Sign in to use this feature.

Years

Between: -

Subjects

remove_circle_outline
remove_circle_outline
remove_circle_outline
remove_circle_outline
remove_circle_outline
remove_circle_outline
remove_circle_outline
remove_circle_outline
remove_circle_outline

Journals

Article Types

Countries / Regions

Search Results (139)

Search Parameters:
Keywords = domestic space heating

Order results
Result details
Results per page
Select all
Export citation of selected articles as:
33 pages, 2709 KB  
Article
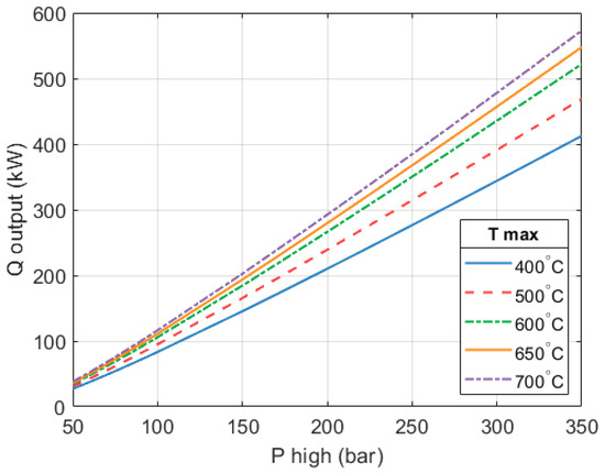
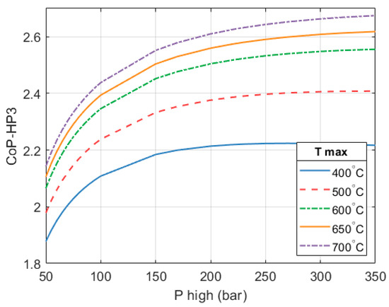
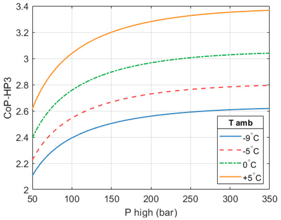
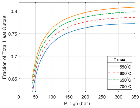
High-Performance Heat-Powered Heat Pumps
by Bruno Cárdenas, Seamus D. Garvey, Zahra Baniamerian and Ramin Mehdipour
Energies 2026, 19(1), 78; https://doi.org/10.3390/en19010078 - 23 Dec 2025
Abstract
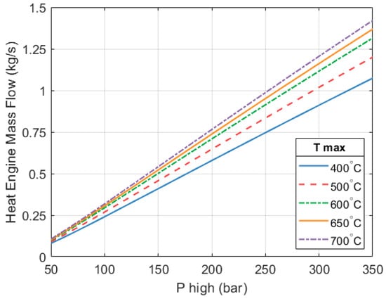
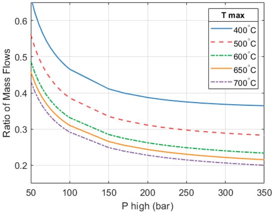
This paper introduces a zero-carbon heating solution called High-Performance Heat-Powered Heat Pumps (HP3), which combine the best attributes of hydrogen boilers and electric heat pumps. HP3 systems allow us to continue using the existing gas infrastructure, offer higher efficiencies than [...] Read more.
This paper introduces a zero-carbon heating solution called High-Performance Heat-Powered Heat Pumps (HP3), which combine the best attributes of hydrogen boilers and electric heat pumps. HP3 systems allow us to continue using the existing gas infrastructure, offer higher efficiencies than hydrogen boilers, and avoid overwhelming the electricity grid. An HP3 blends a heat engine and a heat pump into a single, fully integrated system sharing a common working fluid. This differentiates HP3 systems from gas-engine-driven heat pumps (GEHP), where the integration between subsystems is limited to a mechanical shaft. A parametric analysis of a propane-based system is presented. The heat engine section has two main design variables: the working fluid’s temperature (Tmax) and pressure (Phigh) after collecting high-grade heat from hydrogen combustion. Typical GEHPs achieve CoPs of around 1.8. The HP3 concept achieves a CoP of 2.59 considering a Tmax of 650 °C, Phigh of 250 bar, and an ambient temperature of −9 °C. The paper presents a model for the expander’s efficiency, which indicates that increasing the system’s output makes it possible to achieve a higher expansion efficiency with a lower rotational speed. Results show that HP3 is a promising concept for larger applications such as commercial buildings or district heating systems. Full article
(This article belongs to the Section J1: Heat and Mass Transfer)
Show Figures

Figure 1

38 pages, 3977 KB  
Review
Biomass for Residential Heating: A Review of Technologies, Applications, and Sustainability Aspects
by Jakub Katerla and Krzysztof Sornek
Energies 2025, 18(22), 5875; https://doi.org/10.3390/en18225875 - 7 Nov 2025
Viewed by 1377
Abstract
Biomass has long been a major source of energy for residential heating and, in recent decades, has regained attention as a renewable alternative to fossil fuels. This review explores the current state and prospects of domestic biomass-based heating technologies, including biomass-fired boilers, local [...] Read more.
Biomass has long been a major source of energy for residential heating and, in recent decades, has regained attention as a renewable alternative to fossil fuels. This review explores the current state and prospects of domestic biomass-based heating technologies, including biomass-fired boilers, local space heaters, and hybrid systems that integrate biomass with complementary renewable energy sources to deliver heat, electricity, and cooling. The review was conducted to identify key trends, performance data, and innovations in conversion technologies, fuel types, and efficiency enhancement strategies. The analysis highlights that biomass is increasingly recognized as a viable energy carrier for energy-efficient, passive, and nearly zero-energy buildings, particularly in cold climates where heating demand remains high. The analysis of the available studies shows that modern biomass-fired systems can achieve high energy performance while reducing environmental impact through advanced combustion control, optimized heat recovery, and integration with low-temperature heating networks. Overall, the findings demonstrate that biomass-based technologies, when designed and sourced efficiently and sustainably, can play a significant role in decarbonizing the residential heating sector and advancing nearly zero-energy building concepts. Full article
(This article belongs to the Special Issue Novel and Emerging Energy Systems)
Show Figures

Figure 1

23 pages, 1897 KB  
Article
Environmental Evaluation of Residential Heating: Comparative Life Cycle Assessment of Two Heating Systems
by Janez Turk, Andreea Oarga Mulec, Patricija Ostruh and Andraž Ceket
Buildings 2025, 15(21), 3977; https://doi.org/10.3390/buildings15213977 - 4 Nov 2025
Viewed by 864
Abstract
The purpose of the study is to evaluate the environmental performance of two systems for space heating and hot water provision in a residential building. In both cases, a ground-source heat pump is used. In the baseline system, the heat pump is driven [...] Read more.
The purpose of the study is to evaluate the environmental performance of two systems for space heating and hot water provision in a residential building. In both cases, a ground-source heat pump is used. In the baseline system, the heat pump is driven by electrical power from the grid. In the alternative system, photovoltaic thermal collectors are integrated into the building for domestic hot water preparation and the production of electricity. Excess heat produced in the summer is introduced to the borehole and extracted later, in the cooler part of the year. Environmental benchmarking of the two systems was conducted using the Life Cycle Assessment method. A cradle-to-grave approach was applied, taking into account all life cycle stages of the system and its operation over 20 years. Results show that the alternative system yields significantly lower impacts in terms of Global Warming Potential (36% decrease) and Resources (36% decrease). In terms of Human Health, the decrease is minor (6%). However, in terms of Ecosystem, the alternative system shows a 47% higher impact than the baseline system. This increase is primarily attributed to the additional components required in the alternative configuration. Full article
Show Figures

Figure 1

23 pages, 9347 KB  
Article
Influence of Scenarios for Space Heating and Domestic Hot Water in Buildings on the Winter Electricity Demand of Switzerland in 2050
by Krisztina Kelevitz, Michel Haller, Matthias Frommelt and Boris Meier
Energies 2025, 18(21), 5601; https://doi.org/10.3390/en18215601 - 24 Oct 2025
Viewed by 632
Abstract
Switzerland’s energy transition toward net-zero greenhouse gas emissions by 2050 presents a critical challenge in managing winter electricity demand, particularly due to the widespread electrification of space heating and domestic hot water. In this study, we assess how targeted measures in the building [...] Read more.
Switzerland’s energy transition toward net-zero greenhouse gas emissions by 2050 presents a critical challenge in managing winter electricity demand, particularly due to the widespread electrification of space heating and domestic hot water. In this study, we assess how targeted measures in the building sector can influence heat demand and thereby also the winter electricity gap. To this end, we extended the existing PowerCheck simulation tool by incorporating a detailed bottom-up representation of the Swiss building stock. We model hourly heat and electricity demand across 60 building categories, defined by climate zone, usage type, and insulation standard. Twelve future scenarios are developed based on variations in four key parameters: building renovation rate, hot water heat recovery, heat sources used by heat pumps, and ambient temperature trends. Our results indicate that renovation of old buildings to current insulation standards has by far the greatest effect out of the studied parameters. Increasing the annual thermal renovation rate of building shells from the currently planned 1.1% to 2% can reduce the winter electricity gap from 10.7 TWh to 6.0 TWh, a 44% reduction. Conversely, achieving only a low renovation rate of 0.5% could increase the gap to 13.9 TWh. Additional measures, such as greater use of ground-source instead of air-source heat pumps and implementation of hot water recovery, offer further potential for reduction. These findings underscore the importance of early and sustained investment in thermal renovation of building shells for achieving Switzerland’s 2050 net-zero climate targets. Full article
(This article belongs to the Section G: Energy and Buildings)
Show Figures

Figure 1

30 pages, 4983 KB  
Article
Multi-Energy Interplay in a Planned District Community with a Large Share of PV-Produced Electricity in a Nordic Climate
by Vartan Ahrens Kayayan, Diogo Cabral, Mattias Gustafsson and Fatemeh Johari
Buildings 2025, 15(17), 3112; https://doi.org/10.3390/buildings15173112 - 30 Aug 2025
Viewed by 740
Abstract
The world’s energy system faces major challenges due to transitions from fossil fuels to other alternatives. An important part of the transition is energy-efficient homes that partially produce their own electricity. This paper explores the energy interactions between heating, cooling, and electricity usage [...] Read more.
The world’s energy system faces major challenges due to transitions from fossil fuels to other alternatives. An important part of the transition is energy-efficient homes that partially produce their own electricity. This paper explores the energy interactions between heating, cooling, and electricity usage in a planned residential area in Sweden where a significant portion of the electricity is generated by solar PV systems. Conventional district heating and cooling systems and a low-temperature district heating system that uses return cascading technology were compared with heat pump systems. Electricity sharing in an energy community has a low impact on the calculated national energy efficiency metric. It is also shown that electrifying space heating with heat pumps improves the calculated energy efficiency metric, but heat pumps increase the peak power demand in the winter due to high heat demand and a lack of solar production. Using heat pumps for heating domestic hot water and compressor chillers for cooling offers a more balanced use/production of electricity since the electric cooling load is mostly met by local solar production, as shown by an increase in self-consumption of 8% and stable self-sufficiency. There is, however, a time mismatch between production and the peak electricity demand, which could be addressed by using energy storage systems. Full article
(This article belongs to the Section Building Energy, Physics, Environment, and Systems)
Show Figures

Figure 1

13 pages, 2989 KB  
Article
Employing Low-Concentration Photovoltaic Systems to Meet Thermal Energy Demand in Buildings
by Ali Hasan Shah, Ahmed Hassan, Shaimaa Abdelbaqi, Mahmoud Haggag and Mohammad Shakeel Laghari
Buildings 2025, 15(17), 2994; https://doi.org/10.3390/buildings15172994 - 22 Aug 2025
Viewed by 546
Abstract
This study evaluates the energy performance and efficiency of a low-concentration photovoltaic (CPV) system integrated with a phase change material (PCM), referred to as the CPV–PCM system, which stores and delivers thermal energy for building applications. A paraffin-based PCM with a melting point [...] Read more.
This study evaluates the energy performance and efficiency of a low-concentration photovoltaic (CPV) system integrated with a phase change material (PCM), referred to as the CPV–PCM system, which stores and delivers thermal energy for building applications. A paraffin-based PCM with a melting point range of 58–60 °C was selected to align with typical building temperature requirements. The system was tested over three consecutive days in July at Al Ain, United Arab Emirates, under extreme climatic conditions (2100 W/m2 solar irradiance, 35–45 °C ambient temperature), and its performance was compared to standard CPV and traditional tracked PV systems. The results demonstrate that PCM integration significantly enhances thermal regulation, reducing CPV peak temperatures by 38 °C (from 123 °C to 85 °C) and average temperatures by 22 °C (from 88 °C to 66 °C). The CPV–PCM system achieved a total energy efficiency of 60%, doubling that of standard CPV (30%) and tracked PV (25%), with cumulative electrical and thermal energy outputs of 370 Wh and 290 Wh, respectively. This dual electrical–thermal output enables the system to meet building heating demands, such as ~200–300 Wh/m2 for domestic hot water and ~100–150 Wh/m2 for space heating in United Arab Emirates winters, positioning it as a sustainable solution for energy-efficient buildings in arid regions. The findings underscore the advantages of PCM-based thermal control in CPV systems for hot climates, addressing gaps in prior studies focused on moderate conditions. Future research should explore long-term durability, optimized containment techniques, and alternative PCMs to further improve performance. Full article
(This article belongs to the Section Building Energy, Physics, Environment, and Systems)
Show Figures

Figure 1

16 pages, 2467 KB  
Article
Optimal Collector Tilt Angle to Maximize Solar Fraction in Residential Heating Systems: A Numerical Study for Temperate Climates
by Krzysztof Kupiec and Barbara Król
Sustainability 2025, 17(14), 6385; https://doi.org/10.3390/su17146385 - 11 Jul 2025
Cited by 1 | Viewed by 1581
Abstract
The performance of solar thermal systems for space heating and domestic hot water (DHW) production depends on the tilt angle of solar collectors, which governs the amount and seasonal distribution of captured solar radiation. This study evaluates the impact of fixed collector tilt [...] Read more.
The performance of solar thermal systems for space heating and domestic hot water (DHW) production depends on the tilt angle of solar collectors, which governs the amount and seasonal distribution of captured solar radiation. This study evaluates the impact of fixed collector tilt angles on the annual solar fraction (SF) of a solar heating system designed for a typical single-family house located in Kraków, Poland (50° N latitude). A numerical model based on the f-Chart method was employed to simulate system performance under varying collector areas, storage tank volumes, heat exchanger characteristics, and DHW proportions. The analysis revealed that although total annual irradiation decreases with increasing tilt angle, the SF reaches a maximum at a tilt angle of approximately 60°, which is about 10° higher than the local geographic latitude. This configuration offers a favorable balance between winter energy gain and summer overheating mitigation. The results align with empirical recommendations in the literature and offer practical guidance for optimizing fixed-tilt solar heating systems in temperate climates. Full article
Show Figures

Figure 1

22 pages, 1852 KB  
Review
State-of-the-Art Methodologies for Self-Fault Detection, Diagnosis and Evaluation (FDDE) in Residential Heat Pumps
by Francesco Pelella, Adelso Flaviano Passarelli, Belén Llopis-Mengual, Luca Viscito, Emilio Navarro-Peris and Alfonso William Mauro
Energies 2025, 18(13), 3286; https://doi.org/10.3390/en18133286 - 23 Jun 2025
Viewed by 922
Abstract
The European Union’s 2050 targets for decarbonization and electrification are promoting the widespread integration of heat pumps for space heating, cooling, and domestic hot water in buildings. However, their energy and environmental performance can be significantly compromised by soft faults, such as refrigerant [...] Read more.
The European Union’s 2050 targets for decarbonization and electrification are promoting the widespread integration of heat pumps for space heating, cooling, and domestic hot water in buildings. However, their energy and environmental performance can be significantly compromised by soft faults, such as refrigerant leakage or heat exchanger fouling, which may reduce system efficiency by up to 25%, even with maintenance intervals every two years. As a result, the implementation of self-fault detection, diagnosis, and evaluation (FDDE) tools based on operational data has become increasingly important. The complexity and added value of these tools grow as they progress from simple fault detection to quantitative fault evaluation, enabling more accurate and timely maintenance strategies. Direct fault measurements are often unfeasible due to spatial, economic, or intrusiveness constraints, thus requiring indirect methods based on low-cost and accessible measurements. In such cases, overlapping fault symptoms may create diagnostic ambiguities. Moreover, the accuracy of FDDE approaches depends on the type and number of sensors deployed, which must be balanced against cost considerations. This paper provides a comprehensive review of current FDDE methodologies for heat pumps, drawing insights from the academic literature, patent databases, and commercial products. Finally, the role of artificial intelligence in enhancing fault evaluation capabilities is discussed, along with emerging challenges and future research directions. Full article
(This article belongs to the Section G: Energy and Buildings)
Show Figures

Figure 1

25 pages, 9060 KB  
Article
Generating 1 km Seamless Land Surface Temperature from China FY3C Satellite Data Using Machine Learning
by Xinhan Liu, Weiwei Zhu, Qifeng Zhuang, Tao Sun and Ziliang Chen
Appl. Sci. 2025, 15(11), 6202; https://doi.org/10.3390/app15116202 - 30 May 2025
Viewed by 1100
Abstract
Land Surface Temperature (LST), as a core variable in the coupling of land–atmosphere energy transfers and ecological responses, relies heavily on the global coverage capacity of thermal infrared remote sensing (TIR-LST) for dynamic monitoring. Currently, the time reconstruction method of the TIR-LST products [...] Read more.
Land Surface Temperature (LST), as a core variable in the coupling of land–atmosphere energy transfers and ecological responses, relies heavily on the global coverage capacity of thermal infrared remote sensing (TIR-LST) for dynamic monitoring. Currently, the time reconstruction method of the TIR-LST products from China’s Fengyun polar-orbiting satellite under dynamic cloud interference remains under exploration. This study focuses on the Heihe River Basin in western China, and addresses the issue of cloud coverage in relation to the Fengyun-3C (FY-3C) satellite TIR-LST. An innovative spatiotemporal reconstruction framework based on multi-source data collaboration was developed. Using a hybrid ensemble learning framework of random forest and ridge regression, environmental parameters such as vegetation index (NDVI), land cover type (LC), digital elevation model (DEM), and terrain slope were integrated. A downscaling and multi-factor collaborative representation model for land surface temperature was constructed, thereby integrating the passive microwave LST and thermal infrared VIRR-LST from the FY-3C satellite. This produced a seamless LST dataset with 1 km resolution for the period of 2017–2019, with temporal continuity across space. The validation results show that the reconstructed data significantly improves accuracy compared to the original VIRR-LST and demonstrates notable spatiotemporal consistency with MODIS LST at the daily scale (annual R2 ≥ 0.88, RMSE < 2.3 K). This method successfully reconstructed the FY-3C satellite’s 1 km level all-weather LST time series, providing reliable technical support for the use of domestic satellite data in remote sensing applications such as ecological drought monitoring and urban heat island tracking. Full article
Show Figures

Figure 1

17 pages, 30373 KB  
Article
Experimental Investigation of Heat Pump Modules Limited to 150 g of Refrigerant R290 and a Dedicated Test Rig
by Stephan Preisinger, Michael Lauermann, Micha Schwarzfurtner, Sebastian Fischer, Stephan Kling, Heinz Moisi and Christoph Reichl
Energies 2025, 18(10), 2455; https://doi.org/10.3390/en18102455 - 10 May 2025
Cited by 1 | Viewed by 870
Abstract
Heat pumps are widely regarded as a key technology for sustainable heating, offering a pathway to significantly reduce fossil fuel dependency and combat the climate crisis. However, replacing individual gas boilers with heat pumps in multi-unit residential buildings remains a substantial challenge despite [...] Read more.
Heat pumps are widely regarded as a key technology for sustainable heating, offering a pathway to significantly reduce fossil fuel dependency and combat the climate crisis. However, replacing individual gas boilers with heat pumps in multi-unit residential buildings remains a substantial challenge despite its immense potential to lower urban greenhouse gas emissions. To address this, the following paper describes the development of a compact, modular heat pump system designed to replace conventional gas boilers, focusing on the building and testing of a prototype for such a modular heat pump system. The prototype supports multiple functionalities, including space heating, cooling, and domestic hot water production. The performance advantages of two different compressor technologies were exploited to optimize the efficiency of the complete system and the pressure lifts associated with applications for heating and domestic hot water production. Thus, measurements were conducted across a range of operating points, comparing different heat pump module types. In the case of the piston compressor module, the Carnot efficiency was in the range of 47.2% to 50.4%. The total isentropic efficiency for floor heating and domestic hot water production was above 0.45 for both piston and rotary compressors. Full article
(This article belongs to the Special Issue Advances in Refrigeration and Heat Pump Technologies)
Show Figures

Figure 1

21 pages, 11068 KB  
Article
CFD-Guided Design of Non-Uniform Flow Channels in PEMFCs for Waste Heat Utilization in District Heating Networks
by Dai Cui, Dong Liu, Peng Yu, Jiayi Li, Zhi Zhou, Meishan Zhang, Qun Chen and Fang Yuan
Energies 2025, 18(8), 1873; https://doi.org/10.3390/en18081873 - 8 Apr 2025
Cited by 1 | Viewed by 808
Abstract
Proton exchange membrane fuel cells (PEMFCs), recognized as promising sources of waste heat for space heating, domestic hot water supply, and industrial thermal applications, have garnered substantial interest owing to their environmentally benign operation and high energy conversion efficiency. Since the uniformity of [...] Read more.
Proton exchange membrane fuel cells (PEMFCs), recognized as promising sources of waste heat for space heating, domestic hot water supply, and industrial thermal applications, have garnered substantial interest owing to their environmentally benign operation and high energy conversion efficiency. Since the uniformity of oxygen diffusion toward catalytic layers critically governs electrochemical performance, this study establishes a three-dimensional, non-isothermal computational fluid dynamics (CFD) model to systematically optimize the cathode flow channel width distribution, targeting the maximization of power output through enhanced reactant homogeneity. Numerical results reveal that non-uniform flow channel geometries markedly improve oxygen distribution uniformity, reducing the flow inhomogeneity coefficient by 6.6% while elevating maximum power density and limiting current density by 9.1% and 7.8%, respectively, compared to conventional equal-width designs. There were improvements attributed to the establishment of longitudinal oxygen concentration gradients and we alleviated mass transfer limitations. Synergistic integration with gas diffusion layer (GDL) gradient porosity optimization further amplifies performance, yielding a 12.4% enhancement in maximum power density and a 10.4% increase in limiting current density. These findings validate the algorithm’s efficacy in resolving coupled transport constraints and underscore the necessity of multi-component optimization for advancing PEMFC design. Full article
(This article belongs to the Section J1: Heat and Mass Transfer)
Show Figures

Figure 1

22 pages, 2774 KB  
Article
Innovative Prefabricated Wall Panel for Solar Utilization and Energy Efficiency: Building-Integrated Heat Pipe-Embedded System for Cooling-Dominant Zones
by Hui Long and Yangguang Xu
Buildings 2025, 15(4), 559; https://doi.org/10.3390/buildings15040559 - 12 Feb 2025
Cited by 2 | Viewed by 1598
Abstract
Buildings are major contributors to carbon emissions, emphasizing the need for energy efficiency. However, existing solar-integrated building façades often face integration and adaptability challenges. The aim of this study is to propose and evaluate an innovative building-integrated heat pipe-embedded (BiHPe) prefabricated wall panel [...] Read more.
Buildings are major contributors to carbon emissions, emphasizing the need for energy efficiency. However, existing solar-integrated building façades often face integration and adaptability challenges. The aim of this study is to propose and evaluate an innovative building-integrated heat pipe-embedded (BiHPe) prefabricated wall panel for sustainable building design. By embedding heat pipes into concrete walls, the system transfers solar energy to domestic water. The performance of the system is evaluated using a comprehensive approach that integrates dynamic modeling, experimental validation, parametric analysis, and a case study. A dynamic energy balance model was developed and experimentally validated, identifying key factors affecting system performance, such as heat pipe spacing, absorber material, and heat pipe placement and configuration. Parametric analysis was conducted to assess the impact of these variables. Simulation results from a case study in Hong Kong show that the system reduces wall heat transmission to 76.1%, achieves a water gain efficiency of 16.7%, and saves 162 kWh/m2 of electricity annually. Additionally, the system stabilizes indoor temperatures, improving thermal comfort. The BiHPe panel offers a multifunctional solution that combines energy efficiency, thermal comfort, and water heating, demonstrating exceptional adaptability and performance in cooling-dominant zones, making it a promising option for sustainable building design. Full article
(This article belongs to the Special Issue Development of Indoor Environment Comfort)
Show Figures

Figure 1

31 pages, 9374 KB  
Article
Evaluation and Optimization Strategies of the Living Environment in One Resettlement Area of the South-to-North Water Diversion Project
by Dong Yan, Jingxin Zhao, Ran Chen and Biao Wang
Sustainability 2025, 17(1), 202; https://doi.org/10.3390/su17010202 - 30 Dec 2024
Viewed by 1224
Abstract
Taking Yunyu New Village in Nanyang City, a typical newly built resettlement area of the South-to-North Water Diversion Project of China, as an example, this paper tries to construct a health environment evaluation index system for the resettlement area and determines the priority [...] Read more.
Taking Yunyu New Village in Nanyang City, a typical newly built resettlement area of the South-to-North Water Diversion Project of China, as an example, this paper tries to construct a health environment evaluation index system for the resettlement area and determines the priority and content of residential environment renovation in the resettlement area through residents’ health satisfaction evaluation and IPA analysis. The results revealed that six factors, namely, winter insulation, summer heat insulation, quality of domestic drinking water, indoor natural light environment, humanized design, and architectural plane function design, need to be renovated first. For the indoor environment, which is the focus of renovation, the light and heat environments were evaluated via field measurements and simulation experiments. The results show that the indoor comfort, daylighting, and energy savings of the surveyed buildings all fail to meet Chinese building design standards. Corresponding optimization strategies for indoor ventilation, thermal insulation performance of the envelope structure, and window wall ratio are proposed and verified via relevant software simulations and immigrants’ wishes. For the outdoor environment, we investigate the living habits and renovation needs of immigrants from the aspects of public space and courtyard space in the resettlement area and propose corresponding optimization strategies. The results of this research can help enhance the sense of gain and happiness of immigrants in the resettlement and provide a reference for improving the living environment of the same type of immigrant resettlement area. Full article
(This article belongs to the Section Sustainable Urban and Rural Development)
Show Figures

Figure 1

16 pages, 6464 KB  
Article
Prospects on Mixed Tutton Salt (K0.86Na0.14)2Ni(SO4)2(H2O)6 as a Thermochemical Heat Storage Material
by Jacivan V. Marques, João G. de Oliveira Neto, Otávio C. da Silva Neto, Adenilson O. dos Santos and Rossano Lang
Processes 2025, 13(1), 1; https://doi.org/10.3390/pr13010001 - 24 Dec 2024
Cited by 11 | Viewed by 1727
Abstract
In this paper, a novel mixed Tutton salt (K0.86Na0.14)2Ni(SO4)2(H2O)6 was successfully synthesized as a single crystal and evaluated as a thermochemical heat storage material. Its thermal and thermochemical properties were [...] Read more.
In this paper, a novel mixed Tutton salt (K0.86Na0.14)2Ni(SO4)2(H2O)6 was successfully synthesized as a single crystal and evaluated as a thermochemical heat storage material. Its thermal and thermochemical properties were correlated with the structure, which was determined by powder X-ray diffraction using the Le Bail and Rietveld methods. The elemental ratio between the K+ and Na+ monovalent cations was established by energy-dispersive X-ray spectroscopy. Similar compounds such as Na2Ni(SO4)2(H2O)4 and K2Ni(SO4)2(H2O)6 were also synthesized and used for structural comparisons. The (K0.86Na0.14)2Ni(SO4)2(H2O)6 salt crystallizes in monoclinic symmetry with the P21/c-space group, typical of hexahydrate crystals from the Tutton salt family. The lattice parameters closely resemble those of K2Ni(SO4)2(H2O)6. A comprehensive analysis of the intermolecular contacts, based on Hirshfeld surfaces and 2D fingerprint mappings, revealed that the primary interactions are hydrogen bonds (H···O/O···H) and ion-dipole interactions (K/Na···O/O···Na/K). The unit cell exhibits minimal void space, accounting for only 0.2%, indicative of strong atomic packing. The intermolecular molecular and atomic packing are important factors influencing crystal lattice stabilization and thermal energy supplied to release crystallographic H2O. The thermal stability of mixed Tutton salt ranges from 300 K to 365 K. Under the dehydration of its six H2O molecules, the dehydration reaction enthalpy reaches 349.8 kJ/mol, yielding a thermochemical energy storage density of 1.79 GJ/m3. With an H2O desorption temperature ≤393 K and a high energy storage density ≥1.3 GJ/m3 (criteria established for applications at the domestic level), the (K0.86Na0.14)2Ni(SO4)2(H2O)6 shows potential as a thermochemical material for small-sized heat batteries. Full article
Show Figures

Figure 1

13 pages, 1388 KB  
Article
Developing a Community-Based Carbon Footprint Questionnaire: Towards a Dynamic Understanding of How Personal Behaviour Interacts with Policy and Economic Change
by Philip Haynes
Sustainability 2024, 16(21), 9211; https://doi.org/10.3390/su16219211 - 24 Oct 2024
Viewed by 2229
Abstract
Carbon footprint measures evidence the impact of organizations and individuals’ contribution to climate change. They can facilitate critical reflection. A community carbon footprint questionnaire is developed in cooperation with local people to enable them to reflect on how to reduce their personal carbon [...] Read more.
Carbon footprint measures evidence the impact of organizations and individuals’ contribution to climate change. They can facilitate critical reflection. A community carbon footprint questionnaire is developed in cooperation with local people to enable them to reflect on how to reduce their personal carbon footprint in relation to their social and economic context. The instrument is operationalised in an Anglican church community who have stated an aim to reduce their footprint. It is designed to help participants make a self-assessment of where their behaviour change will make the most social impact. There are three components to the total score: (A) transportation, (B) accommodation energy use, and (C) consumer behaviour. Forty two participants respond. The average carbon footprint score is 5.8 tonnes per annum. Older and middle-aged people are more likely to have a higher footprint than younger adults. This is associated with them having a larger accommodation and being more dependent on private cars. Accommodation energy use contributes the most to the participants’ total scores. Living in smaller accommodation and sharing an accommodation reduces an individual’s carbon footprint. The second largest component is transportation, with the use of diesel- and petrol-fuelled cars contributing the biggest impact, especially where mileage is high. A minority are moving towards electric and hybrid cars. Finally, the smallest contributing component is consumer behaviour, where participants’ scores are the least dispersed in the sample compared to the other components and closer to the mean average. Participants are more likely to make commitments to changing consumer behaviour than changing transportation and domestic energy use and often focus on recycling, reducing the consumption of meat and new goods, and repairing older items. In contrast, when the results are located in the context of changes in policy, the simplest gains to reducing carbon footprints are related to changing behaviour in the purchase of household electricity to ensure the purchase of renewable power. Other important considerations are reducing the size and heated area of an individual’s accommodation space, or sharing an accommodation with more people, and moving away from the use of diesel- and petrol-fuelled private transportation, instead using public transport, cycling, and walking. More complex and expensive strategies for individuals are installing solar panels and heat pumps for accommodation energy generation, and switching personal transportation to electric cars. Policy analysis suggests that participants were largely unaware of new opportunities to change their consumption of electricity towards renewable generation by purchasing greener electricity options. Full article
Show Figures

Figure 1

Back to TopTop