Sign in to use this feature.

Years

Between: -

Subjects

remove_circle_outline
remove_circle_outline
remove_circle_outline
remove_circle_outline
remove_circle_outline
remove_circle_outline
remove_circle_outline

Journals

Article Types

Countries / Regions

Search Results (15)

Search Parameters:
Keywords = dish-Stirling concentrator

Order results
Result details
Results per page
Select all
Export citation of selected articles as:
37 pages, 46714 KB  
Review
Parabolic Dish Collectors for Concentrated Solar Power: A Comprehensive Review on Their Subsystems and Overall Integration
by Judit García-Ferrero, Rosa Pilar Merchán Corral, Jesús Alberto Moctezuma-Hernández, David Pérez-Gallego, Simin Anvari, Julian González-Ayala, Antonio Calvo-Hernández, José Miguel Mateos Roco, María Jesús Santos and Alejandro Medina
Energies 2025, 18(24), 6596; https://doi.org/10.3390/en18246596 - 17 Dec 2025
Viewed by 1012
Abstract
Parabolic dish collectors (PDCs) focus solar radiation onto a small area, minimizing the heat-loss area of the solar receiver and improving the heating of the working fluid. This fluid usually drives a Stirling-like or micro-gas turbine (Brayton-like) power generator. PDCs, initially intended for [...] Read more.
Parabolic dish collectors (PDCs) focus solar radiation onto a small area, minimizing the heat-loss area of the solar receiver and improving the heating of the working fluid. This fluid usually drives a Stirling-like or micro-gas turbine (Brayton-like) power generator. PDCs, initially intended for small-capacity applications, are well-suited for electricity and heat generation in remote rural areas, working alone and/or as parabolic dish arrays. PDCs have received considerable attention among solar thermal collectors due to their high concentration ratios and the high temperatures they achieve. However, nowadays, they are the least developed and least commissioned among concentrated solar power configurations, lacking a well-established technology. This review aims to compile the evolution of research on PDCs over recent years from a global perspective and is mainly focused on the subsystems constituting a PDC plant, their integration, and overall system optimisation, thereby addressing a gap in the current literature. Methodological tools used in the field are comprehensively revised, and recent related projects are summarized. Some innovative and promising applications are also highlighted. Full article
(This article belongs to the Special Issue Solar Energy Conversion and Storage Technologies)
Show Figures

Figure 1

26 pages, 8885 KB  
Article
Wind-Induced Stability Identification and Safety Grade Catastrophe Evaluation of a Dish Concentrating Solar Thermal Power System
by Hongyan Zuo, Yuhao Su, Jingwei Liang, Guohai Jia, Mang Chen, Duzhong Nie and Jiaqiang E
Energies 2025, 18(23), 6088; https://doi.org/10.3390/en18236088 - 21 Nov 2025
Cited by 1 | Viewed by 299
Abstract
To avoid the problem of wind-induced resonance damage in a dish concentrating solar thermal power system (DCSTPS), a fluid dynamics model and a finite element analysis model of the DCSTPS were established separately. The wind load was mapped onto the surface of the [...] Read more.
To avoid the problem of wind-induced resonance damage in a dish concentrating solar thermal power system (DCSTPS), a fluid dynamics model and a finite element analysis model of the DCSTPS were established separately. The wind load was mapped onto the surface of the concentrator of the DCSTPS using the sequential coupling method, and the static analysis and modal analysis of the DCSTPS were established based on the fluid–structure coupling (FSC) method and the validity of the established model was verified. Based on the results, it can be concluded that the upper edge of the dish solar concentrator (DSC) of the DCSTPS and the three cantilever beams near the Stirling generator are the most vulnerable to being damaged, the DCSTPS will not experience strong resonance phenomena, and effects of the FSC will decrease the natural frequencies of each order. The results of the safety grade catastrophe evaluation of the DCSTPS showed that the safety grade of the DCSTPS was 0.2586 and 0.2819 under case 1 (α = 30°, β = 90°) and case 2 (α = 60°, β = 90°), where it was found that the membership value of the moment load was low, resulting in the stress on the connection seat of the altitude angle and the steering device of the base approaching the allowable stress of the material. Full article
(This article belongs to the Special Issue Solar Energy Utilization Toward Sustainable Urban Futures)
Show Figures

Figure 1

41 pages, 7787 KB  
Review
Integrating Solar Energy into Fossil Fuel Power Plant with CO2 Capture and Storage: A Bibliographic Survey
by Agustín Moisés Alcaraz Calderón, O. A. Jaramillo, J. C. Garcia, Miriam Navarrete Procopio and Abigail González Díaz
Processes 2025, 13(11), 3581; https://doi.org/10.3390/pr13113581 - 6 Nov 2025
Viewed by 1127
Abstract
There is an urgent need to reduce greenhouse gas emissions, particularly carbon dioxide (CO2). Currently, numerous research initiatives are underway to develop CO2 Capture and Storage (CCS) technologies aiming for net-zero emissions, especially in sectors that are difficult to decarbonize, [...] Read more.
There is an urgent need to reduce greenhouse gas emissions, particularly carbon dioxide (CO2). Currently, numerous research initiatives are underway to develop CO2 Capture and Storage (CCS) technologies aiming for net-zero emissions, especially in sectors that are difficult to decarbonize, such as fossil fuel power generation. Integrating solar thermal energy into CO2 capture facilities (CCFs) for fossil fuel-based power plants offers a promising approach to reduce the high operational costs associated with CO2 capture processes. However, a comprehensive systematic review focusing on the integration of solar thermal energy with CCFs in fossil fuel power generation is currently lacking. To address this gap, this study systematically evaluates the technological frameworks involved, including (a) various generation technologies such as coal-fired Rankine cycle plants, natural gas combined cycle plants, and cogeneration units; (b) concentrated solar power (CSP) technologies, including parabolic trough collectors, linear Fresnel reflectors, solar power towers, and Stirling dish systems; and (c) post-combustion CO2 capture systems. Additionally, this research analyzes relevant projects, patents, and scholarly publications from the past 25 years that explore the coupling of CSP technologies with fossil fuel power plants and post-combustion CO2 capture systems. This literature review encompasses diverse methodologies, such as innovative patents, conceptual models, evaluations of solar collector performances, thermal integration optimization, and various system configurations. It also investigates technical advancements aimed at improving efficiency, reliability, and flexibility of fossil fuel power plants while mitigating the inherent challenges of CO2 capture. Beyond the energy-focused aspects, we explore complementary circular economy strategies—such as by-product valorization and material substitution in sectors like mining, cement, and steel manufacturing—that can reduce embodied emissions and enhance the overall system benefits of solar-assisted CO2 capture. The review employs a bibliometric approach using digital tools including Publish or Perish, Mendeley, and VOSviewer to systematically analyze the scholarly landscape. Full article
(This article belongs to the Special Issue Fluid Dynamics and Thermodynamic Studies in Gas Turbine)
Show Figures

Figure 1

21 pages, 5551 KB  
Article
Magnetically Coupled Free Piston Stirling Generator for Low Temperature Thermal Energy Extraction Using Ocean as Heat Sink
by Hao Tian, Zezhong Gao and Yongjun Gong
J. Mar. Sci. Eng. 2025, 13(11), 2046; https://doi.org/10.3390/jmse13112046 - 25 Oct 2025
Viewed by 855
Abstract
The ocean, as one of the largest thermal energy storage bodies on earth, has great potential as a thermal-electric energy reserve. Application of the relatively fixed-temperature ocean as the heat sink, and using concentrated solar energy as the heat source, one may construct [...] Read more.
The ocean, as one of the largest thermal energy storage bodies on earth, has great potential as a thermal-electric energy reserve. Application of the relatively fixed-temperature ocean as the heat sink, and using concentrated solar energy as the heat source, one may construct a mobile power station on the ocean’s surface. However, a traditional solar-based heat source requires a large footprint to concentrate the light beam, resulting in bulky parabolic dishes, which are impractical under ocean engineering scenarios. For buoy-sized applications, the small form factor of the energy collector can only achieve limited temperature differential, and its energy quality is deemed to be unusable by traditional spring-loaded free piston Stirling engines. Facing these challenges, a low-temperature differential free piston Stirling engine is presented. The engine features a large displacer piston (ϕ136, 5 mm thick) made of corrugated board, and an aluminum power piston (ϕ10). Permanent magnets embedded in both pistons couple them through magnetic attraction rather than a mechanical spring. This magnetic “spring” delivers an inverse-exponential force–distance relation: weak attraction at large separations minimizes damping, while strong attraction at small separations efficiently transfers kinetic energy from the displacer to the power piston. Engine dynamics are captured by a lumped-parameter model implemented in Simulink, with key magnetic parameters extracted from finite-element analysis. Initial results have shown that the laboratory prototype can operate continuously across heater-to-cooler temperature differences of 58–84 K, sustaining flywheel speeds of 258–324 RPM. Full article
(This article belongs to the Section Marine Energy)
Show Figures

Figure 1

26 pages, 10347 KB  
Article
Hybrid CSP-PV Combination to Enhance the Green Hydrogen Production in Morocco: Solar Technologies Evaluation and Techno-Economic Analysis
by Abdellatif Azzaoui and Ahmed Alami Merrouni
Processes 2025, 13(3), 769; https://doi.org/10.3390/pr13030769 - 7 Mar 2025
Cited by 3 | Viewed by 2764
Abstract
With the fast-growing implementation of renewable energy projects, Morocco is positioned as a pioneer in green and sustainable development, aiming to achieve 52% of its electricity production from renewable sources by 2030. This ambitious target faces challenges due to the intermittent nature of [...] Read more.
With the fast-growing implementation of renewable energy projects, Morocco is positioned as a pioneer in green and sustainable development, aiming to achieve 52% of its electricity production from renewable sources by 2030. This ambitious target faces challenges due to the intermittent nature of renewable energy, which impacts grid stability. Hydrogen offers a promising solution, but identifying the most cost-effective production configurations is critical due to high investment costs. Despite the growing interest in renewable energy systems, the techno-economic analysis of (Concentrating Solar Power-Photovoltaic) CSP-PV hybrid configurations remain insufficiently explored. Addressing this gap is critical for optimizing hybrid systems to ensure cost-effective and scalable hydrogen production. This study advances the field by conducting a detailed techno-economic assessment of CSP-PV hybrid systems for hydrogen production at selected locations in Morocco, leveraging high-precision meteorological data to enhance the accuracy and reliability of the analysis. Three configurations are analyzed: (i) a standalone 10 MW PV plant, (ii) a standalone 10 MW Stirling dish CSP plant, and (iii) a 10 MW hybrid system combining 5 MW from each technology. Results reveal that hybrid CSP-PV systems with single-axis PV tracking achieve the lowest levelized cost of hydrogen (LCOH2), reducing costs by up to 11.19% and increasing hydrogen output by approximately 10% compared to non-tracking systems. Additionally, the hybrid configuration boosts annual hydrogen production by 2.5–11.2% compared to PV-only setups and reduces production costs by ~25% compared to standalone CSP systems. These findings demonstrate the potential of hybrid solar systems for cost-efficient hydrogen production in regions with abundant solar resources. Full article
(This article belongs to the Special Issue Solar Technologies and Photovoltaic Systems)
Show Figures

Figure 1

14 pages, 2760 KB  
Article
Solar Stirling for Renewable Energy Multigeneration Systems
by Georg Klepp
Sustainability 2025, 17(3), 1257; https://doi.org/10.3390/su17031257 - 4 Feb 2025
Viewed by 3328
Abstract
This study explores the feasibility and potential of integrating dish–Stirling systems (DSSs) into multigeneration energy systems, focusing on their ability to produce both thermal and electrical energy. By leveraging the concentrated solar power capabilities of DSSs, this research examines their performance relative to [...] Read more.
This study explores the feasibility and potential of integrating dish–Stirling systems (DSSs) into multigeneration energy systems, focusing on their ability to produce both thermal and electrical energy. By leveraging the concentrated solar power capabilities of DSSs, this research examines their performance relative to alternative solutions such as photovoltaic (PV) systems and solar heating. A 25 kW Stirling Energy Systems (SES) DSS served as the basis for the analysis. Simulations were performed for local 2022 weather conditions in Germany. The study employed a detailed modeling approach using the NREL System Advisor Model (SAM) to quantify the energy outputs and evaluate the system efficiencies. The results indicate that the DSS achieved an electrical efficiency of 25% and a combined efficiency of 78% when accounting for the maximum thermal energy generated. Seasonal analysis highlights the adaptability to fluctuating energy demands, with advantages in winter heating applications. Comparative evaluations revealed DSSs as a viable cogeneration alternative to standalone PV systems and solar heaters, offering reduced environmental impacts and enhanced energy efficiency. Future work will address real-world operational conditions, including thermal storage and multigeneration integration, positioning the DSS as a sustainable solution for renewable energy generation. Full article
Show Figures

Figure 1

27 pages, 10863 KB  
Article
Development of Neural Network Prediction Models for the Energy Producibility of a Parabolic Dish: A Comparison with the Analytical Approach
by Valerio Lo Brano, Stefania Guarino, Alessandro Buscemi and Marina Bonomolo
Energies 2022, 15(24), 9298; https://doi.org/10.3390/en15249298 - 8 Dec 2022
Cited by 7 | Viewed by 2437
Abstract
Solar energy is one of the most widely exploited renewable/sustainable resources for electricity generation, with photovoltaic and concentrating solar power technologies at the forefront of research. This study focuses on the development of a neural network prediction model aimed at assessing the energy [...] Read more.
Solar energy is one of the most widely exploited renewable/sustainable resources for electricity generation, with photovoltaic and concentrating solar power technologies at the forefront of research. This study focuses on the development of a neural network prediction model aimed at assessing the energy producibility of dish–Stirling systems, testing the methodology and offering a useful tool to support the design and sizing phases of the system at different installation sites. Employing the open-source platform TensorFlow, two different classes of feedforward neural networks were developed and validated (multilayer perceptron and radial basis function). The absolute novelty of this approach is the use of real data for the training phase and not predictions coming from another analytical/numerical model. Several neural networks were investigated by varying the level of depth, the number of neurons, and the computing resources involved for two different sets of input variables. The best of all the tested neural networks resulted in a coefficient of determination of 0.98 by comparing the predicted electrical output power values with those measured experimentally. The results confirmed the high reliability of the neural models, and the use of only open-source IT tools guarantees maximum transparency and replicability of the models. Full article
(This article belongs to the Topic Concentrated Solar Technologies and Applications)
Show Figures

Figure 1

29 pages, 7040 KB  
Article
A Case Study on Renewable Energy Sources, Power Demand, and Policies in the States of South India—Development of a Thermoelectric Model
by Vijayaraja Loganathan, Dhanasekar Ravikumar, Rupa Kesavan, Kanakasri Venkatesan, Raadha Saminathan, Raju Kannadasan, Mahalingam Sudhakaran, Mohammed H. Alsharif, Zong Woo Geem and Junhee Hong
Sustainability 2022, 14(14), 8882; https://doi.org/10.3390/su14148882 - 20 Jul 2022
Cited by 6 | Viewed by 15374
Abstract
This work aims to perform a holistic review regarding renewable energy mix, power production approaches, demand scenarios, power policies, and investments with respect to clean energy production in the southern states of India. Further, a thermoelectric-generator model is proposed to meet rural demands [...] Read more.
This work aims to perform a holistic review regarding renewable energy mix, power production approaches, demand scenarios, power policies, and investments with respect to clean energy production in the southern states of India. Further, a thermoelectric-generator model is proposed to meet rural demands using a proposed solar dish collector technology. The proposed model is based on the idea of employing a parabolic concentrator and a thermoelectric (TE) module to generate electricity directly from the sun’s energy. A parabolic dish collector with an aperture of 1.11 m is used to collect sunlight and concentrate it onto a receiver plate with an area of 1.56 m in the proposed TE solar concentrator. The concentrated solar thermal energy is converted directly into electrical energy by using a bismuth telluride (BiTe)-based TE module mounted on the receiver plate. A rectangular fin heatsink, coupled with a fan, is employed to remove heat from the TE module’s cool side, and a tracking device is used to track the sun continuously. The experimental results show considerable agreement with the mathematical model as well as its potential applications. Solar thermal power generation plays a crucial part in bridging the demand–supply gap for electricity, and it can be achieved through rural electrification using the proposed solar dish collector technology, which typically has a 10 to 25 kW capacity per dish and uses a Stirling engine to generate power. Here the experimentation work generates a voltage of 11.6 V, a current of 0.7 A, and a power of 10.5 W that can be used for rural electrification, especially for domestic loads. Full article
(This article belongs to the Section Energy Sustainability)
Show Figures

Figure 1

20 pages, 3155 KB  
Article
Energy and Environmental Assessment of a Hybrid Dish-Stirling Concentrating Solar Power Plant
by Stefania Guarino, Alessandro Buscemi, Antonio Messineo and Valerio Lo Brano
Sustainability 2022, 14(10), 6098; https://doi.org/10.3390/su14106098 - 17 May 2022
Cited by 9 | Viewed by 6236
Abstract
Although the 2019 global pandemic slowed the growing trend of CO2 concentrations in the atmosphere, it has since resumed its rise, prompting world leaders to accelerate the generation of electricity from renewable sources. The study presented in this paper is focused on [...] Read more.
Although the 2019 global pandemic slowed the growing trend of CO2 concentrations in the atmosphere, it has since resumed its rise, prompting world leaders to accelerate the generation of electricity from renewable sources. The study presented in this paper is focused on the evaluation of the energy and environmental benefits corresponding to the hypothesis of hybridizing a dish-Stirling plant installed on the university campus of Palermo (Italy). These analyses were carried out by means of dynamic simulations based on an accurate energy model validated with the experimental data collected during the measurement campaign that occurred during the period of operation of the reference plant. Assuming different scenarios for managing the production period and different fuels, including renewable fuels, it was found that the annual electricity production of the dish-Stirling system operating in solar mode can be increased by between 47% and 78% when hybridized. This would correspond to an increase in generation efficiency ranging from 4% to 16%. Finally, assuming that the dish-Stirling system is hybridized with renewable combustible gases, this would result in avoided CO2 emissions of between approximately 1594 and 3953 tons over the 25-year lifetime of the examined plant. Full article
(This article belongs to the Special Issue Clever Fuel Usage: Consumption, Emissions and Sustainability)
Show Figures

Figure 1

23 pages, 7596 KB  
Article
Assessing the Energy-Saving Potential of a Dish-Stirling Con-Centrator Integrated Into Energy Plants in the Tertiary Sector
by Stefania Guarino, Pietro Catrini, Alessandro Buscemi, Valerio Lo Brano and Antonio Piacentino
Energies 2021, 14(4), 1163; https://doi.org/10.3390/en14041163 - 22 Feb 2021
Cited by 7 | Viewed by 4055
Abstract
Energy consumed for air conditioning in residential and tertiary sectors accounts for a large share of global use. To reduce the environmental impacts burdening the covering of such demands, the adoption of renewable energy technologies is increasing. In this regard, this paper evaluates [...] Read more.
Energy consumed for air conditioning in residential and tertiary sectors accounts for a large share of global use. To reduce the environmental impacts burdening the covering of such demands, the adoption of renewable energy technologies is increasing. In this regard, this paper evaluates the energy and environmental benefits achievable by integrating a dish-Stirling concentrator into energy systems used for meeting the air conditioning demand of an office building. Two typical reference energy plants are assumed: (i) a natural gas boiler for heating purposes and air-cooled chillers for the cooling periods, and (ii) a reversible heat pump for both heating and cooling. For both systems, a dish-Stirling concentrator is assumed to operate first in electric-mode and then in a cogenerative-mode. Detailed models are adopted for plant components and implemented in the TRNSYS environment. Results show that when the concentrator is operating in electric-mode the electricity purchased from the grid decreases by about 72% for the first plant, and 65% for the second plant. Similar reductions are obtained for CO2 emissions. Even better performance may be achieved in the case of the cogenerative-mode. In the first plant, the decrease in natural gas consumption is about 85%. In the second plant, 66.7% is the percentage increase in avoided electricity purchase. The integration of the dish-Stirling system allows promising energy-saving and reduction in CO2 emissions. However, both a reduction in capital cost and financial support are needed to encourage the diffusion of this technology. Full article
(This article belongs to the Special Issue Integrated Solar Thermal Systems)
Show Figures

Figure 1

18 pages, 2984 KB  
Article
Modeling and Simulation of a Hybrid Compression/Absorption Chiller Driven by Stirling Engine and Solar Dish Collector
by Guerlin Romage, Cuauhtémoc Jiménez, José de Jesús Reyes, Alejandro Zacarías, Ignacio Carvajal, José Alfredo Jiménez, Jorge Pineda and María Venegas
Appl. Sci. 2020, 10(24), 9018; https://doi.org/10.3390/app10249018 - 17 Dec 2020
Cited by 3 | Viewed by 2947
Abstract
In this paper, an evaluation of the performance and operating parameters of a hybrid compression/absorption chiller coupled with a low-capacity solar concentrator is presented. The study was carried out using energy and mass balances applied to each component of each system. The variables [...] Read more.
In this paper, an evaluation of the performance and operating parameters of a hybrid compression/absorption chiller coupled with a low-capacity solar concentrator is presented. The study was carried out using energy and mass balances applied to each component of each system. The variables evaluated in the hybrid chiller were the cooling power, the supply power, the Coefficient of Performance (COP) of both cooling systems and the ratio between heat and power. The diameter and temperature of the hot spot as well as the performance of the dish collector were evaluated. The changed parameters were the heat removed by each refrigeration system, the condenser temperature, the evaporator temperature, the concentration ratio and the irradiance. Results have shown that the compression system can produce up to 53% more cooling power than the heat supplied to the hybrid system. Meanwhile, the absorption system produces approximately 20% less cooling power than the supplied heat. It has also been found that, for the cooling power produced by the hybrid cooler to be always greater than the heat supplied, the cooling power provided by the absorption system should preferably be between 20% and 60% of the total, with a Stirling engine efficiency between 0.2 and 0.3 and a condensation temperature from 28 to 37 °C. Likewise, it has been found that the compression system can produce cooling power up to 3 times higher than the heat of the Stirling engine hot source, with Th = 200 °C and ηs = 0.3. Finally, it has been found that, in a low-capacity solar concentrator, on a typical day in Mexico City, temperatures in the hot spot between 200 and 400 °C can be reached with measured irradiance values from 200 to 1200 W/m2. Full article
(This article belongs to the Section Energy Science and Technology)
Show Figures

Figure 1

17 pages, 4235 KB  
Article
The Power and Efficiency Analyses of the Cylindrical Cavity Receiver on the Solar Stirling Engine
by Ji-Qiang Li, Jeong-Tae Kwon and Seon-Jun Jang
Energies 2020, 13(21), 5798; https://doi.org/10.3390/en13215798 - 5 Nov 2020
Cited by 14 | Viewed by 2897
Abstract
The technique of solar dish and Stirling engine combination is the most challenging and promising one. For the efficient conversion of the externally concentrated heat to the usable power, we studied the influences of the wall temperature, inclination angle, and open area ratio [...] Read more.
The technique of solar dish and Stirling engine combination is the most challenging and promising one. For the efficient conversion of the externally concentrated heat to the usable power, we studied the influences of the wall temperature, inclination angle, and open area ratio of the receiver on the Stirling engine power and efficiency. The theoretical analysis of the heat exchange element of the solar Stirling engine was performed, and the simulation model of the cavity absorber was built and analyzed. The temperature cloud and heat loss trends of the receiver under different wall temperatures, inclination angles, and opening ratios were illustrated. When the wall temperature of the absorber changes from 700 to 1000 K, the efficiency of the engine has increased by 8.8% from 21.34% to 30.11%. The higher the temperature, the higher the efficiency. As the inclination angle of the absorber increases from 0° to 60°, the efficiency of the engine is increased by 7.7% from 21.1% to 28.8%. With the increases of the aperture ratio, the engine output and efficiency reduced. The engine efficiency at the aperture ratio of 0.5 is 4% larger than that at the aperture ratio of 1. Full article
(This article belongs to the Special Issue Heat Transfer Characteristics of Heat Pipes)
Show Figures

Figure 1

23 pages, 4147 KB  
Article
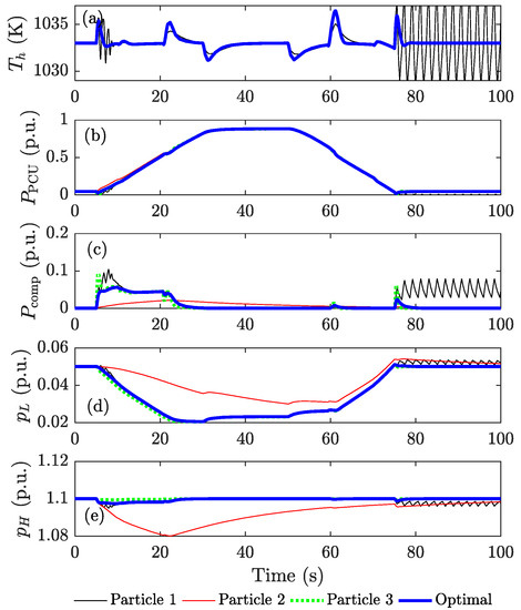
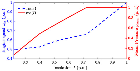
Particle Swarm Optimization-Based Power and Temperature Control Scheme for Grid-Connected DFIG-Based Dish-Stirling Solar-Thermal System
by Yang Li, Binyu Xiong, Yixin Su, Jinrui Tang and Zhiwen Leng
Energies 2019, 12(7), 1300; https://doi.org/10.3390/en12071300 - 4 Apr 2019
Cited by 8 | Viewed by 3445
Abstract
Variable-speed operation of a dish-Stirling (DS) concentrated solar-thermal power generating system can achieve higher energy conversion efficiency compared to the conventional fixed-speed operation system. However, tuning of the controllers for the existing control schemes is cumbersome due to the presence of a large [...] Read more.
Variable-speed operation of a dish-Stirling (DS) concentrated solar-thermal power generating system can achieve higher energy conversion efficiency compared to the conventional fixed-speed operation system. However, tuning of the controllers for the existing control schemes is cumbersome due to the presence of a large number of control parameters. This paper proposes a new control system design approach for the doubly-fed induction generator (DFIG)-based DS system to achieve maximum power point tracking and constant receiver temperature regulation. Based on a developed thermo-electro-pneumatic model, a coordinated torque and mean pressure control scheme is proposed. Through steady-state analysis, the optimal torque is calculated using the measured insolation and it serves as the tracking reference for direct torque control of the DFIG. To minimize the tracking error due to temperature variation and the compressor loss of the hydrogen supply system, four optimal control parameters are determined using particle swarm optimization (PSO). Model-order reduction and the process of the pre-examination of system stability are incorporated into the PSO algorithm, and it effectively reduces the search effort for the best solution to achieve maximum power point tracking and maintain the temperature around the set-point. The results from computational simulations are presented to show the efficacy of the proposed scheme in supplying the grid system with smoothened maximum power generation as the solar irradiance varies. Full article
(This article belongs to the Section A2: Solar Energy and Photovoltaic Systems)
Show Figures

Figure 1

12 pages, 3324 KB  
Article
Exergy Analysis of a Pilot Parabolic Solar Dish-Stirling System
by Ehsan Gholamalizadeh and Jae Dong Chung
Entropy 2017, 19(10), 509; https://doi.org/10.3390/e19100509 - 21 Sep 2017
Cited by 35 | Viewed by 7540
Abstract
Energy and exergy analyses were carried out for a pilot parabolic solar dish-Stirling System. The system was set up at a site at Kerman City, located in a sunny desert area of Iran. Variations in energy and exergy efficiency were considered during the [...] Read more.
Energy and exergy analyses were carried out for a pilot parabolic solar dish-Stirling System. The system was set up at a site at Kerman City, located in a sunny desert area of Iran. Variations in energy and exergy efficiency were considered during the daytime hours of the average day of each month in a year. A maximum collector energy efficiency and total energy efficiency of 54% and 12.2%, respectively, were predicted in July, while during the period between November and February the efficiency values were extremely low. The maximum collector exergy efficiency was 41.5% in July, while the maximum total exergy efficiency reached 13.2%. The values of energy losses as a percentage of the total losses of the main parts of the system were also reported. Results showed that the major energy and exergy losses occurred in the receiver. The second biggest portion of energy losses occurred in the Stirling engine, while the portion of exergy loss in the concentrator was higher compared to the Stirling engine. Finally, the performance of the Kerman pilot was compared to that of the EuroDish project. Full article
(This article belongs to the Special Issue Work Availability and Exergy Analysis)
Show Figures

Figure 1

17 pages, 6707 KB  
Article
Development of an Integrated Thermal Energy Storage and Free-Piston Stirling Generator for a Concentrating Solar Power System
by Songgang Qiu, Laura Solomon and Garrett Rinker
Energies 2017, 10(9), 1361; https://doi.org/10.3390/en10091361 - 8 Sep 2017
Cited by 28 | Viewed by 6944
Abstract
Incorporating thermal energy storage (TES) into a concentrating solar power (CSP) system extends the power production hours, eliminating intermittency and reducing the Levelized Cost of the Energy (LCOE). The designed TES system was integrated with a 3 kW free-piston Stirling convertor. A NaF–NaCl [...] Read more.
Incorporating thermal energy storage (TES) into a concentrating solar power (CSP) system extends the power production hours, eliminating intermittency and reducing the Levelized Cost of the Energy (LCOE). The designed TES system was integrated with a 3 kW free-piston Stirling convertor. A NaF–NaCl eutectic salt was chosen as the phase change material (PCM) with a melting temperature of 680 °C. This eutectic salt has an energy density that is 5 to 10 times that of a typical molten salt PCM. In order to overcome the drawbacks of the material having a low thermal conductivity, heat pipes were embedded into the PCM to enhance the heat transfer rate within the system. Since the dish collector tracks the sun over the course of the day, two operational extremes were tested on the system; horizontal (zero solar elevation at sunrise/sunset) and vertical (solar noon). Although the system’s performance was below the expectations due to improperly sized wicks in the secondary heat pipes, the results indicated that the Stirling engine was able to produce 1.3 kWh of electricity by extracting latent heat energy from the PCM; thus, the concept of the design was validated. Full article
(This article belongs to the Section D: Energy Storage and Application)
Show Figures

Figure 1

Back to TopTop