Sign in to use this feature.

Years

Between: -

Subjects

remove_circle_outline
remove_circle_outline
remove_circle_outline
remove_circle_outline
remove_circle_outline
remove_circle_outline
remove_circle_outline
remove_circle_outline
remove_circle_outline

Journals

remove_circle_outline
remove_circle_outline
remove_circle_outline
remove_circle_outline
remove_circle_outline
remove_circle_outline
remove_circle_outline
remove_circle_outline
remove_circle_outline
remove_circle_outline

Article Types

Countries / Regions

remove_circle_outline
remove_circle_outline
remove_circle_outline
remove_circle_outline
remove_circle_outline

Search Results (1,479)

Search Parameters:
Keywords = direct laser processing

Order results
Result details
Results per page
Select all
Export citation of selected articles as:
13 pages, 7244 KB  
Article
Surface Integrity and Corrosion Resistance of Additively Manufactured AZ91 Mg Alloys Post-Processed by Laser Shock Peening
by Shan Gao, Wenquan Wang, Xintian Zhao, Wenhui Yu, Hongyu Zheng, Xingchen Yan, Cheng Chang, Harry M. Ngwangwa, Xiaoli Cui and Zongshen Wang
Metals 2025, 15(12), 1374; https://doi.org/10.3390/met15121374 - 15 Dec 2025
Abstract
Mg alloys show great potential in biomedical fields due to superior biocompatibility and biodegradability. Additive manufacturing (AM) provides opportunities in fabricating metallic implants with complex geometries while inherent defects during AM limit its further applications. In this work, laser shock peening (LSP) was [...] Read more.
Mg alloys show great potential in biomedical fields due to superior biocompatibility and biodegradability. Additive manufacturing (AM) provides opportunities in fabricating metallic implants with complex geometries while inherent defects during AM limit its further applications. In this work, laser shock peening (LSP) was employed as a post-processing technique to tailor the surface integrity and corrosion resistance of additively manufactured AZ91 Mg alloy by selective laser melting (SLM). The surface morphology, microstructure and porosity, surface hardness and residual stress, and corrosion resistance of the SLMed alloy before and after LSP were examined. The results show that a gradient structure is formed along the depth direction after LSP and high-density dislocations and high-fraction low-angle grain boundaries are induced. The porosity is gradually reduced in number and size and the highest density of 1.794 g/cm3 is obtained after two impacts of LSP. The surface hardness and residual compressive stress both increase with LSP number and the highest values of 135.26 HV and 40.13 MPa after four impacts, respectively. All of the SLMed alloy samples show improved corrosion resistance after LSP. This work provides a promising route for enhancing the performance of additively manufactured Mg alloys through laser materials surface modification. Full article
(This article belongs to the Special Issue Laser Shock Peening: From Fundamentals to Applications)
Show Figures

Figure 1

28 pages, 14954 KB  
Article
The Influence of Model Orientation on the Surface Roughness of Polymeric Models Produced by FFF, mSLA, PJ, and SLS Methods
by Anna Bazan, Paweł Turek, Grzegorz Budzik, Piotr Niesłony, Roman Grygoruk and Przemysław Siemiński
Materials 2025, 18(24), 5600; https://doi.org/10.3390/ma18245600 - 12 Dec 2025
Viewed by 92
Abstract
The research methodology involved creating a 3D sample model that featured both flat and cylindrical surfaces inclined at angles ranging from 0° to 90° relative to the XY plane. The study investigated the surface topography of additively manufactured samples produced using various technologies, [...] Read more.
The research methodology involved creating a 3D sample model that featured both flat and cylindrical surfaces inclined at angles ranging from 0° to 90° relative to the XY plane. The study investigated the surface topography of additively manufactured samples produced using various technologies, including Fused Filament Fabrication (FFF), masked Stereolithography (mSLA), PolyJet (PJ), and Selective Laser Sintering (SLS). The focus was on how material type, print angle, and measurement location influenced the results. The materials used in the study included PLA, PETG, acrylic resins, PA2200, and VeroClear. Due to the optical properties of the materials used, measurements were carried out on replicas that were prepared using a RepliSet F5 silicone compound from Struers. Consequently, a methodology was developed for measuring surface roughness using the Alicona microscope based on these replicas. A 10× objective lens was used during the measurements, and the pixel size was 0.88 µm × 0.88 µm. Each time, an area of approximately 1 mm × 4 mm was measured. The lowest roughness values were observed for mSLA samples (Sa = 6.72–8.54 µm, Spk + Sk + Svk = 33.36–42.16 µm), whereas SLS exhibited the highest roughness (Sa = 27.86 µm, Spk + Sk + Svk = 183.79 µm). PJ samples exhibited intermediate roughness with significant anisotropy (Sa = 11.65 µm, Spk + Sk + Svk = 72.1 µm), which was strongly influenced by the print angle. FFF surfaces showed directional patterns and layer-dependent roughness, with the Sa parameter being the same (12.44 µm) for both PETG and PLA materials. The steepest slopes were observed for SLS surfaces (Sdq = 7.67), while mSLA exhibited the flattest microstructure (Sdq = 0.48–0.89). Statistical analysis confirmed that material type significantly influenced topography in mSLA, while print angle strongly affected PJ and FFF (although for FFF, further studies would be beneficial). The results of the research conducted can be used to develop a methodology for optimizing the printing process to achieve the required geometric surface structure. Full article
(This article belongs to the Special Issue 3D & 4D Printing—Metrological Problems)
Show Figures

Figure 1

27 pages, 14687 KB  
Article
Modeling of Powder Delivery for Laser Powder Bed Fusion Manufacturing of Functionally Graded Materials
by Dmytro Svyetlichnyy, Beata Dubiel, Łukasz Łach, Hubert Pasiowiec and Piotr Ledwig
Appl. Sci. 2025, 15(24), 13033; https://doi.org/10.3390/app152413033 - 10 Dec 2025
Viewed by 151
Abstract
The actual problem in manufacturing functionally graded materials (FGMs) produced in the laser powder bed fusion (LPBF) process remains the controllability of the materials gradient and the properties gradient of the final product. The key element in gradient formation is the delivery system [...] Read more.
The actual problem in manufacturing functionally graded materials (FGMs) produced in the laser powder bed fusion (LPBF) process remains the controllability of the materials gradient and the properties gradient of the final product. The key element in gradient formation is the delivery system in conjunction with the properties of the powder materials. This paper presents the first preliminary stage of the study, an application of a model based on the discrete element method to simulate several powder delivery systems and the analysis of the results obtained. Two designs of LPBF machine constructions with one and two movable platforms are simulated with and without separation walls. The variants of initial powder material separation were modeled along the longitudinal axis, inclined, and periodic lines. The powder material of the same or different densities and particle sizes was analyzed. The mean diameters of the powder particles in simulations are 0.78 and 0.6 mm, and the ratio of the material densities is 1.0 or 1.5. The 15 multi-stage delivery processes were simulated. The influence of various constructive and material parameters on the segregation (percolation) process and final distribution of powder materials was analyzed. It is shown that constructive elements can be more significant than initial material distribution in controlling the final distribution; limiting percolation in the transverse direction remains a major challenge for the distribution system in gradient control. The results demonstrate the usefulness and suitability of applying simulations with the developed model to the design of the powder delivery system and define a direction for further theoretical and experimental research. Full article
Show Figures

Figure 1

21 pages, 1865 KB  
Review
Aerosol Material Characterization by Laser-Induced Breakdown Spectroscopy: Review on Fundamentals to Applications
by Jong Hyun Kim and Hae Woon Choi
Photonics 2025, 12(12), 1220; https://doi.org/10.3390/photonics12121220 - 10 Dec 2025
Viewed by 125
Abstract
Aerosols play critical roles in atmospheric chemistry, climate regulation, industrial processes, and public health, necessitating accurate and real-time characterization of their physicochemical properties. This review presents a comprehensive overview of photonics-based diagnostic methods, with a particular emphasis on Laser-Induced Breakdown Spectroscopy (LIBS), for [...] Read more.
Aerosols play critical roles in atmospheric chemistry, climate regulation, industrial processes, and public health, necessitating accurate and real-time characterization of their physicochemical properties. This review presents a comprehensive overview of photonics-based diagnostic methods, with a particular emphasis on Laser-Induced Breakdown Spectroscopy (LIBS), for aerosol analysis. We examine the underlying principles of LIBS, including plasma generation, laser–particle interactions, and spectroscopic emission processes, alongside recent developments in single-particle and standoff detection. The integration of LIBS with optical trapping, Raman spectroscopy, and laser-induced fluorescence (LIF) is discussed as a strategy to enhance selectivity, sensitivity, and species identification. Moreover, we explore the role of machine learning and chemometric algorithms in improving data interpretation and automated aerosol classification. Applications spanning environmental monitoring, biomedical diagnostics, industrial emission control, and planetary exploration are highlighted. Finally, we address current limitations such as matrix effects, calibration challenges, and sensitivity constraints, and propose future directions for the development of compact, multi-modal, and AI-enhanced LIBS systems for advanced aerosol diagnostics. Full article
(This article belongs to the Section Optical Interaction Science)
Show Figures

Figure 1

20 pages, 1317 KB  
Review
Overview of Target Normal Sheath Acceleration Experiments and Diagnostics at SPARC_LAB
by Federica Stocchi, Maria Pia Anania, Fabrizio Bisesto, Alessandro Cianchi, Mattia Cipriani, Fabrizio Consoli, Gemma Costa, Alessandro Curcio, Mario Galletti, Riccardo Pompili, Martina Salvadori, Claudio Verona, Arie Zigler and Massimo Ferrario
Appl. Sci. 2025, 15(24), 13001; https://doi.org/10.3390/app152413001 - 10 Dec 2025
Viewed by 83
Abstract
The interaction of an ultra-short, high-power laser pulse with a solid target, in the so-called Target Normal Sheath Acceleration (TNSA) configuration, produces particles in the MeV range. Fast electrons can escape from the target after the interaction, inducing electrostatic fields on the order [...] Read more.
The interaction of an ultra-short, high-power laser pulse with a solid target, in the so-called Target Normal Sheath Acceleration (TNSA) configuration, produces particles in the MeV range. Fast electrons can escape from the target after the interaction, inducing electrostatic fields on the order of TV/m close to the target surface. These fields accelerate MeV protons and heavy ions at the rear of the target, allowing them to escape. The complete process is difficult to probe, as it occurs on the sub-ps timescale. At the INFN-LNF SPARC_LAB test facility, single-shot diagnostics such as the Electro-Optic Sampling (EOS) are being developed and tested for time-resolved direct measurements of the produced electrons and associated longitudinal electric fields. Electrons are the core of the process, and their properties determine the following production of positive charge particles and electromagnetic radiation. Different target geometries and materials are being investigated to analyze the enhancement of fast electron emission and the correlation with positive charge production. Simultaneous observations of electron and proton beams have been performed using two diagnostic lines, the EOS for electrons and a time-of-flight (TOF) detector for protons. This work provides an overview of the previous experiments performed at SPARC_LAB dedicated to the TNSA characterization. Full article
(This article belongs to the Special Issue Trends and Prospects in Laser–Plasma Accelerator)
Show Figures

Figure 1

23 pages, 9623 KB  
Article
Process Optimization, Microstructure and Mechanical Properties of SiC + TiB2/AlSi10Mg Composites Fabricated by Laser-Directed Energy Deposition
by Xin Zhang, Siyu Zhang, Yijie Peng, Long Geng, Chennuo Kang, Zhe Feng, Wei Fan, Hua Tan and Xin Lin
J. Manuf. Mater. Process. 2025, 9(12), 404; https://doi.org/10.3390/jmmp9120404 - 8 Dec 2025
Viewed by 285
Abstract
In this study, TiB2/AlSi10Mg, 2 wt.% SiC + TiB2/AlSi10Mg, and 5 wt.% SiC + TiB2/AlSi10Mg composite powders were prepared via high-energy ball milling. For the first time, TiB2 and SiC hybrid particle-reinforced aluminum matrix composites (AMCs) [...] Read more.
In this study, TiB2/AlSi10Mg, 2 wt.% SiC + TiB2/AlSi10Mg, and 5 wt.% SiC + TiB2/AlSi10Mg composite powders were prepared via high-energy ball milling. For the first time, TiB2 and SiC hybrid particle-reinforced aluminum matrix composites (AMCs) were fabricated using the Laser-Directed Energy Deposition (LDED) technique. The effects of processing parameters on the microstructure evolution and mechanical properties were systematically investigated. Using areal energy density as the main variable, the experiments combined microstructural characterization and mechanical testing to elucidate the underlying strengthening and failure mechanisms. The results indicate that both 2 wt.% and 5 wt.% SiC + TiB2/AlSi10Mg composites exhibit excellent formability, achieving a relative density of 98.9%. However, the addition of 5 wt.% SiC leads to the formation of brittle Al4C3 and TiC phases within the matrix. Compared with the LDED-fabricated AlSi10Mg alloy, the tensile strength of the TiB2/AlSi10Mg composite increased by 21.4%. In contrast, the tensile strengths of the 2 wt.% and 5 wt.% SiC + TiB2/AlSi10Mg composites decreased by 3.7% and 2.6%, respectively, mainly due to SiC particle agglomeration and the consumption of TiB2 particles caused by TiC formation. Nevertheless, their elastic moduli were enhanced by 9% and 16.3%, respectively. Fracture analysis revealed that the composites predominantly exhibited ductile fracture characteristics. However, pores larger than 10 μm and SiC/TiB2 clusters acted as crack initiation sites, inducing stress concentration and promoting the propagation of secondary cracks. Full article
Show Figures

Figure 1

31 pages, 3760 KB  
Review
Artificial Intelligence Informed Hydrogel Biomaterials in Additive Manufacturing
by Zhizhou Zhang, Zach Z. Tao, Ruiling Du, Runxin Huo and Xiangrui Zheng
Gels 2025, 11(12), 981; https://doi.org/10.3390/gels11120981 - 6 Dec 2025
Viewed by 271
Abstract
Hydrogel additive manufacturing underpins soft tissue models, biointerfaces, and soft robotics. The coupled choices of formulation, rheology, and process conditions limit the progress. This review maps how artificial intelligence links composition to printability across direct ink writing, inkjet, vat photopolymerization, and laser-induced forward [...] Read more.
Hydrogel additive manufacturing underpins soft tissue models, biointerfaces, and soft robotics. The coupled choices of formulation, rheology, and process conditions limit the progress. This review maps how artificial intelligence links composition to printability across direct ink writing, inkjet, vat photopolymerization, and laser-induced forward transfer, and how vision-guided control improves fidelity and viability during printing. Interpretable predictors connect routine rheology to strand stability, data-driven classifiers chart droplet regimes, and optical dose models with learning enhance voxel accuracy. Polymer informatics, including BigSMILES based representations, supports generative screening of precursors and crosslinkers. Bayesian optimization and active learning reduce experimental burden while honoring biological constraints, and emerging autonomous platforms integrate in situ sensing with rapid iteration. A strategic framework outlines a technological progression from current open-loop data gathering toward real-time closed-loop correction and ultimately predictive fault prevention through digital twins. The synthesis provides quantitative routes from formulation through process to function, establishing a practical foundation for predictive, reproducible hydrogel manufacturing and application-oriented design. Full article
(This article belongs to the Special Issue Innovative Soft Materials with a Focus on Gels)
Show Figures

Figure 1

26 pages, 8154 KB  
Article
Role of Build Orientation and Surfaces on Passive Film Kinetics and Degradation of LB-DED Ti6Al4V in Fluoride Media
by Lorenzo D’Ambrosi, Katya Brunelli, Saeed Khademzadeh, Christophe Lyphout and Arshad Yazdanpanah
Metals 2025, 15(12), 1340; https://doi.org/10.3390/met15121340 - 5 Dec 2025
Viewed by 189
Abstract
Although Directed Energy Deposition (DED) of Ti–6Al–4V has been widely explored for its mechanical performance, the combined influence of build orientation and surface position (upskin/downskin) on passive film kinetics and fluoride-induced degradation remains largely unexamined. This study addresses this gap by systematically investigating [...] Read more.
Although Directed Energy Deposition (DED) of Ti–6Al–4V has been widely explored for its mechanical performance, the combined influence of build orientation and surface position (upskin/downskin) on passive film kinetics and fluoride-induced degradation remains largely unexamined. This study addresses this gap by systematically investigating how processing direction and surface thermal history govern microstructure and corrosion behaviour in Laser-Based DED (LB-DED) Ti–6Al–4V. The alloy was fabricated in XY and XZ orientations, and both upskin and downskin surfaces were evaluated. Microstructural characterisation revealed strong anisotropy, with elongated prior-β grains and directional α + β colonies particularly prominent in the XZ orientation. Electrochemical testing in borate buffer showed stable passivity across all conditions, with XY surfaces forming the most compact oxide films. In a more aggressive 2.5% NaF saliva environment, substantial orientation-dependent degradation was observed: XY specimens maintained low corrosion currents and uniform passive layers, whereas XZ downskin exhibited unstable passivation and extensive micro-pitting. These findings demonstrate, for the first time, that the interplay between build orientation and surface position critically dictates passive film defect structure, stability, and fluoride-driven breakdown, providing new mechanistic insight into the corrosion behaviour of DED Ti–6Al–4V relevant to biomedical applications. Full article
(This article belongs to the Special Issue Green and Bio-Based Pathways for Advanced Metallic Materials)
Show Figures

Figure 1

19 pages, 842 KB  
Review
Multimodal Imaging in Epilepsy Surgery for Personalized Neurosurgical Planning
by Joaquin Fiallo Arroyo and Jose E. Leon-Rojas
J. Pers. Med. 2025, 15(12), 601; https://doi.org/10.3390/jpm15120601 - 5 Dec 2025
Viewed by 335
Abstract
Drug-resistant epilepsy affects nearly one-third of individuals with epilepsy and remains a major cause of neurological morbidity worldwide. Surgical intervention offers a potential cure, but its success critically depends on the precise identification of the epileptogenic zone and the preservation of eloquent cortical [...] Read more.
Drug-resistant epilepsy affects nearly one-third of individuals with epilepsy and remains a major cause of neurological morbidity worldwide. Surgical intervention offers a potential cure, but its success critically depends on the precise identification of the epileptogenic zone and the preservation of eloquent cortical and subcortical regions. This review aims to provide a comprehensive synthesis of current evidence on the role of multimodal neuroimaging in the personalized presurgical evaluation and planning of epilepsy surgery. We analyze how structural, functional, metabolic, and electro-physiological imaging modalities contribute synergistically to improving localization accuracy and surgical outcomes. Structural MRI remains the cornerstone of presurgical assessment, with advanced sequences, post-processing techniques, and ultra-high-field (7 T) MRI enhancing lesion detection in previously MRI-negative cases. Functional and metabolic imaging, including FDG-PET, ictal/interictal SPECT, and arterial spin labeling MRI, offer complementary insights by revealing regions of altered metabolism or perfusion associated with seizure onset. Functional MRI enables non-invasive mapping of language, memory, and motor networks, while diffusion tensor imaging and tractography delineate critical white-matter pathways to minimize postoperative deficits. Electrophysiological integration through EEG source imaging and magnetoencephalography refines localization when combined with MRI and PET data, forming the basis of multimodal image integration platforms used for surgical navigation. Our review also briefly explores emerging intraoperative applications such as augmented and virtual reality, intraoperative MRI, and laser interstitial thermal therapy, as well as advances driven by artificial intelligence, such as automated lesion detection and predictive modeling of surgical outcomes. By consolidating recent developments and clinical evidence, this review underscores how multimodal imaging transforms epilepsy surgery from a lesion-centered to a patient-centered discipline. The purpose is to highlight best practices, identify evidence gaps, and outline future directions toward precision-guided, minimally invasive, and function-preserving neurosurgical strategies for patients with drug-resistant focal epilepsy. Full article
(This article belongs to the Section Personalized Therapy in Clinical Medicine)
Show Figures

Figure 1

13 pages, 4242 KB  
Article
Phase Transition Behavior and Threshold Characteristics of GeTe Thin Films Under Single-Pulse Nanosecond Laser Irradiation
by Yajing Li, Xinyu Ma, Qiang Chen, Sixian Qian, Yixuan Jiang, Yuejun Zheng and Yunqi Fu
Materials 2025, 18(23), 5466; https://doi.org/10.3390/ma18235466 - 4 Dec 2025
Viewed by 197
Abstract
Realizing the full potential of optical actuation for high-speed phase-change radio-frequency (RF) switches requires a shift to single-pulse operation. This work presents a systematic investigation of reversible phase transitions in GeTe thin films induced by single 10 ns laser pulses, utilizing spatially resolved [...] Read more.
Realizing the full potential of optical actuation for high-speed phase-change radio-frequency (RF) switches requires a shift to single-pulse operation. This work presents a systematic investigation of reversible phase transitions in GeTe thin films induced by single 10 ns laser pulses, utilizing spatially resolved characterization techniques, including atomic force microscopy (AFM) and micro-spectroscopy. Precise laser fluence windows for crystallization (12.7–16 mJ/cm2) and amorphization (25.44–41.28 mJ/cm2) are established. A critical finding is that the amorphization process is governed by rapid thermal accumulation, which creates a direct trade-off between achieving the phase transition and avoiding detrimental surface morphology. Specifically, we observe that excessive energy leads to the formation of laser-induced ridges and ablation craters, which are identified as primary causes of device performance degradation. This study elucidates the underlying mechanism of single-pulse-induced phase transitions and provides a practical processing window and design guidelines for developing high-performance, optically actuated GeTe-based RF switches. Full article
Show Figures

Figure 1

17 pages, 4812 KB  
Article
Turn Milling of Inconel 718 Produced via Additive Manufacturing Using HVOF and DMLS Methods
by Michal Povolný, Michal Straka, Miroslav Gombár, Jan Hnátík, Jan Kutlwašer, Josef Sklenička and Jaroslava Fulemová
J. Manuf. Mater. Process. 2025, 9(12), 399; https://doi.org/10.3390/jmmp9120399 - 4 Dec 2025
Viewed by 285
Abstract
Additive and coating technologies, such as high-velocity oxy-fuel (HVOF) thermal spraying and direct metal laser sintering (DMLS), often require extensive post-processing to meet dimensional and surface quality requirements, which remains challenging for nickel-based superalloys such as Inconel 718. This study presents the design [...] Read more.
Additive and coating technologies, such as high-velocity oxy-fuel (HVOF) thermal spraying and direct metal laser sintering (DMLS), often require extensive post-processing to meet dimensional and surface quality requirements, which remains challenging for nickel-based superalloys such as Inconel 718. This study presents the design and topology optimisation of a cutting tool with a linear cutting edge, capable of operating in turn-milling or turning modes, offering a viable alternative to conventional grinding. A non-optimised tool served as a baseline for comparison with a topology-optimised variant improving cutting-force distribution and stiffness-to-mass ratio. Finite element analyses and experimental turn-milling trials were performed on DMLS and HVOF Inconel 718 using carbide and CBN inserts. The optimised tool achieved significantly reduced roughness values: for DMLS, Ra decreased from 0.514 ± 0.069 µm to 0.351 ± 0.047 µm, and for HVOF from 0.606 ± 0.069 µm to 0.407 ± 0.069 µm. Rz was similarly improved, decreasing from 4.234 ± 0.343 µm to 3.340 ± 0.439 µm (DMLS) and from 5.349 ± 0.552 µm to 4.521 ± 0.650 µm (HVOF). The lowest measured Ra, 0.146 ± 0.030 µm, was obtained using CBN inserts at the highest tested cutting speed. All improvements were statistically significant (p < 0.005). No measurable tool wear was observed due to the small engagement and the use of a fresh cutting edge for each pass. The resulting surface quality was comparable to grinding and clearly superior to conventional turning. These findings demonstrate that combining topology optimisation with a linear-edge tool provides a practical and efficient finishing approach for additively manufactured and thermally sprayed Inconel 718 components. Full article
Show Figures

Figure 1

11 pages, 1986 KB  
Article
Laser-Induced Reconfiguration of Magnetic Domain Structure in Iron Garnet Films with Strong In-Plane Anisotropy
by Mikhail A. Stepanov, Nikolai V. Mitetelo, Andrey A. Guskov, Alexey S. Kaminskiy and Alexander P. Pyatakov
Nanomaterials 2025, 15(23), 1830; https://doi.org/10.3390/nano15231830 - 4 Dec 2025
Viewed by 315
Abstract
In this work we demonstrate the laser-driven reconfiguration of stripe domains in a thick bismuth-substituted iron garnet film with the (210) crystallographic orientation exhibiting strong in-plane anisotropy. Under a weak in-plane external magnetic field (H), laser irradiation leads to local “twisting” [...] Read more.
In this work we demonstrate the laser-driven reconfiguration of stripe domains in a thick bismuth-substituted iron garnet film with the (210) crystallographic orientation exhibiting strong in-plane anisotropy. Under a weak in-plane external magnetic field (H), laser irradiation leads to local “twisting” of the magnetic domains; domains with opposite magnetization rotate in different directions. The twisting angle increases linearly with the in-plane magnetic field (H) (above a threshold of approximately 6 Oe) and also changes linearly with the average laser intensity, being fully reversible after the irradiation process. The magnitude of the domain rotation effect does not depend on the light polarization state or its orientation. After optical irradiation, the magnetization distribution in the sample returns to its initial state. It is also observed that moving the focused beam spot along the surface can lead to irreversible modifications in the domain topology in several ways: there is a shift in the dislocations in stripe domain structure (domain “heads”) across the beam transfer direction, expanding the area with a specific magnetization vector orientation, and the stabilization of domain wall positions by their pinning on crystallographic defects. The proposed analytical model based on a local reducing of the effective anisotropy fully describes the rotation type and angle of domains and domain walls, defining their possible trajectories and certain values of the area heating or local anisotropy modulation and the rotation angles. The experimental results and the theoretical model demonstrate a thermal origin of the laser-induced effect in this type of magnetic domain structure. Full article
Show Figures

Figure 1

28 pages, 3709 KB  
Article
In-Situ Monitoring of Directed Energy Deposition Laser Beam of Nickel-Based Superalloy via Built-in Optical Coaxial Camera
by Rustam Paringer, Aleksandr Khaimovich, Vadim Pechenin and Andrey Balyakin
Sensors 2025, 25(23), 7348; https://doi.org/10.3390/s25237348 - 2 Dec 2025
Viewed by 298
Abstract
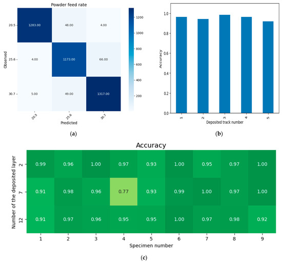
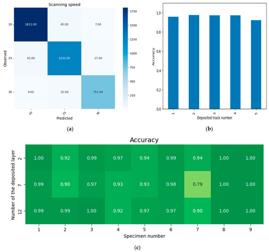
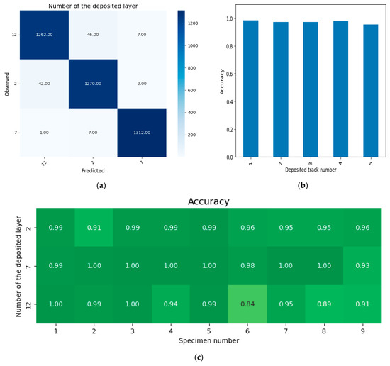
This study presents the development and validation of an in situ monitoring method for the laser direct energy deposition (DED) process, utilizing an integrated optical camera (720 HD, 60 fps) to analyze melt pool imagery. The approach is grounded in an experimental framework [...] Read more.
This study presents the development and validation of an in situ monitoring method for the laser direct energy deposition (DED) process, utilizing an integrated optical camera (720 HD, 60 fps) to analyze melt pool imagery. The approach is grounded in an experimental framework employing Taguchi orthogonal arrays, which ensures a stable dataset by controlling process variability and enabling reliable extraction of relevant features. The monitoring system focuses on analyzing brightness distribution regions within the melt pool image, identified as specific clusters that reflect external process conditions. The method emphasizes precise segmentation of the melt pool area, combined with automatic detection and classification of cluster features associated with key process parameters—such as focus distance, the number of deposited layers, powder feed rate, and scanning speed. The main contribution of this work is demonstrating the effectiveness of using an optical camera for DED monitoring, based on an algorithm that processes a set of melt pool identification features through computer vision and machine learning techniques, including Random Forest and HistGradient Boosting, achieving classification accuracies exceeding 95%. By continuously tracking the evolution of these features within a closed-loop control system, the process can be maintained in a stable, defect-free state, effectively preventing the formation of common process defects. Full article
(This article belongs to the Section Sensing and Imaging)
Show Figures

Figure 1

42 pages, 3367 KB  
Systematic Review
Automated and Intelligent Inspection of Airport Pavements: A Systematic Review of Methods, Accuracy and Validation Challenges
by Ianca Feitosa, Bertha Santos and Pedro G. Almeida
Future Transp. 2025, 5(4), 183; https://doi.org/10.3390/futuretransp5040183 - 1 Dec 2025
Viewed by 217
Abstract
Airport pavement condition assessment plays a critical role in ensuring operational safety, surface functionality, and long-term infrastructure sustainability. Traditional visual inspection methods, although widely used, are increasingly challenged by limitations in accuracy, subjectivity, and scalability. In response, the field has seen a growing [...] Read more.
Airport pavement condition assessment plays a critical role in ensuring operational safety, surface functionality, and long-term infrastructure sustainability. Traditional visual inspection methods, although widely used, are increasingly challenged by limitations in accuracy, subjectivity, and scalability. In response, the field has seen a growing adoption of automated and intelligent inspection technologies, incorporating tools such as unmanned aerial vehicles (UAVs), Laser Crack Measurement Systems (LCMS), and machine learning algorithms. This systematic review aims to identify, categorize, and analyze the main technological approaches applied to functional pavement inspections, with a particular focus on surface distress detection. The study examines data collection techniques, processing methods, and validation procedures used in assessing both flexible and rigid airport pavements. Special emphasis is placed on the precision, applicability, and robustness of automated systems in comparison to traditional approaches. The reviewed literature reveals a consistent trend toward greater accuracy and efficiency in systems that integrate deep learning, photogrammetry, and predictive modeling. However, the absence of standardized validation protocols and statistically robust datasets continues to hinder comparability and broader implementation. By mapping existing technologies, identifying methodological gaps, and proposing strategic research directions, this review provides a comprehensive foundation for the development of scalable, data-driven airport pavement management systems. Full article
Show Figures

Figure 1

21 pages, 6306 KB  
Article
Mechanical Properties Analysis of Nickel-Based Composite Coatings Prepared by Laser Cladding
by Shaoping Hu, Longfeng Sun, Yanchong Gao, Chao Zhang and Tianbiao Yu
Materials 2025, 18(23), 5381; https://doi.org/10.3390/ma18235381 - 28 Nov 2025
Viewed by 173
Abstract
During the laser cladding process for composite coatings, significant differences exist in the physical and mechanical properties between the substrate and the composite coating materials. Therefore, a systematic analysis of the mechanical properties is necessary to mitigate issues such as cracking and deformation [...] Read more.
During the laser cladding process for composite coatings, significant differences exist in the physical and mechanical properties between the substrate and the composite coating materials. Therefore, a systematic analysis of the mechanical properties is necessary to mitigate issues such as cracking and deformation caused by performance mismatch. This study investigated the mechanical properties (microhardness, wear resistance, tensile strength) of composite coatings formed by laser cladding IN718 alloy onto an EA4T steel substrate. Given the critical influence of scanning strategies on cladding layer quality, this study also examined the relationship between the tensile direction and scanning direction. By analyzing mechanical responses under different orientations, it revealed the patterns of influence on tensile properties and anisotropy characteristics of the cladding layer, providing a theoretical basis and process guidance for achieving high-performance cladding layers. Tensile tests conducted at different angles on the IN718 cladding layer indicate that when a thin cladding layer is required, selecting a scanning speed direction parallel to the primary tensile direction yields superior results. Conversely, for applications demanding a thicker cladding layer, aligning the scanning direction perpendicular to the tensile direction better leverages the cladding layer’s performance. Full article
(This article belongs to the Special Issue Advances and Applications of 3D Printing and Additive Manufacturing)
Show Figures

Figure 1

Back to TopTop