Sign in to use this feature.

Years

Between: -

Subjects

remove_circle_outline
remove_circle_outline
remove_circle_outline
remove_circle_outline
remove_circle_outline
remove_circle_outline
remove_circle_outline
remove_circle_outline
remove_circle_outline

Journals

remove_circle_outline
remove_circle_outline
remove_circle_outline
remove_circle_outline
remove_circle_outline

Article Types

Countries / Regions

remove_circle_outline
remove_circle_outline
remove_circle_outline
remove_circle_outline

Search Results (725)

Search Parameters:
Keywords = dual antennas

Order results
Result details
Results per page
Select all
Export citation of selected articles as:
20 pages, 3939 KB  
Article
Quad-Band Truncated Square-Shaped MIMO Terahertz Antenna for Beyond 5G and 6G Communications
by Jeremiah O. Abolade, Pradeep Kumar and Dominic B. O. Konditi
Technologies 2026, 14(1), 59; https://doi.org/10.3390/technologies14010059 (registering DOI) - 13 Jan 2026
Abstract
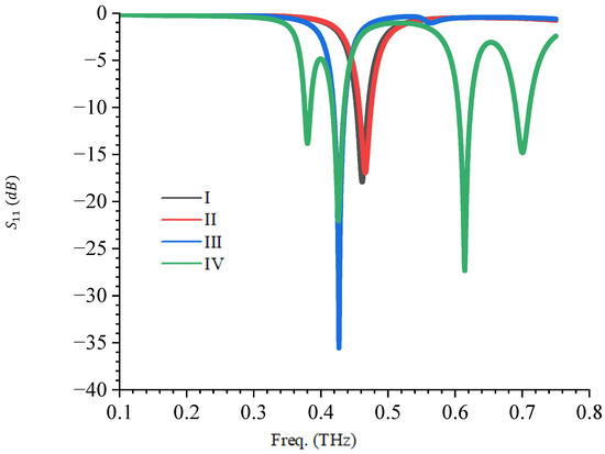
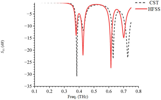
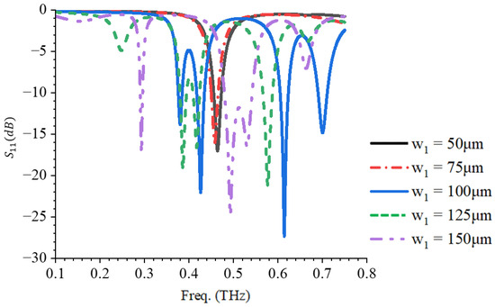
A compact quad-band multiple-input multiple-output (MIMO) antenna for terahertz communications is presented in this work. The proposed antenna consists of a truncated square patch with inverted-U-shaped and C-shaped slots. The operating frequencies of the proposed antenna are 0.38 THz, 0.43 THz, 0.61 THz, [...] Read more.
A compact quad-band multiple-input multiple-output (MIMO) antenna for terahertz communications is presented in this work. The proposed antenna consists of a truncated square patch with inverted-U-shaped and C-shaped slots. The operating frequencies of the proposed antenna are 0.38 THz, 0.43 THz, 0.61 THz, and 0.7 THz, with reflection coefficients of −13.8 dB, −22.1 dB, −27.3 dB, and −14.8 dB, respectively, and a −10 dB impedance bandwidth of 9 GHz, 18 GHz, 18 GHz, and 21 GHz, respectively. The peak gain values of a single element antenna at 0.38 THz, 0.43 THz, 0.61 THz, and 0.7 THz are 3.3 dB, 4.8 dB, 4.7 dB, and 5.5 dB, respectively. The dual-triangular MIMO configuration was investigated. The peak gains of the MIMO configurations at 0.38 THz, 0.43 THz, 0.61 THz, and 0.7 THz are 10.6 dB, 12.2 dB, 15.6 dB, and 15.2 dB, respectively. The envelope correlation coefficient (ECC) and the diversity gain (DG) of the proposed antenna were investigated and are presented herein. The proposed MIMO antenna demonstrates lower coupling and higher isolation at the operating frequency bands. Therefore, it is a suitable candidate for beyond 5G and 6G wireless communications applications, such as for nanodevices used in the internet of things and in wearables. Full article
Show Figures

Figure 1

12 pages, 707 KB  
Article
Intelligent Vehicle Repeater for Satellite Networks: A Promising Device for Tourists and Explorers Without Terrestrial Networks
by Yitao Li and Conglu Huang
Telecom 2026, 7(1), 8; https://doi.org/10.3390/telecom7010008 - 7 Jan 2026
Viewed by 86
Abstract
Existing vehicle-mounted satellite terminals primarily rely on mechanical or purely analog electronically steered antennas. They lack protocol-level relay capability and usually provide only short-range hotspot connectivity. These limitations make it difficult for such systems to deliver stable, high-throughput satellite access for personal mobile [...] Read more.
Existing vehicle-mounted satellite terminals primarily rely on mechanical or purely analog electronically steered antennas. They lack protocol-level relay capability and usually provide only short-range hotspot connectivity. These limitations make it difficult for such systems to deliver stable, high-throughput satellite access for personal mobile devices in dynamic vehicular environments, especially in remote regions without terrestrial networks. This paper proposes an intelligent vehicle repeater for satellite networks (IVRSN) that builds a dedicated satellite–vehicle–device relay architecture. It enables reliable broadband connectivity for conventional mobile terminals without requiring specialized satellite hardware. The IVRSN consists of three key technical components. Firstly, a dual-mode relay coverage mechanism is designed to support energy-efficient in-vehicle access and extended out-of-vehicle coverage. Secondly, a DoA-assisted, attitude-compensated hybrid beamforming scheme is developed. It combines subspace-based direction estimation with inertial sensor measurements to maintain high-precision satellite pointing under vehicle dynamics. Finally, a bidirectional protocol conversion module is introduced to ensure compatibility between ground wireless protocols and satellite link-layer formats with integrity-checked data forwarding. Compared to existing solutions, the proposed IVRSN provides higher stability and broader device compatibility, making it a feasible solution for high-speed, high-quality communications in remote or disaster regions. Full article
Show Figures

Figure 1

13 pages, 15829 KB  
Article
A Dual-Band Full-Polarized Annular-Ring Slot Antenna with High Polarization Isolation
by Xuenan Wang, Hongcheng Zhou, Yong Bao, Yan Hu, Xiaoqing Xing, Mian Zhong and Chao Zhou
Symmetry 2026, 18(1), 98; https://doi.org/10.3390/sym18010098 - 6 Jan 2026
Viewed by 174
Abstract
This paper proposes a dual-band, full-polarized (dual-sense circular polarization and arbitrary linear polarization) annular-ring slot antenna centered at 2.4 GHz and 5.8 GHz, which effectively overcomes the limitations of narrow bandwidth and limited polarization diversity in conventional designs. By employing an eccentric annular-ring [...] Read more.
This paper proposes a dual-band, full-polarized (dual-sense circular polarization and arbitrary linear polarization) annular-ring slot antenna centered at 2.4 GHz and 5.8 GHz, which effectively overcomes the limitations of narrow bandwidth and limited polarization diversity in conventional designs. By employing an eccentric annular-ring slot and two orthogonal 50-ohm patches, the antenna achieves dual-band circular polarization (CP) radiation with single-port feeding. Based on the theory of orthogonal dual-circular polarization synthesis, arbitrary linear polarization (LP) can be generated by adjusting the phase difference when both ports are fed. The measured results show that the 10 dB return loss bandwidth of LP spans 2–2.8 GHz (relative bandwidth of 33.3%) and 4.5–7.5 GHz (relative bandwidth of 50%), with polarization isolation exceeding 50 dB. For CP mode, the measured bandwidth (for 10 dB return loss and 3 dB axial ratio) ranges from 2.24 to 2.58 GHz (relative bandwidth of 14.1%) and from 5.1 to 6.6 GHz (relative bandwidth of 25.64%), with polarization isolation greater than 15 dB. The proposed antenna simultaneously features a high frequency ratio (2.42), full polarization, high polarization isolation, a low profile (0.008 λ0), and bidirectional radiation, which can meet the urgent demand of modern information systems for dual-band, full-polarized antennas. Full article
(This article belongs to the Section Engineering and Materials)
Show Figures

Figure 1

11 pages, 6382 KB  
Article
A Compact Button Antenna with Dual-Band and Dual-Polarization for Wearable Body Area Networks
by Xue-Ping Li, Zhen-Yong Dong, Xue-Qing Yang, Meng-Bing Yang, Xiao-Ya Li, Xi-Qiao Wu and Wei Li
Micromachines 2026, 17(1), 28; https://doi.org/10.3390/mi17010028 - 26 Dec 2025
Viewed by 233
Abstract
This paper presents a compact, dual-band, dual-polarization button antenna for Wireless Body Area Networks (WBANs) that operates in the 2.45 GHz and 5.8 GHz Industrial, Scientific, and Medical (ISM) bands. The antenna is engineered in the lower band from 2.33 to 2.8 GHz [...] Read more.
This paper presents a compact, dual-band, dual-polarization button antenna for Wireless Body Area Networks (WBANs) that operates in the 2.45 GHz and 5.8 GHz Industrial, Scientific, and Medical (ISM) bands. The antenna is engineered in the lower band from 2.33 to 2.8 GHz (18.3% fractional bandwidth) as a linearly polarized, top-loaded monopole, which provides an omnidirectional radiation pattern for on-body communication. In contrast, it functions as a cross-dipole in the higher band, achieving a fractional bandwidth of 66.4% (4.8–9.57 GHz) and a 3 dB axial ratio (AR) bandwidth of 57.4%, producing a broadside radiation with circular polarization for off-body communications. Prototype measurements in both free-space and on-body settings confirm the antenna’s robust performance, successfully validating its dual-band operation, dual-polarization characteristics. Furthermore, Specific Absorption Rate (SAR) simulations conducted on a human model demonstrate that the values are significantly below the established safety limits, confirming the antenna’s suitability for practical wearable applications. Full article
(This article belongs to the Section E:Engineering and Technology)
Show Figures

Figure 1

25 pages, 3667 KB  
Article
Robust Low-Complexity WMMSE Precoding Under Imperfect CSI with Per-Antenna Power Constraints
by Zijiao Guo, Vaskar Sen and Honggui Deng
Sensors 2026, 26(1), 159; https://doi.org/10.3390/s26010159 - 25 Dec 2025
Viewed by 319
Abstract
Weighted sum-rate (WSR) maximization in downlink massive multi-user multiple-input (MU-MIMO) with per-antenna power constraints (PAPCs) and imperfect channel state information (CSI) is computationally challenging. Classical weighted minimum mean-square error (WMMSE) algorithms, in particular, have per-iteration costs that scale cubically with the number of [...] Read more.
Weighted sum-rate (WSR) maximization in downlink massive multi-user multiple-input (MU-MIMO) with per-antenna power constraints (PAPCs) and imperfect channel state information (CSI) is computationally challenging. Classical weighted minimum mean-square error (WMMSE) algorithms, in particular, have per-iteration costs that scale cubically with the number of base-station antennas. This article proposes a robust low-complexity WMMSE-based precoding framework (RLC-WMMSE) tailored for massive MU-MIMO downlink under PAPCs and stochastic CSI mismatch. The algorithm retains the standard WMMSE structure but incorporates three key enhancements: a diagonal dual-regularization scheme that enforces PAPCs via a lightweight projected dual ascent with row-wise safety projection; a Woodbury-based transmit update that replaces the dominant M×M inversion with an (NK)×(NK) symmetric positive-definite solve, greatly reducing the per-iteration complexity; and a hybrid switching mechanism with adaptive damping that blends classical and low-complexity updates to improve robustness and convergence under channel estimation errors. We also analyze computational complexity and signaling overhead for both TDD and FDD deployments. Simulation results over i.i.d. and spatially correlated channels show that the proposed RLC-WMMSE scheme achieves WSR performance close to benchmark WMMSE-PAPCs designs while providing substantial runtime savings and strictly satisfying the per-antenna power limits. These properties make RLC-WMMSE a practical and scalable precoding solution for large-scale MU-MIMO systems in future wireless sensor and communication networks. Full article
Show Figures

Figure 1

27 pages, 31145 KB  
Article
Design and Data-Efficient Optimization of a Dual-Band Microstrip Planar Yagi Antenna for Sub-6 GHz 5G and Cellular Vehicle-to-Everything Communication
by Dipon Saha and Illani Mohd Nawi
Electronics 2026, 15(1), 23; https://doi.org/10.3390/electronics15010023 - 22 Dec 2025
Viewed by 180
Abstract
The booming number of electric vehicles (EVs) and autonomous vehicles is driving the demand for the development of 5G and connected vehicle technologies. However, the design of compact, multi-band vehicular antennas with multiple communication standard support is complex. Traditional experience-based and parameter-sweeping approaches [...] Read more.
The booming number of electric vehicles (EVs) and autonomous vehicles is driving the demand for the development of 5G and connected vehicle technologies. However, the design of compact, multi-band vehicular antennas with multiple communication standard support is complex. Traditional experience-based and parameter-sweeping approaches to antenna optimization are often inefficient and limited in scalability, while machine learning-based methods require extensive datasets, which are computationally intensive. This study proposes a microstrip planar Yagi antenna optimized for Sub-6 GHz 5G and cellular vehicle-to-everything (C-V2X) communication. As a way to approach antenna optimization with lower computing cost and less data, a hybrid optimization strategy is presented that combines parametric analysis and curve fitting based data visualization approaches. The proposed antenna exhibits a reflection coefficient of −31.68 dB and −29.36 dB with 700 MHz and 900 MHz bandwidths for frequencies of 3.5 GHz and 5.9 GHz, respectively. Moreover, the proposed antenna exhibits a peak gain of 7.55 dB with a size of 0.44 × 0.64 λ2, while achieving a peak efficiency of 90.1%. The antenna has been integrated and simulated in a model Mini Cooper to test the effectiveness of vehicular communication. Full article
Show Figures

Figure 1

17 pages, 11868 KB  
Article
Dual-Band, Dual-Mode, Circularly Polarized Fully Woven Textile Antenna for Simultaneous Wireless Information and Power Transfer in Wearable Applications
by Miguel Fernández, Carlos Vázquez and Samuel Ver Hoeye
Sensors 2026, 26(1), 30; https://doi.org/10.3390/s26010030 - 19 Dec 2025
Viewed by 319
Abstract
In this work, a dual-band, dual-mode, circularly polarized fully woven textile antenna with capability for Simultaneous Wireless Information and Power Transfer (SWIPT) in wearable applications is presented. The power and the data transfer modes work at 2.4 and 5.4 GHz, respectively. The radiating [...] Read more.
In this work, a dual-band, dual-mode, circularly polarized fully woven textile antenna with capability for Simultaneous Wireless Information and Power Transfer (SWIPT) in wearable applications is presented. The power and the data transfer modes work at 2.4 and 5.4 GHz, respectively. The radiating element is based on a square patch with an asymmetrical U-shaped slot and a chamfered corner. A single-diode rectifier, required for the power transfer mode, is mounted on a carrier thread and then connected to the antenna through a T-match network located at one of the patch corners. This feeding technique simultaneously provides complex conjugate matching to the rectifier and circular polarization. On the other hand, a coaxial probe port is used for the data transfer mode. A prototype was implemented and experimentally characterized. Regarding the power transfer mode, the measured RF-DC conversion efficiency is about 50% when the available power at the rectifier input is −10 dBm, and the axial ratio is smaller than 3 dB. In the data transfer mode, the antenna gain and the axial ratio are 0 and 2 dB, respectively. The experimental results are in good agreement with simulations, validating the proposed structure and design methods, and they are comparable to the state of the art for textile antennas/rectennas. Furthermore, the combination of the fully woven technology and the proposed single-layer layout provides a large degree of integration and robustness, which are valuable characteristics for wearable devices. Full article
(This article belongs to the Section Intelligent Sensors)
Show Figures

Figure 1

12 pages, 2330 KB  
Article
Enhanced Energy Transfer in Resonating Gold Doped Matter Irradiated by Infrared Laser
by Konstantin Zsukovszki and Istvan Papp
Particles 2025, 8(4), 104; https://doi.org/10.3390/particles8040104 - 18 Dec 2025
Viewed by 229
Abstract
Laser-driven ion acceleration in dense, hydrogen-rich media can be significantly enhanced by embedding metallic nanoantennas that support localized surface plasmon (LSP) resonances. Using large-scale particle-in-cell (PIC) simulations with the EPOCH code, we investigate how nanoantenna geometry and laser pulse parameters influence proton acceleration [...] Read more.
Laser-driven ion acceleration in dense, hydrogen-rich media can be significantly enhanced by embedding metallic nanoantennas that support localized surface plasmon (LSP) resonances. Using large-scale particle-in-cell (PIC) simulations with the EPOCH code, we investigate how nanoantenna geometry and laser pulse parameters influence proton acceleration in gold-doped polymer targets. The study covers dipole, crossed, and advanced 3D-cross antenna configurations under laser intensities of 1017–1019 W/cm2 and pulse durations from 2.5 to 500 fs, corresponding to experimental conditions at the ELI laser facility. Results show that the dipole antennas exhibit resonance-limited proton energies of ~0.12 MeV, with optimal acceleration at the intensities 4 × 1017–1 × 1018 W/cm2 and pulse durations around 100–150 fs. This energy is higher by roughly three orders of magnitude than the proton energy for the same field and same polymer without dopes: ~1–2 × 10−4 MeV. Crossed antennas achieve higher energies (~0.2 MeV) due to dual-mode plasmonic coupling that sustains local fields longer. Advanced 3D and Yagi-like geometries further enhance field localization, yielding proton energies up to 0.4 MeV and larger high-energy proton populations. For dipole antennas, experimental data from ELI exists and our results agree with it. We find that moderate pulses preserve plasmonic resonance for longer and improve energy transfer efficiency, while overly intense pulses disrupt the resonance early. These findings reveal that plasmonic field enhancement and its lifetime govern energy transfer efficiency in laser–matter interaction. Crossed and 3D geometries with optimized spacing enable multimode resonance and sequential proton acceleration, overcoming the saturation limitations of simple dipoles. The results establish clear design principles for tailoring nanoantenna geometry and pulse characteristics to optimize compact, high-energy proton sources for inertial confinement fusion and high-energy-density applications. Full article
Show Figures

Figure 1

8 pages, 2424 KB  
Article
Dual-Band Dual-Mode Antenna Without Extra Feeding Network Based on Characteristic Mode Analysis for Vehicular Applications
by Qi Du, Chensi Wang, Hui Zhang, Jianxun Su and Zhentao Zhao
Electronics 2025, 14(24), 4927; https://doi.org/10.3390/electronics14244927 - 16 Dec 2025
Viewed by 244
Abstract
In this study, a dual-band dual-mode antenna without any complex feeding network is proposed. The proposed antenna is a type of cascaded cavity antenna, which introduces periodically arranged shorting vias. Using characteristic mode analysis (CMA), the modal behaviors of the proposed antenna without [...] Read more.
In this study, a dual-band dual-mode antenna without any complex feeding network is proposed. The proposed antenna is a type of cascaded cavity antenna, which introduces periodically arranged shorting vias. Using characteristic mode analysis (CMA), the modal behaviors of the proposed antenna without external sources, including modal significance, modal radiation patterns, and modal currents, are analyzed in detail. By setting two properly placed coaxial ports based on CMA, a dual-band antenna with different radiation patterns is realized by exciting different modes at low- and high-frequency bands, allowing the proposed antenna to have a pattern diversity characteristic. Meanwhile, when port 1 is excited, the radiation patterns at 3 and 5 GHz are symmetrical to the radiation patterns when port 2 is excited and vice versa. The prototype is fabricated and investigated experimentally. A good agreement between the simulated and measured results proves the effectiveness and practicality of the proposed antenna. Full article
(This article belongs to the Special Issue AI-Driven IoT: Beyond Connectivity, Toward Intelligence)
Show Figures

Figure 1

10 pages, 3328 KB  
Proceeding Paper
Jamming and Spoofing Detection and Classification Performance Under Hostile GNSS Environments
by Ali Broumandan, Ali Pirsiavash, Isabelle Tremblay and Sandy Kennedy
Eng. Proc. 2025, 88(1), 76; https://doi.org/10.3390/engproc2025088076 - 12 Dec 2025
Viewed by 555
Abstract
Civilian Global Navigation Satellite Systems (GNSS) play a crucial role in critical infrastructure and safety-critical applications, where their low signal power and open descriptions make them vulnerable to threats such as jamming and spoofing. To address these major challenges and growing concerns, NovAtel’s [...] Read more.
Civilian Global Navigation Satellite Systems (GNSS) play a crucial role in critical infrastructure and safety-critical applications, where their low signal power and open descriptions make them vulnerable to threats such as jamming and spoofing. To address these major challenges and growing concerns, NovAtel’s OEM7 receivers are equipped with an advanced GNSS Resilience and Integrity Technology (GRIT) to identify and respond to GNSS threats effectively. This includes Interference Toolkit (ITK), Spoofing Detection Toolkit (SK) and Robust Dual-Antenna Receiver (RoDAR), which employ a range of countermeasures, from jamming detection and characterization to spoofing detection and mitigation, ensuring solution integrity and reliability. The newly developed Galileo Open Service Navigation Message Authentication (OSNMA) module also offers an additional layer of protection by checking for the authenticity of the navigation message for Galileo E1 signals. This paper evaluates the performance of NovAtel’s OEM7 receivers in detecting and mitigating jamming and spoofing using real event data. Effective jamming detection was achieved through spectrum monitoring across all GNSS bands. The effectiveness of GRIT’s anti-jamming and anti-spoofing technologies was demonstrated in advanced test cases. OSNMA results are discussed, highlighting its role as a complementary protection layer for enhanced GNSS security. Full article
(This article belongs to the Proceedings of European Navigation Conference 2024)
Show Figures

Figure 1

15 pages, 11646 KB  
Article
Dual-Band Bent Sensing Textile Antenna Under Dual-Mode Resonance
by Zi-Qiang Liu, Nuo Chen, Ke Ma, Yu-Cheng Luo, Xiao-Hui Mao, Jia-Chen Qi, Xiao-Hui Li and Wen-Jun Lu
Sensors 2025, 25(24), 7511; https://doi.org/10.3390/s25247511 - 10 Dec 2025
Viewed by 476
Abstract
This article presents the design of a dual-mode resonant, dual-band textile microstrip patch antenna for bent sensing applications. The antenna has a simple, slit-perturbed circular sector patch configuration. Unlike traditional single-mode resonant bending sensor antennas, dual-mode resonance brings a unique dual-band sensing characteristic [...] Read more.
This article presents the design of a dual-mode resonant, dual-band textile microstrip patch antenna for bent sensing applications. The antenna has a simple, slit-perturbed circular sector patch configuration. Unlike traditional single-mode resonant bending sensor antennas, dual-mode resonance brings a unique dual-band sensing characteristic to textile antennas. It effectively covers 2.45 GHz and 5.8 GHz Industrial, Scientific and Medical (ISM) frequency bands. Experimental results demonstrate that the proposed antenna achieves −10 dB impedance bandwidths of 1.4% (2.43–2.465 GHz) and 2.4% (5.775–5.915 GHz), with maximum peak gains of 8.8 dBi and 9.1 dBi, respectively. As experimentally validated on flannel substrates, the antenna achieves maximum bent sensing sensitivities of 1.1 MHz/mm and 1.78 MHz/mm at 2.45 GHz and 5.8 GHz bands, respectively. Furthermore, the antenna is able to provide stable E-plane broadside radiation patterns in bending situations. It would be an ideal candidate for radio frequency identification (RFID), health monitoring systems, and flexible communication applications. Full article
(This article belongs to the Section Electronic Sensors)
Show Figures

Figure 1

15 pages, 6102 KB  
Article
Design and Analysis of a Dual-Band Implantable Receiving Antenna for Wireless Power Transfer and Data Communication at 1.32 GHz and 2.58 GHz
by Ashfaq Ahmad, Sun-Woong Kim and Dong-You Choi
Sensors 2025, 25(24), 7507; https://doi.org/10.3390/s25247507 - 10 Dec 2025
Viewed by 511
Abstract
This paper presents the design and performance evaluation of a compact dual-band implantable antenna (Rx) operating at 1.32 GHz and 2.58 GHz for biomedical applications. The proposed antenna is designed to receive power and data from an external transmitting (Tx) antenna operating at [...] Read more.
This paper presents the design and performance evaluation of a compact dual-band implantable antenna (Rx) operating at 1.32 GHz and 2.58 GHz for biomedical applications. The proposed antenna is designed to receive power and data from an external transmitting (Tx) antenna operating at 1.32 GHz. The measured impedance bandwidths of the Rx antenna are 190 MHz (1.23–1.42 GHz) and 230 MHz (2.47–2.70 GHz), covering both the power transfer and data communication bands. The wireless power transfer efficiency, represented by the transmission coefficient (S21), is observed to be −40 dB at a spacing of 40 mm, where the Rx is located in the far-field region of the Tx. Specific Absorption Rate (SAR) analysis is performed to ensure electromagnetic safety compliance, and the results are within the acceptable exposure limits. The proposed antenna achieves a realized gain of −25 dB at 1.32 GHz and −25.8 dB at 2.58 GHz, demonstrating suitable performance for low-power implantable medical device communication and power transfer systems. The proposed design offers a promising solution for reliable biotelemetry and wireless power transfer in implantable biomedical systems. Full article
(This article belongs to the Special Issue Novel Implantable Sensors and Biomedical Applications)
Show Figures

Figure 1

15 pages, 31607 KB  
Article
Photonic-Assisted Simultaneous Frequency and Angle of Arrival Measurement Based on Stimulated Brillouin Scattering
by Liangshun Zhao, Yue Zhang, Ju Chen, Fangyi Chen, Caili Gong and Yongfeng Wei
Photonics 2025, 12(12), 1215; https://doi.org/10.3390/photonics12121215 - 9 Dec 2025
Viewed by 307
Abstract
The multidimensional parameter measurement of microwave signals, including temporal, spatial, and frequency, is essential for electronic warfare and radar systems. In this article, we present a photonic scheme for real-time microwave frequency and angle-of-arrival (AOA) measurement based on stimulated Brillouin scattering (SBS). In [...] Read more.
The multidimensional parameter measurement of microwave signals, including temporal, spatial, and frequency, is essential for electronic warfare and radar systems. In this article, we present a photonic scheme for real-time microwave frequency and angle-of-arrival (AOA) measurement based on stimulated Brillouin scattering (SBS). In the proposed system, the unknown signal under test (SUT) received by adjacent antennas is injected into a dual-drive Mach–Zehnder modulator (DDMZM). Two branches of the SUT with phase difference interfere in the optical domain, converting phase difference into the power of optical sidebands. These optical sidebands are scanned by combining SBS with frequency-to-time mapping (FTTM) to achieve simultaneous measurement of the AOA and frequency. Consequently, the frequency and AOA of the SUT are mapped to the time interval and normalized amplitude of the output electrical pulses, respectively. Results show that the system can achieve the frequency measurement of multiple RF signals in the range of 5–15 GHz and AOA measurement in the range of −70° to 70°, with measurement errors of ±5 MHz and ±2°, respectively. Furthermore, the frequency measurement range can be flexibly adjusted by tuning the pump optical driving signals. Full article
(This article belongs to the Special Issue Optical Measurement Systems, 2nd Edition)
Show Figures

Figure 1

24 pages, 5626 KB  
Article
Radar Coincidence Imaging Based on Dual-Frequency Dual-Phase-Center Dual-Polarized Antenna
by Shu-Yang Wan, Chen Miao, Shi-Shan Qi and Wen Wu
Electronics 2025, 14(24), 4820; https://doi.org/10.3390/electronics14244820 - 7 Dec 2025
Viewed by 330
Abstract
Radar coincidence imaging (RCI) is widely used in military reconnaissance, hovering unmanned aerial vehicles (UAVs), and non-local Earth observation due to its superior super-resolution imaging performance. However, in portable radar exploration or UAV remote sensing scenarios, the imaging resolution may be limited by [...] Read more.
Radar coincidence imaging (RCI) is widely used in military reconnaissance, hovering unmanned aerial vehicles (UAVs), and non-local Earth observation due to its superior super-resolution imaging performance. However, in portable radar exploration or UAV remote sensing scenarios, the imaging resolution may be limited by the size constraints of the radar’s aperture. Moreover, although the resolution of RCI depends on the randomness of the signal, an excessively random signal setup may be difficult to implement in engineering applications due to rapid frequency jumps and related issues. Therefore, it is essential to achieve super-resolution imaging while maintaining a small aperture and an effectively random signal. In this paper, an amplitude-random linear frequency modulation (AR-LFM) waveform is employed in RCI using a dual-frequency, dual-phase-center, and dual-polarized antenna (DDPA). A multi-channel structure is introduced, and different frequencies and polarization modes are combined using the proposed method, which provides more independent signal information while maintaining a small aperture and effectively reducing signal coherence. This approach increases the singularity between grid points in the target area, thereby enhancing the effective rank of the reference matrix. The simulation results show that the angular resolution of the proposed imaging method is 15 times higher than that of conventional radar imaging. Furthermore, the proposed structure can improve the resolution improvement factor (RIF) by more than two times compared with the traditional RCI method using a conventional antenna and random signals. Full article
Show Figures

Figure 1

25 pages, 4969 KB  
Article
Dynamic Dual-Antenna Time-Slot Allocation Protocol for UAV-Aided Relaying System Under Probabilistic LoS-Channel
by Ping Huang, Jie Lin, Tong Liu, Jin Ning, Junsong Luo and Bin Duo
Sensors 2025, 25(24), 7443; https://doi.org/10.3390/s25247443 - 7 Dec 2025
Viewed by 316
Abstract
Unmanned Aerial Vehicle (UAV)-aided two-way relaying systems have attracted widespread attention due to their ability to improve communication efficiency, reduce deployment costs, and enhance reliability. However, most existing systems employ the Time-Division Multiple Access (TDMA) protocol, which suffers from rigid resource allocation and [...] Read more.
Unmanned Aerial Vehicle (UAV)-aided two-way relaying systems have attracted widespread attention due to their ability to improve communication efficiency, reduce deployment costs, and enhance reliability. However, most existing systems employ the Time-Division Multiple Access (TDMA) protocol, which suffers from rigid resource allocation and fails to efficiently manage antenna resources within a time slot for multiple users. Furthermore, the reliance on simple Line-of-Sight (LoS) channel models in many studies is often inaccurate, leading to significant performance degradation. To address these issues, this paper investigates a UAV-assisted two-way relaying system based on the Probabilistic Line-of-Sight (PrLoS) model. We propose a novel two-way transmission protocol, termed the Dynamic Dual-Antenna Time-Slot Allocation Protocol (DDATSAP), to facilitate flexible antenna resource allocation for multiple user pairs. To maximize the minimum average message rate for ground users, we jointly optimize the Resource Scheduling Factor (RSF), transmit power, and UAV trajectory. Since the formulated problem is non-convex and challenging to solve directly, we propose an efficient iterative algorithm based on Successive Convex Approximation (SCA) and Block Coordinate Descent (BCD) techniques. Numerical simulation results demonstrate that the proposed scheme exhibits superior performance compared to benchmark systems. Full article
Show Figures

Figure 1

Back to TopTop