Sign in to use this feature.

Years

Between: -

Subjects

remove_circle_outline
remove_circle_outline
remove_circle_outline
remove_circle_outline
remove_circle_outline
remove_circle_outline
remove_circle_outline
remove_circle_outline
remove_circle_outline

Journals

remove_circle_outline
remove_circle_outline
remove_circle_outline
remove_circle_outline
remove_circle_outline
remove_circle_outline
remove_circle_outline
remove_circle_outline
remove_circle_outline

Article Types

Countries / Regions

remove_circle_outline
remove_circle_outline
remove_circle_outline
remove_circle_outline
remove_circle_outline
remove_circle_outline

Search Results (1,430)

Search Parameters:
Keywords = dermal fibroblasts

Order results
Result details
Results per page
Select all
Export citation of selected articles as:
27 pages, 30995 KB  
Article
Hydrogel-Forming Ability and Biological Characterization of Exopolysaccharide (EPS) from Porphyridium cruentum
by Marta M. Duarte, Artem Suprinovych, Anabela Veiga, Ana I. Lopes, Freni K. Tavaria, Rui C. Morais and Ana L. Oliveira
Gels 2026, 12(5), 352; https://doi.org/10.3390/gels12050352 - 23 Apr 2026
Viewed by 55
Abstract
Exopolysaccharides (EPSs) are emerging as sustainable polymers for biomedical hydrogels. Here, we report hydrogels from sulfated EPSs produced by Porphyridium cruentum and ionically crosslinked with Ca2+, Ce3+, or Cu2+ to generate tunable networks with bioactive potential. Rheological analysis [...] Read more.
Exopolysaccharides (EPSs) are emerging as sustainable polymers for biomedical hydrogels. Here, we report hydrogels from sulfated EPSs produced by Porphyridium cruentum and ionically crosslinked with Ca2+, Ce3+, or Cu2+ to generate tunable networks with bioactive potential. Rheological analysis showed viscoelastic behavior was primarily governed by cation nature and accessible binding site density, with diminishing gains above 2.5 wt% EPS and limited benefit beyond 10 wt% crosslinker. Ce3+ produced the most solid-like gel, Ca2+ yielded more thixotropic networks, and Cu2+ promoted rapid, heterogeneous crosslinking consistent with fast surface complexation. These network signatures showed distinct in vitro performances. Cation selection tuned antibacterial activity against Staphylococcus aureus and Escherichia coli, with Cu2+ achieving rapid bactericidal effects and Ce3+ enabling an 8-log reduction after 24 h. The ABTS assay showed that Ca2+- and Ce3+-crosslinked gels had antioxidant potential (≥40 µM Trolox eq.mg−1); however, antioxidant capacity was assay dependent. Conditioned-medium assays showed ≥75% viability at day 3 for Ca2+- and Ce3+-crosslinked gels against human dermal fibroblasts (HDFs), while only Ce3+-crosslinked gels were cytocompatible against human keratinocytes (HaCaTs). Cu2+-crosslinked gels were highly cytotoxic across all tested conditions. Macrophage cytokine readouts (TNF-α and IL-6) indicated formulation-dependent immunobiological response. This work establishes microalgal EPSs as versatile polymers and links crosslinking chemistry to rheological modulation and multifunctional biomedical performance, while direct wound-healing efficacy remains to be demonstrated in future in vivo or wound repair functional models. Full article
(This article belongs to the Special Issue Polymeric Hydrogels for Biomedical Application (2nd Edition))
Show Figures

Figure 1

13 pages, 1228 KB  
Article
Multi-Target Restoration of Dermal Elastic Fibers Through Elastin Upregulation, Elastase Suppression, and Scaffold Reinforcement
by Sanghyun Ye, Seongsu Kang, Eui Taek Jeong, Seung-Hyun Jun and Nae-Gyu Kang
Curr. Issues Mol. Biol. 2026, 48(5), 431; https://doi.org/10.3390/cimb48050431 - 22 Apr 2026
Viewed by 91
Abstract
Elastic fibers are key components of the skin extracellular matrix and are essential for maintaining skin integrity and elasticity. During skin aging, particularly photoaging, elastic fiber integrity is progressively compromised by increased elastase activity and the downregulation of elastin and scaffold-related gene expression. [...] Read more.
Elastic fibers are key components of the skin extracellular matrix and are essential for maintaining skin integrity and elasticity. During skin aging, particularly photoaging, elastic fiber integrity is progressively compromised by increased elastase activity and the downregulation of elastin and scaffold-related gene expression. Therefore, effective strategies to preserve elastic fiber function should address not only elastin synthesis but also enzymatic degradation and scaffold integrity. In this study, we investigated a multitarget approach to restoring the elastic fiber network by modulating elastin production, elastase activity, and scaffold protein expression. We found that Copper Tripeptide-1 enhanced elastin expression and secretion, ethyl ferulate inhibited elastase activity, and cedrol promoted scaffold-related gene expression and microfibrillar protein restoration in dermal fibroblasts. To assess the biological relevance of this approach, the combined treatment was evaluated using UV-damaged human skin biopsy samples. This combination effectively mitigated UV-induced elastic fiber disruption and significantly improved fiber architecture, as confirmed by immunofluorescence staining and scanning electron microscopy. These findings indicate that coordinated modulation of elastin production, proteolytic protection, and scaffold reinforcement is essential for maintaining elastic fiber integrity and represents a promising approach for preserving skin elasticity during aging. Full article
(This article belongs to the Special Issue Exploring Molecular Pathways in Skin Health and Diseases)
Show Figures

Figure 1

20 pages, 2481 KB  
Article
Anti-Photoaging Effects of Kaempferia galanga Extract: From Cell-Based Studies to Microemulsion Development
by Kunlathida Luangpraditkun, Jinnipha Pajoubpong, Piyachat Kasemkiatsakul, Ngamrayu Ngamdokmai, Mayuree Poonasri, Somnathtai Yammen and Boonyadist Vongsak
Cosmetics 2026, 13(2), 99; https://doi.org/10.3390/cosmetics13020099 - 21 Apr 2026
Viewed by 203
Abstract
Ozone layer depletion exacerbates UV-induced skin damage, including oxidative stress and DNA lesions, thereby increasing the risk of photoaging and malignant transformation. Natural extracts have gained increasing attention as a photoprotective ingredient in cosmeceutical products. Kaempferia galanga, a species in the Zingiberaceae [...] Read more.
Ozone layer depletion exacerbates UV-induced skin damage, including oxidative stress and DNA lesions, thereby increasing the risk of photoaging and malignant transformation. Natural extracts have gained increasing attention as a photoprotective ingredient in cosmeceutical products. Kaempferia galanga, a species in the Zingiberaceae family traditionally used for skin-related treatment and listed in the CosIng database, exhibits multiple biologically relevant properties; however, its anti-photoaging and anti-photo-senescence effects in human dermal fibroblasts remain unexplored. This study investigated the in vitro photoprotective effects of K. galanga extract against UVB-induced photoaging and cellular senescence in human dermal fibroblasts. The ethanolic extract of K. galanga rhizomes (EKGRs) contained ethyl p-methoxycinnamate (EPMC) as a major constituent (33.7 ± 3.7% (w/w) of the crude extract), identified by HPLC-UV. Additionally, EKGR exhibited significant protective effects in UVB-irradiated fibroblasts. EKGR showed no cytotoxicity at concentrations up to 50.0 µg/mL, as determined by the MTT assay. EKGR pretreatment significantly reduced UVB-induced cellular senescence in human dermal fibroblasts compared with UVB-exposed cells (22.2 ± 2.7% vs. 36.7 ± 8.0%). Furthermore, pretreatment with EKGR prior to UVB exposure resulted in a significant increase in pro-collagen type I production (37,075.1 ± 7532.2 pg/mL) and a concomitant decrease in MMP-1 secretion (25,754.1 ± 4042.0 pg/mL) relative to UVB-exposed cells (26,845.8 ± 1454.6 and 39,910.8 ± 6035.1 pg/mL, respectively). To demonstrate formulation feasibility, EKGR was incorporated into an oil-in-water microemulsion, which exhibited concentration-dependent SPF enhancement. Collectively, these findings demonstrate the photoprotective efficacy of EPMC-rich EKGR and highlight its potential as a cosmeceutical ingredient for mitigating UVB-induced photo-senescence and skin aging, with an additional SPF boosting effect. To our knowledge, this study provides the first evidence of EKGR-mediated protection against UVB-induced cellular senescence in human dermal fibroblasts. Full article
Show Figures

Figure 1

23 pages, 4855 KB  
Article
Cholinesterase Inhibitory Activity of Alkylated Quinobenzothiazinium Salts
by Sarka Stepankova, Andrzej Bak, Malgorzata Latocha, Violetta Kozik, Agata Kawulok, Josef Jampilek and Andrzej Zieba
Molecules 2026, 31(8), 1346; https://doi.org/10.3390/molecules31081346 - 19 Apr 2026
Viewed by 252
Abstract
Ten substituted quinobenzothiazinium salts were tested for their ability to inhibit acetylcholinesterase (AChE) and butyrylcholinesterase (BChE). All the compounds inhibited AChE in the IC50 range of 0.03–0.658 µM, with 5,8,10-trimethyl-12H-quinolino[3,4-b][1,4]benzothiazin-5-ium chloride (3d) being the most potent [...] Read more.
Ten substituted quinobenzothiazinium salts were tested for their ability to inhibit acetylcholinesterase (AChE) and butyrylcholinesterase (BChE). All the compounds inhibited AChE in the IC50 range of 0.03–0.658 µM, with 5,8,10-trimethyl-12H-quinolino[3,4-b][1,4]benzothiazin-5-ium chloride (3d) being the most potent inhibitor, with an IC50 value significantly better than that of the clinically used rivastigmine and galantamine and comparable to that of tacrine and donepezil. The IC50 values for BChE inhibition ranged from 0.34 to 4.25 µM; 5,9-dimethyl-12H-quinolino[3,4-b][1,4]benzothiazin-5-ium chloride (3b) exhibited the strongest BChE inhibitory activity and in general, all the investigated compounds were more potent inhibitors than rivastigmine and galantamine. Based on the calculated selectivity index values, they are rather preferential inhibitors of AChE. Cytotoxicity tests performed on normal human dermal fibroblasts (HFF-1) did not demonstrate any significant cytotoxicity under the tested conditions. The distance-oriented structure distribution for the studied molecules was related with the activity data using principal component analysis and hierarchical clustering analysis. (SAR)-based evaluation is reported to predict activity cliffs using a similarity–activity landscape index for the AChE inhibitory response values. Moreover, direct protein-mediated in silico methods were utilized to identify factors that may be relevant for quantitative (Q)SAR modeling. In practice, target-oriented molecular docking was used to organize the spatial distribution of the ligand property space for the anti-AChE system. In general, this series of alkylated quinobenzothiazinium salts with potent inhibitory activity against cholinesterases fulfills Lipinski’s rule of five based on in silico predictions and is also expected to have high absorption in the human gastrointestinal tract. All active derivatives are also expected to penetrate the blood–brain barrier, making them promising compounds for further research and possible use in Alzheimer’s disease therapy. Full article
(This article belongs to the Special Issue Quinoline System in Design and Synthesis of New Bioactive Agents)
Show Figures

Figure 1

24 pages, 3807 KB  
Article
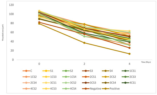
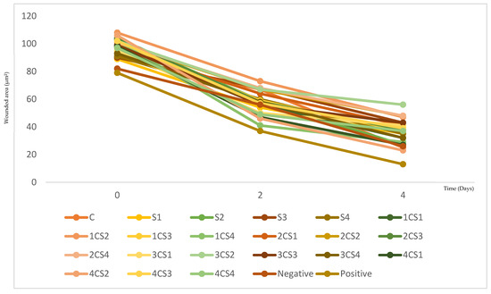
Molecular and Pharmacokinetic Rationale for the Use of Chelidonium majus L. in Wound Healing: An In Silico and In Vitro Validation
by Ana Borges, Carlos Seiti H. Shiraishi, Rui M. V. Abreu, María Luisa Martín Calvo, Josiana A. Vaz and Ricardo C. Calhelha
Molecules 2026, 31(8), 1320; https://doi.org/10.3390/molecules31081320 - 17 Apr 2026
Viewed by 200
Abstract
Wound healing involves the coordinated regulation of inflammation, angiogenesis, and extracellular matrix remodeling, processes modulated by natural bioactives. In this context, Chelidonium majus L. (C. majus), a plant rich in alkaloids and flavonoids, remains mechanistically underexplored. This study, therefore, investigates its [...] Read more.
Wound healing involves the coordinated regulation of inflammation, angiogenesis, and extracellular matrix remodeling, processes modulated by natural bioactives. In this context, Chelidonium majus L. (C. majus), a plant rich in alkaloids and flavonoids, remains mechanistically underexplored. This study, therefore, investigates its metabolites using an integrated computational–experimental approach and evaluates their applicability in sericin-based wound-healing systems. A curated database of 83 C. majus bioactive compounds was analyzed using cheminformatics and molecular docking against key wound-healing targets (iNOS, VEGF, MMP-3, and tyrosinase), followed by ADMET and toxicity prediction (StopTox). Selected plant–sericin formulations were subsequently evaluated for wound-healing activity using an in vitro fibroblast scratch assay. Docking revealed strong binding affinities for several metabolites, particularly protopine, kaempferol-3-rutinoside, cynaroside, hesperidin, quercetin-3-rhamnosylrutinoside, and vitexin, indicating multi-target modulation across inflammatory, proliferative, and remodeling phases of tissue repair. ADMET and toxicity analyses predicted favorable dermal safety and pharmacokinetic profiles for most compounds. Consistently, in vitro assays demonstrated that C. majus–sericin systems had fibroblast migration and wound closure in a concentration- and ratio-dependent manner, with improved healing kinetics observed at 150 µg/mL and for formulations containing higher relative proportions of both components. The experimental outcomes supported the pro-angiogenic and matrix-stabilizing mechanisms predicted in silico. Overall, C. majus metabolites exhibit polypharmacological wound-healing activity, supporting their integration into sericin-based systems as a promising strategy for topical therapies. Full article
(This article belongs to the Topic Progress in Drug Design: Science and Practice)
Show Figures

Graphical abstract

15 pages, 1846 KB  
Article
Innovative Buccal Nanofibers for Dual Delivery of Tadalafil and Dapoxetine for Erectile Dysfunction and Premature Ejaculation Conditions
by Ali A. Alamer, Khulud A. Alsulami, Abdullah A. Alshehri, Fahad A. Almughem, Nojoud Al Fayez, Meshal K. Alnefaie, Ahmed A. Almulaifi, Alhassan H. Aodah and Essam A. Tawfik
Pharmaceuticals 2026, 19(4), 625; https://doi.org/10.3390/ph19040625 - 15 Apr 2026
Viewed by 422
Abstract
Background: Erectile dysfunction (ED) and premature ejaculation (PE) are prevalent conditions affecting men’s sexual health, for which tadalafil and dapoxetine have shown promise in their treatment, respectively. Conventional oral dosage forms face limitations, including variable absorption and delayed onset of action. In [...] Read more.
Background: Erectile dysfunction (ED) and premature ejaculation (PE) are prevalent conditions affecting men’s sexual health, for which tadalafil and dapoxetine have shown promise in their treatment, respectively. Conventional oral dosage forms face limitations, including variable absorption and delayed onset of action. In this study, we developed electrospun nanofibers using polyvinylpyrrolidone for buccal drug delivery as an alternative dosage form to oral tablets. This route offers advantages such as easy administration, suitability for those with difficulty swallowing, particularly the elderly, and a rapid onset of action via the blood capillaries, which might improve bioavailability. Methods: PVP nanofibers loaded with tadalafil and dapoxetine were fabricated using a modified electrospinning procedure with the Spraybase system, where an 8% (w/v) PVP ethanol solution containing 1.5% dapoxetine and 0.5% tadalafil was electrospun under controlled conditions (800 µL/h flow rate, 15 cm distance, 0.55 mm needle, and 8–10 kV) to produce uniform fibers. Results: The morphology of the nanofibers was characterized using SEM, revealing smooth, uniform fibers with an average diameter of 218 ± 50 nm for drug-loaded nanofibers. This nanofibrous system also demonstrated ultra-rapid disintegration occurring within 4 ± 1 s and consistent drug loading and encapsulation efficiency for both drugs. The release profile showed a burst drug release after 15 min, which accounted for >45% for tadalafil and >50% for dapoxetine, followed by a sustained increment in the drug release that reached > 60% for tadalafil and >78% for dapoxetine after 30 min until a complete drug release (100%) for both drugs after 180 min. In vitro cytotoxicity studies on human dermal fibroblasts confirmed the safety of both medications, with cell viability exceeding 50%, at concentrations of 1.56 to 25 µg/mL for tadalafil and 4.69 to 9.38 µg/mL for dapoxetine after 24 and 48 h of incubation. Conclusions: These findings highlight the potential of PVP-based nanofibers as a novel buccal delivery system for the combined treatment of ED and PE. Full article
(This article belongs to the Section Pharmaceutical Technology)
Show Figures

Graphical abstract

22 pages, 3994 KB  
Article
Aromatic Tricyanoethylenes a New Class of ‘Compact’ Photoinitiators for One- and Two-Photon Photopolymerization
by Elnara R. Zhiganshina, Tatyana S. Lyubova, Anastasia E. Tarakanova, Maxim V. Arsenyev, Roman S. Kovylin, Natalia D. Anisimova, Yuri V. Polushtaytsev, Konstantin A. Kozhanov, Anastasia V. Pisarenko, Diana Ya. Aleynik, Marfa N. Egorikhina, Alexei Vitukhnovsky, Larisa G. Klapshina and Sergey A. Chesnokov
Polymers 2026, 18(8), 958; https://doi.org/10.3390/polym18080958 - 14 Apr 2026
Viewed by 420
Abstract
In this paper, we consider a series of new compact A-π-D photoinitiators consisting of donor aromatic fragments (naphthalene, anthracene, phenanthrene, pyrene and perylene) and a strong acceptor tricyanoethylene group—aryltricyanoethylenes (ArTCNEs). Spectral, photophysical, and electrochemical characteristics of ArTCNEs are studied. One-photon (with LED@405 nm) [...] Read more.
In this paper, we consider a series of new compact A-π-D photoinitiators consisting of donor aromatic fragments (naphthalene, anthracene, phenanthrene, pyrene and perylene) and a strong acceptor tricyanoethylene group—aryltricyanoethylenes (ArTCNEs). Spectral, photophysical, and electrochemical characteristics of ArTCNEs are studied. One-photon (with LED@405 nm) and two-photon (λ = 780 nm, impulse duration of 100 fs) photopolymerization of PETA can be effectively initiated by ArTCNEs with the tertiary amine N,N-dimethylcyclohexylamine DMCHA and/or the iodonium salt diphenyliodonium chloride Iod. Based on results of experiments on photodegradation, photopolymerization and EPR spectroscopy, a photoinitiation mechanism of radical photopolymerization was proposed for two-component (AntTCNE/DMCHA) and three-component (AntTCNE/DMCHA/Iod) initiating systems. The composition containing PerTCNE/DMCHA as a photoinitiator demonstrated the best reactivity under two-photon nanolithography conditions: the polymerization threshold was 2 mW at a laser beam scanning speed of 100 μm/s, and the widest fabrication window of 11 mW was typical for it. As an example, 3D “cage” structures were fabricated using the AntTCNE-based composition, and the test structure resolution parameters, such as the minimum line width and the distance between lines of 80 and 400 nm, respectively, were achieved. MTT experiments with human dermal fibroblasts showed promising preliminary biocompatibility of the resulting polymers, which opens up possibilities for using the obtained materials in biological applications. Full article
(This article belongs to the Special Issue Photopolymerization: Materials, Applications and Challenges)
Show Figures

Graphical abstract

23 pages, 5894 KB  
Article
Photothermal-Responsive Polyvinyl Alcohol/Gelatin/Graphene Oxide Hydrogels Loaded with Quercetin for NIR-Triggered Controlled Drug Delivery
by Alexa-Maria Croitoru, Tatiana Tozar, Mihai Boni, Angela Staicu, Roxana-Doina Trușcă, Bianca-Maria Tihăuan and Anton Ficai
Gels 2026, 12(4), 327; https://doi.org/10.3390/gels12040327 - 14 Apr 2026
Viewed by 402
Abstract
Photothermal therapy (PTT) has emerged as a promising medical strategy for controlled and targeted drug delivery, due to its ability to trigger rapid release while minimizing damage to surrounding environments. Among different near-infrared (NIR)-responsive nanomaterials, carbon materials are of particular interest due to [...] Read more.
Photothermal therapy (PTT) has emerged as a promising medical strategy for controlled and targeted drug delivery, due to its ability to trigger rapid release while minimizing damage to surrounding environments. Among different near-infrared (NIR)-responsive nanomaterials, carbon materials are of particular interest due to their multifunctional properties, with graphene oxide (GO) being a powerful photothermal therapy agent that can accelerate stimuli-responsive drug release. Herein, novel stimuli-responsive hydrogels based on polyvinyl alcohol (PVA), gelatin (Gel) and GO, loaded with natural quercetin (Q) were developed and evaluated for their physico-chemical properties, antibacterial and antifungal activities, photothermal Q release, and cellular metabolic activity. Upon NIR laser irradiation, after 10 min, Q was released twice as fast compared to conventional drug release without stimulation. The rapid release of Q by applying light radiation highlights the suitability of these hydrogels for controlled drug delivery applications. The PVA:Gel:GO/Q-hydrogels exhibited strong antimicrobial and antifungal performance (≥90% microbial reduction at higher GO concentrations). Furthermore, a significant reduction in S. aureus adhesion and invasion indicates the sample’s potential to mitigate bacterial infections. The PVA:Gel:GO/Q formulations exhibited high biocompatibility in Human Dermal Fibroblasts (HDF), demonstrating that Q improves the safety of PVA:Gel:GO-loaded hydrogels. These results offer promising potential for PVA:Gel:GO/Q hydrogels as advanced materials for photothermal-triggered drug delivery and antimicrobial applications. Full article
(This article belongs to the Special Issue Hydrogels in Biomedicine: Drug Delivery and Tissue Engineering)
Show Figures

Figure 1

17 pages, 5590 KB  
Article
Dihydrokaempferol Supports Epidermal Barrier, Dermal Repair, and Enhances Post-Procedure Recovery
by Taylor Oswald, Zixuan Shao, Daniel Zambrano and Nicholas J. Brideau
Cosmetics 2026, 13(2), 93; https://doi.org/10.3390/cosmetics13020093 - 13 Apr 2026
Viewed by 376
Abstract
The epidermal barrier is essential for skin function, resilience, and tolerance to environmental and procedural stress. Disruption of this barrier is common after cosmetic treatments such as chemical peeling, underscoring the need for ingredients with proven biological and clinical support for barrier recovery. [...] Read more.
The epidermal barrier is essential for skin function, resilience, and tolerance to environmental and procedural stress. Disruption of this barrier is common after cosmetic treatments such as chemical peeling, underscoring the need for ingredients with proven biological and clinical support for barrier recovery. This study evaluated dihydrokaempferol (DHK) using molecular, preclinical, and clinical approaches. Gene expression profiling in keratinocytes and dermal fibroblasts revealed that DHK enhanced barrier-related genes, reduced inflammation-associated markers, and modulated genes involved in extracellular matrix remodeling. Functional assays confirmed antioxidant activity, suppression of stress-induced interleukin 6 (IL-6) release, increased elastin production, and improved fibroblast migration. Clinically, a randomized, placebo-controlled, split-face study following standardized chemical peeling demonstrated that DHK-treated skin showed significant improvements in dermatologist-assessed skin attributes versus placebo. Together, these findings indicate that DHK supports epidermal barrier integrity, modulates dermal repair mechanisms, and enhances recovery from controlled skin stress. The effects observed at the molecular and cellular levels translated into measurable improvements in visible skin quality, highlighting DHK’s potential as a bioactive ingredient. Full article
(This article belongs to the Section Cosmetic Dermatology)
Show Figures

Graphical abstract

12 pages, 1218 KB  
Review
Effects of Glucagon-like Peptide-1 Receptor Agonists on Skin Homeostasis and Skin Aging Processes
by Gabrielė Žaliukaitė and Noura Lebbar
J. Clin. Med. 2026, 15(8), 2944; https://doi.org/10.3390/jcm15082944 - 13 Apr 2026
Viewed by 547
Abstract
Glucagon-like peptide-1 (GLP-1) is an incretin hormone involved in glucose regulation. Glucagon-like peptide-1 receptor agonists (GLP-1 RAs) are widely used in the treatment of type 2 diabetes mellitus and obesity, as well as in cardiovascular risk reduction. Recent evidence suggests that GLP-1 receptors [...] Read more.
Glucagon-like peptide-1 (GLP-1) is an incretin hormone involved in glucose regulation. Glucagon-like peptide-1 receptor agonists (GLP-1 RAs) are widely used in the treatment of type 2 diabetes mellitus and obesity, as well as in cardiovascular risk reduction. Recent evidence suggests that GLP-1 receptors are expressed in cutaneous tissues; however, their role in skin homeostasis and aging remains insufficiently clarified. This review summarizes recent experimental and clinical studies examining the effects of GLP-1 receptor agonists on skin homeostasis, wound healing, regeneration, and aging processes. Experimental data indicate that GLP-1 RAs may promote wound healing through modulation of inflammatory pathways, enhancement of keratinocyte migration, improved microvascular perfusion, and support of fibroblast function. Antioxidant and cytoprotective mechanisms have also been described. Conversely, rapid weight loss associated with GLP-1 RA therapy has been linked to structural facial changes, including reduction in dermal white adipose tissue and decreased collagen synthesis, which may clinically resemble accelerated skin aging. Mechanistic findings suggest heterogeneous and pathway-dependent effects. Overall, the impact of GLP-1 receptor agonists on skin biology appears multifaceted, and further well-designed clinical studies are required to determine their precise dermatological implications. Full article
(This article belongs to the Section Pharmacology)
Show Figures

Figure 1

36 pages, 2671 KB  
Review
Cannabinoids for Dermatological Applications: Mechanistic Insights, Clinical Evidence, and Emerging Nanotechnology-Enabled Delivery Strategies
by Ashutosh Pareek, Lipika Kumari, Lance R. McMahon, Anil Chuturgoon and Aaushi Pareek
Pharmaceutics 2026, 18(4), 469; https://doi.org/10.3390/pharmaceutics18040469 - 12 Apr 2026
Viewed by 567
Abstract
Cannabinoids (CBs) derived from Cannabis sativa have attracted growing interest for dermatological applications due to their anti-inflammatory, antiproliferative, antimicrobial, antifibrotic, and antipruritic properties. However, their clinical translation is significantly limited by physicochemical and pharmacokinetic challenges, including poor aqueous solubility, lipophilicity, instability, variable skin [...] Read more.
Cannabinoids (CBs) derived from Cannabis sativa have attracted growing interest for dermatological applications due to their anti-inflammatory, antiproliferative, antimicrobial, antifibrotic, and antipruritic properties. However, their clinical translation is significantly limited by physicochemical and pharmacokinetic challenges, including poor aqueous solubility, lipophilicity, instability, variable skin penetration, and inconsistent bioavailability. At the molecular level, CBs modulate keratinocyte proliferation, sebocyte activity, fibroblast function, melanocyte balance, and immune signalling through CB1/CB2 receptors, TRP channels, and PPARγ pathways. Evidence supports their potential in the treatment of psoriasis, atopic dermatitis, acne, allergic contact dermatitis, pruritus, scleroderma, and skin cancers. Clinical evidence remains preliminary: topical and oral formulations have demonstrated anti-inflammatory, antiproliferative, antibacterial, and antifibrotic effects, with improvements in pruritus, lesion severity, and quality of life in early-phase studies. However, most trials are small, uncontrolled, and lack placebo comparators, limiting generalisability. To overcome formulation barriers and enhance dermal delivery, advanced pharmaceutical strategies such as liposomes, nanoemulsions, polymeric nanoparticles, micelles, and transdermal systems have been investigated to improve stability, controlled release, and targeted skin deposition while minimising systemic exposure. This review integrates mechanistic insights, clinical evidence, and emerging nanotechnology-enabled delivery approaches, emphasising rational formulation design and translational considerations necessary for advancing CBs toward standardised and clinically reliable dermatological therapeutics. Full article
(This article belongs to the Section Nanomedicine and Nanotechnology)
Show Figures

Graphical abstract

14 pages, 1618 KB  
Article
Endogenous Bioelectrical Modulation of Longevity-Associated and Inflammatory Signaling Pathways in Human Dermal Fibroblasts Following the REAC ACT-IBZ Protocol
by Sara Cruciani, Vania Fontani, Arianna Rinaldi, Giuseppe Garroni, Diletta Serra, Salvatore Rinaldi and Margherita Maioli
Life 2026, 16(4), 650; https://doi.org/10.3390/life16040650 - 12 Apr 2026
Viewed by 361
Abstract
Chronic low-grade inflammation, altered microvascular support, and progressive stress-related cellular dysfunction are major contributors to tissue aging and impaired repair. Dermal fibroblasts are central regulators of these processes because they integrate cytokine-related signaling, redox balance, and extracellular matrix homeostasis. Increasing evidence indicates that [...] Read more.
Chronic low-grade inflammation, altered microvascular support, and progressive stress-related cellular dysfunction are major contributors to tissue aging and impaired repair. Dermal fibroblasts are central regulators of these processes because they integrate cytokine-related signaling, redox balance, and extracellular matrix homeostasis. Increasing evidence indicates that endogenous bioelectrical activity may influence these cellular functions by shaping upstream regulatory conditions linked to downstream molecular responses. In the present study, we investigated the molecular effects of the Radio Electric Asymmetric Conveyer Anti-Inflammatory Cellular Treatment delivered under Inside Blue Zone conditions (REAC ACT-IBZ) in human dermal fibroblasts (HFF1). Cells were exposed to nine standardized treatment sessions, and molecular changes were assessed by RT-qPCR, ELISA, and immunofluorescence analysis complemented by supportive semi-quantitative fluorescence intensity assessment. REAC ACT-IBZ exposure was associated with increased SIRT1 and VEGF expression and with transcriptional modulation of selected cytokine-related genes, including IL-1α, IL-1β, IL-2, and IL-8. Immunofluorescence analysis, complemented by supportive semi-quantitative fluorescence intensity assessment, showed a pattern consistent with increased FOXO1 and SIRT1 staining and reduced mTOR staining in treated cells. Overall, these findings identify a molecular profile associated with REAC ACT-IBZ exposure in human dermal fibroblasts, involving stress-response regulators, angiogenesis-related signaling, and selective cytokine-related transcriptional changes. Within the limits of the present in vitro model, the data support the view that endogenous bioelectrical modulation may interact with molecular networks relevant to tissue homeostasis and inflammaging. Full article
(This article belongs to the Section Physiology and Pathology)
Show Figures

Figure 1

32 pages, 4915 KB  
Article
Human Stem Cell-Derived Conditioned Media as a Regenerative Cosmetic Ingredient: A Preclinical Characterization and Exploratory Topical Evaluation
by David Cajthaml, Alison Ingraldi and Aaron J. Tabor
Cosmetics 2026, 13(2), 91; https://doi.org/10.3390/cosmetics13020091 - 11 Apr 2026
Viewed by 615
Abstract
Background/Objectives: Amniotic-derived biologics have emerged as powerful modulators of tissue regeneration. This study evaluates the composition and characteristics of a human stem cell-conditioned media (hSCCM) that is a sterile, cell-free, amniotic-derived solution, and the presumed efficacy of hSCCM as an active ingredient in [...] Read more.
Background/Objectives: Amniotic-derived biologics have emerged as powerful modulators of tissue regeneration. This study evaluates the composition and characteristics of a human stem cell-conditioned media (hSCCM) that is a sterile, cell-free, amniotic-derived solution, and the presumed efficacy of hSCCM as an active ingredient in an enriched cosmetic lotion. Methods: Data from preclinical benchtop studies and an exploratory observational assessment were reviewed. First, an investigation of the active ingredient, hSCCM, was completed. Flow cytometry assays were completed for mesenchymal stem cell (MSC) characterization. Cellular proliferation assays were conducted to evaluate concentration response, shelf life, and temperature stability. ELISA and LC-MS/MS were used to specify and detail the proteomics of the hSCCM. Second, the hSCCM-enriched lotion’s cosmetic safety and efficacy were evaluated. Preliminary microbial, stability, and early-stage nonclinical retrospective user evaluation of the hSCCM-enriched lotion was conducted to help characterize the cosmetic and evaluate topical safety and efficacy. Results: Flow cytometry demonstrated alignment with ISCT (International Society for Cell and Gene Therapy) characterization for MSCs. Initial in vitro data demonstrated enhanced proliferative effects at hSCCM concentrations as low as 5% (p-value < 0.0001); no statistically significant trend in proliferative capability in aged samples (p-value = 0.79), and no significant effect on proliferative capability when exposed to acute temperature changes (p-values all above 0.05) were observed. Proteomic characterization showed an enriched amniotic-derived solution. Microbial testing of the enriched lotion demonstrated success with multiple unique preservative formulations. hSCCM-enriched lotion demonstrated stability across acute cold- and heat-stress representative scenarios. An exploratory retrospective observational analysis revealed promising trends. Conclusions: The hSCCM demonstrates topical efficacy across in vitro dermal and follicular assays via proliferative and regenerative mechanisms and protein enrichment. The enriched lotion showed success in early-stage microbial and stability testing and demonstrates positive trends in topical skin outcomes. These findings support their potential translational application in dermatologic and aesthetic usage, and broader integumentary contexts. Full article
(This article belongs to the Section Cosmetic Formulations)
Show Figures

Figure 1

15 pages, 11446 KB  
Article
Photoprotective Potential of a Yeast/Rice Fermentation Filtrate and Sialic Acid in Mitigating UVA-Induced Oxidative Stress and Mitochondrial Dysfunction in Skin Fibroblasts
by Fan Yang, Mingxuan Li, Yao Zuo, Miao Guo, Zhi Liu and Hua Wang
Molecules 2026, 31(8), 1262; https://doi.org/10.3390/molecules31081262 - 11 Apr 2026
Viewed by 435
Abstract
Ultraviolet A (UVA) radiation induces oxidative stress and mitochondrial dysfunction in dermal fibroblasts, contributing to photodamage and skin aging. This study investigated the protective effects of Yeast/rice fermentation filtrate (RFF) and sialic acid (SA), both individually and in combination, against UVA-induced damage in [...] Read more.
Ultraviolet A (UVA) radiation induces oxidative stress and mitochondrial dysfunction in dermal fibroblasts, contributing to photodamage and skin aging. This study investigated the protective effects of Yeast/rice fermentation filtrate (RFF) and sialic acid (SA), both individually and in combination, against UVA-induced damage in human dermal fibroblasts. Cell viability, reactive oxygen species (ROS) levels, intracellular ATP and NAD+ contents, and mitochondrial membrane potential (ΔΨm) were evaluated following treatment. RFF, SA, and their combination significantly improved cell viability in UVA-damaged fibroblasts and reduced ROS generation. Notably, the combined treatment increased intracellular ATP levels by 201.2% (p < 0.05), with enhancements of 62.3% and 285.4% compared to RFF and SA alone, respectively. Additionally, the combined treatment significantly restored NAD+ levels and effectively preserved mitochondrial membrane potential. Transcriptomic analysis revealed modulation of pathways related to cellular energy metabolism, particularly AMPK, and upregulation of SIRT1, SIRT3, and SIRT5 expression. The RFF–SA combination confers robust UVA photoprotection by enhancing mitochondrial resilience, providing a foundation for the development of protective cosmetic formulations. Full article
Show Figures

Figure 1

21 pages, 5352 KB  
Article
Systematic Comparison of the TGF-β Isoforms in Normal Dermal and Lung Fibroblasts Identifies TGF-β2 and TGF-β3 as Priority Targets in Tissue Fibrosis
by Raveen Badyal, Brandon Kohlen, Kevin J. Keen, James V. Dunne and Tillie-Louise Hackett
Cells 2026, 15(8), 671; https://doi.org/10.3390/cells15080671 - 10 Apr 2026
Viewed by 525
Abstract
Systemic sclerosis (SSc) is a multi-organ autoimmune disease characterized by fibrosis of the skin and internal organs. Interstitial lung disease (ILD) is a major complication and leading cause of mortality in SSc. Transforming growth factor-β (TGF-β) has been implicated as a central mediator [...] Read more.
Systemic sclerosis (SSc) is a multi-organ autoimmune disease characterized by fibrosis of the skin and internal organs. Interstitial lung disease (ILD) is a major complication and leading cause of mortality in SSc. Transforming growth factor-β (TGF-β) has been implicated as a central mediator of fibrosis; however, while TGF-β1 has been extensively studied, the roles of TGF-β2 and TGF-β3 remain incompletely defined. Here, we systematically compared the effects of TGF-β1, TGF-β2, and TGF-β3 in dermal and lung fibroblasts, evaluating extracellular matrix synthesis and contraction, cytokine secretion, proliferation, and myofibroblast differentiation. TGF-β2 and TGF-β3 induced greater profibrotic cytokine release of Interleukin (IL)-6 and IL-11 and increased collagen-I and fibronectin synthesis compared with TGF-β1 in dermal and lung fibroblasts (all p < 0.05). TGF-β2 and TGF-β3 stimulated greater collagen-I contraction in dermal fibroblasts (p < 0.05), but greater myofibroblast differentiation in lung fibroblasts (p < 0.05). The TGF-β isoforms did not affect proliferation. All TGF-β isoforms activated SMAD2/3 signalling; however, TGF-β2 and TGF-β3 reduced expression of TGF-β Receptor II and the inhibitory regulator, SMAD7. In summary, TGF-β2 and TGF-β3 have a more pronounced profibrotic effect than TGF-β1 on dermal and lung fibroblast functions, making them potential targets for treatment for skin and lung fibrosis in diseases such as SSc. Full article
Show Figures

Figure 1

Back to TopTop