Abstract
Reinforcement corrosion is one of the primary deterioration mechanisms affecting the long-term seismic performance of reinforced concrete (RC) structures. Although the effects of corrosion on individual RC members have been widely investigated, its influence on the cyclic behavior of RC frame systems has received limited attention. This study numerically investigates the seismic response of a single-bay reinforced concrete frame subjected to cyclic lateral loading under various corrosion scenarios. A three-dimensional nonlinear finite element model was developed in ABAQUS, incorporating corrosion-induced effects such as reinforcement cross-sectional loss, degradation of mechanical properties, bond strength deterioration, and concrete softening. The corrosion propagation rate and exposure duration were considered as key parameters, and different corrosion scenarios were comparatively evaluated. The numerical model was validated using an experimentally tested non-corroded reinforced concrete frame subjected to cyclic loading. The results demonstrate that reinforcement corrosion leads to significant degradation in the seismic performance of RC frames. Depending on corrosion severity, reductions of up to approximately 25% in lateral load capacity and up to 27% in both initial stiffness and energy dissipation capacity were observed. The findings further indicate that stiffness- and energy-based performance indicators are more sensitive to corrosion damage than strength-based indicators. The study highlights the importance of explicitly accounting for corrosion effects in the seismic performance assessment of reinforced concrete frame systems and provides a practical numerical framework for evaluating corrosion-induced performance degradation.
1. Introduction
The materials used in the construction of buildings are constantly changing and evolving in line with technological developments. While construction engineering researchers follow technological developments in these materials, they must also consider the factors that cause material deterioration. The increased preference for reinforced concrete systems in the construction of buildings stems from their low construction costs and high strength and durability performance. However, as with all building systems, there are many factors that cause deterioration in reinforced concrete systems. One of these factors is corrosive environmental conditions. Reinforced concrete structures, especially bridges, piers, land and marine structures, and infrastructure facilities, can be vulnerable to corrosive environmental conditions.
Reinforced concrete structures located in aggressive environments such as marine regions, coastal areas, or cold climates exposed to de-icing salts are particularly vulnerable to corrosion. Chloride ions penetrating the concrete cover accumulate around the reinforcing steel and initiate corrosion once a critical threshold is reached [1,2] (Figure 1).
Figure 1.
Corrosion damage in reinforced concrete structures [1].
The volume of products resulting from the rusting of reinforced concrete steel exposed to corrosion effects will be greater than the volume of the main reinforcement, causing a volume increase in reinforced concrete steel due to swelling. This volume increase creates additional tensile stresses that disrupt the volumetric stability of hardened concrete, causing cracks in the concrete cover layer. The continuation of the corrosion process leads to a loss of cross-section in the steel reinforcement, reducing the capacity of the reinforced concrete element and negatively affecting the seismic performance of the reinforced concrete system [2]. Studies in the literature have determined that corrosion of transverse reinforcement in a reinforced concrete element significantly reduces the compressive strength and ultimate strain capacity of the core concrete [3]. Furthermore, some experimental studies in the literature on corroded reinforcement have revealed that the cross-sectional area, strength, and ultimate strain of steel reinforcement are also significantly reduced [4,5].
Previous studies in the literature have primarily focused on investigating the causes and formation mechanisms of reinforcement corrosion. In addition, the changes in both the reinforcement and concrete mechanical properties caused by corrosion in the reinforcement have been addressed in many studies in the literature [6,7,8,9]. Despite this, the effect of reinforcement corrosion on the seismic behavior of reinforced concrete structures and elements has been studied less.
In addition to experimental investigations, several numerical studies have attempted to simulate the influence of reinforcement corrosion on the structural behavior of reinforced concrete members using nonlinear finite element approaches. These studies typically incorporate different deterioration mechanisms such as steel cross-section loss, bond degradation between concrete and reinforcement, and cracking of the concrete cover caused by corrosion products [10,11,12,13]. Numerical modeling provides an effective tool for evaluating the structural response of corroded reinforced concrete members under different loading conditions. More recent studies have further explored the mechanical behavior and structural performance of corrosion-damaged reinforced concrete members using advanced numerical approaches [14,15,16,17]. However, most existing finite element studies focus on individual structural components such as beams or columns, while system-level investigations considering reinforced concrete frame structures affected by corrosion remain relatively limited.
In addition to structural-scale investigations, recent studies have also focused on understanding the mechanical behavior of cementitious materials at the micro- and nanoscale. For instance, molecular dynamics simulations have been employed to investigate the hydration mechanisms and structural evolution of aluminosilicate gels such as N-A-S-H, revealing how chemical substitutions and ionic interactions influence polymerization processes, gel network formation, and nanoporosity development. These nanoscale structural characteristics have been shown to directly influence the macroscopic mechanical properties and durability of cementitious materials [18]. Furthermore, recent experimental studies on ultra-high-performance concrete (UHPC) highlight the critical role of the fiber–matrix interface in governing crack resistance, fracture toughness, and post-cracking mechanical behavior. Improving the bonding between fibers and the cementitious matrix has been shown to significantly enhance toughness, flexural strength, and overall durability of advanced concrete materials [19]. These findings demonstrate that the mechanical performance of concrete structures is strongly influenced by the underlying material-scale mechanisms governing microstructure formation and interfacial behavior. Therefore, integrating knowledge from material-scale studies with structural-level investigations is essential for a more comprehensive understanding of the performance of reinforced concrete systems subjected to deterioration mechanisms such as reinforcement corrosion.
In recent times, numerous studies have been conducted and continue to be carried out on the damage caused to reinforced concrete structures in major earthquakes around the world. These studies in the literature have determined that the effect of corrosion greatly increases the magnitude of damage caused by earthquakes and affects the overall performance, strength, and strain capacity of structures [20,21,22,23,24]. However, most existing studies have investigated the seismic behavior of individual reinforced concrete members such as beams or columns subjected to corrosion damage. System-level investigations considering reinforced concrete frame structures affected by corrosion remain limited in the literature. In particular, the combined influence of the corrosion propagation rate and corrosion duration on the seismic response of RC frame systems has not been sufficiently explored. The earthquake behavior of a reinforced concrete frame affected by corrosion, which is much more complex and statically indeterminate than a column or beam element, remains an important topic that needs to be investigated.
This study aims to investigate the behavior of a reinforced concrete frame exposed to different corrosion scenarios under cyclic lateral loads such as earthquakes. To this end, while considering different corrosion scenarios, the evaluation of the structure’s seismic performance is targeted by examining changes in the frame’s lateral load-carrying capacity, stiffness capacity, and energy dissipation capacity.
The main contributions of this study can be summarized as follows:
- While several numerical studies have investigated corrosion effects on individual reinforced concrete members such as beams or columns, studies addressing the system-level seismic response of reinforced concrete frame structures under corrosion damage remain relatively limited. In particular, the combined influence of the corrosion propagation rate and exposure duration on the cyclic behavior of RC frame systems has not been sufficiently explored in previous finite element studies.
- The novelty of the present study lies in the development of a comprehensive numerical framework that simultaneously incorporates multiple corrosion-induced deterioration mechanisms—including reinforcement cross-sectional loss, degradation of mechanical properties, bond strength deterioration, and concrete softening—within a system-level reinforced concrete frame model subjected to cyclic loading.
- Unlike many previous studies that focus on isolated structural components, the present study evaluates the seismic performance degradation of an entire RC frame system under different corrosion scenarios and identifies the relative sensitivity of strength-, stiffness-, and energy-based performance indicators to corrosion damage.
The remainder of this paper is organized as follows. Section 2 describes the numerical modeling approach and the corrosion deterioration models adopted in the study. Section 3 presents the numerical results and discusses the influence of different corrosion scenarios on the seismic behavior of the reinforced concrete frame. Finally, the main findings of the study are summarized in Section 4.
2. Materials and Methods
2.1. Three-Dimensional Nonlinear Model of a Corroded Reinforced Concrete Frame
In this study, three-dimensional nonlinear finite element analysis was performed using the ABAQUS (v2017) [25] software package to represent the seismic behavior of reinforced concrete frames exposed to corrosion under cyclic lateral loading. The reliability and validity of the software package used to model the behavior of corroded reinforced concrete structures and elements have been confirmed by studies in the literature [2,26,27].
In this study, a finite element model was created for the reinforced concrete frame element, whose dimensions, cross-section properties, and reinforcement details are shown in Figure 2.
Figure 2.
Dimensions and cross-section properties of the reinforced concrete frame and reinforcement details.
4Ø14 longitudinal reinforcing bars were used in the column section of the reinforced concrete frame. In the beam section, 2Ø14 tensile reinforcing bars were used in the tension zone, while 2Ø14 longitudinal reinforcing bars were preferred as installation reinforcement in the compression zone. Ø8 transverse reinforcement was used throughout the frame element, and transverse reinforcement was densified at the bottom and top ends of the column and at both ends of the beam.
C25/30 concrete strength class concrete has been used throughout the reinforced concrete frames. Transverse reinforcement with a yield strength of 510 MPa and a tensile strength of 570 MPa has been used in the frames, along with longitudinal reinforcement with a yield strength of 470 MPa and a tensile strength of 550 MPa.
The study examined ten different corrosion scenarios. The corrosion propagation rate and exposure time were defined as variable parameters, and the corrosion onset time was assumed to be 15 years. The experimental matrix used in the study is shown in Table 1.
Table 1.
Experimental matrix.
The corrosion propagation rate (icorr), considered as a variable parameter in the study, was determined in accordance with studies in the literature [28,29,30], taking into account the low, medium, and high corrosion effects in the actual structures shown in Table 2.
Table 2.
Classification of corrosion propagation rate.
The application of cyclic horizontal loads to reinforced concrete frame elements exposed to corrosion effects was numerically investigated in the ABAQUS program. The 3D, 8-node continuous solid element (C3D8R) type was selected to best provide results related to load, displacement, plastic deformation, cracking, and crushing patterns in the concrete (Figure 3a). For the numerical modeling of transverse and longitudinal reinforcement in reinforced concrete frame test elements, a 2-node, 3-dimensional beam element (T3D2) type was used (Figure 3b).
Figure 3.
(a) C3D8R element; (b) T3D2 element.
Since increasing the number of elements used in the finite element model of the reinforced concrete frame would prolong the analysis time, the base section of the frame has not been modeled. Instead, the column elements are fixed at their ends to reference point 2, as indicated in Figure 4.
Figure 4.
Finite element model of reinforced concrete frame.
The boundary conditions adopted in the numerical model represent a simplified but mechanically consistent idealization of the experimental setup. Reinforced concrete columns are modeled as fixed supports to simulate the anchorage situation used in the laboratory test, while axial constraints and lateral supports are defined in accordance with the reported experimental configuration.
Although minor idealizations are inherent in numerical modeling, the validity of the adopted boundary conditions is confirmed through the close agreement between the experimental and numerical load–displacement responses shown in Section 2.2. This agreement demonstrates that the simplified boundary assumptions do not adversely affect the global structural response.
The cyclic lateral load applied to reference point 1 is distributed equally to both end regions of the beam of the reinforced concrete frame element (Figure 4).
The cyclic lateral load was applied to a reference point that was kinematically coupled to the beam end nodes using a distributing coupling constraint in ABAQUS. This coupling enforces displacement compatibility between the reference point and the beam-end section while allowing consistent transfer of forces and moments. The kinematic coupling ensures that the applied displacement or load is uniformly transmitted to the beam end cross-section, reproducing the actuator-based loading condition used in the experimental setup. As a result, the internal force distribution and global response are not altered by the use of a reference point. The validity of this loading strategy is confirmed by the close agreement between experimental and numerical load–displacement curves presented in Section 2.2, demonstrating equivalence to the laboratory loading configuration.
The applied cyclic lateral load was prepared in accordance with the semi-static loading protocol specified in FEMA 461 [31] (Figure 5).
Figure 5.
Loading protocol.
For the CDP material model used in finite element modeling, the parameters defined as the dilation angle (ψ), eccentricity (e), viscosity (μ), and the ratio of the yield stress under biaxial loading to the yield stress under uniaxial loading, , must be entered into the ABAQUS software package.
The dilation angle (ψ) is the numerical expression of the volumetric change in a material under shear stress or shear deformation. Changes in the dilation angle can reveal a more rigid or more elastic material behavior under the same deformations. In many studies in the literature [32,33,34,35], the dilation angle was selected between 5° and 45° to achieve consistency with experimental studies. In this study, numerous parametric studies were conducted with different values of the dilation angle, and the values closest to the experimental study were obtained when the dilation angle was 32°.
Eccentricity (e) is a small positive number that defines the rate of approach to the asymptote of the hyperbolic flow potential [24]. As the eccentricity approaches zero, the flow potential becomes a straight line. The eccentricity used and assumed in the literature [36,37,38] and in this study is 0.1.
The ratio , defined as the ratio of the yield stress under two-axis loading to the yield stress under one-axis loading, has been taken as 1.16 in the literature [39,40] and in this study.
Viscosity (μ) is the parameter that enables the viscous–plastic formulation of concrete material equations in numerical analyses. In material models, softening and stiffness losses occurring in cross-sections create convergence problems in analyses, and the viscosity parameter minimizes such problems. The default viscosity value in the Abaqus software package is 0, and in the literature [37,39,41,42,43] the viscosity value has been selected between and . In this study, numerous parametric studies were conducted with different viscosity values, and the values closest to the experimental study were obtained when the viscosity was .
2.1.1. Modeling Corrosion Damage in Reinforcement
In the present study, corrosion of reinforcing steel is modeled assuming a uniform corrosion mechanism. Although localized corrosion in the form of pitting may occur in practice, uniform corrosion is widely adopted in numerical studies to represent the average deterioration of reinforcement over time. The uniform corrosion assumption allows a consistent representation of cross-sectional loss, degradation of mechanical properties, and bond deterioration within the finite element framework. Several previous analytical and numerical investigations on corrosion-affected reinforced concrete structures have also adopted the uniform corrosion approach when evaluating global structural response [2,10]. Therefore, the adopted modeling approach is consistent with common practice in the literature.
The corrosion propagation rate () represents corrosion current density and is expressed in μA/cm2. It measures the electrochemical dissolution rate of steel per unit surface area. In this study, the conversion of corrosion current density to mass loss was performed based on Faraday’s law. Mass loss per unit of reinforcement was calculated using Equation (1) as follows:
where M is the atomic mass of iron (55.85 g/mol), z is the number of electrons involved in the corrosion reaction (z = 2), and F is Faraday’s constant (96,485 C/mol). The corresponding reduction in reinforcement diameter was computed assuming uniform corrosion and constant steel density. The constant k in Equation (3) incorporates the material density and electrochemical constants derived from Faraday’s formulation. The corrosion initiation time () was assumed as 15 years based on typical chloride-induced corrosion initiation periods reported in BRITE/EURAM (1995) [29] and related durability studies for reinforced concrete structures exposed to marine environments.
Volume increase occurs in reinforced concrete steel exposed to corrosion. This effect, also known as “reinforcement swelling and softening”, results in mass loss in reinforced concrete steel. When mass loss cannot be measured experimentally, it can be estimated based on the corrosion level using the following equations [44].
Here represents the mass loss as a percentage, represents the diameter of the reinforcing steel before corrosion and represents the diameter of the reinforcing steel after corrosion.
In addition to the mass loss occurring in reinforced concrete steel exposed to corrosion, changes also occur in the ultimate strain capacity and the yield and tensile strengths of the reinforcement. In this study, the following empirical equation developed by Du et al. [5] was used to calculate the ultimate strain of corroded reinforcement (Equation (4)).
Here ve represent the final deformation of the reinforcing steel before and after corrosion, respectively. For reinforcement not embedded in concrete, β = 0.03 is used, while for reinforcement embedded in concrete, β = 0.05 is used.
Changes in yield strength (), tensile strength (), and elastic modulus () due to the corrosion effect on reinforced concrete steel were calculated using Equations (5)–(7) [6] (Figure 6).
Figure 6.
Steel reinforcement stress–strain relationship: (a) transverse reinforcement; (b) longitudinal reinforcement.
2.1.2. Bond Strength of Corroded Reinforcement
In the literature, there are numerous studies modeling the deterioration in bond strength of reinforcement exposed to corrosion [45,46,47]. In this study, the bond strength model developed by Maaddawy et al. [48] was chosen to calculate the maximum bond strength of reinforcement exposed to corrosion. The greatest advantage of this bond strength model is that it can independently account for contributions from concrete and transverse reinforcement and considers the effect of the affected current density on bond strength deterioration for accelerated corrosion.
In this model, the maximum bond strength of reinforcement exposed to corrosion is calculated using Equations (8) and (9).
where is the maximum bond stress of corroded reinforcement (MPa), R is the bond reduction factor accounting for corrosion effects, is the concrete cover thickness (mm), is the diameter of reinforcement (mm), is the compressive strength of concrete (MPa), is the cross-sectional area of transverse reinforcement (mm2), is the yield strength of transverse reinforcement (MPa), and is the spacing of transverse reinforcement (mm). A1 and A2 are variables dependent on the current density used for accelerated corrosion [48]. In the bond degradation model, a calibration reference current density value of 40 μA/cm2 was adopted based on the experimental study of Saifullah and Clark [49]. This value is used solely to define bond strength deterioration parameters and does not represent the corrosion propagation rates considered in the long-term service scenarios analyzed in this study.
To simulate the change in bond behavior caused by corrosion on the reinforced concrete frame, the bond strength–slip model specified in CEB-FIB [50] was created using the following equations. The values in Table 3 were used for the parameters constituting the bond strength–slip model (Figure 7).
Table 3.
Bond strength–slip model parameters [48].
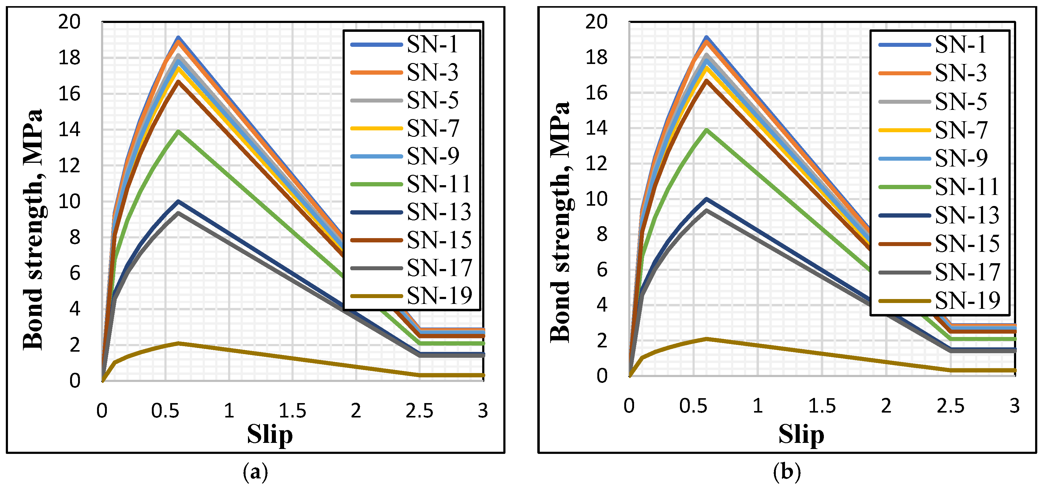
Figure 7.
Steel reinforcement bond strength–slip model: (a) transverse reinforcement; (b) longitudinal reinforcement.
The bond stress–slip relationship between reinforcing steel and concrete is modeled using the CEB-FIB Model Code formulation. In this model, the bond stress is expressed as a function of slip , and the behavior is divided into three regions: ascending branch, plateau at maximum bond stress, and softening branch. The parameters , , and define characteristic slip values, while controls the initial stiffness of the bond response.
It should be clarified that the accelerated corrosion current density value (40 μA/cm2) referenced in the bond degradation model is adopted solely for calibration purposes in accordance with the experimental study of Saifullah and Clark [49].
The long-term service scenarios investigated in this study are based on realistic corrosion current densities ranging between 0.15 and 2 μA/cm2, representing low to high corrosion exposure levels in actual structures. The numerical framework is based on cumulative corrosion damage derived from Faraday’s law, and therefore the structural performance degradation corresponds to the total corrosion penetration rather than the rate of electrochemical acceleration itself.
Accordingly, no conceptual inconsistency exists between the accelerated corrosion parameters used for bond model calibration and the long-term service-life scenarios considered in the global structural analyses.
In the finite element model, bond–slip behavior between reinforcement (T3D2 beam elements) and surrounding concrete (C3D8R solid elements) was explicitly modeled by introducing nonlinear connector elements between coincident rebar and concrete nodes.
The embedded region constraint was not used in the bond-critical regions to allow relative tangential displacement between steel and concrete. Instead, the CEB-FIP bond stress–slip relationship was implemented as a nonlinear force–displacement law assigned to the tangential component of the connector elements.
The bond stress (τ) defined by the CEB-FIP [50] model was converted into equivalent nodal forces based on the tributary surface area of the reinforcement. The corresponding slip (s) was defined as the relative tangential displacement between rebar and concrete nodes.
This formulation enables explicit simulation of bond deterioration and reinforcement slip while maintaining compatibility in the normal direction.
2.1.3. Modeling Corrosion Damage in Unreinforced Concrete Sections
The cracking and softening effects occurring in the concrete forming the reinforced concrete frame exposed to corrosion effects should also be considered. The softening effect occurring in concrete due to corrosion is expressed by the concrete softening coefficient (ζ). The concrete softening coefficient (ζ) was determined through a crack-width-based degradation approach. In corrosion-affected reinforced concrete members, the volumetric expansion of corrosion products induces tensile stresses in the concrete cover, leading to crack formation and propagation. The resulting crack width (w) is considered as a key parameter governing the reduction in compressive strength.
In this study, the crack width was estimated analytically based on corrosion penetration depth and radial expansion assumptions following Molina et al. [36]. The corrosion-induced radial expansion was converted into tensile strain in the concrete cover, and the corresponding crack width was derived assuming uniform corrosion and axisymmetric expansion around the reinforcement. The calculated crack width was then used in Equations (14)–(16) to determine the concrete softening coefficient (ζ) [3]. The reduced compressive strength () was subsequently implemented in the CDP material model by modifying the compressive stress–strain relationship. This workflow ensures a consistent mechanical link between corrosion progression, crack development, and concrete strength degradation within the finite element framework.
where is the concrete softening coefficient accounting for corrosion-induced cracking, is the cracking strain due to corrosion expansion, is the crack width caused by corrosion products, is the reference perimeter of the concrete section, is the volumetric expansion ratio of corrosion products, is the corrosion penetration depth, is the initial diameter of reinforcement, and is the reduced diameter after corrosion.
In this study, the value proposed by Molina et al. [36], which is also widely used in analytical studies of reinforced concrete structures and elements affected by reinforcement corrosion [2,50,51,52], was used. The stress–strain relationship for the compressive state was calculated using Equations (17) and (18) [53] (Figure 8a), taking into account the cracking and softening effects of concrete in the reinforced concrete frame element exposed to corrosion.
where is the compressive stress in concrete, is the compressive strength of concrete, is the compressive strain, is the strain corresponding to peak compressive stress of unconfined concrete, and is the concrete softening coefficient accounting for corrosion-induced cracking.
Figure 8.
Unconfined concrete stress–strain relationship: (a) compression; (b) tension.
The stress–strain relationship for the tensile behavior of concrete exposed to corrosion effects was determined using Equations (19) and (20) [54] (Figure 8b).
where is the effective tensile strength of cracked concrete affected by corrosion, is the reduced compressive strength of concrete after corrosion-induced cracking, is the compressive strength of uncracked concrete, and is the tensile strength of concrete estimated from the empirical relation .
2.1.4. Modeling Corrosion Damage in the Reinforced Concrete Section
Corrosion of the reinforcement negatively affects the maximum strength and strain capacity of confined concrete. In this study, the stress–strain relationship of reinforced concrete developed by Mander et al. [55] was calculated using Equations (21) and (22) to simulate the behavior of reinforced concrete exposed to corrosion (Figure 9).
where is the effective compressive strength of cracked concrete, is a modification factor accounting for the confinement and damage effects, is the compressive stress in concrete, is the ultimate compressive strain of confined concrete, is the volumetric ratio of transverse reinforcement, is the yield strength of transverse reinforcement, and is the ultimate compressive strain of unconfined concrete.
Figure 9.
Confined concrete stress–strain relationship.
The nonlinear cyclic analyses were performed using the implicit time integration scheme available in ABAQUS (Static, General procedure). The algorithm is based on an implicit Newmark-type formulation with automatic time incrementation to ensure numerical stability during stiffness degradation and material softening. Given the nonlinear hysteretic response and progressive stiffness reduction observed in corrosion-affected frames, numerical stability and energy consistency are critical. The adopted implicit integration scheme provides unconditional stability for quasi-static loading conditions and mitigates spurious energy growth during cyclic simulations. It is well recognized that energy-conserving and high-order time integration algorithms can enhance robustness in nonlinear dynamical simulations, particularly for hysteretic systems exhibiting degradation and softening [56]. Although the present study employs the standard implicit scheme implemented in ABAQUS, the adopted incremental strategy ensures stable and physically consistent response throughout the loading protocol.
2.2. Validation of the Finite Element Model
Corrosion causes changes in mechanical properties due to cross-sectional loss and deterioration in bond strength in reinforcing steel, and it also accelerates the inherent deterioration in the bond between the reinforcement and concrete. In this context, the verification of the reinforced concrete frame not exposed to corrosion effects has been accepted as a prerequisite for assessing its reliability in the event of corrosion-induced damage.
For this purpose, the numerical model of the single-span reinforced concrete frame not exposed to corrosion effects was validated by referring to the experimental study conducted by Çolakoğlu (2024) [57]. The RCF-13 [57] test specimen addressed in the reference study allows for a direct comparison of global structural behavior, as it contains the horizontal displacement relationship under cyclic lateral load according to the FEMA 461 [31] loading protocol for a reinforced concrete frame not exposed to corrosion. Figure 10 shows the cross-sectional properties and reinforcement layout of the reinforced concrete frame addressed in the reference study.
Figure 10.
Dimensions and cross-section properties of the reinforced concrete frame and reinforcement layout [57].
In the reference study [57], C25/30 strength class concrete and B420C strength class steel were used in the reinforced concrete frame. Six 10 mm diameter longitudinal reinforcements were used in the column element of the reinforced concrete frame, while three 8 mm diameter longitudinal reinforcements were used in the lower part and two 8 mm diameter longitudinal reinforcements were used in the upper part of the beam element. A total of 8 mm diameter transverse reinforcements were used throughout the reinforced concrete frame element (Figure 10).
During the verification phase, determining material models capable of simulating the actual behavior of concrete and steel materials is crucial for the reliability of the results obtained from the study. For this purpose, numerical models were created using the material models adopted in the reference study [57], namely the concrete damage plasticity (CDP) model for concrete and the nonlinear material model for steel.
To simulate the experimental setup in the reference study [57], a finite element model compliant with the boundary conditions in Figure 11 was created, and a loading protocol was prepared. The lateral load–horizontal displacement relationship obtained from the finite element analysis performed in this context was compared with the experimental results in the reference study and is shown in Figure 12.
Figure 11.
Cyclic lateral loading test setup and finite element model [57].
Figure 12.
Comparison of the envelope curves of the lateral load–horizontal displacement relationship obtained from experimental and numerical cyclic analyses for the corrosion-free reinforced concrete frame.
In addition to qualitative comparison, quantitative validation metrics were evaluated. The predicted peak lateral load differs from the experimental value by approximately 6%, which is within acceptable limits for nonlinear reinforced concrete simulations. The initial stiffness and post-yield response also show satisfactory agreement, with minor deviations attributable to material idealizations and boundary condition simplifications. While experimental data for corroded specimens are not available within the scope of the present study, the corrosion degradation models employed are based on experimentally calibrated formulations from the literature. The validated baseline model is therefore extended to corrosion scenarios using physically consistent and literature-supported degradation mechanisms. Overall, the model accurately captures the global strength, stiffness, and deformation characteristics of the tested specimen.
The lower initial stiffness in the numerical response is mainly associated with the explicit bond–slip representation and early-stage compliance introduced by the connector-based interaction model, whereas the experiment exhibits a stiffer initial response at very small deformation levels. It should be noted that the initial tangent stiffness is particularly sensitive to the very early-stage response, including small test setup effects (e.g., seating/slack and measurement resolution) and numerical idealizations/regularization needed for stable cyclic simulation. Initial tangent stiffness was computed as the slope of the first loading branch in the near-origin range Therefore, a larger deviation may be observed in the tangent stiffness near the origin, while the model still provides a reliable representation of the global cyclic response, peak strength, and post-yield behavior that govern the seismic performance indicators investigated in this study.
2.3. Implementation Procedure of Corrosion Modeling in ABAQUS
In this study, corrosion effects were applied to a validated finite element model using a systematic and reproducible procedure. Corrosion-induced deterioration was modeled based on four main components: (i) reinforcement cross-sectional loss, (ii) reduction in reinforcement mechanical properties, (iii) reduction in adhesion strength, and (iv) concrete softening. The application process was carried out in the following steps:
- Step 1: Calculating the Corrosion Level
For each scenario, the corrosion level was calculated using equations based on Faraday’s law (Equations (1) and (2)), taking into account the corrosion propagation rate (icorr) and exposure time (t). The mass loss rate (p) was calculated using Equation (23).
Here, represents the mass loss due to corrosion and represents the initial reinforcement mass. Under the assumption of uniform (homogeneous) corrosion, the reduction in reinforcement diameter was calculated using Equation (24).
Here, represents the initial diameter of the reinforcement, and represents the reduced reinforcement diameter after corrosion. This calculation was performed separately for each scenario, and the resulting reduced diameter values were directly defined in the finite element model.
- Step 2: Updating Reinforcement Mechanical Properties
Corrosion causes not only a loss in cross-section but also a decrease in yield strength (fy), tensile strength (fu), and modulus of elasticity (Es) in reinforcing steel. In this study, yield and tensile strengths were reduced, and ultimate strain capacity was decreased, using empirical equations (Equations (4)–(7)) suggested in the literature. The new material parameters calculated for each scenario were entered separately into the ABAQUS material definition section. Thus, a different steel material card was created for each corrosion scenario.
- Step 3: Reducing Reinforcement–Concrete Adhesion Strength
Corrosion significantly weakens the adhesion behavior between the reinforcement and the concrete. This effect was modeled through the maximum adhesion strength (τmax,cor) calculated using the model proposed by Maaddawy et al. (2005) [48] (Equations (8) and (9)). The calculated reduced maximum adhesion strength values were integrated into the bond–slip relationship given in the CEB-FIP Model Code (1990) [50]. For each scenario, the maximum adhesion stress was recalculated, and the bond-shear curve was updated accordingly. In line with this, the bond behavior parameters defined for reinforcement–concrete interaction in ABAQUS were modified. Thus, corrosion-related adhesion weakening was directly reflected in the model.
- Step 4: Identifying the Concrete Softening Effect
Expansion pressures caused by corrosion lead to crack formation and a decrease in compressive strength in the concrete cover layer. This effect was modeled using the concrete softening coefficient (ζ). The compressive strength of the concrete was calculated using Equation (25).
Here, represents the concrete softening coefficient, represents the initial concrete compressive strength, and represents the compressive strength after corrosion. These reduced strength values were entered into the CDP (concrete damage plasticity) model. The compressive and tensile stress–strain relationships were re-established accordingly.
- Step 5: How to Use ABAQUS
In the finite element model, corrosion effects were implemented as follows:
- Reinforcements were modeled as T3D2 elements.
- Cross-sectional loss was applied by directly reducing the cross-sectional area of the reinforcement elements.
- Mechanical property changes were updated in the material definition.
- Adhesion behavior was modified via the bond-shear model.
- Concrete properties were revised based on CDP model parameters.
This procedure was applied to a validated model, creating a separate analysis file for each corrosion scenario, and defining the parameters specifically for each scenario. To ensure full transparency and reproducibility of the corrosion modeling approach, all scenario-specific degradation parameters derived from the empirical formulations are explicitly summarized in Table 4. The table presents the calculated mass loss ratio, reduced reinforcement diameter, updated mechanical properties of steel reinforcement, bond-related modifications, and concrete softening coefficients implemented in the ABAQUS finite element model for each corrosion scenario. These parameters were directly incorporated into the material definitions, cross-sectional properties, and interaction formulations of the numerical model, allowing independent replication of the analysis procedure.
Table 4.
Summary of corrosion-induced degradation parameters implemented in the finite element model for each scenario.
As shown in Table 4, the severity of degradation increases consistently with both the corrosion propagation rate and exposure duration, confirming the systematic implementation of corrosion effects across all scenarios.
3. Results and Mechanistic Discussion
The deterioration observed in the seismic performance of the reinforced concrete frame can be interpreted through several interacting mechanisms induced by reinforcement corrosion. First, corrosion products lead to expansion around the reinforcing steel, which generates tensile stresses in the surrounding concrete and promotes cracking in the concrete cover. These cracks weaken the bond interaction between steel reinforcement and concrete, resulting in increased bond–slip behavior and reduced load transfer efficiency.
Second, the reduction in the cross-sectional area of reinforcement decreases the effective load-carrying capacity of both longitudinal and transverse reinforcement. In particular, corrosion of transverse reinforcement reduces confinement effectiveness in the concrete core, which may accelerate stiffness degradation and reduce ductility capacity.
As corrosion progresses, the combined effects of bond deterioration, reinforcement section loss, and concrete cracking alter the stress redistribution within the frame members. These mechanisms contribute to earlier stiffness degradation, increased deformation demand, and reduced hysteretic energy dissipation during cyclic loading.
3.1. Effect of Corrosion Parameters on Lateral Load Capacity
Figure 13 shows the effect of the corrosion propagation rate on lateral load-carrying capacity for scenarios where the duration of corrosion is 20, 35, and 50 years, respectively. The results show that deterioration in lateral load capacity becomes more pronounced as both the corrosion propagation rate and exposure time increase.

Figure 13.
Change in lateral load-carrying capacity depending on the propagation rate.
Accordingly, for scenarios where the duration of corrosion is 20 years, the lateral load-carrying capacity of reinforced concrete frames with propagation rates of 0.15, 0.8, and 2 is determined to be 164.9, 162.4, and 160.4 kN in compression and 168.3, 166.5, and 164.5 kN, respectively. Based on this result, it was determined that, compared to the reference reinforced concrete frame element not exposed to corrosion, there was a decrease in lateral load-carrying capacity ranging from 1.46% to 4.75% in compression and from 0.06% to 2.32% in tension. Accordingly, in the early stages of corrosion, the structural system retains most of its load-bearing capacity.
For scenarios where the corrosion duration is 35 years, the lateral load-carrying capacity of reinforced concrete frames with propagation rates of 0.15, 0.8, and 2 was determined to be 163.4, 157, and 152 kN in compression, and 167.1, 160.5, and 155.6 kN in tension, respectively. According to this result, compared to the reference reinforced concrete frame element not exposed to corrosion effects, a decrease in lateral load-carrying capacity ranging from 0.85% to 7.77% in compression and from 0.77% to 7.60% in tension was determined.
For scenarios where the corrosion duration is 50 years, the lateral load-carrying capacity of reinforced concrete frames with propagation rates of 0.15, 0.8, and 2 is determined to be 161.6, 153, and 124.7 kN in compression and 165.6, 156.3, and 127.9 kN, respectively. According to this result, compared to the reference reinforced concrete frame element not exposed to corrosion, a decrease in lateral load-carrying capacity ranging from 1.94% to 24.3% in compression and from 1.66% to 24% in tension was determined. Accordingly, especially for longer exposure periods such as 50 years, high corrosion propagation rates lead to significant strength deterioration at rates of up to 25%.
The measured decrease in lateral load-carrying capacity is primarily attributed to the combined effects of cross-sectional loss in the steel reinforcement, deterioration of bond, and reduced wrapping efficiency. Experimental and numerical studies in the literature conducted on reinforced concrete elements exposed to corrosion effects also support similar results [2,14].
3.2. Effect of Corrosion Parameters on Initial Stiffness Degradation
Figure 14 shows the effect of the corrosion propagation rate on stiffness capacity for scenarios where the duration of corrosion is 20, 35, and 50 years, respectively. The results indicate that for prolonged exposure to corrosion and high corrosion propagation rates, the deterioration in initial stiffness is more sensitive to corrosion effects than the lateral load-carrying capacity.
Figure 14.
Change in stiffness capacity depending on propagation rate.
Accordingly, for scenarios where the duration of corrosion is 20 years, the propagation rate is 0.15, 0.8, and 2 in reinforced concrete frames, and the stiffness capacity is 47,976.9, 47,223.1, and 46,325.4 kN/m in compression, respectively, and 49,275.1, 48,941.9, and 48,537.8 kN/m in tension, respectively. Based on this result, it was determined that, compared to the reference reinforced concrete frame element not exposed to corrosion effects, there was a decrease in stiffness capacity in the range of 0.28–3.71% in compression and 0.03–1.53% in tension. Accordingly, corrosion in its early stages primarily affects local cracking and bond behavior without causing significant loss of rigidity.
For scenarios where the corrosion duration is 35 years, the stiffness capacity of reinforced concrete frames with propagation rates of 0.15, 0.8, and 2 is determined to be 47,428.9, 44,848.4, and 38,500.6 kN/m in compression, and 48,998.194, 47,244.097, and 44748.434 kN/m in tension, respectively. According to this result, compared to the reference reinforced concrete frame element not exposed to corrosion effects, a decrease in the lateral load-carrying capacity ranging from 1.42% to 19.98% in compression and a decrease ranging from 0.59% to 9.21% in tension was determined. This result demonstrates the combined effect of reinforcement corrosion, bond failure, and reduced reinforcement wrapping efficiency.
For scenarios where the corrosion duration is 50 years, the horizontal load-carrying capacity of reinforced concrete frames with propagation rates of 0.15, 0.8, and 2 is determined to be 46,825.9, 40,621.8, and 35,108.8 kN/m in compression, and in tension, 48,686.8, 45,226.7, and 41,172.7 kN/m, respectively. According to this result, compared to the reference reinforced concrete frame element not exposed to corrosion effects, a decrease in lateral load-carrying capacity ranging from 2.67% to 27% in compression and from 1.22% to 16.5% in tension was determined.
The faster deterioration of initial stiffness compared to the lateral load-carrying capacity, the early onset and spread of corrosion-induced cracks, the deterioration of the bond–slip behavior between steel reinforcement and concrete, and the early loss of transverse reinforcement effectiveness can be attributed to these factors. Due to these mechanisms, the initial stiffness decreases before losses in the lateral load-carrying capacity of the reinforced concrete frame occur. Experimental and numerical studies in the literature conducted on reinforced concrete elements exposed to corrosion effects also found similar results [2,14].
The pronounced reduction in stiffness compared with the reduction in lateral load capacity can be explained by the early deterioration of bond behavior and the initiation of corrosion-induced cracking in the concrete cover. Even when the loss of reinforcement cross-section is relatively limited, bond degradation increases slip between reinforcement and concrete, which reduces the effective stiffness of the structural member. In addition, the reduced confinement provided by corroded transverse reinforcement further accelerates stiffness degradation by allowing larger inelastic deformations in the concrete core.
These results indicate that, in assessing the seismic performance of reinforced concrete frames exposed to corrosion-induced damage, stiffness-based damage assessment may be more accurate than lateral load-carrying capacity-based assessments.
3.3. Effect of Corrosion Parameters on Energy Dissipation Capacity
Energy dissipation capacity is measured as the area enclosed by the lateral load–horizontal displacement curves obtained from cyclic analyses. Mathematically, the energy dissipated for each loading cycle is calculated using Equation (26).
where represents the lateral load and denotes the corresponding displacement. The cumulative energy dissipation was obtained by summing the energy contributions from all loading cycles (Equation (27)).
where is the energy dissipated in the nth cycle and is the total number of cycles considered.
Figure 15 shows the effect of the corrosion propagation rate on energy dissipation capacity for scenarios where the duration of corrosion is 20, 35, and 50 years, respectively. The results obtained show that the energy dissipation capacity is highly sensitive to the severity of corrosion in cases of a high corrosion propagation rate and long-term exposure.

Figure 15.
Change in energy dissipation capacity depending on propagation rate.
Accordingly, for scenarios where the duration of corrosion is 20 years, it was determined that the energy dissipation capacity of reinforced concrete frames with propagation rates of 0.15, 0.8, and 2 is 291.73 kJ, 288.06 kJ, and 285.37 kJ, respectively. Based on this result, it was determined that there was a decrease in energy dissipation capacity in the range of 1.05–1.97% compared to the reference reinforced concrete frame element not exposed to corrosion. For the SN-3 corrosion scenario (low corrosion propagation rate and 20-year exposure), a marginal increase (approximately 0.2%) in energy dissipation capacity was observed compared to the reference case. It should be noted that this increase is very small and falls within a narrow range that may be influenced by nonlinear redistribution effects during early-stage cracking. Under low corrosion levels, microcrack formation in the concrete cover may slightly enhance hysteretic energy redistribution without causing significant degradation in strength or stiffness. However, this effect is limited and does not represent a structural improvement. As corrosion progresses, the dominant trend is a clear and consistent reduction in energy dissipation capacity.
For scenarios where the corrosion duration is 35 years, the energy dissipation capacity of reinforced concrete frames with propagation rates of 0.15, 0.8, and 2 was determined to be 287.88 kJ, 278.36 kJ, and 270.15 kJ, respectively. According to this result, a decrease in energy dissipation capacity ranging from 1.11% to 7.20% was determined compared to the reference reinforced concrete frame element not exposed to corrosion effects. This decrease reflects the combined effect of cross-sectional loss in the steel reinforcement, reduction in reinforcement bond strength, and decrease in the effectiveness of reinforcement wrapping.
For scenarios where the corrosion duration is 50 years, the energy dissipation capacity of reinforced concrete frames with propagation rates of 0.15, 0.8, and 2 was determined to be 287.40 kJ, 271.03 kJ, and 212.58 kJ, respectively. According to this result, a decrease in energy dissipation capacity ranging from 1.28% to 26.98% was determined compared to the reference reinforced concrete frame element not exposed to corrosion effects. At this stage, the early yielding of corrosion-exposed reinforcing bars, the loss of bond strength, and the crushing of concrete significantly limit the seismic behavior of the reinforced concrete frame system.
The reduction in energy dissipation capacity can also be attributed to the deterioration of reinforcement–concrete interaction and the reduced ductility of corroded reinforcement. As corrosion progresses, the premature yielding and reduced ultimate strain capacity of reinforcement limit the development of stable hysteretic loops. Furthermore, bond deterioration leads to increased slip between reinforcement and concrete, which reduces the effectiveness of cyclic load transfer and contributes to narrower hysteresis loops.
According to these results, energy-based seismic performance indicators are particularly sensitive to long-term corrosion effects and should be explicitly considered in the seismic assessment of reinforced concrete frame structures at advanced ages.
It should be noted that the present study assumes uniform corrosion of reinforcing steel. In reality, corrosion may occur in a localized form such as pitting corrosion, which can lead to more severe local cross-sectional loss and earlier initiation of cracking or reinforcement fracture. The uniform corrosion assumption adopted in this study represents an average deterioration mechanism and is appropriate for evaluating global structural response. However, localized corrosion effects may lead to more pronounced performance degradation. Future studies may extend the proposed numerical framework by incorporating stochastic or localized corrosion models to better capture pitting-induced damage.
3.4. Time-Dependent Degradation Under Constant Corrosion Rate
To better understand the influence of corrosion duration, additional comparisons were performed for specimens subjected to identical corrosion propagation rates but different exposure times (20, 35, and 50 years). This comparison allows evaluation of the time-dependent degradation behavior under constant corrosion conditions. Three groups of specimens were considered. The first group corresponds to a low corrosion propagation rate (icorr = 0.15 μA/cm2) including specimens SN-3, SN-5, and SN-7. The second group represents a moderate corrosion rate (icorr = 0.8 μA/cm2) including specimens SN-9, SN-11, and SN-13. The third group corresponds to a severe corrosion condition (icorr = 2.0 μA/cm2) including specimens SN-15, SN-17, and SN-19.
The evolution of structural performance indicators such as lateral load capacity, stiffness, and energy dissipation is evaluated with increasing corrosion exposure time (Table 5).
Table 5.
Time-dependent variation in peak lateral load capacity under constant corrosion rate.
The results indicate that corrosion duration significantly influences structural performance even when the corrosion propagation rate remains constant. As the exposure time increases from 20 to 50 years, gradual reductions in strength, stiffness, and energy dissipation capacity are observed. The deterioration becomes more pronounced for higher corrosion propagation rates.
4. Conclusions and Engineering Implications
This study investigates the changes in the seismic behavior of a single-span reinforced concrete frame exposed to ten different corrosion scenarios using nonlinear finite element modeling. The corrosion propagation rate and corrosion exposure duration were considered as the main parameters governing deterioration. Based on the numerical results obtained in this study, the following conclusions can be drawn:
- Reinforcement corrosion significantly affects the behavior of reinforced concrete frame systems under cyclic loading. The rate of corrosion spread and the duration of its effects play a critical role in managing the seismic performance of reinforced concrete frames.
- In scenarios involving long-term exposure to corrosion, the deterioration in initial stiffness is more pronounced than the reduction in lateral load-carrying capacity. This is attributed to early cracking caused by corrosion, deterioration of the bond strength of steel reinforcement, and loss of wrapping effectiveness of the corroded transverse reinforcement.
- In the early stages of corrosion (icorr = 0.1–0.5 μA/cm2 [29,30]), a marginal increase in energy dissipation capacity may occur due to the development of microcracking and increased nonlinear deformation capacity. However, as corrosion progresses, significant deterioration is observed. For severe corrosion scenarios, energy dissipation capacity decreases by up to approximately 27%, indicating a substantial reduction in the seismic resilience of the structural system.
- Among the corrosion scenarios examined, the most severe performance decline was observed for long exposure times combined with high corrosion propagation rates. These scenarios resulted in simultaneous reductions in lateral load, stiffness, and energy dissipation capacity, indicating a critical loss in seismic performance.
- The comparative evaluation of the lateral load-carrying capacity, stiffness, and energy dissipation capacity of reinforced concrete frames shows that stiffness and energy-based performance indicators in frame structural elements are more sensitive to corrosion damage than lateral load-based indicators. Therefore, it is thought that relying solely on an assessment based on changes in lateral load parameters may be limited in determining the seismic performance of corrosion-damaged reinforced concrete frames.
From an engineering perspective, these findings highlight the importance of considering corrosion-induced deterioration mechanisms in the seismic assessment and maintenance planning of aging reinforced concrete structures. In particular, stiffness degradation and reductions in cyclic energy dissipation may serve as early indicators of structural performance loss in corrosion-prone environments.
The results also suggest that monitoring-based structural health monitoring (SHM) systems may benefit from incorporating stiffness- and energy-based response indicators as potential warning parameters for corrosion-related deterioration. In practice, such indicators can be inferred from long-term monitoring data, including displacement measurements, vibration response, or temperature–displacement interaction data.
Recent studies on infrastructure warning systems, such as monitoring-based performance evaluation methods for bridge cables and bridge towers under environmental loading, demonstrate how structural response indicators can be integrated into early-warning logic. For instance, performance warning approaches based on temperature–displacement monitoring data and multi-rate data fusion under strong wind action provide examples of translating response degradation into actionable warning thresholds [58,59].
Despite the insights provided, several limitations of the present study should be acknowledged. First, corrosion of reinforcement was modeled assuming uniform corrosion, whereas localized corrosion mechanisms such as pitting corrosion may occur in practice and could lead to more severe local deterioration. Second, the analyses were conducted on a single-bay reinforced concrete frame, which may not fully represent the behavior of more complex multi-story structural systems. Third, the study is based solely on numerical simulations, and additional experimental investigations on corrosion-damaged frame systems would further improve model validation.
Future studies may therefore focus on incorporating localized corrosion models, extending the proposed numerical framework to multi-story frame systems, and validating the numerical predictions through experimental investigations.
Author Contributions
Conceptualization, H.E.Ç.; methodology, H.E.Ç.; software, M.Ö.; validation, M.Ö.; formal analysis, M.Ö.; investigation, H.E.Ç.; resources, M.Ö.; data curation, H.E.Ç.; writing—original draft preparation, H.E.Ç.; writing—review and editing, H.E.Ç.; visualization, H.E.Ç.; supervision, H.E.Ç. All authors have read and agreed to the published version of the manuscript.
Funding
This research received no external funding.
Data Availability Statement
The data presented in this study is available on request from the corresponding author. The data is not publicly available due to privacy.
Conflicts of Interest
The authors declare no conflicts of interest.
References
- Çolakoğlu, H.E.; Öztemel, M. Investigation of Linear and Nonlinear Behaviour of Reinforced Concrete Column Exposed to Corrosion Effect for Different Damage Limit Levels. Black Sea J. Eng. Sci. 2024, 7, 409–422. [Google Scholar] [CrossRef]
- Kordtabar, B.; Dehestani, M. Effect of Corrosion in Reinforced Concrete Frame Components on Pushover Behavior and Ductility of Frame. Struct. Concr. 2021, 22, 2665–2687. [Google Scholar] [CrossRef]
- Ou, Y.C.; Fan, H.D.; Nguyen, N.D. Long-Term Seismic Performance of Reinforced Concrete Bridges under Steel Reinforcement Corrosion due to Chloride Attack. Earthq. Eng. Struct. Dyn. 2013, 42, 2113–2127. [Google Scholar] [CrossRef]
- Stewart, M.G. Mechanical Behaviour of Pitting Corrosion of Flexural and Shear Reinforcement and Its Effect on Structural Reliability of Corroding RC Beams. Struct. Saf. 2009, 31, 19–30. [Google Scholar] [CrossRef]
- Du, Y.G.; Clark, L.A.; Chan, A.H.C. Effect of Corrosion on Ductility of Reinforcing Bars. Mag. Concr. Res. 2005, 57, 407–419. [Google Scholar] [CrossRef]
- Lee, H.-S.; Cho, S.-H. Evaluation of the Mechanical Properties of Steel Reinforcement Embedded in Concrete Specimen as a Function of the Degree of Reinforcement Corrosion. Int. J. Fract. 2009, 157, 81–88. [Google Scholar] [CrossRef]
- Cairns, J.; Plizzari, G.A.; Du, Y.; Law, D.W.; Franzoni, C. Mechanical Properties of Corrosion-Damaged Reinforcement. Mater. J. 2005, 102, 256–264. [Google Scholar]
- Thoft-Christensen, P. Corrosion and cracking of reinforced concrete. In Life-Cycle Performance of Deteriorating Structures: Assessment, Design and Management; American Society Civil Engineers: Reston, VA, USA, 2004; pp. 26–36. [Google Scholar]
- Bo, Y.; LuFeng, Y.; Ming, W.; Bing, L. Practical Model for Predicting Corrosion Rate of Steel Reinforcement in Concrete Structures. Constr. Build. Mater. 2014, 54, 385–401. [Google Scholar] [CrossRef]
- Coronelli, D.; Gambarova, P. Structural Assessment of Corroded Reinforced Concrete Beams: Modeling Guidelines. J. Struct. Eng. 2004, 130, 1214–1224. [Google Scholar] [CrossRef]
- Lundgren, K. Bond between ribbed bars and concrete. Part 2: The effect of corrosion. Mag. Concr. Res. 2005, 57, 383–395. [Google Scholar] [CrossRef]
- El Maaddawy, T.; Soudki, K. A model for prediction of time from corrosion initiation to corrosion cracking. Cem. Concr. Compos. 2007, 29, 168–175. [Google Scholar] [CrossRef]
- Vu, K.A.T.; Stewart, M.G. Structural reliability of concrete bridges including improved chloride-induced corrosion models. Struct. Saf. 2000, 22, 313–333. [Google Scholar] [CrossRef]
- Chen, J.; Agostini, F.; Shen, W.; Shao, J.; Bourbon, X.; Liu, S. Experimental and numerical studies of a reinforced concrete component subjected to corrosion. Mech. Res. Commun. 2023, 129, 104076. [Google Scholar] [CrossRef]
- Zhu, X.; Zhang, Z.; Feng, Y.; Yu, H. Meso-crack propagation of RC induced by non-uniform rebar corrosion and the predictive model of time to concrete cover cracking. Eng. Fail. Anal. 2024, 166, 108831. [Google Scholar] [CrossRef]
- Zhao, Y.H.; Zhang, X.; Shi, G.; Zhuang, X.H.; Sun, J.L.; Jiang, F.X. Seismic behavior of corroded precast concrete beam-column joints with wet-type connections. Eng. Struct. 2026, 346, 121583. [Google Scholar] [CrossRef]
- Barradas-Hernández, J.; Barrera-Jiménez, D.; Ramírez-González, I.; Carpio-Santamaría, F.; Vargas-Colorado, A.; Márquez-Domínguez, S.; Salgado-Estrada, R.; Piña-Flores, J.; Zamora-Hernández, A. Deteriorated Cyclic Behaviour of Corroded RC Framed Elements: A Practical Proposal for Their Modelling. Buildings 2025, 15, 3110. [Google Scholar] [CrossRef]
- Cui, Y.; Chen, S.; Li, L.; Wang, X.; Liu, J. Atomistic insights into the hydration behavior of NASH gel via Ca2+ substitution: A molecular dynamics simulation study. J. Non-Cryst. Solids 2026, 673, 123892. [Google Scholar] [CrossRef]
- Liu, Z.; Qi, X.; Ke, J.; Shui, Z. Enhancing the toughness of ultra-high performance concrete through improved fiber-matrix interface bonding. Constr. Build. Mater. 2025, 491, 142616. [Google Scholar] [CrossRef]
- Lee, H.-S.; Kage, T.; Noguchi, T.; Tomosawa, F. An Experimental Study on the Retrofitting Effects of Reinforced Concrete Columns Damaged by Rebar Corrosion Strengthened with Carbon Fiber Sheets. Cem. Concr. Res. 2003, 33, 563–570. [Google Scholar] [CrossRef]
- Wang, X. Research of Seismic Performance and Hysteretic Mode of Corroded Reinforced Concrete Members. Master’s Thesis, Xi’an University of Architecture and Technology, Xi’an, China, 2003. [Google Scholar]
- Ma, Y.; Che, Y.; Gong, J. Behavior of Corrosion-Damaged Circular Reinforced Concrete Columns under Cyclic Loading. Constr. Build. Mater. 2012, 29, 548–556. [Google Scholar] [CrossRef]
- Goksu, C. Seismic Behavior of RC Columns with Corroded Plain and Deformed Reinforcing Bars. Ph.D. Thesis, Istanbul Technical University, Istanbul, Turkey, 2012. [Google Scholar]
- Meda, A.; Mostosi, S.; Rinaldi, Z.; Riva, P. Experimental Evaluation of the Corrosion Influence on the Cyclic Behaviour of RC Columns. Eng. Struct. 2014, 76, 112–123. [Google Scholar] [CrossRef]
- Dassault Systèmes Simulia Corp. Abaqus/CAE, version 6.12; Dassault Systèmes Simulia Corp.: Johnston, RI, USA, 2017.
- Atashi, A.; Einabadi, H. Investigating the Impact of Corrosion on Reinforced Concrete Frames with Corroded Steel Reinforcements. Int. J. Eng. Technol. Sci. 2023, 2023, 1–17. [Google Scholar]
- Liu, X.; Zhong, T.; Jiang, H.; Liu, Y.; Zixiong, G. Deformation Limits of Corroded Reinforced Concrete Columns. Structures 2023, 49, 903–917. [Google Scholar] [CrossRef]
- Dhir, R.K.; Jones, M.R.; McCarthy, M.J. PFA Concrete: Chloride-Induced Reinforcement Corrosion. Mag. Concr. Res. 1994, 46, 269–277. [Google Scholar] [CrossRef]
- BRITE/EURAM. The Residual Service Life of Reinforced Concrete Structures; Final Technical Report, Report No. BRUE-CT92-0591; BRITE/EURAM: Brussels, Belgium, 1995. [Google Scholar]
- Middleton, C.R.; Hogg, V. Review of Deterioration Models Used to Predict Corrosion in Reinforced Concrete Structures; Cambridge University Engineering Department Technical Report No. CUED/D-STRUCT/TR.173; University of Cambridge: Cambridge, UK, 1998. [Google Scholar]
- Federal Emergency Management Agency (FEMA). Interim Testing Protocols for Determining the Seismic Performance Characteristics of Structural and Nonstructural Components; FEMA 461; Federal Emergency Management Agency (FEMA): Washington, DC, USA, 2007. [Google Scholar]
- Vitorino, H.; Rodrigues, H.; Couto, C. Evaluation of Post-Earthquake Fire Capacity of a Reinforced Concrete One-Bay Plane Frame under ISO Fire Exposure. Structures 2020, 23, 602–611. [Google Scholar] [CrossRef]
- Kamath, P.; Sharma, U.K.; Kumar, V.; Bhargava, P.; Usmani, A.; Singh, B.; Singh, Y.; Torero, J.; Gillie, M.; Pankaj, P. Full-Scale Fire Test on an Earthquake-Damaged Reinforced Concrete Frame. Fire Saf. J. 2015, 73, 1–19. [Google Scholar] [CrossRef]
- Shah, A.H.; Sharma, U.K.; Bhargava, P. Outcomes of a Major Research on Full Scale Testing of RC Frames in Post Earthquake Fire. Constr. Build. Mater. 2017, 155, 1224–1241. [Google Scholar] [CrossRef]
- Narayanaswamy, P.; Satyanarayanan, K.S. Progressive Collapse Behavior of Reinforced Concrete Frame Exposed to High Temperature. J. Struct. Fire Eng. 2020, 11, 289–308. [Google Scholar] [CrossRef]
- Molina, L.; Ruiz, M.A.; Montes, E.; Alonso, M.C. Bond Strength of Galvanized Steel: Experimental and Numerical Study Based on Pull-Out Tests. In Proceedings of the 3rd International Conference on Mechanical Models in Structural Engineering; University of Seville: Sevilla, Spain, 2015; pp. 143–158. [Google Scholar]
- Ren, W.; Sneed, L.H.; Yang, Y.; He, R. Numerical Simulation of Prestressed Precast Concrete Bridge Deck Panels Using Damage Plasticity Model. Int. J. Concr. Struct. Mater. 2015, 9, 45–54. [Google Scholar] [CrossRef]
- Zhao, G.; Zhang, M.; Li, Y.; Li, D. The Hysteresis Performance and Restoring Force Model for Corroded Reinforced Concrete Frame Columns. J. Eng. 2016, 2016, 7615385. [Google Scholar] [CrossRef]
- Michał, S.; Andrzej, W. Calibration of the CDP Model Parameters in Abaqus. In Proceedings of the 2015 World Congress on Advances in Structural Engineering and Mechanics (ASEM2015), Incheon, Republic of Korea, 25–29 August 2015. [Google Scholar]
- Di Filippo, M. Non-Linear Static and Dynamic Finite Element Analyses of Reinforced Concrete Structures. Master’s Thesis, Aalborg University, Aalborg, Denmark, 2016. [Google Scholar]
- Shahryari, L.; Esfandiari, M. Comparison of Plasticity and Stiffness of Steel Shear Walls with Composite Steel Plate Shear Wall. J. Struct. Eng. Geo-Tech. 2015, 5, 21–26. [Google Scholar]
- Dere, Y.; Koroglu, M.A. Nonlinear FE Modeling of Reinforced Concrete. Int. J. Struct. Civ. Eng. Res. 2017, 6, 71–74. [Google Scholar] [CrossRef]
- Labibzadeh, M.; Zakeri, M.; Shoaib, A.A. A New Method for CDP Input Parameter Identification of the ABAQUS Software Guaranteeing Uniqueness and Precision. Int. J. Struct. Integr. 2017, 8, 264–284. [Google Scholar] [CrossRef]
- Berto, L.; Seatta, A.; Simioni, P.; Vitaliani, R. Nonlinear Static Analyses of RC Frame Structures: Influence of Corrosion on Seismic Response. In Proceedings of the 8th World Congress on Computational Mechanics (WCCM8), Venice, Italy, 23–25 June 2008; p. 25. [Google Scholar]
- Stanish, K.; Hooton, R.D.; Pantazopoulou, S.J. Corrosion Effects on Bond Strength in Reinforced Concrete. ACI Struct. J. 1999, 96, 915–921. [Google Scholar] [CrossRef]
- Chung, L.; Cho, S.-H.; Kim, J.-H.J.; Yi, S.-T. Correction Factor Suggestion for ACI Development Length Provisions Based on Flexural Testing of RC Slabs with Various Levels of Corroded Reinforcing Bars. Eng. Struct. 2004, 26, 1013–1026. [Google Scholar] [CrossRef]
- Bhargava, K.; Ghosh, A.; Mori, Y.; Ramanujam, S. Suggested Empirical Models for Corrosion-Induced Bond Degradation in Reinforced Concrete. J. Struct. Eng. 2008, 134, 221–230. [Google Scholar] [CrossRef]
- Maaddawy, T.E.; Soudki, K.; Topper, T. Analytical Model to Predict Nonlinear Flexural Behavior of Corroded Reinforced Concrete Beams. ACI Struct. J. 2005, 102, 550–559. [Google Scholar] [CrossRef]
- Saifullah, M.; Clark, L.A. Effect of Corrosion Rate on the Bond Strength of Corroded Reinforcement. In Corrosion and Corrosion Protection of Steel in Concrete; Sheffield Academic Press: Sheffield, UK, 1994; pp. 591–602. ISBN 1850757232. [Google Scholar]
- CEB–FIP Model Code 1990. Design of Concrete Structures; Comite Euro-International du Béton; Thomas Telford: London, UK, 1990. [Google Scholar]
- Ou, Y.-C.; Nguyen, N.D. Plastic Hinge Length of Corroded Reinforced Concrete Beams. Struct. J. 2014, 111, 1049–1058. [Google Scholar] [CrossRef]
- Molina, F.J.; Alonso, C.; Andrade, C. Cover Cracking as a Function of Rebar Corrosion: Part 2—Numerical Model. Mater. Struct. 1993, 26, 532–548. [Google Scholar] [CrossRef]
- Hsu, T.T.C. Unified Theory of Reinforced Concrete; CRC Press: Boca Raton, FL, USA, 1993. [Google Scholar]
- Hanjari, K.Z.; Kettil, P.; Lundgren, K. Analysis of Mechanical Behavior of Corroded Reinforced Concrete Structures. ACI Struct. J. 2011, 108, 532–541. [Google Scholar] [CrossRef]
- Mander, J.B.; Priestley, M.J.N.; Park, R. Theoretical Stress–Strain Model for Confined Concrete. J. Struct. Eng. 1988, 114, 1804–1826. [Google Scholar] [CrossRef]
- Li, J.; Liu, Y.; Li, H.; Cui, N.; Yu, K. A Unified Family of High-Order Energy-Conserving Time Integrators for Nonlinear Dynamical Problems. Int. J. Numer. Methods Eng. 2026, 127, e70253. [Google Scholar] [CrossRef]
- Çolakoğlu, H.E. Behavior Under Cyclic Load Effect Reinforced Concrete Frames Exposed to High Temperature. Ph.D. Thesis, Black Sea Technical University, Trabzon, Türkiye, 2024. [Google Scholar]
- Shi, Y.; Wang, Y.; Wang, L.N.; Wang, W.N.; Yang, T.Y. Bridge cable performance warning method based on temperature and displacement monitoring data. Buildings 2025, 15, 2342. [Google Scholar] [CrossRef]
- Shi, Y.; Wang, Y.; Wang, L.N.; Wang, W.N.; Yang, T.Y. Bridge Tower Warning Method Based on Improved Multi-Rate Fusion Under Strong Wind Action. Buildings 2025, 15, 2733. [Google Scholar] [CrossRef]
Disclaimer/Publisher’s Note: The statements, opinions and data contained in all publications are solely those of the individual author(s) and contributor(s) and not of MDPI and/or the editor(s). MDPI and/or the editor(s) disclaim responsibility for any injury to people or property resulting from any ideas, methods, instructions or products referred to in the content. |
© 2026 by the authors. Licensee MDPI, Basel, Switzerland. This article is an open access article distributed under the terms and conditions of the Creative Commons Attribution (CC BY) license.
















