CFD-Guided Design of Non-Uniform Flow Channels in PEMFCs for Waste Heat Utilization in District Heating Networks
Abstract
1. Introduction
2. Model Development
2.1. Governing Equations
2.2. Physical Geometry and Operating Conditions
2.3. Grid Independency and Model Validation
3. Optimization Method of Flow Channel Width
3.1. Evolutionary Algorithm Based on CFD
- (1)
- Calculate the PEMFC with equal-width flow channels, along with the operating conditions in the PEMFC add-on module of ANSYS Fluent.
- (2)
- Calculate the PEMFC with non-equal-width flow channels and obtain the corresponding flow and concentration fields.
- (3)
- Calculate the relaxation factor according to Equation (31). Update the widths of the tributary channels using Equation (30).
- (4)
- Recalculate the flow and concentration fields of the optimized PEMFC model with the updated tributary widths.
- (5)
- Determine the convergence condition of the evolutionary algorithm. If the tolerance is met, the evolutionary procedure ends. Otherwise, the algorithm reverts to Step 3 for another round of recursion.
- (6)
- Export the results of the optimal distribution of non-equal channel widths in the PEMFC.
3.2. The Effectiveness of Evolutionary Algorithms
3.3. Analysis of Optimized Model
4. Coupled Optimization of the GDL Porosity
4.1. Optimization Strategy for GDL Porosity
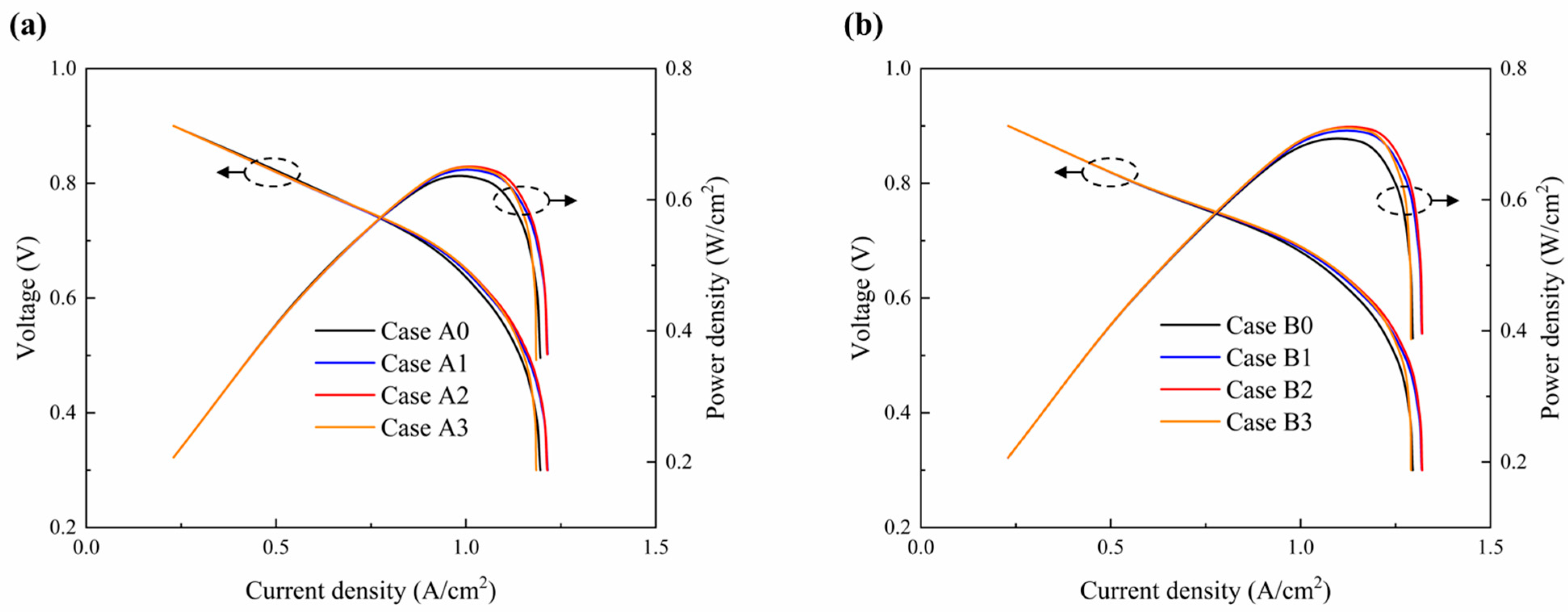
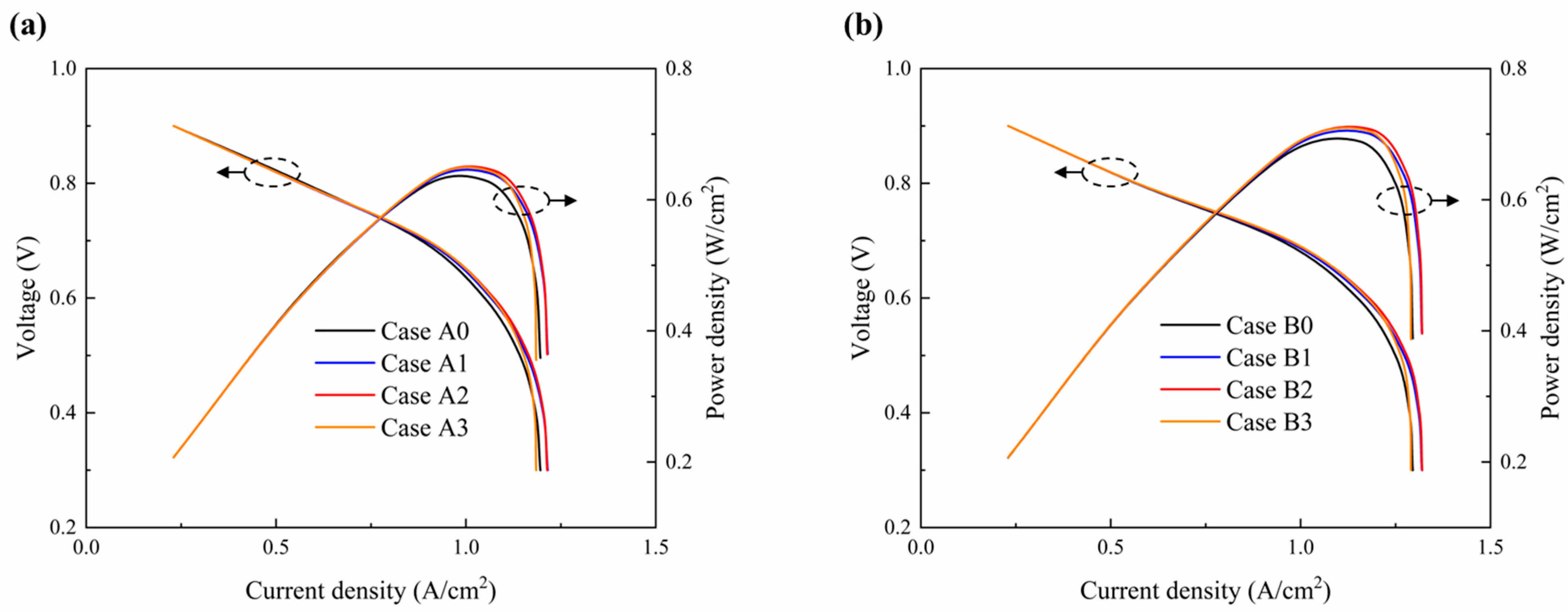
4.2. Results and Discussion
5. Conclusions
Author Contributions
Funding
Data Availability Statement
Conflicts of Interest
Nomenclature
| U | velocity, m s−1 |
| S | source term |
| M | molar mass, kg mol−1 |
| j | exchange current density, A m−3 |
| F | Faraday constant, A mol−1 |
| C | molar concentration, mol m−3 |
| R | ideal gas constant, J mol−1 K−1 |
| T | temperature, K |
| V0 | thermodynamic equilibrium potential, V |
| P | pressure, Pa |
| K | permeability, m−2 |
| s | liquid water saturation |
| Cp | constant pressure specific heat capacity, J kg−1 K−1 |
| k | thermal conductivity, W m−1 K−1 |
| I | current density, A m−2 |
| Y | mass fraction |
| D | diffusion coefficient |
| cr | condensation rate constant, s−1 |
| Q | mass flow rate, kg s−1 |
| A | area, m2 |
| dp | diameter of the porous particle, m |
| Rohm | ohmic resistance, Ω |
| hrea | heat production by electrochemical reaction, J |
| hL | latent heat of water phase transition, J |
| d | width of channels, m |
| x, y, z | Cartesian coordinates, m |
| v | velocity component in y directions, m s−1 |
| ε0 | average porosity of GDL |
| Greek Letters | |
| ε | porosity |
| ρ | density, kg m−3 |
| α | transfer coefficient |
| η | overpotential, V |
| φ | electric potential, V |
| μ | dynamic viscosity, Pa s |
| σ | proton conductivity, S m−1 |
| ζ | stoichiometric ratio |
| γ | relaxation factor |
| ω | inhomogeneity coefficient |
| β | effective mass transfer coefficient |
| Subscript | |
| g | gas |
| l | liquid |
| m | mass |
| i | species (H2, O2, H2O) |
| a | anode |
| c | cathode |
| ref | reference |
| eff | effective |
| sol | solid |
| mem | membrane |
| mom | momentum |
| ene | energy |
| wv | water vapor |
| sv | saturated vapor |
| cap | capillary |
| tot | total |
| cos | consumption |
| in | inlet |
| out | outlet |
| Abbreviations | |
| BP | bipolar plate |
| FC | flow channel |
| GDL | gas diffusion layer |
| CL | catalyst layer |
| PEM | proton exchange membrane |
| CFC | cathode flow channel |
| CGDL | cathode gas diffusion layer |
| CCL | cathode catalyst layer |
| PEMFC | proton exchange membrane fuel cell |
| EMTC | effective mass transfer coefficient |
References
- Kondratiev, V.V.; Sysoev, I.A.; Kolosov, A.D.; Galishnikova, V.V.; Gladkikh, V.A.; Karlina, A.I.; Karlina, Y.I. Development and Testing of the Thermoelectric Thermal Energy Conversion Device in the Conditions of Existing Aluminum Production. Materials 2022, 15, 8526. [Google Scholar] [CrossRef] [PubMed]
- Kandlikar, S.G.; Lu, Z. Thermal management issues in a PEMFC stack—A brief review of current status. Appl. Therm. Eng. 2009, 29, 1276–1280. [Google Scholar]
- Wang, Y.; Chen, K.S.; Mishler, J.; Cho, S.C.; Adroher, X.C. A review of polymer electrolyte membrane fuel cells: Technology, applications, and needs on fundamental research. Appl. Energy 2011, 88, 981–1007. [Google Scholar]
- Zhao, Y.; Mao, Y.; Zhang, W.; Tang, Y.; Wang, P. Reviews on the effects of contaminations and research methodologies for PEMFC. Int. J. Hydrogen Energy 2020, 45, 23174–23200. [Google Scholar]
- Abdi, H.; Messaoudene, N.A.; Kolsi, L.; Belazzoug, M. Multi-Objective Optimization of Operating Parameters of a PEMFC under Flooding Conditions Using the Non-Dominated Sorting Genetic Algorithm. Therm. Sci. 2019, 23, 3525–3537. [Google Scholar]
- Abdi, H.; Messaoudene, N.A.; Kolsi, L.; Naceur, M.W. Modeling and Optimization of a Proton Exchange Membrane Fuel Cell Using Particle Swarm Algorithm with Constriction Coefficient. J. Therm. Anal. Calorim. 2021, 144, 1749–1759. [Google Scholar]
- Li, X.; Sabir, I. Review of bipolar plates in PEM fuel cells: Flow-field designs. Int. J. Hydrogen Energy 2005, 30, 359–371. [Google Scholar]
- Song, Y.; Zhang, C.; Ling, C.Y.; Han, M.; Yong, R.Y.; Sun, D.; Chen, J. Review on current research of materials, fabrication and application for bipolar plate in proton exchange membrane fuel cell. Int. J. Hydrogen Energy 2020, 45, 29832–29847. [Google Scholar]
- Siegel, C. Review of computational heat and mass transfer modeling in polymer-electrolyte-membrane (PEM) fuel cells. Energy 2008, 33, 1331–1352. [Google Scholar]
- Wilberforce, T.; Ijaodola, O.; Ogungbemi, E.; Khatib, F.; Leslie, T.; El-Hassan, Z.; Thomposon, J.; Olabi, A. Technical evaluation of proton exchange membrane (PEM) fuel cell performance—A review of the effects of bipolar plates coating. Renew. Sustain. Energy Rev. 2019, 113, 109286. [Google Scholar] [CrossRef]
- Mancusi, E.; Fontana, É.; de Souza, A.A.U.; de Souza, S.M.G.U. Numerical study of two-phase flow patterns in the gas channel of PEM fuel cells with tapered flow field design. Int. J. Hydrogen Energy 2014, 39, 2261–2273. [Google Scholar] [CrossRef]
- Liu, S.; Chen, T.; Xie, Y.; Zhang, J.; Wu, C. Numerical simulation and experimental study on the effect of symmetric and asymmetric bionic flow channels on PEMFC performance under gravity. Int. J. Hydrogen Energy 2019, 44, 29618–29630. [Google Scholar] [CrossRef]
- Tan, Q.; Lei, H.; Liu, Z. Numerical simulation analysis of the performance on the PEMFC with a new flow field designed based on constructal-theory. Int. J. Hydrogen Energy 2022, 47, 11975–11990. [Google Scholar] [CrossRef]
- Kuo, J.K.; Chen, C. Evaluating the enhanced performance of a novel wave-like form gas flow channel in the PEMFC using the field synergy principle. J. Power Sources 2006, 162, 1122–1129. [Google Scholar] [CrossRef]
- Perng, S.-W.; Wu, H.-W. Non-isothermal transport phenomenon and cell performance of a cathodic PEM fuel cell with a baffle plate in a tapered channel. Appl. Energy 2011, 88, 52–67. [Google Scholar] [CrossRef]
- Min, C.; Li, F.; Gao, X.; Wang, K.; Rao, Z. Secondary flow on the performance of PEMFC with blocks in the serpentine flow field. Int. J. Hydrogen Energy 2022, 47, 28945–28955. [Google Scholar] [CrossRef]
- Yoon, Y.-G.; Lee, W.-Y.; Park, G.-G.; Yang, T.-H.; Kim, C.-S. Effects of channel rib widths of flow field plates on the performance of a PEMFC. Int. J. Hydrogen Energy 2005, 30, 1363–1366. [Google Scholar] [CrossRef]
- Santamaria, A.D.; Cooper, N.J.; Becton, M.K.; Park, J.W. Effect of channel length on interdigitated flow-field PEMFC performance: A computational and experimental study. Int. J. Hydrogen Energy 2013, 38, 16253–16263. [Google Scholar] [CrossRef]
- Freire, L.S.; Antolini, E.; Linardi, M.; Santiago, E.I.; Passos, R.R. Influence of operational parameters on the performance of PEMFCs with serpentine flow field channels having different (rectangular and trapezoidal) cross-section shape. Int. J. Hydrogen Energy 2014, 39, 12052–12060. [Google Scholar] [CrossRef]
- Sajid Hossain, M.; Shabani, B.; Cheung, C.P. Enhanced gas flow uniformity across parallel channel cathode flow field of Proton Exchange Membrane fuel cells. Int. J. Hydrogen Energy 2017, 42, 5272–5283. [Google Scholar] [CrossRef]
- Zhang, W.; Hu, P.; Lai, X.; Peng, L. Analysis and optimization of flow distribution in parallel-channel configurations for proton exchange membrane fuel cells. J. Power Sources 2009, 194, 931–940. [Google Scholar]
- Ahmed, D.H.; Sung, H.J. Effects of channel geometrical configuration and shoulder width on PEMFC performance at high current density. J. Power Sources 2006, 162, 327–339. [Google Scholar]
- Xia, L.; Xu, Q.; He, Q.; Ni, M.; Seng, M. Numerical study of high temperature proton exchange membrane fuel cell (HT-PEMFC) with a focus on rib design. Int. J. Hydrogen Energy 2021, 46, 21098–21111. [Google Scholar] [CrossRef]
- Shimpalee, S.; Vanzee, J. Numerical studies on rib & channel dimension of flow-field on PEMFC performance. Int. J. Hydrogen Energy 2007, 32, 842–856. [Google Scholar]
- Zhan, Z.; Xiao, J.; Li, D.; Pan, M.; Yuan, R. Effects of porosity distribution variation on the liquid water flux through gas diffusion layers of PEM fuel cells. J. Power Sources 2006, 160, 1041–1048. [Google Scholar]
- Chen, F.; Chang, M.; Hsieh, P. Two-phase transport in the cathode gas diffusion layer of PEM fuel cell with a gradient in porosity. Int. J. Hydrogen Energy 2008, 33, 2525–2529. [Google Scholar]
- Xia, L.; Ni, M.; He, Q.; Xu, Q.; Cheng, C. Optimization of gas diffusion layer in high temperature PEMFC with the focuses on thickness and porosity. Appl. Energy 2021, 300, 117357. [Google Scholar]
- Yin, B.; Xu, S.; Yang, S.; Dong, F. Influence of Microelliptical Groove Gas Diffusion Layer (GDL) on Transport Behavior of Proton Exchange Membrane Fuel Cell (PEMFC). Int. J. Heat Mass Transf. 2021, 180, 121793. [Google Scholar]
- Xing, L.; Shi, W.; Su, H.; Xu, Q.; Das, P.K.; Mao, B.; Scott, K. Membrane electrode assemblies for PEM fuel cells: A review of functional graded design and optimization. Energy 2019, 177, 445–464. [Google Scholar]
- Chu, H.-S.; Yeh, C.; Chen, F. Effects of porosity change of gas diffuser on performance of proton exchange membrane fuel cell. J. Power Sources 2003, 123, 1–9. [Google Scholar]
- Guo, L.; Chen, L.; Zhang, R.; Peng, M.; Tao, W.-Q. Pore-scale simulation of two-phase flow and oxygen reactive transport in gas diffusion layer of proton exchange membrane fuel cells: Effects of nonuniform wettability and porosity. Energy 2022, 253, 124101. [Google Scholar]
- Kanchan, B.K.; Randive, P.; Pati, S. Implications of non-uniform porosity distribution in gas diffusion layer on the performance of a high temperature PEM fuel cell. Int. J. Hydrogen Energy 2021, 46, 18571–18588. [Google Scholar]
- Zhan, Z.; Xiao, J.; Zhang, Y.; Pan, M.; Yuan, R. Gas diffusion through differently structured gas diffusion layers of PEM fuel cells. Int. J. Hydrogen Energy 2007, 32, 4443–4451. [Google Scholar]
- Ko, D.; Doh, S.; Park, H.S.; Kim, M.H. The effect of through plane pore gradient GDL on the water distribution of PEMFC. Int. J. Hydrogen Energy 2018, 43, 2369–2380. [Google Scholar] [CrossRef]
- Sun, W.; Peppley, B.A.; Karan, K. Modeling the Influence of GDL and flow-field plate parameters on the reaction distribution in the PEMFC cathode catalyst layer. J. Power Sources 2005, 144, 42–53. [Google Scholar]
- Shi, L.; Xu, S.; Liu, J. Influences of assembly pressure and flow channel size on performances of proton exchange membrane fuel cells based on a multi-model. Int. J. Hydrogen Energy 2022, 47, 7902–7914. [Google Scholar]
- Zhang, S.Y.; Qu, Z.G.; Xu, H.T.; Talkhoncheh, F.K.; Liu, S.; Gao, Q. A numerical study on the performance of PEMFC with wedge-shaped fins in the cathode channel. Int. J. Hydrogen Energy 2021, 46, 27700–27708. [Google Scholar] [CrossRef]
- Kim, K.H.; Lee, K.Y.; Lee, S.Y.; Cho, E.; Lim, T.H.; Kim, H.J.; Yoon, S.P.; Kim, S.H.; Lim, T.W.; Jang, J.H. The effects of relative humidity on the performances of PEMFC MEAs with various Nafion® ionomer contents. Int. J. Hydrogen Energy 2010, 35, 13104–13110. [Google Scholar]
- Shen, J.; Zeng, L.; Liu, Z.; Liu, W. Performance investigation of PEMFC with rectangle blockages in Gas Channel based on field synergy principle. Heat Mass Transf. 2018, 55, 811–822. [Google Scholar] [CrossRef]
- Shen, J.; Tu, Z.; Chan, S.H. Enhancement of mass transfer in a proton exchange membrane fuel cell with blockage in the flow channel. Appl. Therm. Eng. 2019, 149, 1408–1418. [Google Scholar]















| Parameter | Value |
|---|---|
| Tributary length, mm | 51 |
| Tributary width, mm | 1 |
| Main flow channel width, mm | 2 |
| Flow channel height, mm | 1 |
| BP rib width, mm | 1 |
| GDL thickness, mm | 0.2 |
| CL thickness, mm | 0.01 |
| Membrane thickness, mm | 0.05 |
| Parameter | Value |
|---|---|
| Operation pressure, Pa | 101,325 |
| Operation temperature, K | 343.15 |
| Anode stoichiometric ratio | 1.5 |
| Cathode stoichiometric ratio | 2 |
| Anode exchange coefficient | 0.5 |
| Cathode exchange coefficient | 2 |
| Inlet relative humidity | 100% |
| Porosity of GDL | 0.5 |
| Porosity of CL | 0.5 |
| Hydrogen reference diffusivity, m2/s | 9.15 × 10−5 |
| Oxygen reference diffusivity, m2/s | 2.2 × 10−5 |
| Anode exchange current density, A/m3 | 1.4 × 109 |
| Cathode exchange current density, A/m3 | 2.0 × 106 |
| Case | ε1 | ε2 |
|---|---|---|
| A0/B0 | 0.5 | 0.5 |
| A1/B1 | 0.4 | 0.6 |
| A2/B2 | 0.3 | 0.7 |
| A3/B3 | 0.2 | 0.8 |
Disclaimer/Publisher’s Note: The statements, opinions and data contained in all publications are solely those of the individual author(s) and contributor(s) and not of MDPI and/or the editor(s). MDPI and/or the editor(s) disclaim responsibility for any injury to people or property resulting from any ideas, methods, instructions or products referred to in the content. |
© 2025 by the authors. Licensee MDPI, Basel, Switzerland. This article is an open access article distributed under the terms and conditions of the Creative Commons Attribution (CC BY) license (https://creativecommons.org/licenses/by/4.0/).
Share and Cite
Cui, D.; Liu, D.; Yu, P.; Li, J.; Zhou, Z.; Zhang, M.; Chen, Q.; Yuan, F. CFD-Guided Design of Non-Uniform Flow Channels in PEMFCs for Waste Heat Utilization in District Heating Networks. Energies 2025, 18, 1873. https://doi.org/10.3390/en18081873
Cui D, Liu D, Yu P, Li J, Zhou Z, Zhang M, Chen Q, Yuan F. CFD-Guided Design of Non-Uniform Flow Channels in PEMFCs for Waste Heat Utilization in District Heating Networks. Energies. 2025; 18(8):1873. https://doi.org/10.3390/en18081873
Chicago/Turabian StyleCui, Dai, Dong Liu, Peng Yu, Jiayi Li, Zhi Zhou, Meishan Zhang, Qun Chen, and Fang Yuan. 2025. "CFD-Guided Design of Non-Uniform Flow Channels in PEMFCs for Waste Heat Utilization in District Heating Networks" Energies 18, no. 8: 1873. https://doi.org/10.3390/en18081873
APA StyleCui, D., Liu, D., Yu, P., Li, J., Zhou, Z., Zhang, M., Chen, Q., & Yuan, F. (2025). CFD-Guided Design of Non-Uniform Flow Channels in PEMFCs for Waste Heat Utilization in District Heating Networks. Energies, 18(8), 1873. https://doi.org/10.3390/en18081873
