Sign in to use this feature.

Years

Between: -

Subjects

remove_circle_outline
remove_circle_outline
remove_circle_outline
remove_circle_outline
remove_circle_outline
remove_circle_outline
remove_circle_outline
remove_circle_outline
remove_circle_outline

Journals

remove_circle_outline
remove_circle_outline
remove_circle_outline
remove_circle_outline
remove_circle_outline
remove_circle_outline
remove_circle_outline
remove_circle_outline
remove_circle_outline
remove_circle_outline
remove_circle_outline

Article Types

Countries / Regions

remove_circle_outline
remove_circle_outline
remove_circle_outline
remove_circle_outline
remove_circle_outline
remove_circle_outline

Search Results (965)

Search Parameters:
Keywords = digitalization of supply chain

Order results
Result details
Results per page
Select all
Export citation of selected articles as:
30 pages, 1565 KB  
Article
Process and Strategic Criteria Assessment in Platform-Based Supply Chains: A Framework for Identifying Operational Vulnerabilities
by Claudemir Leif Tramarico, Juan Antonio Lillo Paredes and Valério Antonio Pamplona Salomon
Systems 2026, 14(1), 75; https://doi.org/10.3390/systems14010075 (registering DOI) - 11 Jan 2026
Abstract
This paper develops a procedure for assessing both supply chain processes and strategic criteria in the context of platform-based supply chains, addressing the problem that organizations often invest in digital platforms without a clear understanding of how process effectiveness, process dysfunction, and strategic [...] Read more.
This paper develops a procedure for assessing both supply chain processes and strategic criteria in the context of platform-based supply chains, addressing the problem that organizations often invest in digital platforms without a clear understanding of how process effectiveness, process dysfunction, and strategic platform priorities jointly influence implementation success. The main research objective is to evaluate how effective and dysfunctional supply chain processes, together with prioritized strategic platform criteria, shape performance, productivity, and resilience outcomes in platform-based supply chain integration. The paper further discusses how identified dysfunctional processes and prioritized strategic criteria relate to operational vulnerabilities and resilience-building measures. The research adopts a multi-criteria decision-making (MCDM) approach to address the challenges of digital transformation and platform integration. An exploratory study was conducted applying the analytic hierarchy process (AHP) to evaluate functional and dysfunctional processes, complemented by the best worst method (BWM) to prioritize critical strategic criteria. The combined assessment highlights effective and dysfunctional processes while also identifying the most influential factors driving platform-based adoption and their potential implications for operational vulnerability and resilience. The results demonstrate how platform integration contributes to performance improvement, process alignment, and productivity gains across supply chain operations. The study contributes to both theory and practice by integrating MCDM techniques to support structured decision-making, enhancing responsiveness, resilience, and alignment with platform-oriented strategies. The primary contribution lies in providing a dual-level framework that enables supply chain managers to diagnose weaknesses, leverage strengths, and strategically guide the transition toward platform-based supply chain operations, with a measurable impact on organizational performance and productivity development. Full article
(This article belongs to the Special Issue Operation and Supply Chain Risk Management)
Show Figures

Figure 1

22 pages, 2421 KB  
Article
Application of Large Language Models in the Protection of Industrial IoT Systems for Critical Infrastructure
by Anna Manowska and Jakub Syta
Appl. Sci. 2026, 16(2), 730; https://doi.org/10.3390/app16020730 (registering DOI) - 10 Jan 2026
Abstract
The increasing digitization of critical infrastructure and the increasing use of Industrial Internet of Things (IIoT) systems are leading to a significant increase in the exposure of operating systems to cyber threats. The integration of information (IT) and operational (OT) layers, characteristic of [...] Read more.
The increasing digitization of critical infrastructure and the increasing use of Industrial Internet of Things (IIoT) systems are leading to a significant increase in the exposure of operating systems to cyber threats. The integration of information (IT) and operational (OT) layers, characteristic of today’s industrial environments, results in an increase in the complexity of system architecture and the number of security events that require ongoing analysis. Under such conditions, classic approaches to monitoring and responding to incidents prove insufficient, especially in the context of systems with high reliability and business continuity requirements. The aim of this article is to analyze the possibilities of using Large Language Models (LLMs) in the protection of industrial IoT systems operating in critical infrastructure. The paper analyzes the architecture of industrial automation systems and identifies classes of cyber threat scenarios characteristic of IIoT environments, including availability disruptions, degradation of system operation, manipulation of process data, and supply-chain-based attacks. On this basis, the potential roles of large language models in security monitoring processes are examined, particularly with respect to incident interpretation, correlation of heterogeneous data sources, and contextual analysis under operational constraints. The experimental evaluation demonstrates that, when compared to a rule-based baseline, the LLM-based approach provides consistently improved classification of incident impact and attack vectors across IT, DMZ, and OT segments, while maintaining a low rate of unsupported responses. These results indicate that large language models can complement existing industrial IoT security mechanisms by enhancing context-aware analysis and decision support rather than replacing established detection and monitoring systems. Full article
(This article belongs to the Special Issue Applications of Artificial Intelligence in the IoT)
Show Figures

Figure 1

30 pages, 3405 KB  
Article
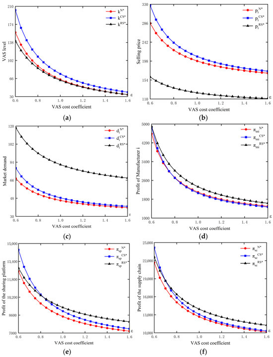
Cooperation Strategies of Sharing Platform and Manufacturers Considering Value-Added Services
by Huabao Zeng, Jin Yan, Tong Shu, Jinhong Li and Shouyang Wang
Mathematics 2026, 14(2), 252; https://doi.org/10.3390/math14020252 - 9 Jan 2026
Abstract
Shared manufacturing platforms improve the utilization of manufacturing resources by digitally matching demand with competing manufacturers and providing value-added services (VAS). Because VAS is costly and its benefits are jointly created, an appropriate cooperation mechanism between the platform and manufacturers is essential for [...] Read more.
Shared manufacturing platforms improve the utilization of manufacturing resources by digitally matching demand with competing manufacturers and providing value-added services (VAS). Because VAS is costly and its benefits are jointly created, an appropriate cooperation mechanism between the platform and manufacturers is essential for achieving sustainable profitability. This study explores three cooperation strategies: (1) no-cooperation strategy (Model N); (2) cost-sharing strategy (Model CS); and (3) revenue-sharing (Model RS) strategy. This study establishes a shared supply chain model for each strategy, derives the equilibrium results, and compares the optimal performances. The results show that neither cost sharing nor revenue sharing guarantees a Pareto improvement: both parties benefit only when the negotiated cost-sharing ratio or revenue-sharing rate lies within a feasible range that properly balances the platform’s service cost burden and the manufacturers’ participation incentives. Additionally, equilibrium profits for both manufacturers and the sharing platform are decreasing as the value-added services (VAS) cost coefficient increases. Thus, the sharing platform should endeavor to decrease the VAS cost efficiency to reduce the VAS cost and enhance profits for all participants. These findings provide actionable guidance for selecting cooperation strategies and setting sharing parameters to achieve mutually beneficial outcomes in platform-enabled shared manufacturing. Full article
Show Figures

Figure 1

22 pages, 344 KB  
Article
The Impact of Green Supply Chain Pressures on Corporate Sustainability: The Role of Resource-Intensive Pathways and Financial Constraints
by Qiyuan Fan, Jiajun Liu and Wenwen Yu
Sustainability 2026, 18(2), 694; https://doi.org/10.3390/su18020694 - 9 Jan 2026
Abstract
Despite growing interest in sustainable supply chains, we still know relatively little about how environmental requirements transmitted from key customers along the supply chain affect firms’ productivity and long-run economic sustainability. To address this gap, we introduce the notion of green supply chain [...] Read more.
Despite growing interest in sustainable supply chains, we still know relatively little about how environmental requirements transmitted from key customers along the supply chain affect firms’ productivity and long-run economic sustainability. To address this gap, we introduce the notion of green supply chain pressure, downstream customers’ explicit green and low-carbon requirements on suppliers, and examine its implications for firm-level productivity and the mechanisms involved. Using a panel of Chinese A-share listed firms over 2014–2024, we construct a novel text-based index of green supply chain pressure by combining supply-chain relationship data with MD&A disclosures of major customers. Firm-level economic sustainability is measured by Levinsohn–Petrin total factor productivity, with Olley–Pakes estimates used for robustness. Fixed-effects regressions with industry–year and city–year controls show that stronger green supply chain pressure is associated with significantly higher productivity. Mediation analysis reveals that this effect operates partly through three resource-intensive adjustment channels: (i) a higher share of green patents in total innovation, (ii) capital deepening via a higher share of digital and intelligent fixed assets in total net fixed assets, and (iii) human capital upgrading through a larger proportion of highly educated employees. Interaction models further indicate that financing constraints critically condition these gains: the productivity effect of green supply chain pressure is stronger for firms with greater financial slack, and for high-tech, green-attribute and larger firms. Overall, the results highlight supply chain-based governance as a powerful complement to formal regulation for promoting long-run economic sustainability at the firm level. Full article
(This article belongs to the Section Economic and Business Aspects of Sustainability)
20 pages, 1616 KB  
Systematic Review
Environmental, Social, and Governance (ESG) Factors in International Trade: A Systematic Review and Integrative Framework
by Georgios A. Deirmentzoglou, Eleni E. Anastasopoulou, Andreas Masouras and Panikos Symeou
Sustainability 2026, 18(2), 677; https://doi.org/10.3390/su18020677 - 9 Jan 2026
Viewed by 106
Abstract
Environmental, Social, and Governance (ESG) factors have become central to international trade, transforming how firms, industries, and governments engage in global markets. This study conducts a systematic literature review to synthesize current knowledge on the ESG–trade nexus. Using content analysis, three key thematic [...] Read more.
Environmental, Social, and Governance (ESG) factors have become central to international trade, transforming how firms, industries, and governments engage in global markets. This study conducts a systematic literature review to synthesize current knowledge on the ESG–trade nexus. Using content analysis, three key thematic clusters were identified: (i) ESG in supply chains and logistics, (ii) ESG in export performance and international competitiveness, and (iii) ESG and trade within geopolitics, energy, and resource security. The synthesis reveals that ESG has evolved from a voluntary corporate initiative into a structural determinant of global competitiveness, resilience, and legitimacy. Building on these findings, the study proposes an integrative ESG–Trade framework, which conceptualizes ESG as a multidimensional governance ecosystem comprising (i) institutional and regulatory, (ii) technological and operational, and (iii) geopolitical and strategic dimensions. This framework explains how sustainability regulations, digital transformation, and global political economy dynamics co-evolve to shape trade flows and industrial upgrading. The study highlights the need for greater regulatory coherence and strategic ESG integration while offering a foundation for future interdisciplinary and empirical research on sustainable trade governance. Full article
Show Figures

Figure 1

26 pages, 992 KB  
Article
AI-Driven Metaverse Integration for Sustainable Manufacturing: The Mediating Role of Digital Supply Chain Resilience in Jordan’s Industrial Sector
by Ahmad Fathi Alheet
Logistics 2026, 10(1), 15; https://doi.org/10.3390/logistics10010015 - 8 Jan 2026
Viewed by 136
Abstract
Background: This study examines how AI-driven metaverse integration enhances sustainable manufacturing performance in Jordan’s industrial sector, with particular emphasis on the mediating role of digital supply chain resilience. Grounded in resource orchestration theory (ROT), the research explains how digital twin systems, predictive [...] Read more.
Background: This study examines how AI-driven metaverse integration enhances sustainable manufacturing performance in Jordan’s industrial sector, with particular emphasis on the mediating role of digital supply chain resilience. Grounded in resource orchestration theory (ROT), the research explains how digital twin systems, predictive AI analytics, and virtual collaboration technologies jointly support sustainability through improved supply chain agility, responsiveness, and continuity. Methods: Data were collected from 500 industrial managers, of which 415 valid responses were analyzed using partial least squares structural equation modeling (PLS-SEM). Results: The findings indicate that AI-powered metaverse dimensions have significant and positive effects on sustainable manufacturing performance, both directly and indirectly through digital supply chain resilience. The mediation analysis confirms that resilience serves as a critical mechanism linking metaverse-based technology adoption to sustainability outcomes. Conclusions: The study highlights the strategic importance of integrating advanced digital and virtual technologies into supply chains to address sustainability challenges, particularly in emerging economies such as Jordan. By extending resource orchestration theory to the metaverse context, this research contributes to theory development and offers practical insights for industrial managers seeking to leverage digital transformation as a source of sustainable competitive advantage. Full article
Show Figures

Figure 1

23 pages, 942 KB  
Article
Who Wins the Energy Race? Artificial Intelligence for Smarter Energy Use in Logistics and Supply Chain Management
by Blanka Tundys and Tomasz Wiśniewski
Energies 2026, 19(2), 305; https://doi.org/10.3390/en19020305 - 7 Jan 2026
Viewed by 126
Abstract
Artificial intelligence (AI) is increasingly regarded as a transformative enabler of sustainable logistics and supply chain management, particularly in the context of global energy transition and decarbonization efforts. This study provides a comprehensive conceptual and exploratory assessment of the multidimensional role of AI, [...] Read more.
Artificial intelligence (AI) is increasingly regarded as a transformative enabler of sustainable logistics and supply chain management, particularly in the context of global energy transition and decarbonization efforts. This study provides a comprehensive conceptual and exploratory assessment of the multidimensional role of AI, highlighting both its potential to enhance energy efficiency and reduce greenhouse gas emissions, as well as its inherent environmental costs associated with digital infrastructures such as data centers. The findings reveal the dual character of digitalization: while predictive algorithms and digital twin applications facilitate demand forecasting, process optimization, and real-time adaptation to market fluctuations, they simultaneously generate additional energy demand that must be offset through renewable energy integration and intelligent energy balancing. The analysis underscores that the effectiveness of AI deployment cannot be captured solely through economic metrics but requires a holistic evaluation framework that incorporates environmental and social dimensions. Moreover, regional disparities are identified, with advanced economies accelerating AI-driven green transformations under regulatory and societal pressures, while developing economies face constraints linked to infrastructure gaps and investment limitations. The analysis emphasizes that AI-driven predictive models and digital twin applications are not only tools for energy optimization but also mechanisms that enhance systemic resilience by enabling risk anticipation, adaptive resource allocation, and continuity of operations in volatile environment. The contribution of this study lies in situating AI within the digital–green synergy discourse, demonstrating that its role in logistics decarbonization is conditional upon integrated energy–climate strategies, organizational change, and workforce reskilling. By synthesizing emerging evidence, this article provides actionable insights for policymakers, managers, and scholars, and calls for more rigorous empirical research across sectors, regions, and time horizons to verify the long-term sustainability impacts of AI-enabled solutions in supply chains. Full article
Show Figures

Figure 1

30 pages, 381 KB  
Article
The Spillover Effect of Customer Data Assets on Suppliers’ Green Innovation
by Rumeng Yang and Delin Wu
Sustainability 2026, 18(2), 607; https://doi.org/10.3390/su18020607 - 7 Jan 2026
Viewed by 96
Abstract
Green innovation is important for environmental sustainability and long-term ecological balance. Using 1129 observations of Chinese listed firms spanning 2014–2024, combined with text mining method to quantify data assets, this paper empirically examines the impact of customer data assets on suppliers’ green innovation. [...] Read more.
Green innovation is important for environmental sustainability and long-term ecological balance. Using 1129 observations of Chinese listed firms spanning 2014–2024, combined with text mining method to quantify data assets, this paper empirically examines the impact of customer data assets on suppliers’ green innovation. Our model is integrated with fixed effects for both industry and year. We find that there is a significant improvement in suppliers’ green innovation when customers have more data assets, with a one-notch improvement in the customer data assets of a customer firm. This results in an overall 0.06 increase in supplier green innovation output. Specifically, the spillover effect is more pronounced when there is a shorter geographic distance between suppliers and customers, as well as higher customer concentration. After conducting a variety of endogeneity tests, our results are robust. The mechanism analysis shows that customer data assets facilitate supplier digital transformation and improve supplier operational capacity. The heterogeneity analysis also reveals stronger effects when (1) customers are located in eastern regions, (2) customers belong to technology-intensive industries, (3) suppliers are state-owned enterprises (SOEs), and (4) suppliers face lower financial constraints. Further analysis suggests that customers with more data assets also increase suppliers’ R&D investment and improve green innovation quality. Our research contributes to understanding the spillover effect of customer data assets along the supply chain. Full article
24 pages, 3087 KB  
Review
Research Topic Identification and Trend Forecasting of Blockchain in the Construction Industry: Based on LDA-ARIMA Combined Method
by Yongshun Xu, Zhongyuan Zhang, Cen-Ying Lee, Heap-Yih Chong and Mengyuan Cheng
Buildings 2026, 16(2), 254; https://doi.org/10.3390/buildings16020254 - 7 Jan 2026
Viewed by 128
Abstract
Driven by the urgent need for industrial transformation and emerging technologies, the construction engineering market is rapidly evolving toward intelligent building systems. This study employs latent Dirichlet allocation (LDA) methodology to analyze 474 blockchain-related research abstracts from Web of Science and Scopus databases, [...] Read more.
Driven by the urgent need for industrial transformation and emerging technologies, the construction engineering market is rapidly evolving toward intelligent building systems. This study employs latent Dirichlet allocation (LDA) methodology to analyze 474 blockchain-related research abstracts from Web of Science and Scopus databases, identifying eight key research topics: (1) industry adoption and implementation challenges; (2) smart contracts and payment mechanisms; (3) emerging technologies and digital transformation; (4) construction supply chain integration and optimization; (5) building modeling and technology integration; (6) modular integrated construction (MIC) applications; (7) project data and security management; and (8) construction industry sustainability and circular economy (CE). Using the autoregressive integrated moving average (ARIMA) model, the study forecasts trends for the top three research topics over the next 36 months. The results indicate strong positive growth trajectories for industry adoption and implementation challenges (Topic 1) and project data and security management (Topic 7), while emerging technologies and digital transformation (Topic 3) demonstrate sustained growth. This study offers a thorough examination of the present landscape and emerging research trends of blockchain in construction, and establishes an overall framework to comprehensively summarize its research and application in the construction industry. The results provide actionable insights for both practitioners and researchers, facilitating a deeper understanding of blockchain’s evolution and implementation prospects, and supporting the advancement of innovation within the industry. Full article
(This article belongs to the Section Construction Management, and Computers & Digitization)
Show Figures

Figure 1

37 pages, 927 KB  
Review
Circular Economy Pathways for Critical Raw Materials: European Union Policy Instruments, Secondary Supply, and Sustainable Development Outcomes
by Sergiusz Pimenow, Olena Pimenowa and Włodzimierz Rembisz
Sustainability 2026, 18(2), 562; https://doi.org/10.3390/su18020562 - 6 Jan 2026
Viewed by 206
Abstract
Achieving sustainable development in the low-carbon transition requires securing critical raw materials (CRMs) while reducing environmental burdens and strengthening industrial resilience (SDGs 7, 9, 12, 13). This review synthesizes 2016–2025 evidence on how the European Union’s policy package—the Critical Raw Materials Act (CRMA), [...] Read more.
Achieving sustainable development in the low-carbon transition requires securing critical raw materials (CRMs) while reducing environmental burdens and strengthening industrial resilience (SDGs 7, 9, 12, 13). This review synthesizes 2016–2025 evidence on how the European Union’s policy package—the Critical Raw Materials Act (CRMA), the Batteries Regulation, the Ecodesign for Sustainable Products Regulation (ESPR) with Digital Product Passports (DPPs), and the recast Waste Shipments Regulation (WSR)—shapes markets for secondary supply in battery-relevant metals such as lithium, cobalt, nickel, copper, aluminum, and rare earths. We apply a structured scoping review protocol to map the state of the art across policy instruments (EPR, ecodesign/DPP, recycled content mandates, recovery targets, shipment controls) and value chain stages (collection, preprocessing, refining, manufacturing). The analysis highlights benefits, including clearer investment signals, improved traceability, and emerging opportunities for industrial symbiosis, but also identifies drawbacks such as heterogeneous standards, compliance costs, and trade frictions. Evidence gaps remain, especially in causal ex post assessments, price pass-through, and interoperability of MRV/DPP systems. The paper contributes by (i) providing an integrative framework linking policy instruments, value chain stages, and investment signals for secondary CRM supply, and (ii) outlining a research agenda for rigorous ex post evaluation, improved MRV/DPP data architectures, and better alignment between EU trade rules, circularity, and a just energy transition. Full article
Show Figures

Figure 1

30 pages, 1905 KB  
Article
A System-Based Framework for Reducing the Digital Divide in Critical Mineral Supply Chains
by Shibo Xu, Nan Bai, Keun-sik Park and Miao Su
Systems 2026, 14(1), 53; https://doi.org/10.3390/systems14010053 - 5 Jan 2026
Viewed by 108
Abstract
The widening digital divide within the Global Critical Mineral Resource Supply Chain (GCMRS) 4.0 creates significant barriers to cross-border governance and operational efficiency. To quantify and address this disparity, this study identifies 20 Critical Success Factors (CSFs) through expert interviews with 15 industry [...] Read more.
The widening digital divide within the Global Critical Mineral Resource Supply Chain (GCMRS) 4.0 creates significant barriers to cross-border governance and operational efficiency. To quantify and address this disparity, this study identifies 20 Critical Success Factors (CSFs) through expert interviews with 15 industry specialists in South Korea. A hybrid multi-criteria decision-making framework integrating Fuzzy DEMATEL, Analytic Network Process (ANP), and the Choquet integral is developed to map causal relationships and determine factor weights. The empirical results reveal a distinct ‘technology-first’ dependency. Specifically, Scalable Technical Solutions and Cloud Computing Access emerge as the primary driving forces with the highest global weights, while Digital Investment Subsidies serve as the central hub for resource allocation. Unlike generic governance models, this study provides a quantifiable decision-making basis for policymakers. It demonstrates that bridging the hard infrastructure gap is a prerequisite for the effectiveness of soft collaborative mechanisms in the critical mineral sector. Full article
(This article belongs to the Section Supply Chain Management)
Show Figures

Figure 1

29 pages, 1716 KB  
Review
Innovative Preservation Technologies and Supply Chain Optimization for Reducing Meat Loss and Waste: Current Advances, Challenges, and Future Perspectives
by Hysen Bytyqi, Ana Novo Barros, Victoria Krauter, Slim Smaoui and Theodoros Varzakas
Sustainability 2026, 18(1), 530; https://doi.org/10.3390/su18010530 - 5 Jan 2026
Viewed by 379
Abstract
Food loss and waste (FLW) is a chronic problem across food systems worldwide, with meat being one of the most resource-intensive and perishable categories. The perishable character of meat, combined with complex cold chain requirements and consumer behavior, makes the sector particularly sensitive [...] Read more.
Food loss and waste (FLW) is a chronic problem across food systems worldwide, with meat being one of the most resource-intensive and perishable categories. The perishable character of meat, combined with complex cold chain requirements and consumer behavior, makes the sector particularly sensitive to inefficiencies and loss across all stages from production to consumption. This review synthesizes the latest advancements in new preservation technologies and supply chain efficiency strategies to minimize meat wastage and also outlines current challenges and future directions. New preservation technologies, such as high-pressure processing, cold plasma, pulsed electric fields, and modified atmosphere packaging, have substantial potential to extend shelf life while preserving nutritional and sensory quality. Active and intelligent packaging, bio-preservatives, and nanomaterials act as complementary solutions to enhance safety and quality control. At the same time, blockchain, IoT sensors, AI, and predictive analytics-driven digitalization of the supply chain are opening new opportunities in traceability, demand forecasting, and cold chain management. Nevertheless, regulatory uncertainty, high capital investment requirements, heterogeneity among meat types, and consumer hesitancy towards novel technologies remain significant barriers. Furthermore, the scalability of advanced solutions is limited in emerging nations due to digital inequalities. Convergent approaches that combine technical innovation with policy harmonization, stakeholder capacity building, and consumer education are essential to address these challenges. System-level strategies based on circular economy principles can further reduce meat loss and waste, while enabling by-product valorization and improving climate resilience. By integrating preservation innovations and digital tools within the framework of UN Sustainable Development Goal 12.3, the meat sector can make meaningful progress towards sustainable food systems, improved food safety, and enhanced environmental outcomes. Full article
Show Figures

Figure 1

43 pages, 1507 KB  
Article
Customized Product Design and Cybersecurity Under a Nash Game-Enabled Dual-Channel Supply Chain Network
by Parthasarathi Mandal, Rekha Guchhait, Bikash Koli Dey, Mitali Sarkar, Sarla Pareek and Anirban Ganguly
Mathematics 2026, 14(1), 192; https://doi.org/10.3390/math14010192 - 4 Jan 2026
Viewed by 142
Abstract
Dual-channel retailing empowers the manufacturer to benefit from market opportunities by producing customized items that fulfill client requirements. The manufacturer and retailer sell customized products, which allow customers to express their chosen style to increase both the likelihood of customers making a purchase [...] Read more.
Dual-channel retailing empowers the manufacturer to benefit from market opportunities by producing customized items that fulfill client requirements. The manufacturer and retailer sell customized products, which allow customers to express their chosen style to increase both the likelihood of customers making a purchase and their level of satisfaction with the product. This trend is demonstrated by the current study, in which customized consumer items are considered through online and offline channels. On the other hand, cybersecurity has become a crucial aspect of the digital era, ensuring the protection of sensitive data, networks, and systems from cyberattacks and unauthorized access. This study develops with a modern cybersecurity framework to protect against cyberattacks and increase customer trust. This model is based on customized product design, cybersecurity investment, advertisement investment, and increasing the green level of customized products. The model is solved using both centralized policy and vertical Nash policy. Numerical results indicate that centralized profit is 2.37% more than the decentralized profit. Without investing in customized products and cybersecurity, the profit of the supply chain decreases by 2.33% and 1.99% for the centralized method, 1.28% and 1.15% for the vertical Nash method for the retailer, and 1.85% and 1.38% for the vertical Nash method for the manufacturer. Full article
Show Figures

Figure 1

32 pages, 3408 KB  
Review
Weaving the Future: The Role of Novel Fibres and Molecular Traceability in Circular Textiles
by Sofia Pereira de Sousa, Marta Nunes da Silva, Carlos Braga and Marta W. Vasconcelos
Appl. Sci. 2026, 16(1), 497; https://doi.org/10.3390/app16010497 - 4 Jan 2026
Viewed by 301
Abstract
The textile sector provides essential goods, yet it remains environmentally and socially intensive, driven by high water use, pesticide dependent monocropping, chemical pollution during processing, and growing waste streams. This review examines credible pathways to sustainability by integrating emerging plant-based fibres from hemp, [...] Read more.
The textile sector provides essential goods, yet it remains environmentally and socially intensive, driven by high water use, pesticide dependent monocropping, chemical pollution during processing, and growing waste streams. This review examines credible pathways to sustainability by integrating emerging plant-based fibres from hemp, abaca, stinging nettle, and pineapple leaf fibre. These underutilised crops combine favourable agronomic profiles with competitive mechanical performance and are gaining momentum as the demand for demonstrably sustainable textiles increases. However, conventional fibre identification methods, including microscopy and spectroscopy, often lose reliability after wet processing and in blended fabrics, creating opportunities for mislabelling, greenwashing, and weak certification. We synthesise how advanced molecular approaches, including DNA fingerprinting, species-specific assays, and metagenomic tools, can support the authentication of fibre identity and provenance and enable linkage to Digital Product Passports. We also critically assess environmental Life Cycle Assessment (LCA) and social assessment frameworks, including S-LCA and SO-LCA, as complementary methodologies to quantify climate burden, water use, labour conditions, and supply chain risks. We argue that aligning fibre innovation with molecular traceability and harmonised life cycle evidence is essential to replace generic sustainability claims with verifiable metrics, strengthen policy and certification, and accelerate transparent, circular, and socially responsible textile value chains. Key research priorities include validated marker panels and reference libraries for non-cotton fibres, expanded region-specific LCA inventories and end-of-life scenarios, scalable fibre-to-fibre recycling routes, and practical operationalisation of SO-LCA across diverse enterprises. Full article
Show Figures

Figure 1

35 pages, 6797 KB  
Systematic Review
Optimization Techniques for Improving Economic Profitability Through Supply Chain Processes: A Systematic Literature Review
by Ricardo Jarquin-Segovia and José Antonio Marmolejo-Saucedo
Mathematics 2026, 14(1), 185; https://doi.org/10.3390/math14010185 - 4 Jan 2026
Viewed by 162
Abstract
In today’s dynamic and global business landscape, economic profitability is essential for creating and sustaining competitive advantage. Nevertheless, a critical gap persists in the literature regarding the application of advanced optimization techniques that systematically link operational improvements in the supply chain with strategic [...] Read more.
In today’s dynamic and global business landscape, economic profitability is essential for creating and sustaining competitive advantage. Nevertheless, a critical gap persists in the literature regarding the application of advanced optimization techniques that systematically link operational improvements in the supply chain with strategic financial indicators. Accordingly, this study aims to identify and synthesize the optimization techniques applied to supply chain processes and their impact on economic profitability. To achieve this objective, the PRISMA methodology was employed. A systematic literature review covering the last ten years (2015–2025) was conducted using the Web of Science database. After applying inclusion and exclusion criteria, 35 studies were selected, revealing a growing methodological diversity. Nature-Inspired Algorithms (NIAs) and hybrid approaches (such as MILP combined with Simulation) demonstrate greater capacity to address complex and multi-objective scenarios. Notably, hybrid techniques have been successfully applied to the maximization of Economic Value Added (EVA), a key strategic value indicator. Despite the sophistication of these optimization techniques, the predominant objective remains total cost minimization, often sidelining the direct optimization of strategic indicators such as EVA or the Cash Conversion Cycle (CCC). Additionally, a key research gap was identified in the development of adaptive and resilient models that integrate technologies such as Digital Twins, Blockchain, and Artificial Intelligence to dynamically manage physical and financial disruptions in supply chains. The study concludes by emphasizing the need for a theoretical shift toward models that go beyond cost minimization and focus on real value metrics, as well as the exploration of more accessible solutions for SMEs. This review contributes a reference framework for academics and practitioners to align the most suitable optimization techniques with strategic financial objectives in supply chain management. Full article
Show Figures

Figure 1

Back to TopTop