Sign in to use this feature.

Years

Between: -

Subjects

remove_circle_outline
remove_circle_outline
remove_circle_outline
remove_circle_outline
remove_circle_outline
remove_circle_outline
remove_circle_outline
remove_circle_outline
remove_circle_outline

Journals

remove_circle_outline
remove_circle_outline
remove_circle_outline
remove_circle_outline
remove_circle_outline
remove_circle_outline
remove_circle_outline
remove_circle_outline
remove_circle_outline
remove_circle_outline
remove_circle_outline

Article Types

Countries / Regions

remove_circle_outline
remove_circle_outline
remove_circle_outline
remove_circle_outline
remove_circle_outline

Search Results (613)

Search Parameters:
Keywords = density-based random forest

Order results
Result details
Results per page
Select all
Export citation of selected articles as:
19 pages, 1568 KB  
Review
Fermentative Dynamics and Emerging Technologies for Their Monitoring and Control in Precision Enology: An Updated Review
by Jesús Delgado-Luque, Álvaro García-Jiménez, Juan Carbonero-Pacheco and Juan C. Mauricio
Fermentation 2026, 12(4), 187; https://doi.org/10.3390/fermentation12040187 - 7 Apr 2026
Abstract
Alcoholic fermentation in winemaking is a complex bioprocess governed by physicochemical parameters such as temperature, density, pH, CO2 and redox potential, which critically affect yeast metabolism and wine quality. This review provides an integrated analysis of fermentative dynamics and emerging sensorization technologies, [...] Read more.
Alcoholic fermentation in winemaking is a complex bioprocess governed by physicochemical parameters such as temperature, density, pH, CO2 and redox potential, which critically affect yeast metabolism and wine quality. This review provides an integrated analysis of fermentative dynamics and emerging sensorization technologies, highlighting how their combined implementation enables real-time monitoring and advanced control in precision enology. Advances in conventional physicochemical sensors, spectroscopic techniques (NIR/MIR/UV-Vis) and non-conventional devices (e-noses, electronic tongues) integrated into IoT platforms enable continuous data acquisition, overcoming traditional manual sampling limitations. Predictive modeling, including kinetic models, machine learning approaches (e.g., Random Forest, XGBoost) and model predictive control (MPC/NMPC), supports anomaly detection, optimization of enological interventions and energy-efficient thermal management, while virtual sensors based on Kalman filters improve the estimation of non-measurable states (e.g., biomass, ethanol kinetics). Despite current challenges in calibration and interoperability, these innovations foster sustainable and reproducible winemaking under climate variability and pave the way for digital twins and semi-autonomous fermentation systems. Full article
Show Figures

Figure 1

31 pages, 5755 KB  
Article
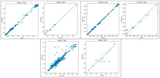
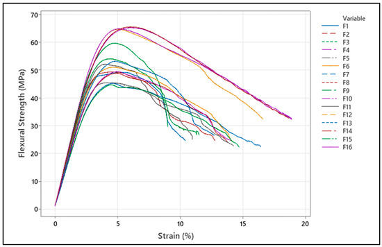
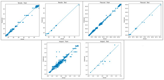
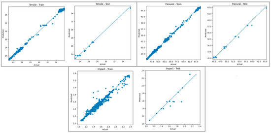
Machine Learning-Driven Prediction of Manufacturing Parameters and Analysis of Mechanical Properties of PC-ABS Specimens Produced by the Fused Deposition Modeling Additive Manufacturing Method
by Arda Pazarcıkcı, Koray Özsoy and Bekir Aksoy
Polymers 2026, 18(7), 886; https://doi.org/10.3390/polym18070886 - 4 Apr 2026
Viewed by 342
Abstract
This study aims to investigate the effect of manufacturing parameters on the mechanical properties of PC-ABS samples produced by the Fused Deposition Modeling (FDM) additive manufacturing method and to model these relationships using machine learning methods. In the study, the parameters of printing [...] Read more.
This study aims to investigate the effect of manufacturing parameters on the mechanical properties of PC-ABS samples produced by the Fused Deposition Modeling (FDM) additive manufacturing method and to model these relationships using machine learning methods. In the study, the parameters of printing speed, infill density, and raster angle were determined according to the Taguchi L16 experimental design, and tensile, bending, and impact tests were performed on the produced samples. Experimental results showed that the infill density parameter resulted in an increase in tensile strength of approximately 62% (from 25.10 MPa to 40.71 MPa) and an increase in flexural strength of approximately 46% (from 45.13 MPa to 66.13 MPa). Furthermore, an improvement in impact energy of approximately 45% (from 1.698 J to 2.467 J) was achieved under optimum printing speed conditions. Mechanistic properties were predicted using Decision Tree, Random Forest, K-Nearest Neighbors, and Multilayer Perceptron models with a dataset generated from experimental data. Comparing the model performances, the Random Forest algorithm was found to provide the highest prediction performance with accuracy in the R2 range of 0.94–0.99 and RMSE values below 0.5, demonstrating strong generalization capabilities. The results showed that infill density is the most decisive parameter on both tensile and flexural strength, and that printing speed has a significant effect, especially on impact energy. ANOVA analyses revealed that all main parameters have statistically significant effects on mechanical properties. In the performance comparison of the machine learning models, the Random Forest algorithm provided the highest prediction accuracy, demonstrating that mechanical properties can be reliably predicted. In conclusion, it has been shown that the mechanical performance of PC-ABS parts produced by the FDM method can be optimized by using the correct selection of production parameters and machine learning-based modeling approaches. Full article
(This article belongs to the Special Issue Polymer Composites: Mechanical Characterization)
Show Figures

Figure 1

17 pages, 5640 KB  
Article
Spatio-Temporal Evolution Characteristics and Driving Mechanisms of River Systems in Typical Plain River Network Region
by Mengjie Niu, Qiao Yan, Lei Wang, Mengran Liang and Haoxuan Liu
Sustainability 2026, 18(7), 3556; https://doi.org/10.3390/su18073556 - 4 Apr 2026
Viewed by 275
Abstract
The plain river network region is faced with ecological and environmental challenges such as insufficient hydrological connectivity and degradation of ecosystem services under the influence of urbanization and human activities, and therefore attention needs to be paid to river network changes in this [...] Read more.
The plain river network region is faced with ecological and environmental challenges such as insufficient hydrological connectivity and degradation of ecosystem services under the influence of urbanization and human activities, and therefore attention needs to be paid to river network changes in this region and the synergistic benefits of natural–social–economic multidimensional factors. This study took the Lixiahe region, a typical plain river network region, as the research object, using Mann–Kendall, spatial autocorrelation analysis, random forest, multiple validation and Granger causality test of key drivers to analyze the spatiotemporal evolution of its river network from 2013 to 2025 and quantify driving mechanisms from natural, social and economic factors. The results showed that: (1) From 2013 to 2025, the Lixiahe Plain river network region tended to be trunk and artificial, with the number and connectivity of river networks showing an upward trend while the curvature of river network decreased significantly. (2) The Global Moran’s I index of the Lixiahe Plain river network decreased from 0.612 to 0.534, indicating a continued weakening of spatial agglomeration in the water area and exhibiting characteristics of edge fragmentation. (3) Random forest analysis showed that socioeconomic factors dominated recent river network change in the Lixiahe Plain. Economic factors mainly influenced quantity-related indicators, while social factors were more important for meander degree and connectivity in several ecologically sensitive counties. Multilevel validation demonstrated the robustness and generalization ability of the model. Granger causality analysis further indicated that GDP, road network density, freshwater aquaculture area, and agricultural output statistically preceded changes in key hydrological indicators. These findings suggest that river network management in plain river network regions should move beyond quantity-based engineering expansion and adopt a multi-indicator, spatially differentiated approach. Integrating river quantity, morphology, and connectivity into management can better support the balance between socioeconomic development and ecological protection and promote the sustainable optimization of river network. Full article
Show Figures

Figure 1

24 pages, 10406 KB  
Article
Evaluating the Performance of AlphaEarth Foundation Embeddings for Irrigated Cropland Mapping Across Regions and Years
by Lulu Yang, Yuan Gao, Xiangyang Zhao, Nannan Liang, Ru Ma, Shixiang Xi, Xiao Zhang and Rui Wang
Remote Sens. 2026, 18(7), 1065; https://doi.org/10.3390/rs18071065 - 2 Apr 2026
Viewed by 245
Abstract
Accurate irrigated cropland mapping is critical for agricultural water management and food security. Existing image-based irrigation mapping workflows primarily rely on vegetation indices and synthetic aperture radar (SAR) backscatter features, which have limited capacity to characterize the temporal evolution of irrigation processes and [...] Read more.
Accurate irrigated cropland mapping is critical for agricultural water management and food security. Existing image-based irrigation mapping workflows primarily rely on vegetation indices and synthetic aperture radar (SAR) backscatter features, which have limited capacity to characterize the temporal evolution of irrigation processes and crop growth conditions. The AlphaEarth Foundation (AEF) model developed by Google DeepMind provides compact embeddings with temporal semantic information learned via self-supervision, yet their utility for irrigation mapping has not been systematically assessed. In this study, a comprehensive assessment of AEF embeddings for irrigated cropland mapping was performed in terms of feature separability, classification performance, and spatiotemporal transferability. Experiments were conducted in two representative irrigated regions: the Guanzhong Plain in China and Kansas in the USA. Class separability of the 64 embedding dimensions was quantified using the Jeffries–Matusita (JM) distance. Then, the AEF embeddings were compared with the Sentinel feature set (Sentinel-2 bands, normalized difference vegetation index(NDVI), enhanced vegetation index(EVI), normalized difference water index(NDWI) and Sentinel-1 vertical transmit vertical receive(VV), vertical transmit horizontal receive(VH)) using K-means clustering and supervised classifiers, including Decision Tree (DT), Random Forest (RF), Gradient Boosting Decision Trees (GBDT), Support Vector Machine (SVM), and Multi-layer Perceptron (MLP). Finally, transfer experiments across 2022 and 2024 in the Guanzhong Plain and Kansas were conducted to examine cross-year and cross-region performance. The results showed that AEF embeddings consistently provide stronger class separability in both study areas, with a maximum JM distance of 1.58 (A29). Using AEF embeddings, RF achieved overall accuracies (OA) of 0.95 in the Guanzhong Plain and 0.93 in Kansas, outperforming models based on Sentinel-1/2 bands and indices. Notably, unsupervised K-means clustering on AEF embeddings yielded OA > 0.85, indicating high intrinsic separability between irrigated and rainfed croplands. Transfer experiments further demonstrate stable temporal transfer (cross-year OA > 0.87), whereas cross-region transfer is constrained by differences in irrigation regimes, crop phenology and management practices, resulting in limited spatial generalization (OA~0.3). Overall, this study demonstrates the potential of high-information-density representations from geospatial foundation models for irrigated cropland mapping and provides methodological and technical insights to support transfer learning and operational mapping over large areas. Full article
(This article belongs to the Special Issue Near Real-Time (NRT) Agriculture Monitoring)
Show Figures

Figure 1

16 pages, 6831 KB  
Article
Data-Driven Optimization of Electromagnetic–Mechanical Coupling of Permanent Magnet Topology for Vibration Suppression in PMDC Motors
by Kai Ren, Ziyang Tian, Zilong Zhuang, Yujing Xu, Haiyang Sun and Min Dong
Machines 2026, 14(4), 389; https://doi.org/10.3390/machines14040389 - 1 Apr 2026
Viewed by 246
Abstract
This study proposes a vibration reduction strategy for a 12-slot, two-pole permanent magnet brushed DC (PMDC) motor used in automotive blower systems. A multi-parameter optimization framework combining finite element analysis and experimental validation is developed to address cogging torque, a critical source of [...] Read more.
This study proposes a vibration reduction strategy for a 12-slot, two-pole permanent magnet brushed DC (PMDC) motor used in automotive blower systems. A multi-parameter optimization framework combining finite element analysis and experimental validation is developed to address cogging torque, a critical source of electromagnetic vibration and acoustic noise. The influence of pole arc coefficient and permanent magnet eccentricity on cogging torque is systematically investigated using response surface methodology, identifying an optimal design with significantly reduced torque ripple and vibration. Furthermore, a machine learning model based on the random forest algorithm is introduced to predict cogging torque, air gap magnetic flux density, and output torque, achieving high accuracy and strong generalizability. The results confirm that the optimized motor structure suppresses resonance-induced noise near 7500 Hz, improving overall motor stability and acoustic performance. The proposed data-driven design approach offers a reliable and efficient pathway for vibration optimization in low-cost automotive PMDC motors. Full article
(This article belongs to the Section Electrical Machines and Drives)
Show Figures

Figure 1

25 pages, 5301 KB  
Article
High-Precision Spatial Interpolation of Meteorological Variables in Complex Terrain Using Machine Learning Methods
by Shuangping Li, Bin Zhang, Bo Shi, Qingsong Ai, Yuxi Zeng, Xuanyao Yan, Hao Chen and Huawei Wang
Sensors 2026, 26(7), 2167; https://doi.org/10.3390/s26072167 - 31 Mar 2026
Viewed by 275
Abstract
This study has explored the effectiveness of machine learning methods for high-precision spatial interpolation of meteorological variables, aiming to provide accurate atmospheric delay corrections for high-precision edge and corner nets observation in complex-terrain environments such as the Xiluodu Hydropower Station, thereby enhancing the [...] Read more.
This study has explored the effectiveness of machine learning methods for high-precision spatial interpolation of meteorological variables, aiming to provide accurate atmospheric delay corrections for high-precision edge and corner nets observation in complex-terrain environments such as the Xiluodu Hydropower Station, thereby enhancing the accuracy of deformation monitoring. Considering the significant limitations of traditional interpolation methods such as Inverse Distance Weighting (IDW) and Ordinary Kriging (OK) in capturing spatial variability under complex topographic conditions, we systematically introduced machine learning algorithms including Random Forest (RF)and eXtreme Gradient Boosting (XGBoost, XGB) to compare their performance with traditional methods for high-density interpolation of sparsely distributed temperature, relative humidity, and surface pressure, respectively. Concurrently, we proposed an enhanced XGB model incorporating center-point features (XGB-C) which frames spatial interpolation as a supervised learning problem that learns physical mapping from synoptic backgrounds to local microclimates instead of relying on geometric distances alone. The interpolation performance indices (RMSE, MAE, and R2) were evaluated with daily meteorological observations from 47 stations (38 for training, 9 for testing) during 2023–2024. Results demonstrate that machine learning methods significantly outperform traditional approaches, with XGB-C achieving the highest accuracy (R2 ≈ 1.00 for pressure, 0.97 for humidity, 0.83 for temperature). Moreover, the interpolation performance also exhibits a dependence on seasons and the station location. Greater challenges are shown in the summer season and in the “Urban and Built-Up” and “Croplands” areas. These findings highlight the substantial advantages of machine learning, particularly the proposed XGB-C, for meteorological interpolation in mountainous hydropower station environments where accurate atmospheric correction is crucial for deformation monitoring. This also lays a solid foundation for developing operational ML-based interpolation models trained with high-quality labels derived from unmanned aerial vehicle (UAV) remote sensing data. Full article
(This article belongs to the Section Environmental Sensing)
Show Figures

Figure 1

36 pages, 13078 KB  
Article
Spatial Expansion and Driving Mechanisms of the Yangtze River Delta, Based on RF-RFECV Feature Selection and Night-Time Light Remote Sensing Data
by Dandan Shao, KyungJin Zoh and Huiyuan Liu
Remote Sens. 2026, 18(7), 1033; https://doi.org/10.3390/rs18071033 - 30 Mar 2026
Viewed by 292
Abstract
Rapid urbanization has promoted socioeconomic growth but has exacerbated spatial-structure imbalances. This study investigates 41 prefecture-level cities in the Yangtze River Delta (YRD) from 2010 to 2022. Using nighttime light data, we compute the Comprehensive Nighttime Light Index (CNLI) to track urbanization dynamics [...] Read more.
Rapid urbanization has promoted socioeconomic growth but has exacerbated spatial-structure imbalances. This study investigates 41 prefecture-level cities in the Yangtze River Delta (YRD) from 2010 to 2022. Using nighttime light data, we compute the Comprehensive Nighttime Light Index (CNLI) to track urbanization dynamics and delineate built-up areas. Furthermore, we apply random-forest recursive feature elimination with cross-validation (RF-RFECV) and a Shapley additive explanations (SHAP)-based interpretation framework to quantify the spatiotemporal evolution of urbanization drivers. The results indicate that urbanization in the YRD increased steadily overall during the study period. Shanghai maintained its core leadership, Jiangsu and Zhejiang advanced steadily, and Anhui rapidly caught up driven by regional integration policies. Although regional disparities generally converged, persistent absolute gaps in small and medium-sized cities and inland areas remain a prominent challenge to balanced development. Spatially, urbanization exhibits a gradient differentiation of “higher in the east and lower in the west, and higher along rivers and coasts than inland.” The regional spatial structure gradually shifted from an early “pole-core–belt” pattern to a polycentric and networked urban agglomeration system, with metropolitan areas and economic belts serving as important carriers for promoting spatial balance. Furthermore, built-up areas exhibit a trajectory of “core agglomeration, corridor-oriented expansion, and intensive transition.” The shrinking coverage of the standard deviational ellipse and a slowdown in expansion rates suggest a shift from extensive outward sprawl to more concentrated development. Regarding driving mechanisms, YRD urbanization has evolved from early-stage factor-scale expansion to a later-stage efficiency- and innovation-driven trajectory. While population density remained the dominant driver, early-stage reliance on transport infrastructure and fiscal decentralization was largely replaced by the strengthening effects of per capita output and green innovation. Overall, these findings provide empirical evidence for optimizing spatial patterns and designing differentiated policies for high-quality urbanization in the YRD. Full article
Show Figures

Figure 1

24 pages, 15270 KB  
Article
The Analysis of Urban Nighttime Light Spatial Heterogeneity and Driving Factors Based on SDGSAT-1 Data
by Jinke Liu, Yiran Zhang, Yifei Zhu, Xuesheng Zhao and Wei Guo
Sensors 2026, 26(7), 2094; https://doi.org/10.3390/s26072094 - 27 Mar 2026
Viewed by 341
Abstract
Artificial light at night (ALAN) data is widely used in urban function analysis and socio-economic activity monitoring, but its application at the micro-scale of cities still faces challenges. This study utilizes high spatial resolution SDGSAT-1 nighttime light data to explore the spatial heterogeneity [...] Read more.
Artificial light at night (ALAN) data is widely used in urban function analysis and socio-economic activity monitoring, but its application at the micro-scale of cities still faces challenges. This study utilizes high spatial resolution SDGSAT-1 nighttime light data to explore the spatial heterogeneity of ALAN at the street scale in two representative Chinese cities—Beijing and Guangzhou. By integrating multi-source data (such as building vector data, road networks, and point of interest data), a multi-dimensional indicator system covering urban morphology, functional structure, and transportation accessibility is constructed. Based on this, the study employs a Geographically Weighted Random Forest (GWRF) model combined with the Shapley Additive Explanations (SHAP) method to deeply analyze the non-linear relationships between ALAN intensity and multiple driving factors, as well as their spatial variability. Results demonstrate the superiority of the GWRF model over global models in capturing spatial non-stationarity, with R2 values of 0.67 for Beijing and 0.74 for Guangzhou, compared to 0.62 and 0.71 for the random forest models, respectively. Road density is the dominant factor influencing nighttime light intensity in both Beijing and Guangzhou. However, the relationship between ALAN and its driving factors varies across these cities. In Beijing, a balanced multi-factor model is observed, whereas in Guangzhou, ALAN intensity is primarily driven by road density, with secondary influences from other factors like sky view factor. This study validates SDGSAT-1 for micro-scale analysis, offering a scientific basis for differentiated urban lighting planning. Full article
(This article belongs to the Special Issue Sensor-Based Systems for Environmental Monitoring and Assessment)
Show Figures

Figure 1

29 pages, 16603 KB  
Article
Hierarchical Neural-Guided Navigation with Vortex Artificial Potential Field for Robust Path Planning in Complex Environments
by Boyi Xiao, Lujun Wan, Jiwei Tian, Yuqin Zhou, Sibo Hou and Haowen Zhang
Drones 2026, 10(4), 240; https://doi.org/10.3390/drones10040240 - 26 Mar 2026
Viewed by 309
Abstract
Existing autonomous navigation systems for Unmanned Aerial Vehicles (UAVs) face the dual challenges of local minima entrapment and computational complexity that scales with environmental density. This paper proposes a hierarchical navigation architecture integrating deep representation learning with an improved Vortex Artificial Potential Field [...] Read more.
Existing autonomous navigation systems for Unmanned Aerial Vehicles (UAVs) face the dual challenges of local minima entrapment and computational complexity that scales with environmental density. This paper proposes a hierarchical navigation architecture integrating deep representation learning with an improved Vortex Artificial Potential Field (APF). At the decision layer, a Convolutional Neural Network (CNN) encodes the environment as a fixed-dimensional tensor and generates global waypoints with constant-time inference, independent of obstacle count. At the control layer, a Vortex APF resolves the Goal Non-Reachable with Obstacles Nearby (GNRON) problem and limit-cycle oscillations through tangential rotational potentials, achieving significant improvement in trajectory smoothness compared to traditional APF methods. A closed-loop replanning mechanism further ensures robust performance under execution drift. Experiments across varying obstacle densities demonstrate that the combined system achieves high navigation success rates in dense environments with substantially reduced computation time compared to sampling-based planners such as Rapidly exploring Random Tree star (RRT*), while maintaining superior trajectory quality. This architecture provides a computationally efficient solution for resource-constrained UAV platforms operating in GPS-denied or obstacle-rich environments such as warehouses, forests, and disaster sites. Full article
Show Figures

Figure 1

20 pages, 6374 KB  
Article
Uncovering the Spatiotemporal Evolution and Driving Factors of Flash Flood in the Qinghai–Tibet Plateau
by Chaoyue Li, Xinyu Feng, Guotao Zhang, Zhonggen Wang, Wen Jin and Chengjie Li
Remote Sens. 2026, 18(7), 996; https://doi.org/10.3390/rs18070996 - 26 Mar 2026
Viewed by 420
Abstract
Frequent flash floods threaten human well-being, hydropower infrastructure, and ecosystems. However, the long-term evolution of flash flood patterns over recent decades remains insufficiently understood, particularly in data-scarce high-altitude regions. Using multi-source remote sensing data integrated with historical disaster records and field investigations, this [...] Read more.
Frequent flash floods threaten human well-being, hydropower infrastructure, and ecosystems. However, the long-term evolution of flash flood patterns over recent decades remains insufficiently understood, particularly in data-scarce high-altitude regions. Using multi-source remote sensing data integrated with historical disaster records and field investigations, this study examined the spatiotemporal evolution and driving factors of flash floods across the Qinghai–Tibet Plateau (QTP). The results indicate that flash floods have increased exponentially, which may be influenced by disaster management policies, with peaks in July–August and frequent occurrences from April to September. The seasonal trajectory of the center of gravity of flash floods from April to September exhibited a clear directional pattern. Regions with the highest disaster density were concentrated in the headwaters of five major rivers, including the Yarlung Zangbo, Jinsha, Nu, Lancang, and Yellow Rivers. Shapley Additive Explanation (SHAP) and Random Forest analyses reveal that soil moisture, anthropogenic intensity, and seasonal runoff variability are the dominant driving factors. With ongoing socioeconomic development, intensified human activities have become a key contributor to the increasing frequency of flash floods. These findings highlight the value of remote sensing-based assessments for flash flood monitoring and early warning and provide scientific support for risk mitigation, loss reduction, and the advancement of water-related targets under the United Nations’ Sustainable Development Goals. Full article
(This article belongs to the Section Remote Sensing in Geology, Geomorphology and Hydrology)
Show Figures

Figure 1

20 pages, 2636 KB  
Article
Inferring Wildfire Ignition Causes in Spain Using Machine Learning and Explainable AI
by Clara Ochoa, Magí Franquesa, Marcos Rodrigues and Emilio Chuvieco
Fire 2026, 9(4), 138; https://doi.org/10.3390/fire9040138 - 24 Mar 2026
Viewed by 616
Abstract
A substantial proportion of wildfires in Mediterranean regions continue to be recorded without information about the cause or source of ignition, limiting our ability to understand ignition drivers and design effective prevention strategies. In this study, we develop a spatially harmonised wildfire database [...] Read more.
A substantial proportion of wildfires in Mediterranean regions continue to be recorded without information about the cause or source of ignition, limiting our ability to understand ignition drivers and design effective prevention strategies. In this study, we develop a spatially harmonised wildfire database for mainland Spain by integrating ignition records from the Spanish General Fire Statistics (EGIF) with fire perimeters generated from satellite images. We then apply a Random Forest classifier to infer ignition causes for events lacking cause attribution. To interpret model behaviour, we use Shapley Additive Explanation (SHAP) values at both global and local scales. Results indicate that human-caused ignitions are dominant, with intentional and negligence-related fires accounting for 52.13% of all known events, although they are associated with contrasting climatic and land-use settings. Negligence-related fires tend to occur under hot, dry and windy conditions, often in agricultural interfaces, whereas intentional fires are more frequent under cooler and wetter conditions and in areas with higher population density and land-use change. Lightning-caused fires represent a small fraction of total ignitions (3%) but exhibit a distinct climatic signature, occurring primarily in sparsely populated areas, under intermediate moisture conditions, and often leading to larger burned areas. Despite strong overall model performance (F1-score = 0.82), minority classes (e.g., lightning and fire rekindling, 0.17%) remain challenging to classify, reflecting both data imbalance and uncertainty in causal attribution. Overall, the combined use of machine learning and explainable AI provides a coherent spatial characterisation of wildfire ignition drivers across mainland Spain, highlights systematic differences among ignition causes, and identifies key limitations in existing fire cause records. This framework represents a practical step towards improving fire cause information by integrating remote sensing products with field-based fire reports, thereby supporting more targeted and evidence-based fire risk management. Full article
Show Figures

Figure 1

27 pages, 18731 KB  
Article
Intelligent Analysis of Data Flows for Real-Time Classification of Traffic Incidents
by Gary Reyes, Roberto Tolozano-Benites, Cristhina Ortega-Jaramillo, Christian Albia-Bazurto, Laura Lanzarini, Waldo Hasperué, Dayron Rumbaut and Julio Barzola-Monteses
Information 2026, 17(3), 310; https://doi.org/10.3390/info17030310 - 23 Mar 2026
Viewed by 326
Abstract
Social media platforms have been established as relevant sources of real-time information for urban traffic analysis. This study proposes an intelligent framework for the classification and spatiotemporal analysis of traffic incidents based on semi-synthetic data streams constructed from historical geolocated seeds for controlled [...] Read more.
Social media platforms have been established as relevant sources of real-time information for urban traffic analysis. This study proposes an intelligent framework for the classification and spatiotemporal analysis of traffic incidents based on semi-synthetic data streams constructed from historical geolocated seeds for controlled validation, utilizing real reports from platforms such as X and Telegram. The approach integrates adaptive machine learning and incremental density-based clustering. An Adaptive Random Forest (ARF) incremental classifier is used to identify the type of incident, allowing for continuous updating of the model in response to changes in traffic flow and concept drift. The classified events are then processed using DenStream, a clustering algorithm that incorporates a temporal decay mechanism designed to identify dynamic spatial patterns and discard older information. The evaluation is performed in a controlled streaming simulation environment that replicates the dynamics of cities such as Panama and Guayaquil. The proposed framework demonstrated robust quantitative performance, achieving a prequential accuracy of up to 86.4% and a weighted F1-score of 0.864 in the Panama scenario, maintaining high stability against semantic noise. The results suggest that this hybrid architecture is a highly viable approach for urban traffic monitoring, providing useful information for Intelligent Transportation Systems (ITS) by processing authentic social signals. Full article
(This article belongs to the Section Artificial Intelligence)
Show Figures

Figure 1

33 pages, 9593 KB  
Article
Proxilience Effects on Spatial Disparities in Metropolitan Areas—A Cross-Scale Analysis of “Superbowl” Agglomerations
by Alexandru Bănică, Karima Kourtit, Cristian-Manuel Foșalău and Oliver-Valentin Dinter
Land 2026, 15(3), 468; https://doi.org/10.3390/land15030468 - 15 Mar 2026
Viewed by 289
Abstract
In the spirit of the recent debate on the 15-minute city, two concepts are central: urban proximity and resilience. They became cornerstones of new urban planning perspectives on sustainability, livability, and inclusiveness in cities and metropolitan areas. Very recently, the notion of ‘proxilience’ [...] Read more.
In the spirit of the recent debate on the 15-minute city, two concepts are central: urban proximity and resilience. They became cornerstones of new urban planning perspectives on sustainability, livability, and inclusiveness in cities and metropolitan areas. Very recently, the notion of ‘proxilience’ has been introduced as an integration of urban planning views on the drivers of citizens’ wellbeing. The present study seeks to conceptualize and operationalize the proxilience concept for the case of metropolitan agglomerations, in which the core is termed here ‘Superbowl Economy’. Consequently, the paper presents a data-driven analytical approach that uses detailed empirical data on spatial density patterns, demographic factors, socioeconomic indicators, environmental quality attributes, infrastructure accessibility, and access to services and amenities. The empirical part of the study is based on a blend of geostatistical and econometric models (correlation and regression analysis, AHP modelling, and Random Forest model). The analysis framework and the underlying propositions on the proxilience impacts on spatial patterns of disparities in wellbeing are applied and tested for the greater Iași Metropolitan Area, which is one of the largest urban poles in Romania. The findings confirm proxilience as a novel, multidimensional tool that advances spatial (urban–regional) livability in a polarized yet fragmented urban system. Full article
(This article belongs to the Special Issue The 15-Minute City: Land-Use Policy Impacts)
Show Figures

Figure 1

31 pages, 4400 KB  
Article
Regional-Scale Mapping of Gully Network in Mediterranean Olive Landscapes Using Machine Learning Algorithms: The Guadalquivir Basin
by Paula González-Garrido, Adolfo Peña-Acevedo, Francisco-Javier Mesas-Carrascosa and Juan Julca-Torres
Agronomy 2026, 16(6), 622; https://doi.org/10.3390/agronomy16060622 - 14 Mar 2026
Viewed by 431
Abstract
Gully erosion is a significant threat to the sustainability of soil in Mediterranean basins. Despite its impact, there is a lack of research providing accurate regional-scale cartography of complete gully networks. This study aims to automatically map the gully network in the olive-growing [...] Read more.
Gully erosion is a significant threat to the sustainability of soil in Mediterranean basins. Despite its impact, there is a lack of research providing accurate regional-scale cartography of complete gully networks. This study aims to automatically map the gully network in the olive-growing landscapes of the Guadalquivir basin (Spain) using Machine Learning (ML) algorithms: Random Forest (RF), Support Vector Machine (SVM), Decision Tree (DT), and Logistic Regression (LR). We integrated these models with 17 predictive variables (including hydrotopographic, climatic, and edaphic factors) and the Gully Head Initiation (GHI) index. RF was the most suitable model, achieving an Area Under the Curve (AUC) of 0.91 and an F1-score of 0.83, and enabled the delineation of a gully network totalling 8439.05 km. Variable importance analysis revealed that flow accumulation (17.33%) and the GHI index (nearly 30%) were the primary predictors, with the Rainy Day Normal (RDN)-based formulation outperforming the maximum daily precipitation (Pmax)-based one. Spatially, countryside hill landscapes exhibited the highest gully densities (42.50 m/ha). The results demonstrate the effectiveness of combining ML with physically based indices to generate high-resolution gully cartography for soil conservation planning in Mediterranean olive groves. Full article
(This article belongs to the Special Issue Advanced Machine Learning in Agriculture—2nd Edition)
Show Figures

Graphical abstract

13 pages, 2167 KB  
Article
Low-Cost Portable Near-Infrared Spectroscopy for Predicting Soil Properties in Paddy Fields of Southeastern China
by Minwei Li, Yechen Jin, Hancheng Guo, Dietian Yu, Jianping Qian, Qiangyi Yu, Zhou Shi and Songchao Chen
Sensors 2026, 26(6), 1805; https://doi.org/10.3390/s26061805 - 12 Mar 2026
Viewed by 380
Abstract
Timely and accurate soil property information is critical for sustainable agriculture and precision nutrient management. Conventional laboratory methods are accurate but costly and labor-intensive, restricting their feasibility for high-density soil mapping. Low-cost, portable near-infrared (NIR) spectroscopy presents a promising alternative for rapid, on-site, [...] Read more.
Timely and accurate soil property information is critical for sustainable agriculture and precision nutrient management. Conventional laboratory methods are accurate but costly and labor-intensive, restricting their feasibility for high-density soil mapping. Low-cost, portable near-infrared (NIR) spectroscopy presents a promising alternative for rapid, on-site, and non-destructive soil analysis. This study aimed to evaluate the potential of a low-cost, portable NIR sensor (NeoSpectra) for the quantitative prediction of key soil properties in paddy fields from Southeastern China. The target properties were soil organic matter (SOM), total nitrogen (TN), pH, and particle size fractions (clay, silt, and sand). A total of 995 soil samples were collected from representative paddy fields in the region and spectra measurements were conducted in the laboratory on air-dried samples. We developed and compared the performance of multiple machine learning algorithms, including partial least squares regression (PLSR), Cubist, random forest (RF) and memory-based learning (MBL), to build robust calibration models. The predictive models showed substantial performance for SOM and TN, indicating high accuracy (R2 > 0.75, LCCC > 0.85, RPD > 2) for quantitative prediction. Predictions for pH, silt, sand, and clay were less accurate (R2 of 0.48–0.53, LCCC of 0.67–0.71, RPD of 1.39–1.49), suggesting the sensor’s utility is limited to indicating general trends for these properties. Among the tested algorithms, MBL consistently provided the most accurate and robust predictions across the majority of soil properties. Our findings demonstrate that the low-cost portable NIR sensor, when coupled with appropriate machine learning algorithms, is a powerful and viable tool for the rapid and reliable estimation of critical paddy soil fertility properties (SOM and TN). This technology has significant potential to support field-level soil health monitoring, precision fertilization strategies, and sustainable land management in the agricultural systems of Southeastern China. Full article
(This article belongs to the Special Issue Soil Sensing and Mapping in Precision Agriculture: 2nd Edition)
Show Figures

Figure 1

Back to TopTop