Sign in to use this feature.

Years

Between: -

Subjects

remove_circle_outline
remove_circle_outline
remove_circle_outline
remove_circle_outline
remove_circle_outline
remove_circle_outline
remove_circle_outline
remove_circle_outline
remove_circle_outline

Journals

remove_circle_outline
remove_circle_outline
remove_circle_outline
remove_circle_outline
remove_circle_outline
remove_circle_outline
remove_circle_outline
remove_circle_outline
remove_circle_outline
remove_circle_outline

Article Types

Countries / Regions

remove_circle_outline
remove_circle_outline
remove_circle_outline
remove_circle_outline

Search Results (669)

Search Parameters:
Keywords = design of irrigation systems

Order results
Result details
Results per page
Select all
Export citation of selected articles as:
32 pages, 521 KB  
Review
Vineyard Design, Cultural Practices and Physical Methods for Controlling Grapevine Pests and Disease Vectors in Europe: A Review
by Francesco Pavan, Elena Cargnus and Pietro Zandigiacomo
Insects 2026, 17(1), 113; https://doi.org/10.3390/insects17010113 - 20 Jan 2026
Abstract
In Europe, due to reduced availability and efficacy of active ingredients, strategies against grapevine pests based on alternative tools to synthetic pesticides need to be developed. So far, attention has been mainly focused on biological control (arthropod natural enemies and entomopathogens) and mating [...] Read more.
In Europe, due to reduced availability and efficacy of active ingredients, strategies against grapevine pests based on alternative tools to synthetic pesticides need to be developed. So far, attention has been mainly focused on biological control (arthropod natural enemies and entomopathogens) and mating disruption, but other means can also help keep pests below economic injury levels. This paper aims to review information on the direct effects of farmers’ choices on grapevine pest populations, ranging from vineyard design (e.g., growing habitat, grapevine cultivar, and training system) to annual agronomic practices (e.g., fertilization, irrigation, and pruning), and specific cultural and physical methods. Information was based on the CABI Digital Library, websites and books on grapevine pests. The data presentation is based on control strategies rather than pests, as it was considered more important to focus on the mode of action of different practices and to know which pests they affect simultaneously. The widespread availability of insecticides has long led to the neglect of the potential of cultural practices, which can effectively integrate other pest control tools. Full article
(This article belongs to the Special Issue Insects Ecology and Biological Control Applications)
19 pages, 2687 KB  
Article
Flowering Phenograms and Genetic Sterilities of Ten Olive Cultivars Grown in a Super-High-Density Orchard
by Francesco Maldera, Francesco Nicolì, Simone Pietro Garofalo, Francesco Laterza, Gaetano Alessandro Vivaldi and Salvatore Camposeo
Horticulturae 2026, 12(1), 110; https://doi.org/10.3390/horticulturae12010110 - 19 Jan 2026
Viewed by 36
Abstract
The introduction of Super-High-Density (SHD) olive orchards represents a crucial innovation in modern olive growing, enhancing sustainability. However, the long-term success of these planting systems depends strongly on cultivar selection, combining suitable vegetative and reproductive traits. This three-year field study investigated key floral [...] Read more.
The introduction of Super-High-Density (SHD) olive orchards represents a crucial innovation in modern olive growing, enhancing sustainability. However, the long-term success of these planting systems depends strongly on cultivar selection, combining suitable vegetative and reproductive traits. This three-year field study investigated key floral biology parameters—flowering phenograms, gynosterility, and self-compatibility—of ten olive cultivars grown under irrigated conditions in southern Italy: ‘Arbequina’, ‘Arbosana’, ‘Cima di Bitonto’, ‘Coratina’, ‘Don Carlo’, ‘Frantoio’, ‘Favolosa’ (=‘Fs-17’), ‘I-77’, ‘Koroneiki’, and ‘Urano’ (=‘Tosca’). Flowering phenograms varied significantly across years and cultivars, showing temporal shifts related to chilling accumulation and yield of the previous year. Early blooming cultivars (‘Arbequina’, ‘Arbosana’, and ‘Coratina’) exhibited partial flowering overlap with mid-season ones, enhancing cross-pollination opportunities. Quantitative analysis of flowering overlap revealed that most cultivar combinations exceeded the 70% threshold required for effective pollination, although specific genotypes (‘Coratina’, ‘Fs-17’, and especially ‘I-77’) showed critical mismatches, while ‘Frantoio’ and ‘Arbequina’ emerged as the most reliable pollinizers. Gynosterility exhibited statistical differences among cultivars and canopy positions: ‘I-77’ showed the highest values (71.4%), while ‘Coratina’ and ‘Cima di Bitonto’ showed the lowest ones (7.3 and 8.4%, respectively). The median portions of the canopies generally displayed a greater number of sterile flowers (29.4%), reflecting the combined effect of genetic and environmental factors such as light exposure. In the inflorescence, the majority of gynosterile flowers were concentrated in the lower part, for all canopy portions (modal value). Self-compatibility tests were performed considering a fruit set of 1% as a threshold to discriminate. For open pollination, the fruit set was highly variable among cultivars, ranging from 0.5% in ‘I-77’ to 4.7% in ‘Arbosana’. Apart from ‘I77’, all varieties achieved a fruit set greater than 1%. Instead, for the self-pollination, only ‘Arbequina’, ‘Koroneiki’, ‘Frantoio’, and ‘Cima di Bitonto’ could be identified as pseudo-self-compatible, whereas ‘Coratina’, ‘Fs-17’, and the others were clearly self-incompatible and therefore unsuitable for monovarietal orchards in areas with limited availability of pollen. By integrating self-compatibility and gynosterility data, the cultivars were ranked according to reproductive aptitude, identifying ‘Cima di Bitonto’ and ‘Frantoio’ as the most fertile genotypes, whereas ‘Don Carlo’ and particularly ‘I-77’ showed severe genetic sterility constraints. The findings underline the critical role of floral biology in defining reproductive efficiency and varietal adaptability in SHD systems. This research provides valuable insights for optimizing cultivar selection, orchard design, and management practices, contributing to the development of sustainable, climate-resilient olive production models for Mediterranean environments. Full article
(This article belongs to the Special Issue Fruit Tree Physiology, Sustainability and Management)
Show Figures

Graphical abstract

20 pages, 7676 KB  
Article
Development of a Neural Network-Based Controller for a Greenhouse Irrigation System at Laboratory Scale
by Cesar Gerardo-Parra, Luis Enrique Barreto-Salazar, Lidia Madeleine Flores-López, Julio César Picos-Ponce, David Enrique Castro-Palazuelos and Guillermo Javier Rubio-Astorga
Agriculture 2026, 16(2), 245; https://doi.org/10.3390/agriculture16020245 - 18 Jan 2026
Viewed by 176
Abstract
Water scarcity and inefficient irrigation practices are major challenges for modern protected agriculture systems. This study designs, implements, and experimentally validates a neural network-based irrigation control strategy in an industrial programmable logic controller (PLC) for a drip irrigation system operating in a laboratory-scale [...] Read more.
Water scarcity and inefficient irrigation practices are major challenges for modern protected agriculture systems. This study designs, implements, and experimentally validates a neural network-based irrigation control strategy in an industrial programmable logic controller (PLC) for a drip irrigation system operating in a laboratory-scale micro-tunnel greenhouse. The objective is to evaluate the real-time performance of an intelligent controller under practical operating conditions and to quantify its impact on water use efficiency and crop growth compared to a conventional on–off strategy. The neural network is trained using 1039 data samples, divided into training (70%), validation (15%), and test (15%) datasets, and is implemented in the PLC to regulate soil moisture through a proportional valve. Experimental validation is carried out over 67 days using a serrano chili pepper (Capsicum annuum L.) crop. Both controllers operate simultaneously under identical environmental and operating conditions. Performance is evaluated using soil moisture stability metrics, including mean squared error (MSE), mean absolute error (MAE), and standard error (SE), water consumption, and crop growth indicators prior to harvest. Results show that the neural network controller achieves higher soil moisture regulation accuracy (MSE = 3.2159%, MAE = 0.7560%, SE = 0.00001687%) and reduces the average daily water consumption per plant by 50.18% compared with the on–off controller. In addition, the absolute growth rate increases by 26.42%, with statistically significant differences. These results demonstrate that neural network-based control can be effectively implemented on industrial hardware and provide tangible benefits for water-efficient and precision irrigation systems. Full article
(This article belongs to the Section Artificial Intelligence and Digital Agriculture)
Show Figures

Figure 1

26 pages, 2562 KB  
Article
Mathematically Grounded Neuro-Fuzzy Control of IoT-Enabled Irrigation Systems
by Nikolay Hinov, Reni Kabakchieva, Daniela Gotseva and Plamen Stanchev
Mathematics 2026, 14(2), 314; https://doi.org/10.3390/math14020314 (registering DOI) - 16 Jan 2026
Viewed by 103
Abstract
This paper develops a mathematically grounded neuro-fuzzy control framework for IoT-enabled irrigation systems in precision agriculture. A discrete-time, physically motivated model of soil moisture is formulated to capture the nonlinear water dynamics driven by evapotranspiration, irrigation, and drainage in the crop root zone. [...] Read more.
This paper develops a mathematically grounded neuro-fuzzy control framework for IoT-enabled irrigation systems in precision agriculture. A discrete-time, physically motivated model of soil moisture is formulated to capture the nonlinear water dynamics driven by evapotranspiration, irrigation, and drainage in the crop root zone. A Mamdani-type fuzzy controller is designed to approximate the optimal irrigation strategy, and an equivalent Takagi–Sugeno (TS) representation is derived, enabling a rigorous stability analysis based on Input-to-State Stability (ISS) theory and Linear Matrix Inequalities (LMIs). Online parameter estimation is performed using a Recursive Least Squares (RLS) algorithm applied to real IoT field data collected from a drip-irrigated orchard. To enhance prediction accuracy and long-term adaptability, the fuzzy controller is augmented with lightweight artificial neural network (ANN) modules for evapotranspiration estimation and slow adaptation of membership-function parameters. This work provides one of the first mathematically certified neuro-fuzzy irrigation controllers integrating ANN-based estimation with Input-to-State Stability (ISS) and LMI-based stability guarantees. Under mild Lipschitz continuity and boundedness assumptions, the resulting neuro-fuzzy closed-loop system is proven to be uniformly ultimately bounded. Experimental validation in an operational IoT setup demonstrates accurate soil-moisture regulation, with a tracking error below 2%, and approximately 28% reduction in water consumption compared to fixed-schedule irrigation. The proposed framework is validated on a real IoT deployment and positioned relative to existing intelligent irrigation approaches. Full article
(This article belongs to the Special Issue Advances in Fuzzy Logic and Artificial Neural Networks, 2nd Edition)
Show Figures

Figure 1

21 pages, 1881 KB  
Article
Geometry-Driven Hydraulic Behavior of Pressure-Compensating Emitters for Water-Saving Agricultural Irrigation Systems
by Mohamed Ghonimy, Abdulaziz Alharbi, Nermin S. Hussein and Hisham M. Imam
Water 2026, 18(2), 244; https://doi.org/10.3390/w18020244 - 16 Jan 2026
Viewed by 198
Abstract
Water-saving agricultural irrigation systems depend heavily on the hydraulic stability of pressure-compensating (PC) emitters, whose performance is fundamentally shaped by internal flow-path geometry. This study analyzes six commercial PC emitters (E1E6) operated under pressures of 0.8–2.0 bar [...] Read more.
Water-saving agricultural irrigation systems depend heavily on the hydraulic stability of pressure-compensating (PC) emitters, whose performance is fundamentally shaped by internal flow-path geometry. This study analyzes six commercial PC emitters (E1E6) operated under pressures of 0.8–2.0 bar to quantify how key geometric descriptors influence hydraulic parameters critical for efficient water use, including actual discharge (qact), discharge coefficient (k), pressure exponent (x), emission uniformity (EU), and flow variability. All emitters had discharge deviations within ±7% of nominal values. Longer and more tortuous labyrinths enhanced compensation stability, while emitters with wider cross-sections and shorter paths produced higher throughput but weaker regulation efficiency. Linear mixed-effects modeling showed that effective flow area increased k, whereas normalized path length and tortuosity reduced both k and x. Predictive equations derived from geometric indicators closely matched measured values, with deviations below ±0.05 L/h for k and ±0.05 for x. These results establish a geometry-based hydraulic framework that supports emitter selection and design in water-saving agricultural irrigation, aligning with broader Agricultural Water–Land–Plant System Engineering objectives and contributing to more efficient and sustainable water-resource utilization. Full article
(This article belongs to the Special Issue Agricultural Water-Land-Plant System Engineering, 2nd Edition)
Show Figures

Figure 1

14 pages, 499 KB  
Article
Chitosan Acts as a Sustainable Strategy for Integrated Management of Root-Knot Nematodes (Meloidogyne spp.) in Cherry Tomato
by Carolina González-Cardona, Juan Camilo Orrego-Cardona, Alejandro Ospina-Gutiérrez, Claudia Nohemy Montoya-Estrada, Jairo Eduardo Leguizamón-Caycedo, Mauricio Soto-Suárez, Alejandro Hurtado-Salazar and Nelson Ceballos-Aguirre
Plants 2026, 15(2), 256; https://doi.org/10.3390/plants15020256 - 14 Jan 2026
Viewed by 175
Abstract
Root-knot nematodes (Meloidogyne spp., RKN) penetrate the roots of plants, blocking the flow of water and nutrients, preventing plant development, and causing losses of up to 68% in production. Its management is limited by the low availability of genetically resistant materials, the [...] Read more.
Root-knot nematodes (Meloidogyne spp., RKN) penetrate the roots of plants, blocking the flow of water and nutrients, preventing plant development, and causing losses of up to 68% in production. Its management is limited by the low availability of genetically resistant materials, the inefficient use of biological controllers, and the high risk of environmental contamination from the application of pesticides. The aim of this study was to contribute to the integrated management of (RKN) through the use of chitosan. A completely randomized experimental design was used in a factorial arrangement with two applications (foliar or edaphic), two cherry tomato genotypes (IAC1687 and LA2076), and eight treatments (three concentrations of chitosan (1.5–2.0–2.5 mg/mL), commercial controls and absolute controls). The yield and nematode population components were evaluated. The cherry tomato (IAC1687) obtained the greatest yield, with 33.517.1 kg/ha and an 85% reduction in the nematode population with the application of 2.5 mg/mL of chitosan to the soil. Chitosan improved the yield components of the evaluated cultivars and reduced nematode populations, suggesting that it can be a sustainable alternative in commercial production systems, as it can help reduce the use of chemical pesticides and improve health and crop productivity. As a limitation of this study, the use of acetic acid as a solvent for chitosan potentially interfered with the results associated with the nematode population, increasing bias and imprecision as there was no blockage due to light, temperature, or irrigation. Therefore, we suggest that future research explores alternative solvents to elucidate the mechanism of action or response of chitosan. Full article
Show Figures

Figure 1

29 pages, 8571 KB  
Article
Response Surface Methodology for Wear Optimization of Irrigation Centrifugal Pumps in High-Sediment Water Conditions of Southern Xinjiang: Design and Experimental Validation
by Haoran Chen, Zhuo Shi, Shunjun Hong and Xiaozhou Hu
Agriculture 2026, 16(2), 177; https://doi.org/10.3390/agriculture16020177 - 9 Jan 2026
Viewed by 217
Abstract
This study investigates the wear characteristics and optimization of a centrifugal pump (Q = 25 m3/h, H = 50 m, n = 2900 r/min) applied in sediment-laden waters of Southern Xinjiang irrigation systems. A numerical framework integrating the Realizable [...] Read more.
This study investigates the wear characteristics and optimization of a centrifugal pump (Q = 25 m3/h, H = 50 m, n = 2900 r/min) applied in sediment-laden waters of Southern Xinjiang irrigation systems. A numerical framework integrating the Realizable kε turbulence model, Discrete Phase Model (DPM), and Oka erosion model was established to analyze wear patterns under varying parameters (particle size, density, and mass flow rate). Results indicate that the average erosion rate peaks at 0.92 kg/s mass flow rate. Subsequently, a Response Surface Methodology (RSM)-based optimization was implemented: (1) Plackett–Burman (PB) screening identified the inlet placement angle (A), inlet diameter (C), and outlet width (E) as dominant factors; (2) Full factorial design (FFD) revealed significant interactions (e.g., A × C, C × E); (3) Box–Behnken Design (BBD) generated quadratic regression models for head, efficiency, shaft power, and wear rate (R2 > 0.94). Optimization reduced the average erosion rate by 31.35% (from 1.550 × 10−4 to 1.064 × 10−4 kg·m−2·s−1). Experimental validation confirmed the numerical model’s accuracy in predicting wear localization (e.g., impeller outlet). This work provides a robust methodology for enhancing the wear resistance of centrifugal pumps for agricultural irrigation in water with high fine sediment concentration environments. Full article
(This article belongs to the Section Agricultural Technology)
Show Figures

Figure 1

22 pages, 4206 KB  
Article
Sorbitol-Stabilized Silicon Formulation Improve Root Traits and Antioxidant Response in Drought-Stressed Soybean
by Felipe Sousa Franco, Jonas Pereira de Souza Júnior, Renato de Mello Prado, Milton Garcia Costa, Cid Naudi Silva Campos, Leonardo Motta Berzaghi Junior, Nícolas Leite Capucin, Gustavo Paparotto Lopes, Gabriel Sgarbiero Montanha, Marcia Leticia Monteiro Gomes, Ana Carina da Silva Cândido Seron, Hudson Wallace Pereira de Carvalho, José Lavres and Renan Caldas Umburanas
Plants 2026, 15(2), 197; https://doi.org/10.3390/plants15020197 - 8 Jan 2026
Viewed by 235
Abstract
Silicon (Si) plays a critical role in regulating plant physiological processes, particularly through its influence on non-enzymatic antioxidant systems and amino acid metabolism. This study aims to assess soybean performance in response to both soil and foliar Si applications under well-watered and drought [...] Read more.
Silicon (Si) plays a critical role in regulating plant physiological processes, particularly through its influence on non-enzymatic antioxidant systems and amino acid metabolism. This study aims to assess soybean performance in response to both soil and foliar Si applications under well-watered and drought conditions, with the goal of enhancing Si accumulation in plant tissues and potentially strengthening the crop’s physiological responses to water deficit stress. This is especially pertinent given that the mechanisms underlying Si fertilization and its contribution to drought tolerance in soybean remain poorly understood. Greenhouse experiments were conducted using a 3 × 2 factorial design. The factors were: (i) three foliar Si treatments: control (no Si), potassium silicate (SiK; 128 g L−1 Si, 126.5 g L−1 K2O, pH 12.0), and sorbitol-stabilized potassium silicate (SiKe; 107 g L−1 Si, 28.4 g L−1 K2O, 100 mL L−1 sorbitol, pH 11.8); and (ii) two soil water levels: well-watered (80% field capacity) and water-restricted (40% field capacity), the latter simulating tropical dry spells. Silicon was applied to the soil via irrigation and to the leaves via foliar spraying prior to the onset water restriction. All Si solutions were adjusted to pH 7.0 with 1 M HCl immediately before application. Potassium (K) levels were standardized across treatments through supplementary applications of KCl to both soil and foliage. Biometric and physiological parameters were subsequently measured. Sorbitol-stabilized Si enhanced Si accumulation in soybean tissues and improved plant resilience under both well-watered and drought conditions by promoting key physiological traits, including increased levels of daidzein and ascorbic acid levels, along with reduced amino acid concentrations. It also improved biometric parameters such as leaf area, root development, and number of pods per plant. These findings further support the role of Si as a beneficial element in enhancing stress tolerance and contributing to sustainable agricultural practices. Full article
(This article belongs to the Special Issue Silicon and Its Physiological Role in Plant Growth and Development)
Show Figures

Figure 1

27 pages, 3479 KB  
Article
The Water Lifting Performance of a Photovoltaic Sprinkler Irrigation System Regulated by Solar-Coupled Compressed-Air Energy Storage
by Xiaoqing Zhong, Maosheng Ge, Zhengwen Tang, Pute Wu, Xin Hui, Qianwen Zhang, Qingyan Zhang and Khusen Sh. Gafforov
Agriculture 2026, 16(2), 154; https://doi.org/10.3390/agriculture16020154 - 8 Jan 2026
Viewed by 221
Abstract
Solar-driven irrigation, a promising clean technology for agricultural water conservation, is constrained by mismatched photovoltaic (PV) pump outflow and irrigation demand, alongside unstable PV output. While compressed-air energy storage (CAES) shows mitigation potential, existing studies lack systematic explorations of pump water-lifting characteristics and [...] Read more.
Solar-driven irrigation, a promising clean technology for agricultural water conservation, is constrained by mismatched photovoltaic (PV) pump outflow and irrigation demand, alongside unstable PV output. While compressed-air energy storage (CAES) shows mitigation potential, existing studies lack systematic explorations of pump water-lifting characteristics and supply capacity under coupled meteorological and air pressure effects, limiting its practical promotion. This study focuses on a solar-coupled compressed-air energy storage regulated sprinkler irrigation system (CAES-SPSI). Integrating experimental and theoretical methods, it establishes dynamic flow models for three DC diaphragm pumps considering combined PV output and outlet back pressure, introduces pressure loss and drop coefficients to construct a nozzle pressure dynamic model via calibration and iteration, and conducts a 1-hectare corn field case study. The results indicate the following: pump flow increases with PV power and decreases with outlet pressure (model deviation < 9.24%); nozzle pressure in pulse spraying shows logarithmic decline; CAES-SPSI operates 10 h/d, with hourly water-lifting capacity of 0.317–1.01 m3/h and daily cumulation of 6.71 m3; and the low-intensity and long-duration mode extends irrigation time, maintaining total volume and optimal soil moisture. This study innovatively incorporates dynamic air pressure potential energy into meteorological-PV coupling analysis, providing a universal method for quantifying pump flow changes, clarifying CAES-SPSI’s water–energy coupling mechanism, and offering a design basis for its agricultural application feasibility. Full article
(This article belongs to the Section Agricultural Water Management)
Show Figures

Figure 1

21 pages, 2937 KB  
Article
Green Manure Enables Reduced Water and Nitrogen Inputs with Sustained Yield in Maize
by Feng Wang, Yanzi Yu, Xiaoneng Pang, Yali Sun, Zhilong Fan, Wen Yin, Falong Hu, Wei He, Yunyou Nan and Aizhong Yu
Agronomy 2026, 16(1), 120; https://doi.org/10.3390/agronomy16010120 - 2 Jan 2026
Viewed by 275
Abstract
Legume green manure incorporation offers a potential pathway for sustainable cropping in arid irrigated areas. This study aimed to determine whether water and nitrogen inputs could be concurrently reduced without compromising maize productivity under this practice. A two-year field experiment (2024–2025) was conducted [...] Read more.
Legume green manure incorporation offers a potential pathway for sustainable cropping in arid irrigated areas. This study aimed to determine whether water and nitrogen inputs could be concurrently reduced without compromising maize productivity under this practice. A two-year field experiment (2024–2025) was conducted using a split-plot design with three irrigation levels (I1: 4045, I2: 3240, I3: 2430 m3·ha−1) and three nitrogen rates (N1: 360, N2: 288, N3: 216 kg·ha−1). Compared with conventional management (I1N1), 20% co-reduction in water and nitrogen (I2N2) maintained stable leaf area index (LAI), net photosynthetic rate (Pn), transpiration rate (Tr), DM, and GY, while significantly increasing water use efficiency (WUE) by 7.6% and nitrogen use efficiency for grain yield (NUtEg) by 11.7%. Excessive water reduction (I3) or nitrogen reduction (N3) significantly inhibited growth and reduced yield (p < 0.05). Soil water content under I2N2 did not differ significantly from I1N1 in the 0–110 cm profile, and soil total nitrogen remained higher at silking.) Structural equation model (SEM) revealed SWC and STN indirectly affected Pn and Tr via regulating LAI and SPAD (path coefficients: 0.48–0.62), which drove DM accumulation and determined GY (R2 = 0.81). These short-term results suggest that moderate water-nitrogen reduction with green manure can sustain yield while improving resource efficiency, offering a promising practice for arid irrigated maize systems, though longer-term validation is needed. Full article
(This article belongs to the Section Farming Sustainability)
Show Figures

Figure 1

18 pages, 7161 KB  
Article
Assessment of the Impact of the Irrigation Regime and the Application of Fermented Organic Fertilizers on Soil Salinity Dynamics and Alfalfa Growth in Coastal Saline–Alkaline Land
by Qian Yang, Shanshan Shen, Qiu Jin and Jingnan Chen
Agronomy 2026, 16(1), 117; https://doi.org/10.3390/agronomy16010117 - 1 Jan 2026
Viewed by 448
Abstract
Alfalfa cultivation is an effective way to achieve soil improvement while utilizing saline soils. Irrigation and drainage, as physical measures to leach salts, can effectively reduce the soil salt content, while application of organic fertilizer fermented with an effective microorganism (EM) may further [...] Read more.
Alfalfa cultivation is an effective way to achieve soil improvement while utilizing saline soils. Irrigation and drainage, as physical measures to leach salts, can effectively reduce the soil salt content, while application of organic fertilizer fermented with an effective microorganism (EM) may further enhance the improvement effect of saline–alkaline soil by improving soil fertility and microbial community structure. However, there is still a lack of systematic assessment on the effects of applying these three measures on the saline soil–plant system. In this study, we used alfalfa as the plant material and set three water depths of 8 mm (IR1), 16 mm (IR2), and 24 mm (IR3) under the condition of irrigating every 10 days with remote-controlled timed and quantitative irrigation, which is the most acceptable to farmers in the era of smart agriculture. EM organic fertilizer dosage was designed as 0 kg/ha (CK), 1500 kg/ha (OF1), 3000 kg/ha (OF2), 4500 kg/ha (OF3), and 6000 kg/ha (OF4). The multiple-crop alfalfa yield, quality (crude protein (CP), neutral detergent fiber (NDF), and acid detergent fiber (ADF)), and soil electrical conductivity (EC) were observed. The results showed that after the application of EM organic fertilizer, the soil’s EC value of fertilized treatments was higher than that of CK, but this difference became smaller with the prolongation of alfalfa’s growing period, implying that EM organic fertilizer could absorb more soil salts by promoting alfalfa’s growth; the water depth was obviously negatively correlated with the soil’s EC value, demonstrating that the increase in the water depth had a stronger ability to reduce the soil salts. By the end of the experiment, the soil’s EC values were reduced by 21.4–43.7% for the treatments. The alfalfa yield was significantly increased by EM organic fertilizer application, and the three alfalfa yields were increased by 63.3–69.1%, 65.4–83.6%, and 52.6–56.2%, respectively, when fertilizer application was elevated from CK to OF4. The highest alfalfa yields were all found at IR2OF4, reaching 1164.7, 2637.3 and 2519.7 t/ha, corresponding to the first, second, and third alfalfa crops, respectively. The analysis of alfalfa quality indexes revealed that higher CP values were found in the IR2 treatments, and increasing fertilizer application from OF1–OF4 resulted in an increase in CP values by 2.4–9.1%, 1.5–7.4%, and 0.8–6.7% for the three alfalfa crops. Relatively low NDF and ADF values were observed for alfalfa under IR2 conditions; however, the application of EM organic fertilizer reduced the NDF and ADF values within a certain range. According to the results of the entropy weight evaluation model, IR3OF4, IR3OF2, and IR3OF3 were the top three treatments with the best overall benefits, respectively, with relative closeness values of 0.71, 0.70, and 0.68, in that order, which suggests that the appropriate water depth is 24 mm, while the appropriate EM organic fertilizer dosage is in the range of 3000–6000 kg/ha. There was a pattern observed in our study, in which the treatments with better overall benefits were better distributed at high water depths, which emphasizes the critical role of the irrigation volume in ameliorating saline soils. The conclusions of the study are intended to provide a practical basis for the comprehensive utilization and sustainable development of saline soils. Full article
(This article belongs to the Special Issue Impact of Irrigation or Drainage on Soil Environment and Crop Growth)
Show Figures

Figure 1

22 pages, 8954 KB  
Article
Sizing Optimization of a Stand-Alone Multi-Energy Complementary Water Pumping System for Hose-Drawn Traveler in Typical Regions of China
by Dan Li, Jiwei Qu, Yaqiang Mo, Qingzhen Zhu and Delan Zhu
Agriculture 2026, 16(1), 90; https://doi.org/10.3390/agriculture16010090 - 30 Dec 2025
Viewed by 238
Abstract
Hose-drawn traveler (HDT) is a significant type of sprinkler irrigation equipment in China. In arid and remote areas, where grid power is unreliable or unavailable, the water pumping system of the HDT typically depends on a complementary power supply (CPS) system integrating batteries, [...] Read more.
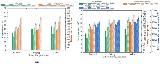
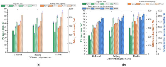
Hose-drawn traveler (HDT) is a significant type of sprinkler irrigation equipment in China. In arid and remote areas, where grid power is unreliable or unavailable, the water pumping system of the HDT typically depends on a complementary power supply (CPS) system integrating batteries, photovoltaic (PV) panels, and gasoline generators. However, the configuration of the CPS system is often determined empirically, which can lead to increased costs and compromised operational reliability. This paper aims to optimize the configuration of the CPS system based on the power demand of the water pumping system in HDT. We propose an optimization model for component sizing that considers both the annual costs and reliability of the power supply system. An improved particle swarm optimization (PSO) algorithm, incorporating a penalty function, is employed to determine the optimal configuration of the CPS system. The proposed optimization approach is then applied to an HDT operating in three typical regions in China: Golmud, Beijing, and Harbin. Finally, a comparative analysis of the configurations and annual cost of two CPS systems, PV-battery (PVB) and PV-battery-gasoline (PVBG), is conducted. Results show that for a given region, season, and power of water pump, the PVBG system needs a smaller PV panel area and lower battery capacity than the PVB system. For a fixed region and season, increasing power of water pump leads to a more significant rise in the annual cost of the PVB system than in that of the PVBG system. At high pump power levels, the PVBG system is more cost-effective, resulting in a lower annual cost than the PVB system. In Golmud, under identical seasonal and pump power conditions, both systems have lower annual cost than in Beijing and Harbin, suggesting that Golmud is a more suitable region for deploying CPS systems. The proposed method provides a reference for designing power supply systems of HDT irrigation. Full article
(This article belongs to the Section Agricultural Water Management)
Show Figures

Figure 1

24 pages, 2113 KB  
Article
Half a Century of Civil Engineering in the Bahlui River Hydrographic System: The Unexpected Journey from Gray Structures to Hybrid Resilience
by Nicolae Marcoie, Șerban Chihaia, András-István Barta, Daniel Toma, Valentin Boboc, Mihai Gabriel Balan, Cătălin Dumitrel Balan and Mircea-Teodor Nechita
Hydrology 2026, 13(1), 15; https://doi.org/10.3390/hydrology13010015 - 29 Dec 2025
Viewed by 358
Abstract
Water reservoirs are critical components of hydrological systems that mitigate floods and droughts, but their long-term performance under climate change and variable socioeconomic conditions remain insufficiently documented. This study examines the Bahlui River basin (northeastern Romania), where 17 reservoirs constructed mainly between the [...] Read more.
Water reservoirs are critical components of hydrological systems that mitigate floods and droughts, but their long-term performance under climate change and variable socioeconomic conditions remain insufficiently documented. This study examines the Bahlui River basin (northeastern Romania), where 17 reservoirs constructed mainly between the 1960s and 1980s have been operational for more than five decades. Using the most recent technical reservoir reports, land-use evolution, and present operational functions, the contribution of man-made reservoirs to flood attenuation and drought buffering over time was appraised. Flood mitigation is the most consistent and reliable function, with peak-flow reductions commonly exceeding 60–90% of design discharges at the basin scale. Engineered drought mitigation functions (irrigation and industrial water supply) have decreased significantly as a result of socioeconomic changes started in 1989. However, the gradual expansion of green infrastructure, such as wetlands and riparian vegetation, has improved passive water retention and low-flow buffering capacity. These unanticipated developments have resulted in variable levels of hybrid hydrological resilience. The findings show that, while artificial reservoirs have strong flood-control capacity over long periods of time, their contribution to drought mitigation is increasingly dependent on the integration of ecological components, emphasizing the importance of green-gray interactions in long-term reservoir management. Full article
Show Figures

Figure 1

15 pages, 1850 KB  
Article
Analytical Description and Evaluation of Soil Infiltration Processes Under Horizontal Moistube Irrigation
by Di Liu, Zhiwei Yang, Yongting Huang, Xiongshi Wang, Xingrong Liu, Guoxin Zhang and Tao Liu
Water 2026, 18(1), 35; https://doi.org/10.3390/w18010035 - 22 Dec 2025
Viewed by 305
Abstract
In the optimal design and operation of moistube irrigation systems, a wetted body and its components are important factors. This study presents an analytical characterization of the soil wetted body under horizontal moistube irrigation. In the laboratory experiment, the temporal and spatial changes [...] Read more.
In the optimal design and operation of moistube irrigation systems, a wetted body and its components are important factors. This study presents an analytical characterization of the soil wetted body under horizontal moistube irrigation. In the laboratory experiment, the temporal and spatial changes in the wetted body during irrigation were observed. Specifically, the maximum wetting distances in the horizontal, vertical upward, and vertical downward directions on the soil profile were measured every 30 min. Additionally, images documenting the wetted body’s changes at different time points were recorded throughout the experiment. On this basis, by locating the soil profile of the wetted body in a coordinate system, the main motion equations describing the temporal and spatial changes in the wetted body’s soil profile were derived. Through integral processing of these motion equations, an analytical model for the wetted body under horizontal moistube irrigation was constructed. Finally, the model was validated using the experimental data. The results show that the model outcomes are consistent with the natural movement of water in the soil. Therefore, when characterizing the size of the wetted body under horizontal moistube irrigation using the soil profile area, the proposed method, which involves analyzing the shape and components of the wetted body’s soil profile at different time points and determining its soil profile size by integrating four distinct parabolas, is feasible. Full article
(This article belongs to the Special Issue Assessment and Management of Soil Salinity: Methods and Technologies)
Show Figures

Figure 1

27 pages, 6079 KB  
Article
Development of an Online Automatic Water–Fertilizer Mixing Device Considering Direct Mixing of Raw Water
by Jianian Li, Jun Wu, Jian Zhang, Zeyang Su, Xiaohui Chen and Jiaoli Fang
Agriculture 2026, 16(1), 3; https://doi.org/10.3390/agriculture16010003 - 19 Dec 2025
Viewed by 442
Abstract
To address the issue of low fertilizer proportioning accuracy in irrigation and fertilization systems due to neglecting the influence of target ions in raw water, this study designed a high-precision online automatic water–fertilizer mixing device that can directly mix raw water (without water [...] Read more.
To address the issue of low fertilizer proportioning accuracy in irrigation and fertilization systems due to neglecting the influence of target ions in raw water, this study designed a high-precision online automatic water–fertilizer mixing device that can directly mix raw water (without water purification treatment) with fertilizer stock solution. This device is capable of preparing mixed fertilizer solutions containing N, K, and Ca elements. It employs ion-selective electrodes and flow meters for online detection and feedback of target ion concentrations in the fertilizer solution and flow rate information, and adopts an online fertilizer mixing control strategy that uses a constant raw water flow rate and a fuzzy PID control method to dynamically adjust the pulse frequency of metering pumps, thereby changing the injection volume of nutrient solution. Simulation and experimental analyses show that the piping system of the device is reasonably designed, ensuring stable and smooth fertilizer injection. The temperature-compensated concentration detection models for the three target ions in the fertilizer solution, constructed using a stepwise fitting method, achieve average relative detection errors of 1.94%, 1.18%, and 2.87% for K+, NO3, and Ca2+, respectively. When preparing single-element or mixed fertilizer solutions, the device achieves an average steady-state error of no more than 4% and an average steady-state time of approximately 40 s. Compared with deionized water, the average relative errors for potassium ions, nitrate ions, and calcium ions when preparing fertilizer solutions with raw water are 1.33%, 1.12%, and 1.19%, respectively. Compared with the theoretical errors of fertilizer preparation with raw water, the fertilizer proportioning errors of this device for potassium ions, nitrate ions, and calcium ions can be reduced by a maximum of 10.55%, 66.84%, and 62.71%, respectively, which is superior to the performance requirements for water–fertilizer integration equipment specified in the national industry standard DG/T 274-2024. Additionally, the device achieves accurate and stable fertilizer proportioning with safe and reliable operation during 6 h of continuous operation. This device significantly reduces the impact of raw water on fertilizer proportioning accuracy, improves the adaptability of the device to irrigation water sources, and provides theoretical basis and technical support for water-fertilizer integration systems in cost-sensitive agriculture. Full article
(This article belongs to the Special Issue Agricultural Machinery and Technology for Fruit Orchard Management)
Show Figures

Figure 1

Back to TopTop