Particle Swarm Optimization-Based Power and Temperature Control Scheme for Grid-Connected DFIG-Based Dish-Stirling Solar-Thermal System
Abstract
1. Introduction
2. Modeling of a DFIG-Based DS System
2.1. System Configuration
2.2. Prime Mover Model
2.3. Hydrogen Supply System Model
2.4. DFIG Model
3. Local Control System of the PCU
3.1. Direct Torque Control
3.2. Optimal Torque Control
3.3. Receiver/Absorber Temperature Control
3.4. Tank Pressure Control
4. Determination of Control Parameters
4.1. Constraints on Temperature Control Parameters
4.2. Particle Swarm Optimization
5. Results and Discussion
5.1. Model Validation and Comparison
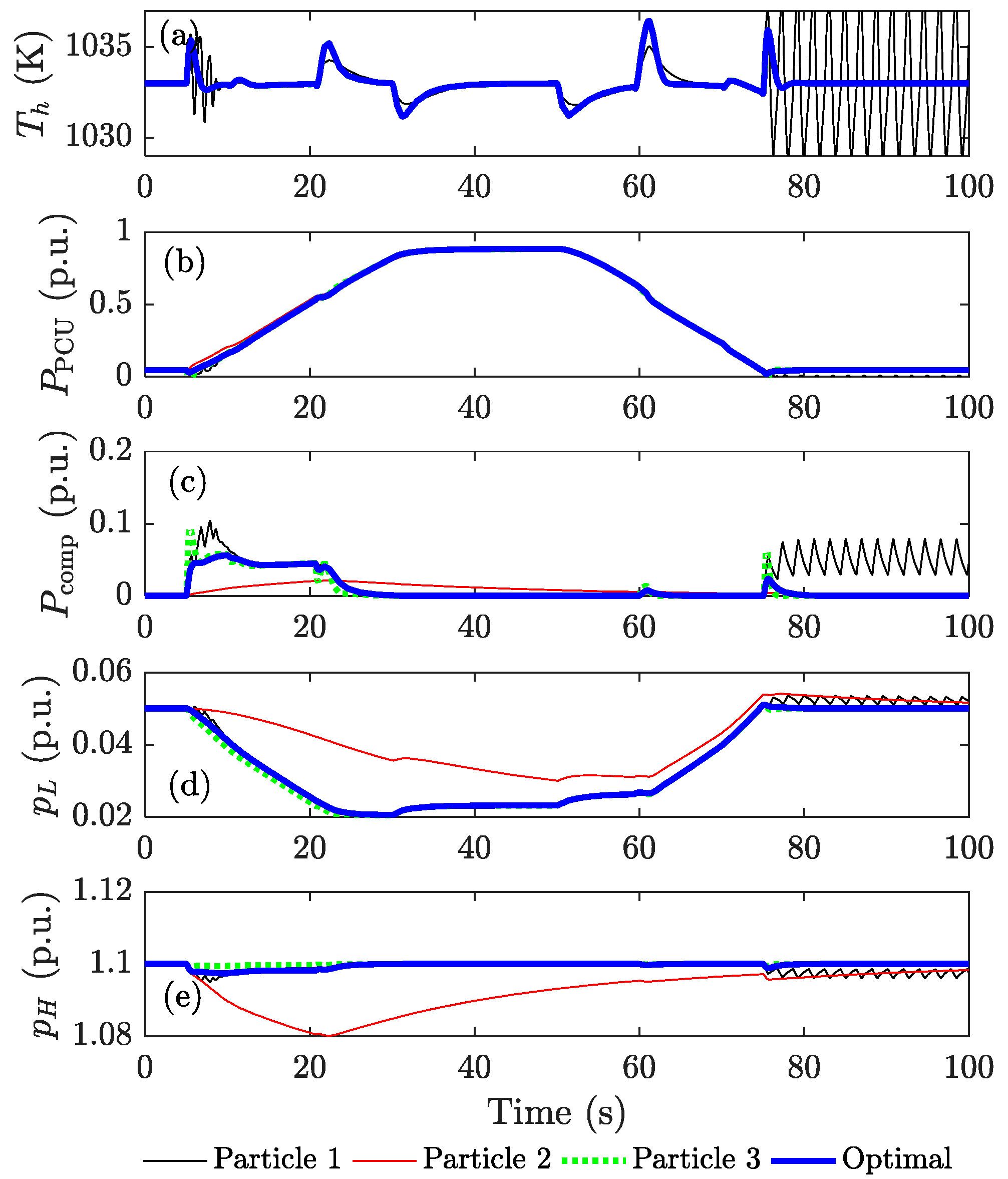
5.2. Case Study
- Particle 1: K1 = 20, K2 = 11.8, K3 = 0.18, and K4 = 25.5.
- Particle 2: K1 = 11.1, K2 = 11.8, K3 = 0.18, and K4 = 0.03.
- Particle 3: K1 = 11.1, K2 = 11.8, K3 = 0.18, and K4 = 100.
6. Conclusions
Author Contributions
Funding
Conflicts of Interest
Nomenclature
| D, H | damping and inertia constants of DS system (p.u. in electrical system) |
| D′, H′ | damping and inertia constants of DS system (p.u. in mechanical system) |
| I(t) | solar insolation (p.u.) |
| K1, K2 | proportional and integral gains of the temperature controller |
| K3 | gain of the speed feedforward controller |
| K4 | gain of the hydrogen compressor controller |
| Kv, Tv | gain and time constant of solenoid valve |
| Kcon | gain of the concentrator |
| Krec, Trec | gain and time constant of receiver |
| Kp | engine pressure–mass gain |
| Mtot | total mass in the engine cylinders |
| Pe(t), Pm(t) | electromagnetic power, mechanical power (p.u.) |
| Pcomp(t) | power consumed by the hydrogen compressor (p.u.) |
| PPCU(t) | power generated from PCU (p.u.) |
| Qh(t) | heater and cooler heat transfer rate (p.u.). |
| Ta | ambient temperature (p.u.) |
| Te(t), Tm(t) | electromagnetic and mechanical torques (p.u. in electrical system) |
| Th(t) | heater/receiver temperature (p.u.) |
| a00, a01, a10, a11 b00, b01, b10, b11, b02, b12 | steady-state efficiency correction coefficients of Stirling engine |
| c(t) | control command of solenoid valve (p.u.) |
| gAse(t) | total mass flow rate from tanks to engine cylinder (p.u.) |
| mse(t) | mass of the hydrogen in the engine cylinder |
| mH(t), mL(t) | masses of the hydrogen in the high- and low-pressure tanks (p.u.) |
| pmean(t) | mean pressure of the working gas in the Stirling engine cylinder (p.u.) |
| pmax, pmin | maximum and minimum pressure in the Stirling engine cylinder (p.u.) |
| pH(t), pL(t) | pressures of the hydrogen in the high- and low-pressure tanks (p.u.) |
| τe(t), τm(t) | electromagnetic and mechanical torques (p.u. in mechanical system) |
| ωm(t) | shaft speed of engine/generator (p.u. in mechanical system) |
| ωr(t) | shaft speed of engine/generator (p.u. in electrical system) |
Appendix A
References
- Mancini, T.; Heller, P.; Butler, B.; Osborn, B.; Schiel, W.; Goldberg, V.; Buck, R.; Diver, R.; Andraka, C.; Moreno, J. Dish-Stirling systems: An overview of development and status. ASME J. Sol. Energy Eng. 2003, 125, 135–151. [Google Scholar] [CrossRef]
- Thombare, D.G.; Verma, S.K. Technological development in the Stirling cycle engines. Renew. Sustain. Energy Rev. 2008, 12, 1–38. [Google Scholar] [CrossRef]
- Mendoza Castellanos, L.S.; Carrillo Caballero, G.E.; Melian Cobas, V.R.; Silva Lora, E.E.; Martinez Reyes, A.M. Mathematical modeling of the geometrical sizing and thermal performance of a Dish/Stirling system for power generation. Renew. Energy 2017, 107, 23–35. [Google Scholar] [CrossRef]
- Mendoza Castellanos, L.S.; Galindo Noguera, A.L.; Carrillo Caballero, G.E.; De Souza, A.L.; Melian Cobas, V.R.; Silva Lora, E.E.; Venturini, O.J. Experimental analysis and numerical validation of the solar Dish/Stirling system connected to the electric grid. Renew. Energy 2019, 135, 259–265. [Google Scholar] [CrossRef]
- Gholamalizadeh, E.; Chung, J.D. Thermal Analysis of the Receiver of a Standalone Pilot Solar Dish–Stirling System. Entropy 2018, 20, 429. [Google Scholar] [CrossRef]
- Gil, R.; Monné, C.; Bernal, N.; Muñoz, M.; Moreno, F. Thermal Model of a Dish Stirling Cavity-Receiver. Energies 2015, 8, 1042–1057. [Google Scholar] [CrossRef]
- Sandoval, O.R.; Caetano, B.C.; Borges, M.U.; García, J.J.; Valle, R.M. Modelling, simulation and thermal analysis of a solar dish/Stirling system: A case study in Natal, Brazil. Energy Convers. Manag. 2019, 181, 189–201. [Google Scholar] [CrossRef]
- Zhu, S.; Yu, G.; Jongmin, O.; Xu, T.; Wu, Z.; Dai, W.; Luo, E. Modeling and experimental investigation of a free-piston Stirling engine-based micro-combined heat and power system. Appl. Energy 2018, 226, 522–533. [Google Scholar] [CrossRef]
- Wu, Z.; Jin, J.X. Novel concept of dish Stirling solar power generation designed with a HTS linear generator. IEEE Trans. Appl. Supercond. 2014, 24, 5203005. [Google Scholar] [CrossRef]
- Qiu, S.; Solomon, L.; Rinker, G. Development of an Integrated Thermal Energy Storage and Free-Piston Stirling Generator for a Concentrating Solar Power System. Energies 2017, 10, 1361. [Google Scholar] [CrossRef]
- Howard, D.F.; Liang, J.; Harley, R.G. Control of receiver temperature and shaft speed in dish-Stirling solar power plants to meet grid integration requirements. In Proceedings of the IEEE Energy Conversion Congress and Exposition, Atlanta, GA, USA, 12–16 September 2010; pp. 398–405. [Google Scholar]
- Howard, D.; Harley, R.G. Modeling of dish-Stirling solar thermal power generation. In Proceedings of the IEEE PES General Meeting, Providence, RI, USA, 25–29 July 2010. [Google Scholar]
- Urieli, I.; Berchowitz, D.M. Stirling Cycle Engine Analysis; A. Hilger: Bristol, UK, 1984. [Google Scholar]
- Li, Y.; Choi, S.S.; Yang, C. Dish-Stirling solar power plants: Modeling, analysis and control of receiver temperature. IEEE Trans. Sustain. Energy 2014, 5, 398–407. [Google Scholar] [CrossRef]
- Li, Y.; Choi, S.S.; Vilathgamuwa, D.M. Primary frequency control scheme for a fixed-speed dish-stirling solar-thermal power plant. IEEE Trans. Power Syst. 2018, 33, 2184–2194. [Google Scholar] [CrossRef]
- Hussain, I.; Das, D.C.; Sinha, N. Reactive power performance analysis of dish-Stirling solar thermal-diesel hybrid energy system. IET Renew. Power Gen. 2017, 11, 750–762. [Google Scholar] [CrossRef]
- Howard, D.F.; Harley, R.G.; Jiaqi, L.; Venayagamoorthy, G.K. Effects of variable solar irradiance on the reactive power compensation for large solar farm. In Proceedings of the IREP Symposium—Bulk Power System Dynamics and Control, Rio de Janeiro, Brazil, 1–6 August 2010; pp. 1–8. [Google Scholar]
- Santos-Martin, D.; Alonso-Martinez, J.; Eloy-Garcia, J.; Arnalte, S. Solar dish-Stirling system optimisation with a doubly fed induction generator. IET Renew. Power Gen. 2012, 6, 276–288. [Google Scholar] [CrossRef]
- Li, Y.; Choi, S.S.; Yang, C.; Wei, F. Design of variable-speed dish-Stirling solar-thermal power plant for maximum energy harness. IEEE Trans. Energy Convers. 2015, 30, 394–403. [Google Scholar] [CrossRef]
- Barreto, G.; Canhoto, P. Modelling of a Stirling engine with parabolic dish for thermal to electric conversion of solar energy. Energy Convers. Manag. 2017, 132, 119–135. [Google Scholar] [CrossRef]
- Kadri, Y.; Hadj Abdallah, H. Performance evaluation of a stand-alone solar dish Stirling system for power generation suitable for off-grid rural electrification. Energy Convers. Manag. 2016, 129, 140–156. [Google Scholar] [CrossRef]
- Meinhardt, M.; Cramer, G.; Burger, B.; Zacharias, P. Multi-string-converter with reduced specific costs and enhanced functionality. Sol. Energy 2001, 69, 217–227. [Google Scholar] [CrossRef]
- Wu, B.; Lang, Y.; Zargari, N.; Kouro, S. Power Conversion and Control of Wind Energy Systems; Wiley: Hoboken, NJ, USA, 2011. [Google Scholar]
- Li, Y.; Choi, S.S.; Yang, C. An average-value model of kinematic Stirling engine for the study of variable-speed operations of dish-stirling solar-thermal generating system. In Proceedings of the 11th IEEE International Conference on Control and Automation (ICCA), Taichung, Taiwan, 18–20 June 2014; pp. 1310–1315. [Google Scholar]
- Trifkovic, M.; Sheikhzadeh, M.; Nigim, K.; Daoutidis, P. Modeling and Control of a Renewable Hybrid Energy System With Hydrogen Storage. IEEE Trans. Control Syst. Technol. 2014, 22, 169–179. [Google Scholar] [CrossRef]
- Kundur, P.; Balu, N.J.; Lauby, M.G. Power System Stability and Control; McGraw-Hill: New York, NY, USA, 1994. [Google Scholar]
- Arnalte, S.; Burgos, J.C.; Rodríguez-Amenedo, J.L. Direct Torque Control of a Doubly-Fed Induction Generator for Variable Speed Wind Turbines. Electr. Power Compon. Syst. 2002, 30, 199–216. [Google Scholar] [CrossRef]
- Poli, R.; Kennedy, J.; Blackwell, T. Particle swarm optimization. Swarm Intell. 2007, 1, 33–57. [Google Scholar] [CrossRef]
- Venter, G.; Sobieszczanski-Sobieski, J. Particle Swarm Optimization. AIAA J. 2003, 41, 1583–1589. [Google Scholar] [CrossRef]















| Quantity | Description | Symbol | Base Value |
|---|---|---|---|
| Insolation | Maximum insolation | IN | 1000 W/m2 |
| Power | Nominal engine power | Pm,N | 27 kW |
| Pressure | Max. mean pressure in the cylinder | pN | 20 MPa |
| Temperature | Max. heater/receiver temperature | TN | 1033 K |
| Speed | Nominal engine speed | ωm,N | 190.63 rad/s |
| Mass | Max. hydrogen mass in the cylinder | mN | 0.0036 kg |
| Volume | VN | 7.667 × 10−4 m3 | |
| Torque | Pm,N/ωm,N | τN | 141.63 N |
| Param. | Value | Param. | Value | Param. | Value |
|---|---|---|---|---|---|
| Kcon | 2.865 | b01 | 0.055 | nc | 1.027 |
| Krec | 1.756 | b11 | 1.21 | ηcomp | 0.7 |
| Trec | 13.436 s | b02 | −0.026 | Tk, Tcomp | 0.313 |
| Ta | 0.288 | b12 | −0.13 | Th,max | 1 |
| a00 | 0.045 | A | −0.2735 | Mtot | 36.88 |
| a10 | 0.068 | C | 0.8752 | VX | 10 |
| a01 | 0.20 | Kp | 1 | β2 | 0.0098 |
| a11 | 2.14 | Kv | 1 | β3 | 0.0016 |
| b00 | −0.038 | Tv | 0.02 s | β4 | 0 |
| b10 | −0.072 | - | - | - | - |
| Param. | Value | Param. | Value |
|---|---|---|---|
| SN | 30 kVA | Lm | 2.9 |
| fN | 60 Hz | H | 0.685 s |
| Rs | 0.0046 | D | 0.01 |
| Rr | 0.0032 | pn | 2 |
| Ls | 3.08 | rω | 0.7614 |
| Lr | 3.06 | - | - |
© 2019 by the authors. Licensee MDPI, Basel, Switzerland. This article is an open access article distributed under the terms and conditions of the Creative Commons Attribution (CC BY) license (http://creativecommons.org/licenses/by/4.0/).
Share and Cite
Li, Y.; Xiong, B.; Su, Y.; Tang, J.; Leng, Z. Particle Swarm Optimization-Based Power and Temperature Control Scheme for Grid-Connected DFIG-Based Dish-Stirling Solar-Thermal System. Energies 2019, 12, 1300. https://doi.org/10.3390/en12071300
Li Y, Xiong B, Su Y, Tang J, Leng Z. Particle Swarm Optimization-Based Power and Temperature Control Scheme for Grid-Connected DFIG-Based Dish-Stirling Solar-Thermal System. Energies. 2019; 12(7):1300. https://doi.org/10.3390/en12071300
Chicago/Turabian StyleLi, Yang, Binyu Xiong, Yixin Su, Jinrui Tang, and Zhiwen Leng. 2019. "Particle Swarm Optimization-Based Power and Temperature Control Scheme for Grid-Connected DFIG-Based Dish-Stirling Solar-Thermal System" Energies 12, no. 7: 1300. https://doi.org/10.3390/en12071300
APA StyleLi, Y., Xiong, B., Su, Y., Tang, J., & Leng, Z. (2019). Particle Swarm Optimization-Based Power and Temperature Control Scheme for Grid-Connected DFIG-Based Dish-Stirling Solar-Thermal System. Energies, 12(7), 1300. https://doi.org/10.3390/en12071300

