Sign in to use this feature.

Years

Between: -

Subjects

remove_circle_outline
remove_circle_outline
remove_circle_outline
remove_circle_outline
remove_circle_outline
remove_circle_outline
remove_circle_outline
remove_circle_outline
remove_circle_outline

Journals

remove_circle_outline
remove_circle_outline
remove_circle_outline
remove_circle_outline
remove_circle_outline
remove_circle_outline
remove_circle_outline
remove_circle_outline
remove_circle_outline
remove_circle_outline
remove_circle_outline
remove_circle_outline
remove_circle_outline
remove_circle_outline
remove_circle_outline
remove_circle_outline

Article Types

Countries / Regions

remove_circle_outline
remove_circle_outline
remove_circle_outline
remove_circle_outline
remove_circle_outline

Search Results (1,302)

Search Parameters:
Keywords = dry and wet testing

Order results
Result details
Results per page
Select all
Export citation of selected articles as:
16 pages, 2994 KB  
Article
Stiffness Degradation of Expansive Soil Stabilized with Construction and Demolition Waste Under Wetting–Drying Cycles
by Haodong Xu and Chao Huang
Coatings 2025, 15(10), 1154; https://doi.org/10.3390/coatings15101154 - 3 Oct 2025
Abstract
To address the challenge of long-term stiffness retention of subgrades in humid–hot climates, this study evaluates expansive soil stabilized with construction and demolition waste (CDW), focusing on the resilient modulus (Mr) under coupled stress states and wetting–drying histories. Basic physical [...] Read more.
To address the challenge of long-term stiffness retention of subgrades in humid–hot climates, this study evaluates expansive soil stabilized with construction and demolition waste (CDW), focusing on the resilient modulus (Mr) under coupled stress states and wetting–drying histories. Basic physical and swelling tests identified an optimal CDW incorporation of about 40%, which was then used to prepare specimens subjected to controlled. Wetting–drying cycles (0, 1, 3, 6, 10) and multistage cyclic triaxial loading across confining and deviatoric stress combinations. Mr increased monotonically with both stresses, with stronger confinement hardening at higher deviatoric levels; with cycling, Mr exhibited a rapid then gradual degradation, and for most stress combinations, the ten-cycle loss was 20%–30%, slightly mitigated by higher confinement. Grey relational analysis ranked influence as follows: the number of wetting–drying cycles > deviatoric stress > confining pressure. A Lytton model, based on a modified prediction method, accurately predicted Mr across conditions (R2 ≈ 0.95–0.98). These results integrate stress dependence with environmental degradation, offering guidance on material selection (approximately 40% incorporation), construction (adequate compaction), and maintenance (priority control of early moisture fluctuations), and provide theoretical support for durable expansive soil subgrades in humid–hot regions. Full article
(This article belongs to the Special Issue Novel Cleaner Materials for Pavements)
Show Figures

Figure 1

25 pages, 8960 KB  
Article
Analysis on Durability of Bentonite Slurry–Steel Slag Foam Concrete Under Wet–Dry Cycles
by Guosheng Xiang, Feiyang Shao, Hongri Zhang, Yunze Bai, Yuan Fang, Youjun Li, Ling Li and Yang Ming
Buildings 2025, 15(19), 3550; https://doi.org/10.3390/buildings15193550 - 2 Oct 2025
Abstract
Wet–dry cycles are a key factor aggravating the durability degradation of foam concrete. To address this issue, this study prepared bentonite slurry–steel slag foam concrete (with steel slag and cement as main raw materials, and bentonite slurry as admixture) using the physical foaming [...] Read more.
Wet–dry cycles are a key factor aggravating the durability degradation of foam concrete. To address this issue, this study prepared bentonite slurry–steel slag foam concrete (with steel slag and cement as main raw materials, and bentonite slurry as admixture) using the physical foaming method. Based on 7-day unconfined compressive strength tests with different mix proportions, the optimal mix proportion was determined as follows: mass ratio of bentonite to water 1:15, steel slag content 10%, and mass fraction of bentonite slurry 5%. Based on this optimal mix proportion, dry–wet cycle tests were carried out in both water and salt solution environments to systematically analyze the improvement effect of steel slag and bentonite slurry on the durability of foam concrete. The results show the following: steel slag can act as fine aggregate to play a skeleton role; after fully mixing with cement paste, it wraps the outer wall of foam, which not only reduces foam breakage but also inhibits the formation of large pores inside the specimen; bentonite slurry can densify the interface transition zone, improve the toughness of foam concrete, and inhibit the initiation and propagation of matrix cracks during the dry–wet cycle process; the composite addition of the two can significantly enhance the water erosion resistance and salt solution erosion resistance of foam concrete. The dry–wet cycle in the salt solution environment causes more severe erosion damage to foam concrete. The main reason is that, after chloride ions invade the cement matrix, they erode hydration products and generate expansive substances, thereby aggravating the matrix damage. Scanning Electron Microscopy (SEM) analysis shows that, whether in water environment or salt solution environment, the fractal dimension of foam concrete decreased slightly with an increasing number of wet–dry cycle times. Based on fractal theory, this study established a compressive strength–porosity prediction model and a dense concrete compressive strength–dry–wet cycle times prediction model, and both models were validated against experimental data from other researchers. The research results can provide technical support for the development of durable foam concrete in harsh environments and the high-value utilization of steel slag solid waste, and are applicable to civil engineering lightweight porous material application scenarios requiring resistance to dry–wet cycle erosion, such as wall bodies and subgrade filling. Full article
(This article belongs to the Section Building Structures)
Show Figures

Figure 1

22 pages, 2608 KB  
Article
Exploring the Evolution of Co-Deposited Copper and Iron Nanostructures on Hydroxyapatite: Implications in NH3-SCR Reaction
by Melissa Greta Galloni, Weidong Zhang, Anne Giroir-Fendler, Sebastiano Campisi and Antonella Gervasini
Catalysts 2025, 15(10), 929; https://doi.org/10.3390/catal15100929 - 1 Oct 2025
Abstract
Copper and iron species were co-deposited onto a hydroxyapatite surface to produce bimetallic catalysts. Characterization techniques (XRD, XPS, DR-UV spectroscopy and TEM-EDX) helped in unveiling the speciation, nuclearity, and electronic properties of copper and iron in samples with variable total metal loading (1–10 [...] Read more.
Copper and iron species were co-deposited onto a hydroxyapatite surface to produce bimetallic catalysts. Characterization techniques (XRD, XPS, DR-UV spectroscopy and TEM-EDX) helped in unveiling the speciation, nuclearity, and electronic properties of copper and iron in samples with variable total metal loading (1–10 wt.%) and relative Cu-to-Fe ratios. The speciation of Cu was revealed to be not affected by Fe and vice versa. Conversely, the metal loading turned out to be a key factor ruling the aggregation state of Cu and Fe species. The samples were tested as catalysts in the Selective Catalytic Reduction of NO by NH3 (NH3-SCR) in dry and wet environments under quasi-real conditions (50,000 ppm O2; 50,000 ppm H2O, if present; 120,000 h−1 GHSV) in the 200−500 °C interval. Although the combination of Cu and Fe affords a modest improvement in water resistance compared to their monometallic counterparts, no substantial enhancement in activity was observed for the bimetallic hydroxyapatite-based SCR catalysts. Full article
(This article belongs to the Special Issue Advances in Transition Metal Catalysis, 2nd Edition)
Show Figures

Graphical abstract

13 pages, 27738 KB  
Article
Study on the Durability of Graphene Oxide Concrete Composite Under Chloride and Sulfate Environments
by Zhanyuan Gao, Qifeng Shi, Jintao Cui, Jianfeng Lin, Weiting Mao, Marta Kosior-Kazberuk and Julita Krassowska
Materials 2025, 18(19), 4522; https://doi.org/10.3390/ma18194522 - 29 Sep 2025
Abstract
In order to study the durability of graphene oxide concrete composite in chloride and sulfate environments, graphene oxide concrete composite specimens were immersed in a mixed solution of 5% sodium sulfate and sodium chloride. After dry–wet cycle immersion and long-term natural immersion, the [...] Read more.
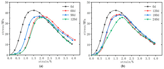
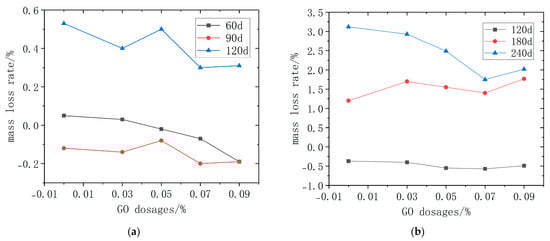
In order to study the durability of graphene oxide concrete composite in chloride and sulfate environments, graphene oxide concrete composite specimens were immersed in a mixed solution of 5% sodium sulfate and sodium chloride. After dry–wet cycle immersion and long-term natural immersion, the compressive strength, strength reduction rate, and mass loss rate of concrete specimens were tested. The microstructure was analyzed by scanning electron microscopy (SEM), and the durability of graphene oxide concrete composite in chloride and sulfate environments was analyzed. The results show that with the increase in corrosion age, under dry–wet cycle immersion and long-term natural immersion, the compressive strength reduction coefficient and mass loss rate of graphene oxide concrete composite specimens with 0.07% content are the smallest. The stress–strain curve of concrete after corrosion is flatter than that of uncorroded concrete, and the ductility of concrete specimens after corrosion increased. Through microstructure analysis, it can be seen that the internal structure of graphene oxide concrete composite test block is more compact, the hydration products are regulated, the corrosion of concrete is delayed, and the durability performance is better. Graphene oxide is used to improve the strength and durability of concrete, and the recommended dosage is 0.07%. Full article
Show Figures

Figure 1

16 pages, 3803 KB  
Article
Evaluation of Biocompatible and Biodegradable PES/PCL Membranes for Potential Use in Biomedical Devices: From Fouling Resistance to Environmental Safety
by Cezary Wojciechowski, Monika Wasyłeczko, Dorota Lewińska and Andrzej Chwojnowski
Molecules 2025, 30(19), 3887; https://doi.org/10.3390/molecules30193887 - 25 Sep 2025
Abstract
The paper presents a method for obtaining partially degradable capillary membranes from a polyethersulfone/polycaprolactone (PES/PCL) mixture. PES/PCL membranes were obtained by the phase inversion technique with dry/wet spinning and then subjected to controlled degradation in an alkaline environment (1 M NaOH) and simulated [...] Read more.
The paper presents a method for obtaining partially degradable capillary membranes from a polyethersulfone/polycaprolactone (PES/PCL) mixture. PES/PCL membranes were obtained by the phase inversion technique with dry/wet spinning and then subjected to controlled degradation in an alkaline environment (1 M NaOH) and simulated body fluid (SBF with pH 7.4) using the flow method. The aim of the work was to select and apply a degradable, non-toxic, simple polymer as a removable component of the membrane structure. The degradable component of the membranes was PCL, the gradual hydrolysis of which was aimed at increasing the porosity and improving the transport properties of the membranes during operation. The membrane properties, such as hydraulic permeability coefficient (UFC), retention coefficient, and structural morphology, were assessed using scanning electron microscopy (SEM) before and after degradation. Analysis of SEM images performed with MeMoExplorerTM software showed an increase in the proportion of large pores (above 300 µm2) and total porosity of the membranes after degradation in NaOH and SBF. Low instability factor (<0.25) for all samples, both before and after degradation, confirms the good repeatability of the membrane structure. An increase in the UFC was observed, while the retention coefficients did not change significantly in the case of membranes after the etching process. The degradation of the PCL component in the membrane was assessed using the weight method. Measurements of the membrane mass loss before and after degradation confirmed the removal of over 50 wt.% of the PCL component in SBF and 70 wt.% in NaOH from the tested membranes, which resulted in an increase in permeability due to increased membrane porosity. The results indicate the possibility of using such structures as functional, partially self-regulating membranes, potentially useful in biomedical and environmental applications. Full article
Show Figures

Graphical abstract

21 pages, 17706 KB  
Article
Composite Anion Exchange Membranes Based on Functionalized Graphene Oxide and Poly(Terphenylene Piperidinium) for Application in Water Electrolysis and Fuel Cells
by Tamilazhagan Palanivel, Hosni Ahmed Elwan, Mohamed Mamlouk, Simon Doherty and Bruno G. Pollet
Processes 2025, 13(10), 3047; https://doi.org/10.3390/pr13103047 - 24 Sep 2025
Viewed by 42
Abstract
Composite anion exchange membranes (AEMs) based on poly(terphenylene piperidinium) (PTPiQA) and impregnated with varying loadings of quaternized graphene oxide (QGO) as filler were developed, and their properties as anion exchange membranes for use in water electrolysis (AEMWEs) and fuel cells (AEMFCs) were explored. [...] Read more.
Composite anion exchange membranes (AEMs) based on poly(terphenylene piperidinium) (PTPiQA) and impregnated with varying loadings of quaternized graphene oxide (QGO) as filler were developed, and their properties as anion exchange membranes for use in water electrolysis (AEMWEs) and fuel cells (AEMFCs) were explored. This study investigates the trade-off between mechanical robustness, ionic conductivity, and alkaline stability in QGO-reinforced twisted polymer backbones. QGO synthesized by functionalization with ethylenediamine (EDA), followed by quaternization with glycidyl trimethylammonium chloride (GTMAC), was used as a filler for PTPiQA, and the properties of the resulting composites PTPiQA-QGO-X investigated as a function of QGO loading for X between 0.1 and 0.7 wt%. Among all compositions, PTPiQA-QGO-0.3% exhibited the highest OH conductivity of 71.56 mS cm−1 at room temperature, attributed to enhanced ionic connectivity and water uptake. However, this increase in conductivity was accompanied by a slight decrease in ion exchange capacity (IEC) retention (91.8%) during an alkaline stability test in 1 M KOH at 60 °C for 336 h due to localized cation degradation. Mechanical testing revealed that PTPiQA-QGO-0.3% offered optimal dry and wet tensile strength (dry TS of 42.77 MPa and wet TS of 30.20 MPa), whereas higher QGO loadings yielded low mechanical strength. These findings highlight that 0.3 wt% QGO balances ion transport efficiency and mechanical strength, while higher loadings improve alkaline durability, compromising mechanical durability and guiding the rational design of AEMs for AEMWEs and AEMFCs. Full article
(This article belongs to the Special Issue Development and Characterization of Advanced Polymer Nanocomposites)
Show Figures

Figure 1

22 pages, 5876 KB  
Article
Development of a Methodology Used to Predict the Wheel–Surface Friction Coefficient in Challenging Climatic Conditions
by Viktor V. Petin, Andrey V. Keller, Sergey S. Shadrin, Daria A. Makarova and Yury M. Furletov
Future Transp. 2025, 5(4), 129; https://doi.org/10.3390/futuretransp5040129 - 23 Sep 2025
Viewed by 113
Abstract
This paper presents a novel methodology for predicting the tire–road friction coefficient in real-time under challenging climatic conditions based on a fuzzy logic inference system. The core innovation of the proposed approach lies in the integration and probabilistic weighting of a diverse set [...] Read more.
This paper presents a novel methodology for predicting the tire–road friction coefficient in real-time under challenging climatic conditions based on a fuzzy logic inference system. The core innovation of the proposed approach lies in the integration and probabilistic weighting of a diverse set of input data, which includes signals from ambient temperature and precipitation intensity sensors, activation events of the anti-lock braking system (ABS) and electronic stability control (ESP), windshield wiper operation modes, and road marking recognition via a front-facing camera. This multi-sensor data fusion strategy significantly enhances prediction accuracy compared to traditional methods that rely on limited data sources (e.g., temperature and precipitation alone), especially in transient or non-uniform road conditions such as compacted snow or shortly after rainfall. The reliability of the fuzzy-logic-based predictor was experimentally validated through extensive road tests on dry asphalt, wet asphalt, and wet basalt (simulating packed snow). The results demonstrate a high degree of convergence between predicted and actual values, with a maximum modeling error of less than 10% across all tested scenarios. The developed methodology provides a robust and adaptive solution for enhancing the performance of Advanced Driver Assistance Systems (ADASs), particularly Automatic Emergency Braking (AEB), by enabling more accurate braking distance calculations. Full article
Show Figures

Figure 1

21 pages, 11856 KB  
Article
A Strategy to Optimize the Mechanical Properties and Microstructure of Loess by Nano-Modified Soil Stabilizer
by Baofeng Lei, Xingchen Zhang, Henghui Fan, Shijian Wu, Changzhi Zhao, Wenbo Ni and Changhao Liu
Materials 2025, 18(19), 4435; https://doi.org/10.3390/ma18194435 - 23 Sep 2025
Viewed by 120
Abstract
With the increasing demand for soil modification technologies in the field of civil engineering, this study employed cement-stabilized soil and MBER (Material Becoming Earth into Rock) stabilized soil as controls to investigate the modification effects of an N-MBER (nanosilica reinforced MBER) stabilizer on [...] Read more.
With the increasing demand for soil modification technologies in the field of civil engineering, this study employed cement-stabilized soil and MBER (Material Becoming Earth into Rock) stabilized soil as controls to investigate the modification effects of an N-MBER (nanosilica reinforced MBER) stabilizer on the mechanical properties and microstructure of loess. The mechanical and water stability characteristics of N-MBER-stabilized loess under varying moisture contents and compaction degrees were analyzed through unconfined compressive strength (UCS) tests, softening coefficient tests, falling-head permeability tests, and wet–dry cycle tests. Combined with scanning electron microscopy (SEM), X-ray diffraction (XRD), Fourier transform infrared spectroscopy (FT-IR), and nuclear magnetic resonance (NMR) techniques, the underlying mechanism of the N-MBER stabilizer in loess stabilization was thoroughly revealed. The results indicate that the N-MBER stabilizer significantly enhances the UCS and softening coefficient of loess. Particularly, under conditions of 28-day curing, a moisture content of 16%, and a compaction degree of 1, the compressive strength achieves a local optimum value of 3.68 MPa. Compared to soils stabilized with MBER stabilizers and cement stabilizers, the N-MBER-stabilized loess exhibits superior water resistance and microstructural density, with a significant reduction in the proportion of pore defects. Specifically, after five wet–dry cycles at a curing age of 28 days, the strength loss rates for MBER-stabilized soil and cement-stabilized soil were 24.4% and 27.54%, respectively, while that for N-MBER-stabilized soil was 18.23%, demonstrating its enhanced water resistance. Additionally, compared to cement-stabilized soil, the N-MBER-stabilized soil exhibited a 21.63% reduction in total pore number, with a 41.64% reduction specifically in large pores. The extremely small particle size and large specific surface area of the nanomaterial enable more effective interactions with soil particles, promoting hydration reactions. The resulting ettringite (AFt) and three-dimensional networked C-S-H gel tightly interweave with soil particles, forming a stable cemented structure. Compared to traditional concrete roads, stabilized soil roads enable the utilization of locally available materials and demonstrate a significant cost advantage. This study provides theoretical support and experimental evidence for the application of nanomaterials in loess improvement engineering. Full article
Show Figures

Figure 1

16 pages, 1643 KB  
Article
Detection of Abscisic Acid and Jasmonates in Stigma Exudates and Their Role in Pollen Germination
by Maria Breygina, Dmitry V. Kochkin, Anna Podobedova, Maria Kushunina, Danil Afonin and Ekaterina Klimenko
Horticulturae 2025, 11(9), 1146; https://doi.org/10.3390/horticulturae11091146 - 21 Sep 2025
Viewed by 320
Abstract
Pollen–stigma interactions have been studied extensively because they play an important role in sexual reproduction and crop yield. The vast majority of studies have focused on dry stigmas, which are typical of many model and agricultural plants; however, the data obtained are difficult [...] Read more.
Pollen–stigma interactions have been studied extensively because they play an important role in sexual reproduction and crop yield. The vast majority of studies have focused on dry stigmas, which are typical of many model and agricultural plants; however, the data obtained are difficult to apply to plants with wet stigmas, such as tomato and tobacco. Pollen germination in this case occurs in a liquid, an exudate, which has a complex, species-specific composition. UPLC-ESI-MS-based hormone screening was carried out for six plant genera belonging to Solanaceae, Bromeliaceae, and Gesneriaceae families and revealed jasmonic acid (JA), abscisic acid (ABA) and/or jasmonoyl-L-isoleucine (IleJA) in stigma exudates of tobacco, tomato, and Streptocarpus sp. To assess the physiological significance of plant hormones in stigma exudate we tested their effect in vitro, finding that JA, IleJA, and MeJa significantly stimulated germination of tobacco pollen, with JA being most effective in accordance with its predominance in the stigma exudate; furthermore, ABA stimulated pollen germination in all tested species including bromeliads despite the lack of this hormone in their exudates. Both JA and ABA had an anti-oxidant effect on germinating pollen. Possible functions of hormones and ROS in exudate as well as ways of implementing the anti-oxidant effect of phytohormones are discussed. Full article
(This article belongs to the Special Issue The Role of Plant Growth Regulators in Horticulture)
Show Figures

Figure 1

11 pages, 3412 KB  
Article
Friction Coefficient Tests for Designs of Belt Conveyor Drive Systems
by Dariusz Woźniak
Appl. Sci. 2025, 15(18), 10204; https://doi.org/10.3390/app151810204 - 19 Sep 2025
Viewed by 317
Abstract
In conveyor belt drive pulleys and intermediate belt drives, the power transferred from the drive system to the belt increases together with the increasing friction coefficient between the belt surface and the pulley surface, or between the surface of the main (carrying) belt [...] Read more.
In conveyor belt drive pulleys and intermediate belt drives, the power transferred from the drive system to the belt increases together with the increasing friction coefficient between the belt surface and the pulley surface, or between the surface of the main (carrying) belt and the surface of the intermediate (drive) belt. Belt conveyors used in the mining industry are typically exposed to dust and moisture. This paper presents the method and results of laboratory tests on the friction coefficient between a conveyor belt and rubber plates with grooved and flat surfaces. The tests were performed for different mine-typical contamination conditions of these surfaces. The results demonstrate that in the case of dry friction (regardless of the presence of dust), the grooving of the surface does not significantly affect the friction coefficient of the rubber–rubber friction pair. However, grooving has a significantly positive impact in the case of wet friction. In cases where the surface is grooved in a “diamond” pattern, the measured friction coefficient values are similar for both wet and dry surfaces. The lowest friction coefficient values were obtained for surfaces contaminated with solid rock dust. Full article
(This article belongs to the Section Mechanical Engineering)
Show Figures

Figure 1

17 pages, 1980 KB  
Article
Digital Twin Model for Predicting Hygrothermal Performance of Building Materials from Moisture Permeability Tests
by Anna Szymczak-Graczyk, Jacek Korentz and Tomasz Garbowski
Materials 2025, 18(18), 4360; https://doi.org/10.3390/ma18184360 - 18 Sep 2025
Viewed by 241
Abstract
Moisture transport in building materials significantly influences their durability, mechanical integrity, and thermal performance. This study presents an experimental investigation of moisture permeability in a range of traditional and modern wall elements, including autoclaved aerated concrete (ACC), ceramic blocks, silicate blocks, perlite concrete [...] Read more.
Moisture transport in building materials significantly influences their durability, mechanical integrity, and thermal performance. This study presents an experimental investigation of moisture permeability in a range of traditional and modern wall elements, including autoclaved aerated concrete (ACC), ceramic blocks, silicate blocks, perlite concrete blocks, and concrete units. Both vapor diffusion and capillary transport mechanisms were analyzed under controlled climatic conditions using gravimetric and hygrometric methods. Among the tested materials, autoclaved aerated concrete (AAC) was selected for detailed numerical modeling because of its high porosity, strong capillarity, and widespread use in modern construction, which make it especially vulnerable to moisture-related degradation. Based on the experimental findings, a digital twin was developed to simulate hygrothermal behavior of walls made of ACC under various environmental conditions. The model incorporates advanced moisture transport equations, capturing diffusion and capillary effects while considering real-world variables, such as relative humidity, temperature fluctuations, and wetting–drying cycles. Calibration demonstrated strong agreement with experimental data, enabling reliable predictions of moisture behavior over extended exposure scenarios. This integrated approach provides a robust engineering tool for assessing the long-term material performance of AAC, predicting degradation risks, and optimizing material selection in humid climates. The study illustrates how coupling experimental data with digital modeling can enhance the design of moisture-resistant and durable building envelopes. Full article
(This article belongs to the Section Construction and Building Materials)
Show Figures

Figure 1

17 pages, 19874 KB  
Article
Evolution of Microstructure and Performance in Polyacrylonitrile Precursor Fibers: A Comparison of Spinning Processes
by Liang Cao, Lili Zhang, Zhenbo Zhao, Shaowei Wang, Zhaowei Li, Deqi Jing and Shouchun Zhang
Polymers 2025, 17(18), 2504; https://doi.org/10.3390/polym17182504 - 17 Sep 2025
Viewed by 288
Abstract
The microstructure of polyacrylonitrile (PAN) precursor fibers has a profound influence on the performance of carbon fibers and depends on the spinning processes and processing conditions. This study compared the evolution of the microstructures and performance of PAN fibers between the wet-spinning and [...] Read more.
The microstructure of polyacrylonitrile (PAN) precursor fibers has a profound influence on the performance of carbon fibers and depends on the spinning processes and processing conditions. This study compared the evolution of the microstructures and performance of PAN fibers between the wet-spinning and dry-jet wet-spinning processes, utilizing scanning electron microscopy, small/wide-angle X-ray scattering, dynamic mechanical analysis, and single-fiber tensile testing. Both spinning processes promoted the oriented alignment of microfibrils and fibrils, improved the crystal arrangement and molecular regularity, and facilitated the transition from a two-phase (crystalline/amorphous) structure to a single-phase structure, thereby gradually improving the fibers’ elastic character and mechanical properties. However, wet-spun fibers exhibited inherent defects (skin-core structure and large voids), which caused surface grooves, radial mechanical heterogeneity, and low breaking elongation during post-spinning. In contrast, dry-jet wet-spun fibers initially had a smooth surface and a homogeneous radial structure, which evolved into well-oriented, radially homogeneous structures during post-spinning. Furthermore, the dry-jet wet-spinning process produced greater increases in crystallinity (46%), crystal size (258%), and orientation index (146%) than the wet-spinning process did. The dry-jet wet-spinning process’s superiority in forming and optimizing the fiber microstructure gives it greater potential for producing high-quality PAN precursor fibers. Full article
(This article belongs to the Section Polymer Fibers)
Show Figures

Figure 1

19 pages, 8064 KB  
Article
Spatiotemporal Monitoring of the Effects of Climate Change on the Water Surface Area of Sidi Salem Dam, Northern Tunisia
by Yosra Ayadi, Malika Abbes, Matteo Gentilucci and Younes Hamed
Water 2025, 17(18), 2738; https://doi.org/10.3390/w17182738 - 16 Sep 2025
Viewed by 282
Abstract
This research presents a comprehensive spatiotemporal assessment of the effects of climate change and anthropogenic pressures on the water surface area and quality of the Sidi Salem Dam, the largest reservoir in Northern Tunisia. Located within a sub-humid to Mediterranean humid bioclimatic zone, [...] Read more.
This research presents a comprehensive spatiotemporal assessment of the effects of climate change and anthropogenic pressures on the water surface area and quality of the Sidi Salem Dam, the largest reservoir in Northern Tunisia. Located within a sub-humid to Mediterranean humid bioclimatic zone, the dam plays a vital role in regional water supply, irrigation, and flood control. Utilizing a 40-year dataset (1985–2025), this study integrates multi-temporal satellite imagery and geospatial analysis using Geographic Information System (GIS) and remote sensing (RS) techniques. The temporal variability of the dam’s surface water extent was monitored through indices such as the Normalized Difference Water Index (NDWI). The analysis was further supported by climate data, including records of precipitation, temperature, and evapotranspiration, to assess correlations with observed hydrological changes. The findings revealed a significant reduction in the dam’s surface area, from approximately 37.8 km2 in 1985 to 19.8 km2 in 2025, indicating a net loss of 18 km2 (47.6%). The Mann–Kendall trend test confirmed a significant long-term increase in annual precipitation, while annual temperature showed no significant trend. Nevertheless, recent observations indicate a decline in precipitation during the most recent period. Furthermore, Pearson correlation analysis revealed a significant negative relationship between precipitation and temperature, suggesting that wet years are generally associated with cooler conditions, whereas dry years coincide with warmer conditions. This hydroclimatic interplay underscores the complex dynamics driving reservoir fluctuations. Simultaneously, land use changes in the catchment area, particularly the expansion of agriculture, urban development, and deforestation have led to increased surface runoff and soil erosion, intensifying sediment deposition in the reservoir. This has progressively reduced the dam’s storage capacity, further diminishing its water storage efficiency. This study also investigates the degradation of water quality associated with declining water levels and climatic stress. Indicators such as turbidity and salinity were evaluated, showing clear signs of deterioration resulting from both natural and human-induced processes. Increased salinity and pollutant concentrations are primarily linked to reduced dilution capacity, intensified evaporation, and agrochemical runoff containing fertilizers and other contaminants. Full article
(This article belongs to the Section Water and Climate Change)
Show Figures

Figure 1

35 pages, 30270 KB  
Article
Season-Specific CNN and TVDI Approach for Soil Moisture and Irrigation Monitoring in the Hetao Irrigation District, China
by Yule Sun, Dongliang Zhang, Ze Miao, Shaodong Yang, Quanming Liu and Zhongyi Qu
Agriculture 2025, 15(18), 1946; https://doi.org/10.3390/agriculture15181946 - 14 Sep 2025
Viewed by 456
Abstract
We develop a year-round, field-scale framework to retrieve soil moisture and map irrigation in an arid irrigation district where crop phenology and canopy dynamics undermine static, single-season approaches. However, the currently popular TVDI application is limited during non-growing seasons. To address this gap, [...] Read more.
We develop a year-round, field-scale framework to retrieve soil moisture and map irrigation in an arid irrigation district where crop phenology and canopy dynamics undermine static, single-season approaches. However, the currently popular TVDI application is limited during non-growing seasons. To address this gap, we introduce a season-stratified TVDI scheme—based on the LST–EVI feature space with phenology-specific dry/wet edges—coupled with a non-growing-season inversion that fuses Sentinel-1 SAR and Landsat features and compares multiple regressors (PLSR, RF, XGBoost, and CNN). The study leverages 2023–2024 multi-sensor image time series for the Yichang sub-district of the Hetao Irrigation District (China), together with in situ topsoil moisture, meteorological records, a local cropping calendar, and district statistics for validation. Methodologically, EVI is preferred over NDVI to mitigate saturation under dense canopies; season-specific edge fitting stabilizes TVDI, while cross-validated regressors yield robust soil-moisture retrievals outside the growing period, with the CNN achieving the highest accuracy (test R2 ≈ 0.56–0.61), outperforming PLSR/RF/XGBoost by approximately 12–38%. The integrated mapping reveals complementary seasonal irrigation patterns: spring irrigates about 40–45% of farmland (e.g., 43.39% on 20 May 2024), summer peaks around 70% (e.g., 71.42% on 16 August 2024), and autumn stabilizes near 20–25% (e.g., 24.55% on 23 November 2024), with marked spatial contrasts between intensively irrigated southwest blocks and drier northeastern zones. We conclude that season-stratified edges and multi-source inversions together enable reproducible, year-round irrigation detection at field scale. These results provide operational evidence to refine irrigation scheduling and water allocation, and support drought-risk management and precision water governance in arid irrigation districts. Full article
(This article belongs to the Section Agricultural Water Management)
Show Figures

Figure 1

31 pages, 13621 KB  
Article
Trend Analysis of Extreme Precipitation and Its Compound Events with Extreme Temperature Across China
by Shuhui Yang, Xue Wang, Jun Guo, Xinyu Chang, Zhangjun Liu, Jingwen Zhang and Shuai Ju
Water 2025, 17(18), 2713; https://doi.org/10.3390/w17182713 - 13 Sep 2025
Viewed by 354
Abstract
The intensification of global climate change has led to an increased frequency of extreme rainfall and temperature events, posing severe threats to China’s ecosystems and socio-economic systems. This study, based on multi-year daily precipitation, monthly surface air temperature, and daily near-surface temperature datasets, [...] Read more.
The intensification of global climate change has led to an increased frequency of extreme rainfall and temperature events, posing severe threats to China’s ecosystems and socio-economic systems. This study, based on multi-year daily precipitation, monthly surface air temperature, and daily near-surface temperature datasets, employs multi-year averaging, EOF mode analysis, Mann–Kendall testing, and R/S analysis. By selecting heavy-rain days, rainfall amount, rainfall intensity, and drought indices, it explores the spatiotemporal evolution and driving mechanisms of extreme rainfall, drought, and compound events across China. The analysis of extreme rainfall reveals that precipitation in China shows a “more in the southeast, less in the northwest; abundant in the southeast, sparse in the northwest” pattern. EOF analysis identifies two spatial modes for rainfall parameters, the “Eastern Coordination Mode” and the “North–South Antiphase Mode,” corresponding to heavy rainfall days, rainfall amount, and rainfall intensity. The Mann–Kendall test shows that some regions in the eastern monsoon zone have experienced a significant increase in heavy rainfall parameters, while certain areas in the northeast, southern China, and northwest have also undergone significant changes. By contrast, parts of the southwest have seen a decrease. R/S analysis reveals that the Hurst index is high in the eastern monsoon region, indicating a strong likelihood of continued upward trends in the future, while regions in the western arid and semi-arid zones and parts of the Tibetan Plateau exhibit stronger randomness in trends, leading to more alternating drought and flood events. The analysis of the drought index (SPI-3) reveals synchronized drought patterns in the central-eastern and northern regions, with “synergistic consistency,” “Northwest–Northeast Antiphase,” and “Northern–Central-South Antiphase” characteristics. The Mann–Kendall test indicates a “north-wet, south-dry” differentiation, with significant wetting in the northern regions and parts of the Tibetan Plateau, and significant drying in the central-eastern and southwestern regions. R/S analysis shows high Hurst indices across most of the northwest and northern regions, indicating stronger drought persistence, while coastal areas in the east are more prone to dry–wet transitions. In terms of compound events, high-temperature and heavy rainfall events have increased from northwest to southeast over the past 40 years, with southern China experiencing more than 200 days of such events. Significant changes have been observed in the eastern and southern coastal regions, with high Hurst indices and strong persistence in the eastern coastal areas. Low-temperature and heavy rainfall events are more frequent in the eastern coast and southwestern regions, with higher Hurst indices in the eastern and central regions, indicating strong persistence. Full article
(This article belongs to the Section Hydrology)
Show Figures

Figure 1

Back to TopTop