physical infrastructure, paving the way for smart cities that are responsive, efficient, and sustainable. Full article
(This article belongs to the Proceedings of 8th International Conference on Knowledge Innovation and Invention)
Show Figures

Figure 1

22 pages, 8359 KB  
Article
Unsteady Aerodynamics of Continuously Morphing Airfoils from Transonic to Hypersonic Regimes
by Linyi Zhi, Renqing Zhai, Yu Yang, Xintong Shi and Zhigang Wang
Aerospace 2026, 13(1), 103; https://doi.org/10.3390/aerospace13010103 - 21 Jan 2026
Viewed by 477
Abstract
Designing high-speed aircraft for wide-speed-range operation remains a major aerodynamic challenge. This study investigates the unsteady aerodynamics of a continuously morphing airfoil from transonic to hypersonic regimes. A smooth morphing trajectory is constructed among transonic, supersonic, and hypersonic baseline shapes, and analyzed via [...] Read more.
Designing high-speed aircraft for wide-speed-range operation remains a major aerodynamic challenge. This study investigates the unsteady aerodynamics of a continuously morphing airfoil from transonic to hypersonic regimes. A smooth morphing trajectory is constructed among transonic, supersonic, and hypersonic baseline shapes, and analyzed via high-fidelity unsteady Reynolds-averaged Navier–Stokes (URANS) simulations with a radial basis function (RBF) dynamic mesh. Two processes are examined: pure geometric morphing at fixed Mach numbers (Ma), and morphing coupled with flight acceleration. Key findings reveal two distinct adaptation features: (1) Transonic flow is highly sensitive to morphing (28.8% drop in lift-to-drag ratio), while supersonic flow is robust (<5% variation). (2) During coupled acceleration, the flow transitions smoothly—the shock evolves from a detached bow wave to an attached oblique structure, and the adaptive airfoil maintains a lift-to-drag ratio above 4 across Ma = 0.8–6. Additionally, wake vorticity transitions from organized shear layers to multi-scale clusters. These results elucidate the flow physics mechanism of continuous morphing and provide a framework for designing adaptive wide-speed-range aircraft. Full article
Show Figures

Figure 1

36 pages, 9776 KB  
Article
Signal Timing Optimization Method for Intersections Under Mixed Traffic Conditions
by Hongwu Li, Yangsheng Jiang and Bin Zhao
Algorithms 2026, 19(1), 71; https://doi.org/10.3390/a19010071 - 14 Jan 2026
Cited by 1 | Viewed by 416
Abstract
The increasing proliferation of new energy vehicles and autonomous vehicles has led to the formation of mixed traffic flows characterized by diverse driving behaviors, posing new challenges for intersection signal control. To address this issue, this study proposes a multi-class customer feedback queuing [...] Read more.
The increasing proliferation of new energy vehicles and autonomous vehicles has led to the formation of mixed traffic flows characterized by diverse driving behaviors, posing new challenges for intersection signal control. To address this issue, this study proposes a multi-class customer feedback queuing network (MCFFQN) model that incorporates state-dependent road capacity and congestion propagation mechanisms to accurately capture the stochastic and dynamic nature of mixed traffic flows. An evaluation framework for intersection performance is established based on key indicators such as vehicle delay, the energy consumption of new energy vehicles, and the fuel consumption and emissions of conventional vehicles. A recursive solution algorithm is developed and validated through simulations under various traffic demand scenarios. Building on this model, a signal timing optimization model aimed at minimizing total costs—including delay and environmental impacts—is formulated and solved using the Mesh Adaptive Direct Search (MADS) algorithm. A case study demonstrates that the optimized signal timing scheme significantly enhances intersection performance, reducing vehicle delay, energy consumption, fuel consumption, and emissions by over 20%. The proposed methodology provides a theoretical foundation for sustainable traffic management under mixed traffic conditions. Full article
Show Figures

Figure 1

24 pages, 11080 KB  
Article
Graph-Based and Multi-Stage Constraints for Hand–Object Reconstruction
by Wenrun Wang, Jianwu Dang, Yangping Wang and Hui Yu
Sensors 2026, 26(2), 535; https://doi.org/10.3390/s26020535 - 13 Jan 2026
Viewed by 331
Abstract
Reconstructing hand and object shapes from a single view during interaction remains challenging due to severe mutual occlusion and the need for high physical plausibility. To address this, we propose a novel framework for hand–object interaction reconstruction based on holistic, multi-stage collaborative optimization. [...] Read more.
Reconstructing hand and object shapes from a single view during interaction remains challenging due to severe mutual occlusion and the need for high physical plausibility. To address this, we propose a novel framework for hand–object interaction reconstruction based on holistic, multi-stage collaborative optimization. Unlike methods that process hands and objects independently or apply constraints as late-stage post-processing, our model progressively enforces physical consistency and geometric accuracy throughout the entire reconstruction pipeline. Our network takes an RGB-D image as input. An adaptive feature fusion module first combines color and depth information to improve robustness against sensing uncertainties. We then introduce structural priors for 2D pose estimation and leverage texture cues to refine depth-based 3D pose initialization. Central to our approach is the iterative application of a dense mutual attention mechanism during sparse-to-dense mesh recovery, which dynamically captures interaction dependencies while refining geometry. Finally, we use a Signed Distance Function (SDF) representation explicitly designed for contact surfaces to prevent interpenetration and ensure physically plausible results. Through comprehensive experiments, our method demonstrates significant improvements on the challenging ObMan and DexYCB benchmarks, outperforming state-of-the-art techniques. Specifically, on the ObMan dataset, our approach achieves hand CDh and object CDo metrics of 0.077 cm2 and 0.483 cm2, respectively. Similarly, on the DexYCB dataset, it attains hand CDh and object CDo values of 0.251 cm2 and 1.127 cm2, respectively. Full article
(This article belongs to the Section Sensing and Imaging)
Show Figures

Figure 1

25 pages, 6089 KB  
Article
A Study on a Dynamic Model and Calculation Method of Wellbore Temperature in Ultra-Deep Wells
by Jianguo Zhao, Han Zhang, Yang Wang, Xinfeng Liu and Pingan Wang
Energies 2026, 19(2), 319; https://doi.org/10.3390/en19020319 - 8 Jan 2026
Viewed by 502
Abstract
With growing global energy demand, deep and ultra-deep wells have become a focal point in oil and gas development. Wellbore temperature variations significantly impact drilling and completion operations in such wells. To analyze the temperature distribution in ultra-deep wellbores, a numerical model based [...] Read more.
With growing global energy demand, deep and ultra-deep wells have become a focal point in oil and gas development. Wellbore temperature variations significantly impact drilling and completion operations in such wells. To analyze the temperature distribution in ultra-deep wellbores, a numerical model based on the Gauss–Seidel iterative algorithm was developed. This model explicitly accounts for the convective heat transfer coefficient and the distinct thermophysical properties of drilling fluids in both the drill string and the annulus. By employing adaptive meshing, it significantly enhances computational efficiency while ensuring accuracy. This study investigated the influence of key parameters—including drilling fluid density, specific heat capacity, drill pipe thermal conductivity, and formation properties—on bottom-hole temperature. The results show that the average deviation between the actual wellbore temperature and the model-predicted temperature is 0.5%. The heat transfer dynamics model for ultra-deep wells is validated by the close agreement between theoretical predictions and field data. This study offers a valuable theoretical basis for wellbore temperature management and the control of drilling fluid cooling systems, supporting safer and more efficient development of ultra-deep resources. Full article
Show Figures

Figure 1

30 pages, 16381 KB  
Article
Research on Ship Hull Hybrid Surface Mesh Generation Algorithm Based on Ship Surface Curvature Features
by Wenyang Duan, Peixin Zhang, Kuo Yang, Limin Huang, Yuanqing Sun and Jikang Chen
J. Mar. Sci. Eng. 2026, 14(1), 8; https://doi.org/10.3390/jmse14010008 - 19 Dec 2025
Viewed by 540
Abstract
Mesh generation is a critical preprocessing step in Computational Fluid Dynamics. In ship hydrodynamics, existing mesh generation methods lack adaptability to complex hull surface geometries, necessitating repeated optimization. To address these issues, a new hybrid mesh generation strategy was proposed, integrating Non-Uniform Rational [...] Read more.
Mesh generation is a critical preprocessing step in Computational Fluid Dynamics. In ship hydrodynamics, existing mesh generation methods lack adaptability to complex hull surface geometries, necessitating repeated optimization. To address these issues, a new hybrid mesh generation strategy was proposed, integrating Non-Uniform Rational B-Spline surface interpolation, advancing front technique, hull surface curvature features, and mesh quality evaluation parameters. Firstly, the ship hull surface was partitioned into multiple regions, and each region was assigned a specific mesh type. Subsequently, the adaptively sized mesh was generated based on local curvature variations. Finally, the angle skewness was employed as an objective function to improve the mesh quality. In addition, considering the actual ship model as an example, the mesh generated by our method and conventional Laplacian smoothing method were used to perform first-order potential flow simulations, and the results were compared against the convergence values. The results indicated that our method has lower root mean square errors in computing the total non-viscous force, steady drift force and ship hull free floating Response Amplitude Operator. This method is applicable to numerical simulations of the ship potential flow, providing high-quality hull meshes for hydrodynamic analysis. Full article
(This article belongs to the Section Ocean Engineering)
Show Figures

Figure 1

Back to TopTop