Sign in to use this feature.

Years

Between: -

Subjects

remove_circle_outline
remove_circle_outline
remove_circle_outline
remove_circle_outline
remove_circle_outline
remove_circle_outline
remove_circle_outline
remove_circle_outline
remove_circle_outline

Journals

Article Types

Countries / Regions

Search Results (129)

Search Parameters:
Keywords = defoliating insects

Order results
Result details
Results per page
Select all
Export citation of selected articles as:
18 pages, 1850 KB  
Article
The Lethal and Sublethal Effects of Aerial Applications of Bacillus thuringiensis subsp. kurstaki on the Spruce Budworm and Its Parasitism
by Christian Hébert, Jean-Michel Béland, Alain Dupont and Richard Berthiaume
Forests 2025, 16(11), 1666; https://doi.org/10.3390/f16111666 - 31 Oct 2025
Viewed by 267
Abstract
The bioinsecticide Bacillus thuringiensis subsp. kurstaki (Btk) is applied over large areas to reduce defoliation caused by the spruce budworm, an insect which affects millions of hectares of coniferous forests every 30 to 40 years in eastern North America. The aim [...] Read more.
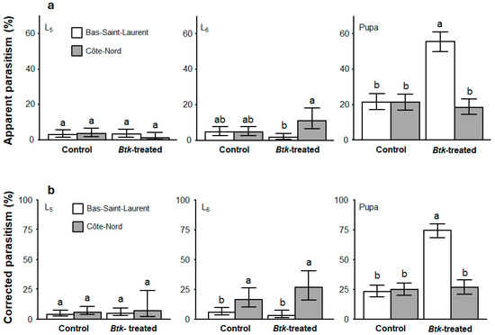
The bioinsecticide Bacillus thuringiensis subsp. kurstaki (Btk) is applied over large areas to reduce defoliation caused by the spruce budworm, an insect which affects millions of hectares of coniferous forests every 30 to 40 years in eastern North America. The aim of our study was to determine whether, in addition to its direct lethal effects, aerial spraying of Btk had sublethal effects on spruce budworm populations and their parasitism. Four sites were sprayed with Btk and compared to four control sites in two regions, one where the outbreak had started three years earlier and the other where it had been going on for 10 years. Insects were collected to compare budworm pupal mass and parasitism at different stages (L5, L6 and pupae). Budworm pupae were significantly lighter in Btk-treated sites than in controls, and in the older population than in the younger one. However, pupae collected from Btk-treated sites had the same mass in both regions, suggesting a minimum pupal mass threshold, which may affect population dynamics. Larval parasitism was low, but pupal parasitism was high and strongly influenced by an interaction between Btk and region, with a higher parasitism observed in Btk-treated sites of the younger population than in those of the older population. A significant interaction was observed between Btk treatment and region on the proportion of larvae that failed to complete development, which was particularly high in Btk-treated sites of the older population. Our study confirms the effectiveness of Btk in controlling spruce budworm populations directly but also indirectly through sublethal effects on budworm development, capacity to complete development, pupal size and parasitism. To maximize control efficacy, the timing of Btk applications could vary according to the age of populations during the budworm outbreak cycle. Full article
(This article belongs to the Special Issue Integrated Pest Management and Control in Forestry)
Show Figures

Figure 1

16 pages, 1488 KB  
Article
Infestation Patterns and Climate-Based Projections for European Spongy Moth (Lymantria dispar) in Whirlpool Forest, Ontario, Canada
by Xiaolong Guo and Qianqian Wang
Biology 2025, 14(11), 1506; https://doi.org/10.3390/biology14111506 - 28 Oct 2025
Viewed by 306
Abstract
This study investigates spongy moth (Lymantria dispar) infestation patterns in Whirlpool Forest, Ontario, offering a region-specific perspective while largely corroborating existing findings. We analyzed egg mass distribution across 43 sampling plots, relating it to tree characteristics. Results revealed a preference for [...] Read more.
This study investigates spongy moth (Lymantria dispar) infestation patterns in Whirlpool Forest, Ontario, offering a region-specific perspective while largely corroborating existing findings. We analyzed egg mass distribution across 43 sampling plots, relating it to tree characteristics. Results revealed a preference for red oak species, with significant egg-laying above one meter. Positive correlations were found between tree diameter and egg mass quantity (ρ = 0.458, p < 0.001 above 1 m; ρ = 0.218, p = 0.006 below 1 m). Tree health was significantly associated with egg mass presence (χ2 = 6.08, p = 0.014). A climate-based regression model (R2 = 0.714, p < 0.05) projected substantial increases in outbreak area by 2100, with the most severe scenario predicting 9,927,378.49 hectares at risk. Sensitivity analysis showed a 1 °C temperature increase could expand the outbreak area by 814,100 hectares. These findings underscore complex infestation dynamics, challenging simplified models and emphasizing the need for tailored, adaptive forest management strategies in response to changing environmental conditions and pest behaviors. Full article
(This article belongs to the Section Ecology)
Show Figures

Figure 1

32 pages, 9546 KB  
Article
Climate-Driven Decline of Oak Forests: Integrating Ecological Indicators and Sustainable Management Strategies
by Ioan Tăut, Florin Dumitru Bora, Florin Alexandru Rebrean, Cristian Mircea Moldovan, Mircea Ioan Varga, Vasile Șimonca, Alexandru Colișar, Szilard Bartha, Claudia Simona Timofte and Paul Sestraș
Sustainability 2025, 17(20), 9197; https://doi.org/10.3390/su17209197 - 16 Oct 2025
Viewed by 430
Abstract
Oak forests provide critical ecosystem services, but are being increasingly exposed to climate variability, drought, and insect outbreaks that threaten their long-term resilience. This study aims to integrate structural canopy indicators with climate-derived indices to detect early-warning signals of decline in temperate oak [...] Read more.
Oak forests provide critical ecosystem services, but are being increasingly exposed to climate variability, drought, and insect outbreaks that threaten their long-term resilience. This study aims to integrate structural canopy indicators with climate-derived indices to detect early-warning signals of decline in temperate oak stands. We monitored eight Forest Management Units in western Romania between 2017 and 2021, combining field-based assessments of crown morphology, vitality traits, defoliation, and epicormic shoot frequency with hydroclimatic indices such as the Forest Aridity Index. Results revealed strong spatial and temporal variability: several stands showed advanced canopy deterioration characterized by increased defoliation, dead branches, and epicormic resprouting, while others maintained stable conditions, suggesting resilience and suitability as reference sites. Insect defoliators, particularly Geometridae, contributed additional stress, but generally at subcritical levels. By synthesizing these metrics into conceptual models and a risk scorecard, we identified the causal pathways linking climatic anomalies and biotic stressors to structural decline. The findings demonstrate that combining structural and climatic indicators offers a transferable framework for forest health monitoring, providing robust early-warning tools to guide adaptive silviculture and resilience-based management. Beyond the Romanian context, this integrative approach supports sustainability goals by strengthening conservation strategies for temperate forests under global change. Full article
Show Figures

Figure 1

16 pages, 2801 KB  
Article
Temporal Dynamics of Bacterial Communities in Ectropis grisescens Following Cryogenic Mortality
by Xinxin Zhang, Zhibo Wang, Guozhong Feng, Qiang Xiao and Meijun Tang
Insects 2025, 16(10), 1040; https://doi.org/10.3390/insects16101040 - 9 Oct 2025
Viewed by 576
Abstract
Ectropis grisescens (Lepidoptera: Geometridae) is a destructive pest in tea plantations, leading to significant economic losses through defoliation. Existing control strategies, including chemical insecticides and biological agents, are often limited by environmental concerns, resistance, and variable efficacy. Recent evidence suggests [...] Read more.
Ectropis grisescens (Lepidoptera: Geometridae) is a destructive pest in tea plantations, leading to significant economic losses through defoliation. Existing control strategies, including chemical insecticides and biological agents, are often limited by environmental concerns, resistance, and variable efficacy. Recent evidence suggests that bacteria influence insect physiology and could be leveraged for pest management, but the postmortem microbial ecology of E. grisescens remains uncharacterized. In this study, we employed 16S rRNA sequencing to investigate temporal changes in the bacterial communities of E. grisescens cadavers at 0, 7, and 21 days following cryogenic mortality. Our results indicate a time-dependent decline in microbial diversity, while species richness initially increased before subsequent reduction. The dominant endosymbiont Wolbachia gradually diminished after host death, whereas Enterobacter remained abundant. Notably, non-dominant genera including Lysinibacillus and Sporosarcina exhibited a transient increase in abundance at day 7 before reverting to control levels by day 21. This study presents the first comprehensive analysis of postmortem microbial succession in a lepidopteran system, highlighting dynamic shifts in bacterial composition and offering potential avenues for microbiome-based pest management strategies. Full article
(This article belongs to the Section Insect Behavior and Pathology)
Show Figures

Figure 1

22 pages, 7678 KB  
Article
Unveiling a Disease Complex Threatening Fig (Ficus carica L.) Cultivation in Southern Italy
by Wassim Habib, Mariangela Carlucci, Vincenzo Cavalieri, Cecilia Carbotti and Franco Nigro
Plants 2025, 14(18), 2865; https://doi.org/10.3390/plants14182865 - 15 Sep 2025
Viewed by 773
Abstract
Fig (Ficus carica) orchards in the Salento peninsula (southeastern Apulia region, Italy) are increasingly affected by decline syndromes whose etiology remains poorly resolved. In this paper, we provide a first characterization of a complex disease outbreak, integrating field surveys, fungal isolation, [...] Read more.
Fig (Ficus carica) orchards in the Salento peninsula (southeastern Apulia region, Italy) are increasingly affected by decline syndromes whose etiology remains poorly resolved. In this paper, we provide a first characterization of a complex disease outbreak, integrating field surveys, fungal isolation, molecular phylogenetics, and pathogenicity assays. Symptomatic trees displayed chlorosis, defoliation, cankers, vascular discoloration, and wilting, frequently associated with bark beetle galleries. Mycological analyses revealed a diverse assemblage of fungi, dominated by Botryosphaeriaceae (including Neofusicoccum algeriense, and Lasiodiplodia theobromae), the Fusarium solani species complex (notably Neocosmospora perseae), and Ceratocystis ficicola. While C. ficicola was isolated with lower frequency, its recovery from adult beetles—including Cryphalus dilutus—supports a role in insect-mediated dissemination in addition to soilborne infection. Pathogenicity tests demonstrated that N. algeriense and N. perseae, together with C. ficicola, caused severe vascular lesions and wilting, confirming their contribution to fig decline. By contrast, other Fusarioid strains showed no pathogenicity, consistent with their role as latent or stress-associated pathogens. This study provides the first evidence that N. algeriense and N. perseae act as pathogenic agents on fig, highlights their interaction with C. ficicola within a multifactorial decline syndrome, and identifies dual epidemiological pathways involving both soil/root infection and insect-facilitated dissemination via beetles such as C. dilutus. These findings redefine fig decline in the Salento peninsula (southern Italy) as a multifactorial disease rather than a single-pathogen outbreak, with significant implications for diagnosis, epidemiology, and integrated management strategies. Full article
(This article belongs to the Section Plant Protection and Biotic Interactions)
Show Figures

Figure 1

25 pages, 2032 KB  
Article
Pedunculate Oak (Quercus robur L.) Crown Defoliation as an Indicator of Timber Value
by Branko Ursić and Dinko Vusić
Forests 2025, 16(7), 1111; https://doi.org/10.3390/f16071111 - 4 Jul 2025
Cited by 1 | Viewed by 414
Abstract
Pedunculate oak (Quercus robur L.), an ecologically and economically important tree species has been significantly affected by oak dieback in recent years. Since one of the symptoms of oak dieback is crown defoliation, this research aimed to determine the quantity, quality, average [...] Read more.
Pedunculate oak (Quercus robur L.), an ecologically and economically important tree species has been significantly affected by oak dieback in recent years. Since one of the symptoms of oak dieback is crown defoliation, this research aimed to determine the quantity, quality, average tree value, and wood defects that influence grading in different stages of oak dieback indicated by tree crown defoliation degree. The research was conducted in a 62- and 116-year-old stand of the lowland Croatian forest. In total, 115 pedunculate oak trees were sampled and processed in 983 logs that were analyzed. The prescribed single-entry volume tables underestimate harvesting volume by 5.45% on site A and 6.16% on site B, while the calculation of net harvesting volume underestimates net volume by 0.26% on site A and overestimates net volume on site B by 4.59%. The analysis of wood defect presence showed that insect holes, rot, and covered knots were the main reasons for the degradation of quality class. Dead trees showed a decreased average tree value in DBH classes 32.5–42.5 cm compared to the healthy trees. Based on the findings of this research, tree crown defoliation degree could be used as a timber quality and average tree value indicator. Full article
(This article belongs to the Section Wood Science and Forest Products)
Show Figures

Figure 1

20 pages, 23317 KB  
Article
Land Use and Land Cover (LULC) Mapping Accuracy Using Single-Date Sentinel-2 MSI Imagery with Random Forest and Classification and Regression Tree Classifiers
by Sercan Gülci, Michael Wing and Abdullah Emin Akay
Geomatics 2025, 5(3), 29; https://doi.org/10.3390/geomatics5030029 - 1 Jul 2025
Cited by 1 | Viewed by 2377
Abstract
The use of Google Earth Engine (GEE), a cloud-based computing platform, in spatio-temporal evaluation studies has increased rapidly in natural sciences such as forestry. In this study, Sentinel-2 satellite imagery and Shuttle Radar Topography Mission (SRTM) elevation data and image classification algorithms based [...] Read more.
The use of Google Earth Engine (GEE), a cloud-based computing platform, in spatio-temporal evaluation studies has increased rapidly in natural sciences such as forestry. In this study, Sentinel-2 satellite imagery and Shuttle Radar Topography Mission (SRTM) elevation data and image classification algorithms based on two machine learning techniques were examined. Random Forest (RF) and Classification and Regression Trees (CART) were used to classify land use and land cover (LULC) in western Oregon (USA). To classify the LULC from the spectral bands of satellite images, a composition consisting of vegetation difference indices NDVI, NDWI, EVI, and BSI, and a digital elevation model (DEM) were used. The study area was selected due to a diversity of land cover types including research forest, botanical gardens, recreation area, and agricultural lands covered with diverse plant species. Five land classes (forest, agriculture, soil, water, and settlement) were delineated for LULC classification testing. Different spatial points (totaling 75, 150, 300, and 2500) were used as training and test data. The most successful model performance was RF, with an accuracy of 98% and a kappa value of 0.97, while the accuracy and kappa values for CART were 95% and 0.94, respectively. The accuracy of the generated LULC maps was evaluated using 500 independent reference points, in addition to the training and testing datasets. Based on this assessment, the RF classifier that included elevation data achieved an overall accuracy of 92% and a kappa coefficient of 0.90. The combination of vegetation difference indices with elevation data was successful in determining the areas where clear-cutting occurred in the forest. Our results present a promising technique for the detection of forests and forest openings, which was helpful in identifying clear-cut sites. In addition, the GEE and RF classifier can help identify and map storm damage, wind damage, insect defoliation, fire, and management activities in forest areas. Full article
Show Figures

Figure 1

15 pages, 27708 KB  
Article
Defoliation of Norway Spruce by Spruce Budworm (Lepidoptera: Tortricidae) and Protection Using Bacillus thuringiensis
by Alvaro Fuentealba, Richard Berthiaume, Simon Fortier, Louis Morneau and Éric Bauce
Forests 2025, 16(7), 1056; https://doi.org/10.3390/f16071056 - 25 Jun 2025
Viewed by 563
Abstract
Norway spruce (Picea abies (L.) Karst.) has been widely planted beyond its natural range due to its fast growth rate and valuable wood. In Québec, over 200 million seedlings have been planted since 1964. Several of these plantations are now facing a [...] Read more.
Norway spruce (Picea abies (L.) Karst.) has been widely planted beyond its natural range due to its fast growth rate and valuable wood. In Québec, over 200 million seedlings have been planted since 1964. Several of these plantations are now facing a new potential threat, i.e., spruce budworm (Choristoneura fumiferana (Clem.)) infestations. Despite contrasting results, Norway and white spruce (P. glauca [Moench] Voss) apparently sustain a similar degree of budworm defoliation. The main study objective is to quantify defoliation in Norway spruce caused by spruce budworm. We also evaluate the efficacy of Bacillus thuringiensis Berliner spp. kurstaki (Btk) in protecting this exotic host tree. Annual defoliation was assessed in plantations of Norway, white, and black spruce (P. mariana [Mill.] BSP) between 2018 and 2022 in the Bas-Saint-Laurent region. Additional surveys were conducted in Norway and white spruce plantations in the Gaspésie and Côte-Nord to evaluate Btk efficacy. We show that both species exhibit similar defoliation levels, though Norway spruce sometimes sustains greater damage (e.g., 35% vs. 10% in 2019). Btk formulations showed low efficacy in protecting Norway spruce foliage (≥49.32% defoliation in treated plantations). Further studies are needed to understand factors influencing Btk efficacy on this host. Full article
(This article belongs to the Special Issue Monitoring and Control of Forest Pests)
Show Figures

Figure 1

18 pages, 1588 KB  
Review
The Role of Red Wood Ants (Formica rufa Species Group) in Central European Forest Ecosystems—A Literature Review
by Ágnes Fürjes-Mikó, Sándor Csősz, Márton József Paulin and György Csóka
Insects 2025, 16(5), 518; https://doi.org/10.3390/insects16050518 - 13 May 2025
Cited by 1 | Viewed by 3399
Abstract
Red wood ants (RWA), belonging to the Formica rufa species group, play a crucial and fascinating role in Central Europe’s forest ecosystems. They have a high variety of effects, which they exert around their nests. Their generalist feeding on prey in the canopies [...] Read more.
Red wood ants (RWA), belonging to the Formica rufa species group, play a crucial and fascinating role in Central Europe’s forest ecosystems. They have a high variety of effects, which they exert around their nests. Their generalist feeding on prey in the canopies of trees lowers the frequency of defoliator outbreaks, as well as increases local biodiversity. Nearly half of their diverse diet is insects, including species considered harmful by foresters. They also have a mutualistic relation with honeydew-producing aphids and planthoppers, which connection has unclear effects on the forests. The habit of RWAs building nests could also positively influence soil composition, due to its structure and high amount of organic matter, which could potentially benefit tree growth. RWAs are also known to enhance the species richness of forests by supporting various myrmecophilous species associated with them. In this study, we review the role of RWAs in forest protection, drawing on the literature focusing on Hungary and Central Europe. Full article
(This article belongs to the Special Issue The Richness of the Forest Microcosmos)
Show Figures

Figure 1

13 pages, 2042 KB  
Article
Transcriptomic Characterization of miRNAs in Pyrrhalta aenescens Fairmaire in Response to 20-Hydroxyecdysone Treatment
by Jie Liu, Li Gao, Chao Du, Tianfeng Duan and Li Liu
Genes 2025, 16(4), 435; https://doi.org/10.3390/genes16040435 - 5 Apr 2025
Viewed by 776
Abstract
Background/Objectives: Pyrrhalta aenescens, a major pest of elm trees, causes extensive ecological and economic damage through rapid population growth and defoliation. Existing research mainly focuses on its biological traits and chemical control, with little knowledge about its reproductive development mechanisms, a key [...] Read more.
Background/Objectives: Pyrrhalta aenescens, a major pest of elm trees, causes extensive ecological and economic damage through rapid population growth and defoliation. Existing research mainly focuses on its biological traits and chemical control, with little knowledge about its reproductive development mechanisms, a key factor in population expansion. In other insects, the steroid hormone 20-hydroxyecdysone (20E) regulates development and reproduction via microRNA (miRNA)-mediated pathways, but this has not been studied in P. aenescens. This study aimed to systematically identify miRNAs responsive to 20E in P. aenescens and unravel their roles in regulating reproduction and metabolic pathways, providing foundational insights into hormone–miRNA crosstalk in this ecologically significant pest. Methods: Adult beetles (collected from Baotou, Inner Mongolia) were injected with 1.0 μg/μL 20E or control. Total RNA from three biological replicates (10 adults each) was sequenced, followed by miRNA identification, differential expression analysis, target prediction, and functional enrichment. Results: Small RNA sequencing identified 205 miRNAs (162 conserved, 43 novel), with 12 DEMs post-20E treatment. Target prediction linked these miRNAs to 7270 genes, including key regulators of the FoxO signaling pathway and MAPK signaling pathway. KEGG analysis highlighted lipid metabolism and stress response pathways. Conclusions: This study revealed that 20E modulates miRNA networks to regulate FoxO and MAPK pathways in P. aenescens, suggesting hormonal control of lipid metabolism and developmental processes. As the first miRNA resource for this pest, our findings provide mechanistic insights into 20E–miRNA crosstalk and identify potential molecular targets for disrupting its reproductive biology, laying a foundation for eco-friendly pest control. Full article
(This article belongs to the Special Issue Genomics, Transcriptomics, and Proteomics of Insects)
Show Figures

Figure 1

21 pages, 16165 KB  
Article
A Small-Scale Investigation into the Viability of Detecting Canopy Damage Caused by Acantholyda posticalis Disturbance Using High-Resolution Satellite Imagery in a Managed Pinus sylvestris Stand in Central Poland
by Jackson Seymour, Michał Brach and Marek Sławski
Forests 2025, 16(3), 472; https://doi.org/10.3390/f16030472 - 7 Mar 2025
Viewed by 551
Abstract
As the effects of climate change progressively worsen, many scientists are concerned over the expanding geographic range and impact of forest-defoliating insects. Many are currently pointing to this form of disturbance becoming a key focus of remote sensing research in the coming decades; [...] Read more.
As the effects of climate change progressively worsen, many scientists are concerned over the expanding geographic range and impact of forest-defoliating insects. Many are currently pointing to this form of disturbance becoming a key focus of remote sensing research in the coming decades; however, the available body of research remains lacking. This study investigated the viability of detecting and quantifying damage caused to a managed Scots pine forest in central Poland by insect defoliation disturbance using high-resolution multispectral satellite imagery. Observed leaf area index (LAI) values were compared to frass observations (insect detritus) to assess the relationship between LAI and defoliating insect activity across a single life cycle of A. posticalis Mats. Across four managed plots, four vegetative indices (NDVI, GNDVI, EVI, and MSAVI2) were calculated using multispectral satellite imagery from a PlanetScope (PSB.SD instrument) satellite system. Then, 1137 point-sampled digital number (DN) values were extracted from each index, and a correlation analysis compared each to 40 ground-observed LAI data points. LAI was modeled on the basis of NDVI values. Three models were assessed for their performance in predicting LAI. They were fit using a variety of regression techniques and assessed using several goodness-of-fit measures. A relationship between observed LAI and frass observations was found to be statistically significant (p-value = 0.000303). NDVI was found to be the correlated LAI values (rho = 0.612). Model 3, which was based on concepts of the Beer–Lambert law, resulted in the most robust predictions of LAI. All parameters were found to be significant post fitting of the model using a nonlinear least squares method. Despite the success of the Beer’s law model in predicting LAI, detection of A. posticalis damage was not achieved. This was predominately due to issues of resolution and plot condition, among others. The results of this analysis address many interesting facets of remote sensing analysis and challenge the commonly held view of the impeachability of these methods. Full article
(This article belongs to the Section Forest Inventory, Modeling and Remote Sensing)
Show Figures

Figure 1

17 pages, 2365 KB  
Article
The Association Between Basidiomycete Fungi and Mealybugs Pseudococcidae Affects Coffee Plants
by Luz Andrea Carmona-Valencia, Lucio Navarro-Escalante, Pablo Benavides and Zulma Nancy Gil Palacio
Agronomy 2025, 15(3), 551; https://doi.org/10.3390/agronomy15030551 - 24 Feb 2025
Viewed by 849
Abstract
Some Pseudococcidae species interact with Coffea arabica’s roots and are associated with basidiomycete fungi. The fungal mycelium envelops the roots, which hinders their water and nutrient absorption. Combined with the feeding activity of the insects, this results in chlorosis, defoliation, and even [...] Read more.
Some Pseudococcidae species interact with Coffea arabica’s roots and are associated with basidiomycete fungi. The fungal mycelium envelops the roots, which hinders their water and nutrient absorption. Combined with the feeding activity of the insects, this results in chlorosis, defoliation, and even plant death. Despite the significance of these interactions, they remain under-studied. To investigate the relationship between sporocarps found at the base of coffee trees, the cysts covering their roots, and the mealybug insects within them, samples of these three organisms—sporocarps, cysts, and mealybugs—were collected from 27 coffee plants across three farms in the departments of Norte de Santander and Quindío, Colombia. Fungi and cysts were identified by sequencing a nuclear gene region of the 28S large ribosomal subunit (28S rDNA) using the primers LSU200-F and LSU481-R. Fungal identification was further confirmed through classical taxonomy. Mealybugs were identified by sequencing a region of the mitochondrial gene Cytochrome C oxidase subunit I (COI) with CIF-CIR primers, corroborated through classical taxonomy. This study identified four fungal species associated with four species of Pseudococcidae. The fungus Phlebopus beniensis was associated with the mealybugs Pseudococcus elisae, Dysmicoccus neobrevipes, D. brevipes, and Pseudococcus nr. sociabilis. Phlebopus portentosus was linked to D. neobrevipes, while Xerophorus olivascens and Boletinellus rompelii were associated with other Pseudococcidae species. Additionally, the fungus Pseudolaccaria pachyphylla was found in coffee plants harboring mealybugs. These findings confirm the existence of specific associations between fungal species and mealybug insects that affect coffee plants. Full article
(This article belongs to the Section Pest and Disease Management)
Show Figures

Figure 1

16 pages, 5781 KB  
Article
The Potential for Trypsin Inhibitor Expression in Leaves to Convey Herbivory Deterrence in Soybean
by Audrey E. Birdwell, Sebe A. Brown, Gino J. D’Angelo, Mitra Mazarei and Charles Neal Stewart
Plants 2025, 14(4), 617; https://doi.org/10.3390/plants14040617 - 18 Feb 2025
Viewed by 913
Abstract
Soybean (Glycine max) is the most widely grown legume crop in the world, providing important economic value. Pest herbivory damage by insects and mammalian wildlife, in particular the white-tailed deer (Odocoileus virginianus), limits yields in soybean. Incorporating trypsin inhibitors [...] Read more.
Soybean (Glycine max) is the most widely grown legume crop in the world, providing important economic value. Pest herbivory damage by insects and mammalian wildlife, in particular the white-tailed deer (Odocoileus virginianus), limits yields in soybean. Incorporating trypsin inhibitors (TIs) as plant protectant against herbivory pests has been of interest. We previously showed that the overexpression of soybean TIs in soybean conferred insect deterrence under greenhouse experiments. In this study, we examined the potential of transgenic TI-overexpressing lines in deterring insects under field conditions at Knoxville, Tennessee. Our results indicate that the overexpression of TI could lead to a significant reduction in leaf defoliation of the transgenic compared to non-transgenic lines without negatively impacting plant growth and yield under field conditions. Furthermore, we extended our study by comprehensive evaluation of these transgenic plants against the white-tailed deer herbivory in a separate field setting at Jackson, Tennessee, and with controlled deer feeding experiments. No significant differences in growth characteristics were found between transgenic and non-transgenic lines under field conditions. There were also no significant differences in deer deterrence between transgenic and non-transgenic lines in ambient deer herbivory field or controlled deer feeding trials. Our study provides further insights into more exploration of the role of TI genes in pest control in this economically important crop. Full article
Show Figures

Figure 1

14 pages, 2638 KB  
Article
Losses of Foliage to Defoliating Insects Increase with Leaf Damage Diversity Due to the Complementarity Effect
by Mikhail V. Kozlov and Vitali Zverev
Insects 2025, 16(2), 139; https://doi.org/10.3390/insects16020139 - 31 Jan 2025
Viewed by 1301
Abstract
The functioning of ecosystems critically depends on biodiversity. However, the effects of herbivore diversity on plant damage caused by herbivore feeding remain underexplored. In this study, we tested the prediction that relative losses of foliage to defoliating insects increase with leaf damage diversity [...] Read more.
The functioning of ecosystems critically depends on biodiversity. However, the effects of herbivore diversity on plant damage caused by herbivore feeding remain underexplored. In this study, we tested the prediction that relative losses of foliage to defoliating insects increase with leaf damage diversity (LDD), and we also explored the mechanisms underlying the observed LDD patterns. We measured insect herbivory in 501 individuals of three deciduous woody species (Betula pubescens, Salix phylicifolia, and Vaccinium uliginosum) across 38 localities in north-western Russia, collected 8844 leaves damaged by defoliating insects, classifying the 21,073 feeding events observed in these leaves into 29 damage types. Overall, LDD significantly decreased with increasing latitude but showed no variation along elevation or pollution gradients. Herbivory weakly but significantly increased with increasing LDD, and a strong positive correlation between the rarefied number of leaf damage types and their evenness provided evidence for the complementarity effect underlying this herbivory increase, indicating that insects producing different leaf damage types differ in their resource use. Full article
(This article belongs to the Section Insect Ecology, Diversity and Conservation)
Show Figures

Figure 1

15 pages, 2890 KB  
Article
Effects of Defoliation Timing and Intensity on Yield Components and Grain Quality of Quinoa (Chenopodium quinoa Willd.)
by Maria I. Ahumada, Nathaniel B. McCartney and Rodrigo A. Chorbadjian
Plants 2025, 14(3), 413; https://doi.org/10.3390/plants14030413 - 30 Jan 2025
Viewed by 1170
Abstract
Understanding plant tolerance to defoliation is crucial for sustainable pest management and reducing pesticide use in food production. This study explores quinoa’s (Chenopodium quinoa Willd.) responses to foliar damage, which have been largely unexamined. Over two seasons, quinoa plants were subjected to [...] Read more.
Understanding plant tolerance to defoliation is crucial for sustainable pest management and reducing pesticide use in food production. This study explores quinoa’s (Chenopodium quinoa Willd.) responses to foliar damage, which have been largely unexamined. Over two seasons, quinoa plants were subjected to mechanical defoliation at different pre-reproductive stages and intensities (0–60%) in the first season, and both mechanical and insect-induced (Trichoplusia ni (Hübner), Lepidoptera: Noctuidae) defoliation in the second. The results showed that quinoa plants consistently tolerated defoliation without reductions in grain number, weight, above-ground biomass, or harvest index. These compensatory responses were independent of the defoliation method, timing, or intensity. In the first season, overcompensatory effects were observed, leading to increased plant biomass at 60% early defoliation and 40% late defoliation. Additionally, early defoliation at 20% and 60%, as well as late defoliation at 60%, led to an increase in grain number without affecting grain weight. Defoliation did not significantly alter the phenolic content, sapogenins, or antioxidant capacity of the grains, preserving their phytochemical quality. These findings enhance the understanding of quinoa’s resilience to herbivory, suggesting that it can withstand defoliation stress without compromising yield or quality. Full article
Show Figures

Figure 1

Back to TopTop